1. Introduction
The increasing demand for fresh-cut leafy vegetables has spotlighted
Diplotaxis tenuifolia L., commonly known as wild rocket, due to its distinctive flavour and high nutritional value [
1]. This species contains a considerable number of bioactive compounds, such as glucosinolates, phenolics, and vitamin C, which increases its attractiveness as a green salad ingredient and as a valuable addition to functional foods [
2,
3].
Climatic and soilless growing conditions appear to be the key driving factors influencing the shelf life of fresh-cut wild rocket salad leaves [
4]. Thus, selecting an appropriate growing medium is a critical factor for achieving optimal plant performance in soilless systems, as it provides the root environment required for proper aeration, water retention, and nutrient availability [
5]. The global expansion of soilless horticulture is driving a substantial increase in the demand for substrates, which is projected to rise by 250% by 2050, with coir (coco peat) emerging as one of the primary raw materials used [
6]. This trend is attributed to coir’s favourable physicochemical properties (high porosity, low bulk density and reduce cation exchange capacity), which, however, can vary both between and within sources and ways of preparation [
7,
8]. Nevertheless, in general, the natural nutrient content of coir is relatively low; therefore, supplemental nutrients are required to achieve optimal levels for plant growth. Incorporating organic amendments of animal origin could supply essential macro- and micronutrients, helping to overcome its natural nutrient limitations and support plant growth. In addition, bio-resources such as renewable materials are increasingly being explored as sustainable alternatives to conventional substrates in horticultural production. Thus, compound substrates based on bio-resources, such as the spent mushroom compost, are gaining popularity due to their nutritional richness, structural stability and pathogen protection [
9]. The integration of coir with these amendments offers a strategy to decrease dependency on coir and, at the same time, promote recycling of organic waste and locally generated by-products [
10].
There is evidence that the high respiration rate and delicate leaf structure of wild rocket contribute to its rapid postharvest deterioration that leads to significant quality and nutritional losses during storage [
11,
12]. Traditional packaging methods, which commonly use polymers derived from petroleum, have performed well for maintaining food fresh for a longer period but they are harmful for the environment due to their non-biodegradable nature and contribution to pollution [
13,
14]. As a result of these problems, biodegradable packaging materials including polylactic acid (PLA) and cellulose-kraft composites (CK) have become more popular as eco-friendly options. PLA, derived from renewable resources like cornstarch, offers biocompatibility and transparency, making it suitable for food packaging applications [
15,
16]. However, its relatively high permeability for gases and moisture can limit its effectiveness [
16]. To fix this, hybrid materials like PLA reinforce with kraft (PLK) have been created to improve barrier characteristics and minimize internal condensation, which are important for keeping high-moisture vegetables fresh [
17,
18].
Recent research has investigated the synergistic effects of incorporating compost-based substrates and biodegradable packaging. Gómez et al. [
19] analyzed the use of PLA for storing wild rocket and sea fennel grown in a cascade cropping system, finding that compost leachates used during sea fennel cultivation enhanced its shelf life. Additionally, the leaves of wild rocket showed lower dehydration and lower respiration when compost was used as a growing medium. Despite these advances, there is still a lack of understanding of how substrate and packing interactions affect the physiological quality of wild rocket during preservation. Specifically, the behaviour of these materials under cold storage conditions (4 °C) over extended periods (7–14 days) and their impact on parameters such as weight loss, nitrate accumulation, phenolic retention, and antioxidant capacity require further investigation [
19,
20,
21]. Furthermore, packaging materials with high vapor transmission rates may improve or limit postharvest quality depending on the water-holding qualities of the substrate employed during cultivation [
22,
23,
24].
This study aimed to investigate the effects of substrate composition and biodegradable packaging on the postharvest quality and shelf life of wild rocket (Diplotaxis tenuifolia). Three growing substrates were evaluated in conjunction with three types of biodegradable packaging materials. Physiological and nutritional attributes were assessed at harvest and after 7 and 14 days of storage. The outcomes are expected to elucidate how the integration of optimized substrate formulations and eco-friendly packaging can enhance postharvest performance and sustainability in leafy vegetable production systems.
2. Materials and Methods
2.1. Plant Material and Growing Conditions
The experiment was conducted at the Agricultural Experimental Field Station of the Technical University of Cartagena (UPCT; lat. 37°41′ N; long. 0°57′ W) in an unheated greenhouse covered with thermal polyethylene. Seeds of wild rocket [
Diplotaxis tenuifolia (L.) DC.], cv. Tricia (Enza Zaden-Murcia, Spain) were sown on 21 December 2023, in cell plastic trays, using commercial peat 315 (blond/black 60/40 Turbas y Coco Mar Menor S.L., Murcia, Spain) as substrate. On 1 February 2024, the seedlings, at the stage of fourth true leaves, were transplanted in metal gutters [
25]. Three distinct substrates were used (
Table 1): a) coco peat (CP; 100:0 w:w), b) coco peat with livestock compost limited to 10%, owing to its high nutrient concentration (CP+LC; 90:10 w:w), and c) coco peat with spent mushroom compost up to 50% given its comparatively lower nutrient content (CP+MC; 50:50 w:w). Fertigation was applied daily through an automated system, using a nutrient solution as described by Signore et al. [
26].
Five harvests were carried out between February and April of 2024 (15, 36, 47, 63 and 76 days after transplanting (DAT)) when rocket plants reached the appropriate commercial stage (seven to eight leaves). The fifth cut was selected for evaluation because it corresponds to the final marketable product in the experimental operation and allows the assessment of the phenotypic and chemical “worst-case scenario” resulting from successive harvests, which ultimately influences sensory acceptability and postharvest shelf life.
2.2. Growth Analysis
Ten plants per replication (n= 6) were collected by cutting them with sterile scissors to accomplish the analysis at harvest analysis. The leaves were weighted to determine yield. A sample of the fresh matter was used for dry weight (DW) determination by drying it in an oven at 60 °C until constant weight.
2.3. Processing, Packaging and Storage
After harvest, rocket plants were minimally processed in a disinfected cold room at 8 °C. Leaves free of defects were sanitised by immersion for 1 min in a solution of chlorinated water (150 ppm NaOCl, pH 6.5, 4 °C) and then rinsed for 1 min in tap water (4 °C) to ensure that the final chlorine residue was below 5 ppm. After being drained in a perforated basket, samples of about 100 g were arranged for passive modified atmosphere packaging (MAP) in 30 cm × 20 cm bags of polylactic acid 25 µm thick (PL), cellulose kraft 23,3 µm thick (CK) or polylactic acid kraft 20 µm thick (PLK) (Classpack-Nativia® NTSS, Barcelona, Spain). The PLK and CK bags had an inner side made of PLA or cellulose respectively, while 57.5% of the outer surface was covered with a Kraft paper eco-layer. This design resulted in a front window whereas the back panel and the non-windowed areas were covered by the Kraft paper. The transmission rates of O2 and CO2 (at 23 °C and 0% relative humidity, data obtained from the provider) were 900, 500 and 1100 cm3 m−2 d−1 atm−1 for both gases and for PL, CK and PLK respectively, with water vapor transmission rates (WVTR) of 330, 25 and 440 g m−2 d−1 for PL, CK and PLK respectively. Bags were then thermally sealed on the top using a thermo-sealer (Lovero Bag Sealer-SK 410, Korea) and stored in darkness for 14 days at 4 °C.
2.4. Physicochemical Analysis
2.4.1. Atmosphere Composition
On each sampling day (0, 7 and 14 days), the atmospheric composition inside the packaging was measured using an O2/CO2 headspace analyzer (PBI-Dansensor CheckPoint, Ringsted, Denmark). To avoid any loss of gas from the headspace, the analyzer’s test needle was carefully inserted through a self-sealing adhesive silicon septum attached to each bag. Data were expressed in kilopascals (kPa).
2.4.2. Weight Loss
To determine weight loss, each sample was weighed at the beginning of storage and subsequently after 7 and 14 days. The difference was used to quantify weight loss over time, and the result was reported as a percentage of the initial weight.
2.4.3. Colour
Colour was measured on the upper surface of 10 leaves per replicate, taking three readings on each leaf with a colorimeter (Minolta CR-400 Series, Ramsey, NJ, USA). The resulting CIE Lab tristimulus values (L*, a*, b*) were then used to calculate the hue angle as arctan(b*/a*).
2.4.4. Microbial Analysis
Microbial growth (mesophilic and psychrophilic aerobic bacteria, enterobacteria, and yeasts and moulds) was determined using standard enumeration methods described by Gómez et al. [
19]. All microbial counts were reported as log colony forming units per gram of product (log CFU g
−1). Each of the three replicates was analysed by duplicate.
2.4.5. Sensory Evaluation
A trained panel carried out the sensory evaluation following international standards (ASTM STP 913, 1986). The panel developed a descriptive vocabulary covering attributes such as visual appearance, colour, dehydration, aroma, flavour, and texture. Overall quality was defined as the product’s general acceptability, integrating visual, textural, and taste-related characteristics. The samples were graded on a 9-point scale for colour, scent, flavour, texture, visual appearance, and overall quality (9: excellent, 5: limit of marketability, 1: severely terrible), as well as dehydration (9: no dehydration, 5: limit of marketability, 1: highly dehydrated). The evaluation was conducted on day 0, 7, and 14 of storage at 4 °C.
2.4.6. Total Phenolics and Total Flavonoids Content
The total phenolic content (TPC) and total flavonoid content (TFC) were analysed using the method outlined by Martínez-Zamora et al. [
27]. To prepare the sample extract, 19 μL was combined with 29 μL of 1N Folin-Ciocalteu reagent and 192 μL of 0.4% Na
2CO
3 and 2% NaOH solution. After 1 h of incubation in darkness, absorbance at 750 nm was measured with a microplate reader (Tecan Infinite M200, Männedorf, Switzerland). TPC was calculated as mg of galic acid equivalents (GA) kg
−1 FW, and each extract was tested in triplicate.
To perform TFC analysis, 30 μL of extract was combined with 80 μL of 20 g L−1 AlCl3. After shaking and 1 h incubation in darkness, absorbance was measured at 415 nm. TFC was calculated as mg of rutein equivalents kg−1 FW. Each sample extract was analysed in triplicate.
2.4.7. Total Antioxidant Capacity
The measurement of total antioxidant capacity (TAC) was done by using the same extract from the total phenolic content (TPC) with the DPPH method outlined by Castillejo et al. [
28]. Absorbance changes were measured at 515 nm using a Tecan Infinite M200 reader (Männedorf, Switzerland). Obtained data were expressed as mg of Trolox equivalents (TE) kg
−1 FW. Each sample extract was analysed in triplicate.
2.4.8. Nitrate Content
Samples for nitrate analysis were prepared by extracting 0.2 g of the same leaves used for DW determination with 50 mL of distilled water. The extracts were shaken at 110 rpm in an orbital shaker (Stuart SSL1, Stone, UK) at 50 °C for 45 min. Nitrate was then quantified by ion chromatography using a Metrosep A SUPP 5 column (Metrohm AG, Zofingen, Switzerland) operating at a flow rate of 0.7 mL min−1, following the manufacturer's specifications.
2.5. Statistical Analysis
The experiment design was a completely randomized block design. Data are presented as the mean ± standard error (SE). The results were subjected to analysis of variance (ANOVA) with two factors: growing substrate and type of packaging at harvest and after storage at 7 and 14 days, followed by a comparison of means using Tukey´s test at P ≤ 0,05. Analysis was performed using Statgraphics Centurion (Stat Point Technologies, Inc., Warrenton, V.A., USA).
3. Results and Discussion
3.1. Substrate Characteristics and Yield
All substrates exhibited an appropriated bulk density (BD < 0.4 g/cm
3) (
Table 1), as recommended in the literature [
29]. Bulk density reflects the degree of substrate compaction and is inversely related to porosity. The incorporation of mushroom or livestock compost into cocopeat did not significantly alter its main physical properties; all mixtures maintained high and appropriate levels of total porosity and water holding capacity (WHC). The relatively low air-filled porosity observed in this study, combined with the high WHC of all mixtures, suggests that less frequent irrigation with smaller volumes may be sufficient to maintain optimal crop water status, an environmental advantage due to the reduced water consumption.
The electrical conductivity (EC) was markedly higher in the CP+MC substrate (10.2 mS cm
−1), reflecting an increase in soluble salts consistent with the substantial rise in both cations and anions. The CP+LC substrate also exhibited elevated concentrations, although to a lesser extent than CP+MC, suggesting that LC contributes an intermediate degree of mineralization. Bernal et al. [
30] reported that cation release is proportional to the degradation rate of organic matter in enriched composts. Phosphate (H
3PO
4−) concentrations similarly increased in both enriched treatments, likely due to the greater P availability in materials at more advanced decomposition stages [
31]. In contrast, Fe displayed a distinct pattern: its concentration was high in CP and CP+LC but substantially lower in CP+MC.
Production data revealed differences in crop performance among the different substrates (
Figure 1). The cumulative yield was highest in the CP+LC substrate, which consistently outperformed the other formulations, reaching 4.85 kg m
−2 compared with 4.54 kg m
−2 in CP and 4.43 kg m
−2 in CP+MC, corresponding to increases of 6.8% and 9.5%, respectively. At the first harvest, the substrate CP+LC and CP+MC achieved yields of 0.31 and 0.21 kg m
−2, respectively, whereas CP produced only 0.14 kg m
−2. These values represent increases of 114.6% and 48%, highlighting an early stimulation of plant growth in substrates enriched with organic amendments. These positive effects can be attributed to the more favourable pH balance and nutrient-enriched profile of CP+LC and CP+MC, as indicated by the physicochemical properties reported in
Table 1. During the second harvest, both CP and CP+LC substrates produced equivalent yields (1.68 kg m
−2), approximately 27.6% higher than that obtained with CP+MC. Although CP+MC initially exhibited intermediate productivity, its performance declined in subsequent harvests, ultimately resulting in the lowest cumulative yield. The decline in productivity associated with CP+MC can be explained by its initial elevated electrical conductivity, which was 35.8-fold and 4.4-fold higher than that of CP and CP+LC, respectively (
Table 1). High substrate salinity is known to inhibit nutrient uptake and root development, leading to impaired plant performance. These findings are consistent with Rahman et al. [
32], who identified spent mushroom substrate as a promising, yet salinity-limited component of mixtures used. Similarly, Johnson and Di Gioia [
33] observed that partial substitution of peat moss with spent mushroom compost-maintained yields comparable to peat-based controls, whereas mixtures composed solely of spent mushrooms compost and perlite (1:1 v/v) resulted in markedly reduced biomass in basil (
Ocimum basilicum).
3.2. Head Space Composition
The atmosphere composition inside the packages is reported in
Table 2. The O
2 and CO
2 levels accumulated at equilibrium are the result of the balance of leaves respiration and film permeability. Storage of rocket in all types of tested packages at 4 °C ensured an aerobic condition until the end of storage for all the treatments. However, leaves of plants that were cultivated in CP+MC and stored in PL bags for 14 days resulted in the highest concentrations of CO
2 (6.43 kPa) and the lowest O
2 values (12.86 kPa), indicating a higher respiration rate when compared to the other treatments. Higher respiration rates are associated with a shorter shelf-life and a faster deterioration of quality parameters. The use of MAP as a postharvest preservation technology for wild rocket has been widely documented in scientific literature. Optimal conditions for MAP have been consistently reported to include atmospheres with CO
2 between 5 and 10 kPa and O
2 also between 5 and 10 kPa [
34,
35]. These values are considered particularly suitable to preserve sensory properties, such as colour, texture, aroma, and microbiological quality when compared to storage in normal air atmospheres. In the present study, although PL films generated a headspace atmosphere approaching the recommended gas composition, excessive condensation inside the packages compromised product quality. In contrast, PLK and CK films induced a less pronounced modification of the internal atmosphere compared to PL, except in the PLK + CP+MC treatment, where the headspace gas composition closely matched the optimal MAP conditions (14.8 kPa O
2, 5.4 kPa CO
2). With CK films, atmosphere modification was negligible irrespective of the substrate, and an additional drawback was detected (see Subsection 3.3): severe leaf dehydration due to moisture absorption by the packaging material. Overall, PLK films provided the most effective preservation of rocket leaf quality. While they did not induce substantial shifts in headspace composition, particularly in samples grown in CP and CP+LC substrates, as said, PLK created an atmosphere closest to the target gas balance in leaves cultivated in CP+MC. This characteristic highlights its potential as a viable and sustainable alternative to conventional petroleum-derived plastic packaging materials, offering not only functional advantages in terms of product preservation but also aligning with broader environmental and circular economic objectives.
Data represent the mean value ± SE (n=3). Different letters for each gas within the same sampling day indicate significant differences among treatments at p ≤ 0.05 (Tukey’s test). CP: coco peat; CP+LC: coco peat with livestock compost, and CP+MC: coco peat with spent mushroom compost; PL: polylactic acid bags; CK: cellulose kraft bags; PLK: polylactic acid kraft bags
3.3. Weight Loss
At 7 days of storage, dehydration was the highest in leaves of plants grown in CP and packaged in CK as well as those grown in CP+MC. After 14 days the dehydration was significantly higher in leaves packaged in CK respect to the types of packaging (
Figure 2). CK bags had the lowest WVTR when compared to the other package’s materials. However, cellulose is a highly hygroscopic compound, meaning that it attracts and retains water molecules from the surrounding environment. This behaviour is due to the numerous hydroxyl groups (–OH) in its structure, which readily form hydrogen bonds with water [
36]. In this way, the CK packaging absorbed moisture from the rocket leaves, promoting their dehydration and the consequent loss of water and turgor. The values detected in this experiment were higher than those obtained by Kays and Paull [
37] and Thompson et al. [
38], which indicate a maximum permissible water loss (%) for lettuce, spinach and watercress of 3 to 7%.
3.4. Colour Changes
Non relevant differences in leaf colour were observed among wild rocket cultivated in the different substrates and stored in the various packaging materials (
Figure 3). However, a slight reduction in the Hue angle, indicative of a moderate loss of green coloration and the onset of yellowing, was particularly evident in PL bags containing leaves of plants grown with CP substrate at 14 days of storage. This decreasing trend in Hue angle is consistent with previous reports, as wild rocket with an intense green pigmentation tends to exhibit noticeable yellowing during storage [
39].
The absence of anaerobic conditions, which are known to promote acidic degradation of chlorophyll, as well as the establishment of modified atmospheres distinct from normal air, helped to prevent the acceleration of senescence and the consequent loss of green coloration. This preservation of colour is especially relevant, as the green Hue of wild rocket is widely recognized as a critical quality attribute at the point of purchase and a reliable indicator of freshness [
40].
The packaging–substrate combination that achieved the most favourable and sustainable atmosphere composition (PLK + CP or PLK+MC) as the other treatments ensured the maintenance of leaf colour, preventing relevant alterations throughout storage. This finding highlights the suitability of PLK, not only for extending shelf life but also for preserving key sensory attributes that determine consumer acceptance.
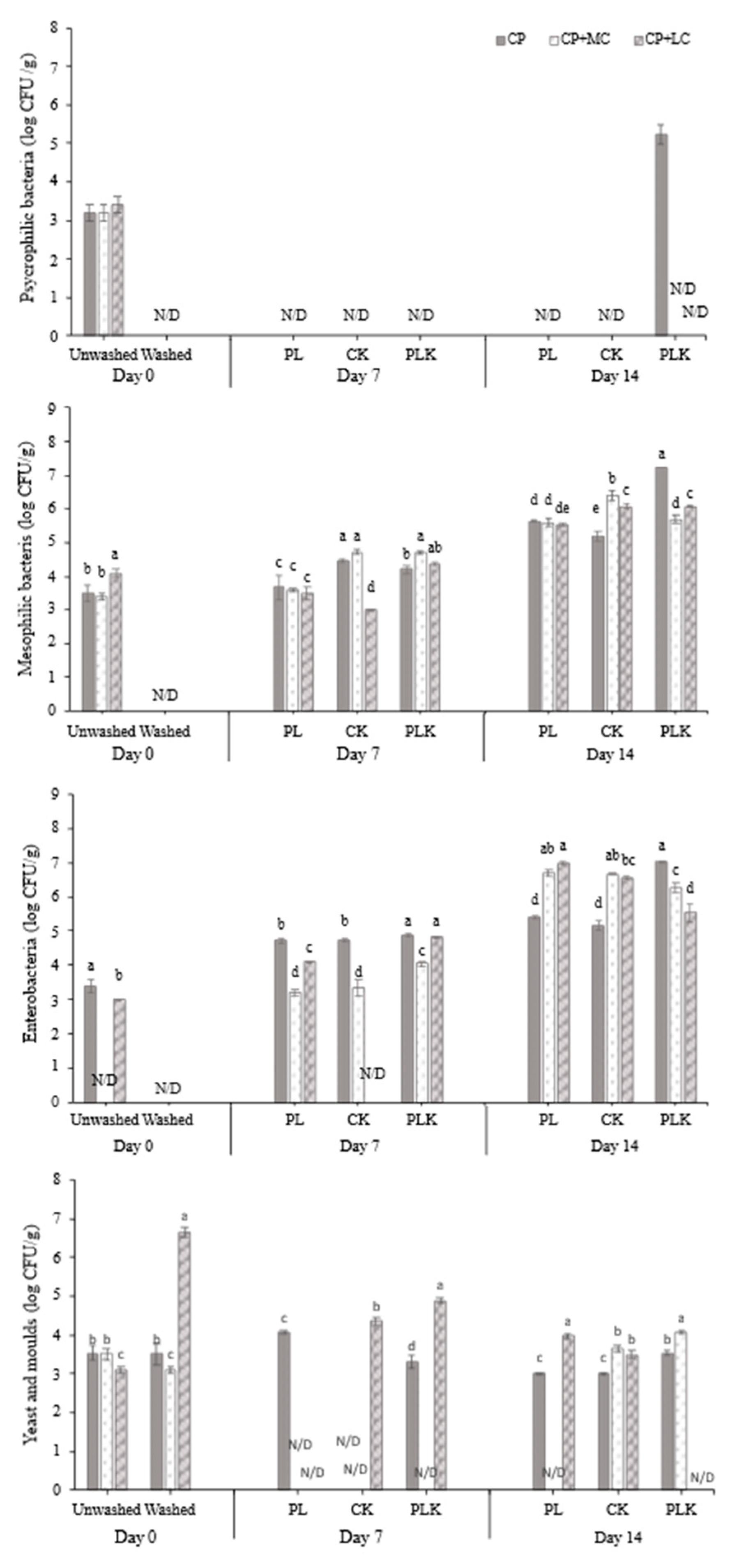
3.5. Microbial Growth
Samples from all treatments exhibited an initial microbial load of approximately 3.5 log CFU g
−1 for total mesophilic aerobic bacteria, psychrotrophic bacteria, moulds, yeasts, and enterobacteria (
Figure 4). This growth can be considered relatively low and within the expected range for leafy vegetables cultivated in substrates prior to disinfection [
41]. Sodium hypochlorite (NaClO) disinfection proved to be highly effective in reducing microbial populations to undetectable levels, except for moulds and yeasts, which, although still present after treatment, remained within microbiologically acceptable limits for fresh produce [
42].
As expected, microbial loads increased during storage, with slight variations among treatments, although none of these differences were particularly critical in terms of overall food safety. Nonetheless, a noteworthy finding was the proliferation of enterobacteria, particularly in leaves derived from plants cultivated in compost-based substrates. This observation is consistent with previous studies highlighting compost as a potential reservoir of enterobacteriaceae and other spoilage or opportunistic microorganisms [
43]. In such cases, it would be advisable to reinforce the disinfection protocol, either by optimizing NaClO concentration and contact time or by combining it with alternative or complementary sanitizing technologies (e.g., peracetic acid, electrolyzed water, UV-C light). Moreover, strict control of NaClO solution pH is critical to ensure the predominance of hypochlorous acid, the most active antimicrobial species, thereby maximizing efficacy in the reduction of enterobacteria and extending product shelf life [
42].
3.6. Sensory Evaluation
At harvest, the sensory attributes of wild rocket, including colour, aroma, visual appearance, and dehydration, were generally similar across treatments (
Figure 5a). Nevertheless, leaves of plants cultivated in CP+MC displayed slightly superior sensory traits, with a more intense green coloration and greater leaf turgidity, suggesting that substrate composition may influence initial quality parameters. Such differences are in line with reports indicating that agronomic factors, including nutrient availability and organic matter, can modulate pigment accumulation and textural properties in leafy vegetables [
44].
After 7 days of storage, rocket leaves from all treatments retained an acceptable sensory quality for consumption (
Figure 5b). As indicated previously, instrumental colour analysis confirmed the absence of significant green colour losses, consistent with the general stability of chlorophyll under aerobic modified atmospheres within an acceptable range for rocket. The only noticeable change was an increased dehydration in samples stored in CK bags, reflecting the higher water absorption capacity of this cellulosic material. Excessive moisture loss has been previously associated with textural deterioration and diminished consumer acceptability in leafy greens [
45].
By day 14 of storage, clear differences emerged between treatments. Among the substrates, leaves grown in CP+MC continued to deliver the best overall quality, with leaves maintaining superior visual appearance and texture (
Figure 5c). However, packaging type had a stronger influence than substrate at this stage. Leaves stored in CK bags exhibited the greatest dehydration, leading to a loss of crispness and a reduction in characteristic aroma. This revealed the dual role of packaging: while it can delay senescence and yellowing [
46], inappropriate water vapor dynamics may accelerate quality losses when the material absorbs moisture from the product.
Conversely, PL bags led to the opposite problem: excessive humidity accumulation within the package. This promoted surface condensation on leaves, which negatively affected texture and facilitated the development of off-odours and tissue degradation. Such moisture accumulation is a well-documented drawback in sealed plastic films, often exacerbating microbial proliferation and compromising product integrity [
47].
In contrast, PLK bags proved more effective in maintaining sensory attributes. Leaves packaged in PLK retained their typical pungent flavour, green colour, and crisp texture throughout storage, confirming that this material provided a more balanced internal atmosphere and WVTR. Consumer acceptance of wild rocket is influenced not only by visual and textural parameters but also by flavour and pungency, attributes strongly associated with isothiocyanates and other sulfur-containing compounds [
44]. However, acceptance of pungency is partly judge-dependent, as tolerance to bitter and spicy notes varies among consumers.
Taken together, these findings indicate that while cultivation substrate can confer minor differences in initial quality, packaging material plays a decisive role during storage. PLK packaging emerged as the most suitable option for preserving the sensory profile of wild rocket, achieving a compromise between minimizing dehydration and avoiding excess humidity. This aligns with recent efforts to employ biobased materials that combine functionality with sustainability, while ensuring product quality and consumer satisfaction [
35].
3.7. Total Phenolics Content
At harvest (D0), the TPC of the leaves was significantly higher in plants grown in media containing organic amendments (CP+MC and CP+LC), reaching 4889.27 and 4741.86 mg GA kg
−1 FW, respectively (
Figure 6). These values were higher than those reported by Gómez et al. [
19] using compost as substrate. This difference suggests that the incorporation of MC and LC promoted a greater accumulation of phenolic compounds, possibly due to the nature of both amendments. The mushroom-based substrate is known to contain phenolic compounds with notable antioxidant capacity, which may stimulate secondary metabolic responses in plants [
48]. In contrast, as reported by Younis et al. [
49], CP is nutrient-poor and lacks biotic or abiotic stimuli, resulting in lower initial levels of phenolic compounds.
After 7 days of storage, significant reductions in TPC were observed in leaves of plants grown in organic substrates meanwhile those grown on CP maintained their content period in the three bags used (PL, CK and PLK). On the other hand, wild rocket leaves grown in CP+LC and packaged in CK showed a significantly higher value compared to those packaged in PL and PLK bags.
An overall decreasing trend was observed after 14 days of storage for all treatments, the most pronounced reduction was in leaves of plants grown in CP+CL in the three packages, particularly in the PLK bags (1750.16 mg GA kg
−1 FW) (
Figure 6). This may be due to a more active metabolism, which in turn accelerates senescence and the oxidation of phenolic compounds. The plants grown in CP+MC substrate showed a more stable TPC that could be associated with a slower release or degradation of phenolic compounds in the presence of MC. The leaves packaged in CK bags showed no difference in TPC in the three substrates, and could have maintained more favourable conditions for conservation, thus delaying oxidation.
3.8. Total Flavonoids Content
At harvest, leaves of wild rocket grown on compost-amended substrates (CP+LC and CP+HC) showed a significantly higher TFC, suggesting that compost may stimulate flavonoid biosynthesis (
Figure 7). These findings contrast with those reported by Gómez et al. [
19], who observed no significant differences in TFC in wild rocket cultivated in an agro-industrial compost by-products compared with peat-based substrates. This discrepancy indicates that the specific composition of the compost may influence the plant’s metabolic response.
During storage, substantial variation in flavonoid levels was observed as a function of both packaging type and growth substrate (
Figure 7), following a pattern similar to that of total phenolic content. (
Figure 6). After 7 days, flavonoid content increased significantly in plants grown in CP, whereas a significant decline was detected in those grown in PC+CM packaged in CK bags (328.99 mg rutin kg
−1 FW). Conversely, after 14 days, plants cultivated in CP+MC and packaged in CK bags showed a pronounced rise in flavonoid concentration, while those grown in CP and CP+CL maintained stable levels.
3.9. Total Antioxidant Capacity
At harvest, the antioxidant capacity in leaves was significantly higher in the plants grown in the substrate with mushroom compost (CP+CM) (3298.20 mg TE kg
−1 FW) (
Figure 8). This finding is consistent with that of Pereira et al. [
50], who confirmed that the incorporation of mushroom compost may improve the content of secondary metabolites in vegetables.
At 7 days of storage at 4 °C, the antioxidant capacity was significantly reduced in plants grown in CP+CM substrate, especially in the leaves packaged in CK bags as well as the content of phenols (
Figure 6) and flavonoids (
Figure 7), whereas in those grown in CP substrate the antioxidant capacity increased significantly in the three packages. In contrast, with CP+CL substrate the flavonoid content was more stable after storage. After 14 days, leaves stored in CK bags had the highest antioxidant capacity for each of the substrates, with values in CP+CL of 3244.67 mg TE kg
−1 FW (
Figure 8). This condition may be due to a progressive release of antioxidant compounds from the livestock compost during cultivation or to a preservative effect of the CK packaging which may have reduced exposure to oxygen or light, factors that degrade polyphenols [
51].
3.10. Nitrate Content
At harvest (D0), significant differences in nitrate concentration were observed in wild rocket leaves grown in CP and CP+CM compared with those cultivated in CP+LC (
Figure 9). Although the CP+CM substrate initially contained a much higher nitrogen concentration than the CP and CP+LC substrates (
Table 1), this initial N availability did not translate into higher leaf nitrate levels at D0. This is likely due to nutrient depletion in the substrates, considering that all assessments were done on the fifth harvest cycle. The nitrate concentrations measured were relatively high, confirming the natural tendency of wild rocket to accumulate more nitrates than other leafy vegetables [
44]. Nonetheless, the values obtained fell within the limits established by the European Commission, which sets maximum levels of 6000–7000 mg NO
3− kg
−1 FW for wild rocket leaves.
After 7 days of storage (D7), packaging type had a significant impact on nitrate accumulation in the leaves. In samples stored in CK bags, leaves of plants grown in CP+MC and CP+LC substrates showed markedly higher nitrate concentrations, exceeding 7000 mg NO
3− kg
−1 FW after 14 days of storage (D14) (
Figure 9). These results suggest that CK packaging compromises the postharvest quality of wild rocket by reducing its preservation capacity and altering nitrate metabolism during storage, likely due to the dehydration observed in this packaging type (
Figure 2).
4. Conclusions
This study demonstrates the interplay between growth substrates and packaging materials in determining both yield and postharvest quality of wild rocket. Substrates enriched with organic amendments, particularly livestock compost (CP+LC), resulted in the highest yields and enhanced early plant development, while mushroom compost (CP+MC) promoted the accumulation of phenolic compounds and antioxidant activity despite exhibiting some growth limitations associated with salinity.
Packaging material had a decisive influence during storage. PLK bags generated the most stable internal atmosphere, effectively reducing dehydration and condensation while preserving colour, texture, and aroma. In contrast, CK packaging led to excessive moisture loss, whereas PL films favoured condensation and accelerated leaf deterioration.
Microbial loads remained within acceptable safety limits, although compost-based substrates may require rigorous sanitation practices. Nitrate concentrations complied with European regulations, and leaves produced on compost-enriched substrates exhibited higher antioxidant potential at harvest.
Overall, the integration of organic compost substrates with PLK packaging represents the most sustainable and effective strategy for maintaining the sensory, nutritional, and physicochemical quality of wild rocket. These findings support the transition toward more circular and eco-efficient horticultural production systems.
Author Contributions
Conceptualization, J.A.F. and P.A.G..; methodology, R.R.B., A.G. and P.A.G.; formal analysis, A.G, V.G.C. and J.O.; data curation, A.G. and C.E.G.; writing—original draft preparation, C.E.G.; writing—review and editing, C.E.G, P.A.G. and J.A.F; supervision, J.A.F and P.G.; project administration, J.A.F.; funding acquisition, J.A.F. All authors have read and agreed to the published version of the manuscript.
Funding
The research was supported by Grant PID2020-114410RB-I00 funded by MCIN/AEI/10.13039/501100011033, and Grant AGROALNEX funded by Comunidad Autónoma de la Región de Murcia through Fundación Séneca—Agencia de Ciencia y Tecnología de la Región de Murcia and European Union NextGenerationEU.
Data Availability Statement
The original contributions presented in this study are included in the article. Further inquiries can be directed to the corresponding authors.
Conflicts of Interest
The authors declare no conflicts of interest. The funders had no role in the design of the study; in the collection, analyses, or interpretation of data; in the writing of the manuscript; or in the decision to publish the results.
References
- Ressurreição, S.; Salgueiro, L.; Figueirinha, A. Diplotaxis Genus: A Promising Source of Compounds with Nutritional and Biological Properties. Molecules 2024, 29, 2612. [Google Scholar] [CrossRef]
- Bonasia, A.; Lazziera, C.; Elia, A.; Conversa, G. Nutritional, biophysical and physiological characteristics of wild rocket genotypes as affected by soilless cultivation system, salinity level of nutrient solution and growing period. Front. Plant Sci. 2017, 8, 300. [Google Scholar] [CrossRef]
- Caruso, G.; Pascale, S.D.; Nicoletti, R.; Cozzolino, E.; Rouphael, Y. Productivity, nutritional and functional qualities of perennial wall-rocket: Effects of pre-harvest factors. Folia Hortic. 2019, 31, 71–80. [Google Scholar] [CrossRef]
- Bonasia, A.; Conversa, G.; Lazzizera, C.; Elia, A. Post-harvest performance of ready-to-eat wild rocket salad as affected by growing period, soilless cultivation system and genotype. Postharvest Biol. Technol. 2019, 156, 110909. [Google Scholar] [CrossRef]
- Gruda, N.S. Increasing Sustainability of Growing Media Constituents and Stand-Alone Substrates in Soilless Culture Systems. Agronomy 2019, 9, 298. [Google Scholar] [CrossRef]
- Nguyen, V.T.H.; Barbagli, T.; Blok, C.; Zheng, Z.; Mondaca-Duarte, F.; Vandecasteele, B. Growing Media Market by 2050: Demand and Availability of Raw Materials. Poster presented to II International Symposium on Growing Media, Compost Utilization and Substrate Analysis for Soilless Cultivation, 2025, Freising 7th to 12th September 2025. [Google Scholar]
- Abad, M.; Noguera, P.; Puchades, R.; Maquieira, A.; Noguera, V. Physico-chemical and chemical properties of some coconut coir dusts for use as a peat substitute for containerised ornamental plants. Bioresour Technol. 2002, 82, 241–245. [Google Scholar] [CrossRef]
- Maher, M.; Prasad, M.; Raviv, M. Organic soilless media components. In Soilless culture: Theory and practice; Raviv, M, Lieth, JH, Eds.; Oxford, Elsevier, 2008; pp. 459–504. [Google Scholar] [CrossRef]
- Khalil, S.; Panda, P.; Ghadamgahi, F.; Barreiro, A.; Rosberg, A.K.; Karlsson, M.; Vetukuri, R.R. Microbial potential of spent mushroom compost and oyster substrate in horticulture: Diversity, function, and sustainable plant growth solutions. J. Environ. Manage. 2024, 357, 120654. [Google Scholar] [CrossRef]
- Poudel, P.; Duenas Anela, E.K.; Di Gioia, F. Organic waste compost and spent mushroom compost as potential growing media components for the sustainable production of microgreens. Front. Plant Sci. 2023, 14. [Google Scholar] [CrossRef] [PubMed]
- Nicoletti, R.; Raimo, F.; Miccio, G. Diplotaxis tenuifolia: Biology, Production and Properties. Eur. J. Plant Sci. Biotech. 2007, 1, 36–43. [Google Scholar]
- Siomos, A.S.; Koukounaras, A. Quality and postharvest physiology of rocket leaves. Fresh Produce. 2007, 1, 59–65. Available online: https://www.academia.edu/24613148/Quality_and_Postharvest_Physiology_of_Rocket_Leaves.
- Marsh, K.; Bugusu, B. Food packaging - roles, materials, and environmental issues. J. Food Sci. 2007, 72, 39–55. [Google Scholar] [CrossRef]
- Siracusa, V.; Rocculi, P.; Romani, S.; Rosa, M.D. Biodegradable polymers for food packaging: a review. Trends Food Sci. Technol. 2008, 19, 634–643. [Google Scholar] [CrossRef]
- Tajeddin, B. Packaging Composite Materials from Renewable Resources. In Handbook of Composites from Renewable Materials; 2017; pp. 525–561. [Google Scholar] [CrossRef]
- Kathuria, A.; Zhang, S. Sustainable and Repulpable Barrier Coatings for Fiber-Based Materials for Food Packaging: A Review. Front. Mater. 2022, 9, 929501. [Google Scholar] [CrossRef]
- Marano, S.; Laudadio, E.; Minnelli, C.; Stipa, P. Tailoring the Barrier Properties of PLA: A State-of-the-Art Review for Food Packaging Applications. Polymers 2022, 14, 1626. [Google Scholar] [CrossRef] [PubMed]
- Yun, X.; Liu, L.; Hu, J.; Sun, T.; Zhang, J.; Dong, T. Mechanical and gas permeability properties of poly (L-lactic acid)–based films and their application in fresh produce preservation—Review. Packaging Technol. Sci. 2024, 37, 293–317. [Google Scholar] [CrossRef]
- Gómez, P.A.; Egea-Gilabert, C.; Giménez, A.; Benaissa, R.R.; Amoruso, F.; Signore, A.; Gallegos-Cedillo, V.M.; Ochoa, J.; Fernández, J.A. Biodegradable Food Packaging of Wild Rocket (Diplotaxis tenuifolia L. [DC.]) and Sea Fennel (Crithmum maritimum L.) Grown in a Cascade Cropping System for Short Food Supply Chain. Horticulturae 2023, 9, 621–621. [Google Scholar] [CrossRef]
- Zhan, L.; Bulgari, R.; Pignata, G.; Casale, M.; Nicola, S. The Mixing Ratio and Filling-Amount Affect the Tissue Browning and Antioxidant Properties of Fresh-Cut Baby Leaf Lettuce (Lactuca sativa L.) and Rocket (Eruca sativa Mill.) Grown in Floating Growing Systems. Foods 2022, 11, 3515–3515. [Google Scholar] [CrossRef]
- Bonasia, A.; Lazzizera, C.; Elia, A.; Conversa, G. Pre-Harvest Strategy for Improving Harvest and Post-Harvest Performance of Kale and Chicory Baby Leaves. Plants 2025, 14, 863. [Google Scholar] [CrossRef] [PubMed]
- Maluin, F.N.; Hussein, M.Z.; Nik Ibrahim, N.N.L.; Wayayok, A.; Hashim, N. Some Emerging Opportunities of Nanotechnology Development for Soilless and Microgreen Farming. Agronomy 2021, 11, 1213. [Google Scholar] [CrossRef]
- Choi, S.; Colla, G.; Cardarelli, M.; Kim, H.J. Effects of Plant-Derived Protein Hydrolysates on Yield, Quality, and Nitrogen Use Efficiency of Greenhouse Grown Lettuce and Tomato. Agronomy 2022, 12, 1018. [Google Scholar] [CrossRef]
- Palumbo, M.; Bonelli, L.; Pace, B.; Montesano, F.F.; Serio, F.; Cefola, M. Reduced Fertilization to Improve Sustainable Use of Resources and Preserve Postharvest Quality of Fresh-Cut Wild Rocket (Diplotaxis tenuifolia L.) in Soil-Bound and Soilless Cultivation. Plants 2024, 13, 499. [Google Scholar] [CrossRef]
- Gimenez, A.; Gallegos-Cedillo, V.M.; Benaissa, R. R.; Egea-Gilabert, C.; Signore, A.; Ochoa, J.; Gruda, N.; Arnao, M.B.; Fernández, J.A. Enhancing the cultivation of Salicornia fruticose with agroindustrial compost leachates in a cascade cropping system: evaluating the impact of melatonin application. Front. Plant Sci. 2024, 15. [Google Scholar] [CrossRef]
- Signore, A.; Amoruso, F.; Gallegos-Cedillo, V.M.; Gómez, P.A.; Ochoa, J.; Egea-Gilabert, C.; Costa-Pérez, A.; Domínguez-Perles, R.; Moreno, D.A.; Pascual, J.A.; Fernández, J.A. Agro-Industrial Compost in Soilless Cultivation Modulates the Vitamin C Content and Phytochemical Markers of Plant Stress in Rocket Salad (Diplotaxis tenuifolia (L.) DC.). Agronomy 2023, 13, 544. [Google Scholar] [CrossRef]
- Martínez-Zamora, L.; Castillejo, N.; Artés-Hernández, F. Postharvest UV-B and photoperiod with blue + red LEDs as strategies to stimulate carotenogenesis in bell peppers. Appl. Sci. 2021, 11, 3736. [Google Scholar] [CrossRef]
- Castillejo, N.; Martínez-Zamora, L.; Gómez, P.A.; Pennisi, G.; Crepaldi, A.; Fernández, J.A.; Orsini, F.; Artés–Hernández, F. Postharvest LED Lighting: Effect of red, blue, and far red on quality of minimally processed broccoli sprouts. J. Sci. Food Agric. 2021, 101, 44–53. [Google Scholar] [CrossRef] [PubMed]
- Abad, M.; Noguera, P.; Burés, S. National inventory of organic wastes for use as growing media for ornamental potted plant production: case study in Spain. Bioresource Technol. 2001, 77, 197–200. [Google Scholar] [CrossRef]
- Bernal, M.P.; Alburquerque, J. A.; Moral, R. Composting of animal manures and chemical criteria for compost maturity assessment. Bioresource Technol. 2009, 100, 5444–5453. [Google Scholar] [CrossRef]
- Hernández, T.; Chocano, C.; Moreno, J. L.; García, C. Towards a more sustainable fertilization: Combined use of compost and inorganic fertilization for tomato cultivation. Agric. Ecosys. Environ. 2016, 224, 265–272. [Google Scholar] [CrossRef]
- Rahman, N.A.; Adam, S.; Kassim, N.Q.B. Effects of Peat in Reducing the Salinity of Spent Mushroom Waste as Growing Medium. Malaysian J. Soil Sci. 2024, 28, 147–152. [Google Scholar]
- Johnson, T.; Di Gioia, F. Spent mushroom compost as an alternative to peat-based soilless media for greenhouse potted basil production. Acta Hortic. 2025, 1426, 317–324. [Google Scholar] [CrossRef]
- Løkke, M.; Seefeldt, H.; Skov, T.; Edelenbos, M. Freshness and sensory quality of packaged wild rocket. Postharvest Biol. Technol. 2012, 73, 99–106. [Google Scholar] [CrossRef]
- Mastrandrea, L.; Amodio, M.L.; Pati, S.; Colelli, G. Effect of modified atmosphere packaging and temperature abuse on flavor related volatile compounds of rocket leaves (Diplotaxis tenuifolia L.). J Food Sci Technol. 2017, 54, 2433–2442. [Google Scholar] [CrossRef]
- Simon, M.; Fulchiron, R.; Gouanvé, F. Water Sorption and Mechanical Properties of Cellulosic Derivative Fibers. Polymers 2022, 14, 2836. [Google Scholar] [CrossRef] [PubMed]
- Kays, S.J.; Paull, R.E. Postharvest biology; Exon Press: Athens GA, 2024. [Google Scholar]
- Thompson, J.F.; Mitchell, F.G.; Rumsey, T.R.; Kasmire, R.F.; Crisosto, C.H. Commercial Cooling of Fruits, Vegetables, and Flowers. In University of California, Agriculture and Natural Resources; 2008; p. Pub. 21567. [Google Scholar]
- Kenigsbuch, D.; Ovadia, A.; Shahar-Ivanova, Y.; Chalupowicz, D.; Maurer, D. “Rock-Ad”, a new wild rocket (Diplotaxis tenuifolia) mutant with late flowering and delayed postharvest senescence. Sci. Hortic. 2014, 174, 17–23. [Google Scholar] [CrossRef]
- Qiu, Y.; Zhao, Y.; Liu, J.; Guo, Y. A statistical analysis of the freshness of postharvest leafy vegetables with application of water based on chlorophyll fluorescence measurement. Inf. Proces. Agricul. 2017, 4, 269–274. [Google Scholar] [CrossRef]
- Gutiérrez, D.; Rodríguez, S. Combined Effect of UV-C and Ozone on Bioactive Compounds and Microbiological Quality of Fresh-Cut Rocket Leaves. Am. J. Food Sci. Technol. 2019, 7, 71–78. [Google Scholar] [CrossRef]
- Giménez, A.; Gómez, P.A.; Bustamante, M.Á.; Pérez-Murcia, M.D.; Martínez-Sabater, E.; Ros, M.; Pascual, J.A.; Egea-Gilabert, C.; Fernández, J.A. Effect of Compost Extract Addition to Different Types of Fertilizers on Quality at Harvest and Shelf Life of Spinach. Agronomy 2021, 11, 632. [Google Scholar] [CrossRef]
- Alegbeleye, O.O.; Singleton, I.; Sant’Ana, A.S. Sources and contamination routes of microbial pathogens to fresh produce during field cultivation: A review. Food Microbiol. 2018, 73, 177–208. [Google Scholar] [CrossRef]
- Bell, L.; Methven, L.; Signore, A.; Oruna-Concha, M.J.; Wagstaff, C. Rocket science: A review of phytochemical & sensory characteristics and consumer preferences for rocket (Eruca & Diplotaxis spp.). Food Rev. Int. 2017, 33, 623–645. [Google Scholar]
- Conte, A.; Scrocco, C.; Brescia, I.; Del Nobile, M.A. Packaging strategies to prolong the shelf life of minimally processed lettuce. J. Food Sci. Technol. 2015, 52, 3520–3529. [Google Scholar] [CrossRef]
- Ragaert, P.; Verbeke, W.; Devlieghere, F.; Debevere, J. Consumer perception and choice of minimally processed vegetables and packaged fruits. Food Quality Pref. 2007, 15, 259–270. [Google Scholar] [CrossRef]
- Gil, M.I.; Selma, M.V.; López-Gálvez, F.; Allende, A. Fresh-cut product sanitation and wash water disinfection: Problems and solutions. Int. J. Food Microbiol. 2015, 213, 11–22. [Google Scholar] [CrossRef]
- Baptista, F.; Campos, J.; Costa-Silva, V.; Pinto, A.R.; Saavedra, M.J.; Ferreira, L.M.; Rodrigues, M.; Barros, A.N. Nutraceutical Potential of Lentinula edodes’ Spent Mushroom Substrate: A Comprehensive Study on Phenolic Composition, Antioxidant Activity, and Antibacterial Effects. J. Fungi 2023, 9, 1200. [Google Scholar] [CrossRef]
- Younis, A.; Ahsan, M.; Akram, A.; Lim, K.B.; Zulfiqar, F.; Tariq, U. Use of Organic Substrates in Sustainable Horticulture. Bio-Prod. Sustain. Agric. 2022, 122. [Google Scholar] [CrossRef]
- Pereira, E.; Barros, L.; Martins, A.; Ferreira, I.C.F.R. Towards chemical and nutritional inventory of Portuguese wild edible mushrooms in different habitats. Food Chem. 2012, 130, 394–403. [Google Scholar] [CrossRef]
- Deshmukh, R.K.; Gaikwad, K.K. Natural antimicrobial and antioxidant compounds for active food packaging applications. Biomass Conv. Bioref. 2024, 14, 4419–4440. [Google Scholar] [CrossRef]
Figure 1.
Accumulated yield (kg m−2) of fresh-cut wild rocket cultivated in different substrates during the crop cycle. CP: coco peat; CP+LC: coco peat with livestock compost, and CP+MC: coco peat with spent mushroom compost.
Figure 1.
Accumulated yield (kg m−2) of fresh-cut wild rocket cultivated in different substrates during the crop cycle. CP: coco peat; CP+LC: coco peat with livestock compost, and CP+MC: coco peat with spent mushroom compost.
Figure 2.
Weight loss of fresh-cut wild rocket cultivated in different substrates, packaged in PL, CK or PLK bags and stored during 7 and 14 days at 4 °C. CP: coco peat; CP+LC: coco peat with livestock compost, and CP+MC: coco peat with spent mushroom compost; PL: polylactic acid bags; CK: cellulose kraft bags; PLK: polylactic acid kraft bags. Data represent the mean value ± SE (n=3). Different letters for the same sampling day indicate significant differences among substrate and packaging treatments at p ≤0.05 (Tukey’s test).
Figure 2.
Weight loss of fresh-cut wild rocket cultivated in different substrates, packaged in PL, CK or PLK bags and stored during 7 and 14 days at 4 °C. CP: coco peat; CP+LC: coco peat with livestock compost, and CP+MC: coco peat with spent mushroom compost; PL: polylactic acid bags; CK: cellulose kraft bags; PLK: polylactic acid kraft bags. Data represent the mean value ± SE (n=3). Different letters for the same sampling day indicate significant differences among substrate and packaging treatments at p ≤0.05 (Tukey’s test).
Figure 3.
Changes in leaf colour (Hue angle) of wild rocket cultivated in different substrates and packaged in PL, CK or PLK bags at harvest and after 7 and 14 days of storage at 4 °C. CP: coco peat; CP+LC: coco peat with livestock compost, and CP+MC: coco peat with spent mushroom compost; PL: polylactic acid bags; CK: cellulose kraft bags; PLK: polylactic acid kraft bags. Data represent the mean value ± SE (n=3). Different letters for the same sampling day indicate significant differences among substrate and packaging treatments at p ≤0.05 (Tukey’s test).
Figure 3.
Changes in leaf colour (Hue angle) of wild rocket cultivated in different substrates and packaged in PL, CK or PLK bags at harvest and after 7 and 14 days of storage at 4 °C. CP: coco peat; CP+LC: coco peat with livestock compost, and CP+MC: coco peat with spent mushroom compost; PL: polylactic acid bags; CK: cellulose kraft bags; PLK: polylactic acid kraft bags. Data represent the mean value ± SE (n=3). Different letters for the same sampling day indicate significant differences among substrate and packaging treatments at p ≤0.05 (Tukey’s test).
Figure 4.
Mesophilic bacteria, psychrophilic bacteria, enterobacteria and yeast and mould counts (log CFU g−1) of fresh-cut wild rocket cultivated in different substrates and packaged in PL, CK and PLK bags at harvest and after 7 and 14 days of storage at 4 °C. CP: coco peat; CP+LC: coco peat with livestock compost, and CP+MC: coco peat with spent mushroom compost; PL: polylactic acid bags; CK: cellulose kraft bags; PLK: polylactic acid kraft bags. Data represent the mean value ± SE (n=3). Different letters for the same sampling day indicate significant differences among substrate and packaging treatments at p ≤0.05 (Tukey’s test).
Figure 4.
Mesophilic bacteria, psychrophilic bacteria, enterobacteria and yeast and mould counts (log CFU g−1) of fresh-cut wild rocket cultivated in different substrates and packaged in PL, CK and PLK bags at harvest and after 7 and 14 days of storage at 4 °C. CP: coco peat; CP+LC: coco peat with livestock compost, and CP+MC: coco peat with spent mushroom compost; PL: polylactic acid bags; CK: cellulose kraft bags; PLK: polylactic acid kraft bags. Data represent the mean value ± SE (n=3). Different letters for the same sampling day indicate significant differences among substrate and packaging treatments at p ≤0.05 (Tukey’s test).
Figure 5.
Sensory quality of fresh-cut wild rocket cultivated in different substrates and packaged in PL, CK and PLK bags at harvest (a) and after 7 (b) and 14 days (c) of storage at 4 °C. CP: coco peat; CP+LC: coco peat with livestock compost, and CP+MC: coco peat with spent mushroom compost; PL: polylactic acid bags; CK: cellulose kraft bags; PLK: polylactic acid kraft bags.
Figure 5.
Sensory quality of fresh-cut wild rocket cultivated in different substrates and packaged in PL, CK and PLK bags at harvest (a) and after 7 (b) and 14 days (c) of storage at 4 °C. CP: coco peat; CP+LC: coco peat with livestock compost, and CP+MC: coco peat with spent mushroom compost; PL: polylactic acid bags; CK: cellulose kraft bags; PLK: polylactic acid kraft bags.
Figure 6.
Total phenolics content of fresh-cut wild rocket cultivated in different substrates and packaged in PL, CK and PLK bags at harvest and after 7 and 14 days of storage at 4 °C. CP: coco peat; CP+LC: coco peat with livestock compost, and CP+MC: coco peat with spent mushroom compost; PL: polylactic acid bags; CK: cellulose kraft bags; PLK: polylactic acid kraft bags. Data represent the mean value ± SE (n=3). Different letters for the same sampling day indicate significant differences among substrate and packaging treatments at p ≤0.05 (Tukey’s test).
Figure 6.
Total phenolics content of fresh-cut wild rocket cultivated in different substrates and packaged in PL, CK and PLK bags at harvest and after 7 and 14 days of storage at 4 °C. CP: coco peat; CP+LC: coco peat with livestock compost, and CP+MC: coco peat with spent mushroom compost; PL: polylactic acid bags; CK: cellulose kraft bags; PLK: polylactic acid kraft bags. Data represent the mean value ± SE (n=3). Different letters for the same sampling day indicate significant differences among substrate and packaging treatments at p ≤0.05 (Tukey’s test).
Figure 7.
Total flavonoids content of fresh-cut wild rocket cultivated in different substrates and packaged in PL, CK and PLK bags at harvest and after 7 and 14 days of storage at 4 °C. CP: coco peat; CP+LC: coco peat with livestock compost, and CP+MC: coco peat with spent mushroom compost; PL: polylactic acid bags; CK: cellulose kraft bags; PLK: polylactic acid kraft bags. Data represent the mean value ± SE (n=3). Different letters for the same sampling day indicate significant differences among substrate and packaging treatments at p ≤0.05 (Tukey’s test).
Figure 7.
Total flavonoids content of fresh-cut wild rocket cultivated in different substrates and packaged in PL, CK and PLK bags at harvest and after 7 and 14 days of storage at 4 °C. CP: coco peat; CP+LC: coco peat with livestock compost, and CP+MC: coco peat with spent mushroom compost; PL: polylactic acid bags; CK: cellulose kraft bags; PLK: polylactic acid kraft bags. Data represent the mean value ± SE (n=3). Different letters for the same sampling day indicate significant differences among substrate and packaging treatments at p ≤0.05 (Tukey’s test).
Figure 8.
Total antioxidant capacity of fresh-cut wild rocket cultivated in different substrates, packaged in PL, CK and PLK bags at harvest and after 7 and 14 days of storage at 4 °C. CP: coco peat; CP+LC: coco peat with livestock compost, and CP+MC: coco peat with spent mushroom compost; PL: polylactic acid bags; CK: cellulose kraft bags; PLK: polylactic acid kraft bags. Data represent the mean value ± SE (n=3). Different letters for the same sampling day indicate significant differences among substrate and packaging treatments at p ≤0.05 (Tukey’s test).
Figure 8.
Total antioxidant capacity of fresh-cut wild rocket cultivated in different substrates, packaged in PL, CK and PLK bags at harvest and after 7 and 14 days of storage at 4 °C. CP: coco peat; CP+LC: coco peat with livestock compost, and CP+MC: coco peat with spent mushroom compost; PL: polylactic acid bags; CK: cellulose kraft bags; PLK: polylactic acid kraft bags. Data represent the mean value ± SE (n=3). Different letters for the same sampling day indicate significant differences among substrate and packaging treatments at p ≤0.05 (Tukey’s test).
Figure 9.
Nitrate content (mg kg−1 FW) of fresh-cut wild rocket cultivated in different substrates, packaged in PL, CK and PLK bags at harvest and after 7 and 14 days of storage at 4 °C. CP: coco peat; CP+LC: coco peat with livestock compost, and CP+MC: coco peat with spent mushroom compost; PL: polylactic acid bags; CK: cellulose kraft bags; PLK: polylactic acid kraft bags. Data represent the mean value ± SE (n=3). Different letters for the same sampling day indicate significant differences among substrate and packaging treatments at p ≤0.05 (Tukey’s test).
Figure 9.
Nitrate content (mg kg−1 FW) of fresh-cut wild rocket cultivated in different substrates, packaged in PL, CK and PLK bags at harvest and after 7 and 14 days of storage at 4 °C. CP: coco peat; CP+LC: coco peat with livestock compost, and CP+MC: coco peat with spent mushroom compost; PL: polylactic acid bags; CK: cellulose kraft bags; PLK: polylactic acid kraft bags. Data represent the mean value ± SE (n=3). Different letters for the same sampling day indicate significant differences among substrate and packaging treatments at p ≤0.05 (Tukey’s test).
Table 1.
Physicochemical properties and nutrient composition of the three substrates used. CP: coco peat; CP+LC: coco peat with livestock compost, and CP+MC: coco peat with spent mushroom compost.
Table 1.
Physicochemical properties and nutrient composition of the three substrates used. CP: coco peat; CP+LC: coco peat with livestock compost, and CP+MC: coco peat with spent mushroom compost.
Table 2.
Atmosphere composition within PL, CK and PLK bags of fresh-cut wild rocket cultivated in different substrates at 7 and 14 days of storage at 4 °C.
Table 2.
Atmosphere composition within PL, CK and PLK bags of fresh-cut wild rocket cultivated in different substrates at 7 and 14 days of storage at 4 °C.
|
Disclaimer/Publisher’s Note: The statements, opinions and data contained in all publications are solely those of the individual author(s) and contributor(s) and not of MDPI and/or the editor(s). MDPI and/or the editor(s) disclaim responsibility for any injury to people or property resulting from any ideas, methods, instructions or products referred to in the content. |
© 2025 by the authors. Licensee MDPI, Basel, Switzerland. This article is an open access article distributed under the terms and conditions of the Creative Commons Attribution (CC BY) license (http://creativecommons.org/licenses/by/4.0/).