Preprint
Article

This version is not peer-reviewed.

Radio Response of Aquatic Environments and Biological Objects in the Millimeter-Wave Range

Submitted:

28 November 2025

Posted:

04 December 2025

You are already at the latest version

Abstract
This paper presents the first experimental study of the physical properties of the millimeter-wave radio response of aqueous media and biological objects to external centimeter-wave electromagnetic radiation. It has been hypothesized that the spectrum of the radio response to external millimeter-wave radiation contains not only frequencies an order of magnitude or more lower than the radiation signal, but also frequencies close to the radiation signal and even frequencies higher than the external signal. This radio response property would suggest that each point in an aquatic environment exposed to electromagnetic waves could be a source of a radio response across an ultra-wide spectrum of electromagnetic frequencies. Experiments have demonstrated the presence of a radio response at frequencies of 61,2 GHz, 94 GHz, and 118 GHz when water is irradiated in the microwave range of 1,16–5,6 GHz at a power flux of 10 mW/cm2. The experimental results prompt a new examination of the comparative effects of 4G and 5G cellular electromagnetic waves on humans.
Keywords: 
;  ;  
Subject: 
Physical Sciences  -   Biophysics

Introduction

Discussions about the expansion or non-expansion of the 5G cellular spectrum, especially its millimeter-wave portion, are increasingly taking place in newspapers and scientific journals.
In 2017, an article was published about the WHO’s reluctance to acknowledge the health impact of wireless phone use. The European Union follows in the footsteps of the WHO Despite growing evidence of the serious negative impact of radiofrequency radiation on human health and the environment, the European Union also does not acknowledge the existence of any negative effects of cellular communications. Since September 2017, seven petitions from scientists and doctors have been submitted to the EU asking for a suspension of the rollout of fifth-generation wireless communications (5G). Millimeter waves and complex 5G signal forms significantly enhance existing electromagnetic background. However, some experts affiliated with the WHO and the EU have conflicts of interest due to their ties to industry. The subsequent prioritization of economic interests leads to a deterioration in human and planetary health. Fundamental research on the effects of centimeter and millimeter waves on biological objects, including humans, is not being conducted. This research is not funded, leaving the question open [1].
Electromagnetic energy underlies wireless communication systems, and its widespread use has impacted a wide range of biological systems. Articles and reviews examine the impact of millimeter waves on plants, as well as the mechanisms of their effects on plants and humans, using proteomic approaches [2].
On the other hand, [3] critically examines the current state of research into the biological effects of millimeter wave therapy and its potential application in disease treatment. By studying both the thermal and non-thermal effects of millimeter wave, the cellular response to external electromagnetic field exposure is examined. The work attempts to establish the mechanism of influence of electromagnetic fields of various structures on biological objects. Understanding the mechanisms that drive changes in the cells of biological objects will help establish protective measures against exposure to electromagnetic fields, including cellular background noise [4,5].
Numerous experiments have established that low-intensity millimeter waves, up to 10 mW/cm2, exhibit high biological activity. Their beneficial properties are used to treat a wide range of human diseases. The key feature of millimeter waves is that their active biological effects on living organisms occur at low non-thermal power levels. Therefore, the key to understanding the effects of electromagnetic wave interactions with biological environments has become the search for the mechanisms of this effect, for example [6,7,8].
The first step in determining the mechanism for millimeter waves’ penetration into water-containing media at distances several orders of magnitude greater than the theoretical value, in accordance with Bouguer’s law, was the discovery of the generation of a radio response at a frequency more than an order of magnitude lower than the frequency of the irradiated signal [9]. The appearance of a radio response signal at low frequencies suggested that it is precisely the appearance of low frequencies in the form of a radio response to external electromagnetic radiation (EMR) in the millimeter range that allows information about the irradiation to penetrate deep into aquatic environments [10].
However, based on the undoubted significance of the effect of millimeter waves on water-containing and biological objects at various frequencies, it was hypothesized in [8] that the spectrum of the radio response to external millimeter waves contains not only frequencies an order of magnitude or more lower than the radiation signal, but also frequencies close to the radiation signal and even frequencies higher than the external signal. This property of the radio response would allow us to assert that each point in an aquatic environment exposed to electromagnetic waves can be a source of radio response over an ultra-wide spectrum of electromagnetic frequencies.
This paper experimentally demonstrates that the spectrum of the radio response to external electromagnetic waves includes frequencies exceeding the frequency of the external irradiating signal.

Materials and Methods

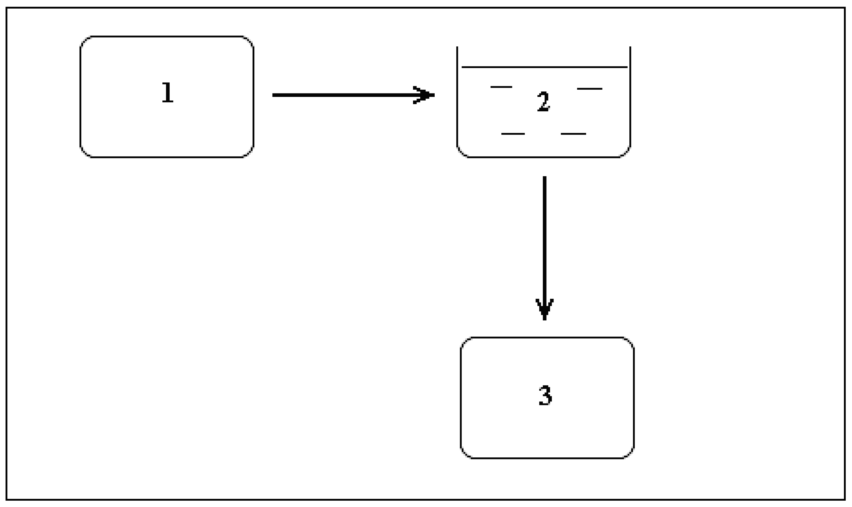
The experiments involved studying the human body and liquid water under normal conditions. A diagram of the experimental setup for studying the radio response to external electromagnetic waves is shown in Figure 1.
Exposure to electromagnetic fields in an experiment did not cause more harm to the subject than a cell phone.
An electromagnetic wave generator (1) irradiated an object (2), which was either a cuvette containing water or a human body. The radio response of the water or the human body was recorded by a radiometer (3), whose receiving horn was brought into contact with the cuvette containing water or the human body. The generator served as the source of electromagnetic oscillations; its horn output generated a power flux of electromagnetic radiation approximately equal to 10 mW/cm2. The radio response of the object under study was recorded by the radiometer. The presence of a radio response indicated the interaction of electromagnetic waves with the internal environment of the object. In the experiments, the radio response was measured at the frequency of the radiometer used in the experiment, depending on the frequency of the generator’s irradiated signal.
A series of G4-78 – G4-81 (https://www.meratest.ru/produktsiya/radioizmeritelnie_pribori/generatory_signalov/vch/product/g4-81/) generators covering the electromagnetic wave range of 1,16 – 5,6 GHz was used as sources of electromagnetic radiation. The radio response was measured using radiometers with central receiving frequencies of 61,2 GHz, 94 GHz, and 118 GHz. The radiometers had a fluctuation sensitivity of 0,50K, corresponding to a received power level of P = kBT Δ ν , where kB is the Boltzmann constant, Δ ν the radiometer’s reception frequency band, for Δ ν = 50 MHz P = 10-16 W. T - absolute temperature.
The radio response measurement was carried out sequentially by all radiometers with a sweep of the frequencies of the external irradiated field.

Experiment

To record the spectra of electromagnetic wave interactions with the object, the latter was exposed to microwave waves in the operating range of 1,16–5,6 GHz at a power flux of 10 mW/cm2. The presence of a radio response signal indicates the interaction of electromagnetic waves with the internal environment of the irradiated object at characteristic frequencies, and the signal amplitude reflected the level of electromagnetic wave dissipation within the structure of the irradiated object.
Figure 2 shows the spectra of water and humans at the specified radiometer frequency 61,2GHz, reflecting the non-monotonic extreme dependences of the radio response amplitude (I/I0) on the frequency of the irradiated signal. I - power flow of the signal received by the radiometer. I0 the power flux of the background noise received by the radiometer. Curve 1 is the spectrum from water, curve 2 is the spectrum from a human body.
The spectra demonstrate that the radio responses of water and the human body are largely similar; that is, they are observed in the same range of the irradiated signal. This indicates a common physical nature of the interaction of the electromagnetic signal with the molecular structure of water in both the aquatic environment and the biological object. However, the amplitude of the radio response of the human body in all experiments was higher than the radio response of the aquatic environment for any fixed irradiation frequency. This fact indicates a higher degree of structuring of water molecules in a pure aquatic environment compared to the water contained in the human body. Indeed, a living organism must maintain its internal aquatic environment in an active state, which is possible only with constant nonequilibrium structural changes.
Figure 3 shows the spectra of water and humans obtained with a radiometer with a frequency of 94 GHz, reflecting the dependence of the amplitude of the radio response on the frequency of the irradiated signal. Curve 1 is the spectrum from water, curve 2 is the spectrum from a human body.
The spectra show that the radio response of water and the human body are also largely similar, meaning they are observed in the same range of the irradiated signal. This also indicates a common physical nature of the interaction between the electromagnetic signal and the molecular structure of the water in the aquatic environment and the biological object. Moreover, the amplitude of the radio response from the human body was higher than that of the aquatic environment for all points in the spectrum.
Figure 4 shows the spectra of water and humans obtained with a radiometer with a frequency of 118 GHz, reflecting the dependence of the amplitude of the radio response on the frequency of the irradiated signal. Curve 1 is the spectrum from water, curve 2 is the spectrum from a human body.
As in the previous cases, the spectra presented show that the radio response of water and the human body are also largely similar, that is, they are observed in the same range of the irradiated signal. This similarity of spectra indicates a single mechanism for generating the radio response. As in the previous cases, the radio response of the human body had a higher amplitude than the radio response from the aquatic environment for all points in the spectrum.

Discussion of Results

The experiments conducted in this article demonstrated the presence of a radio response at frequencies higher than the frequency of the irradiated signal. Considering this phenomenon together with the effect of excitation of a radio response at frequencies lower than the frequency of the irradiated signal, first described in [9], we can draw the fundamental conclusion that the total radio response signal has an ultra-wide spectrum from the lowest frequencies, approximately 100 MHz, to at least 120 GHz. It is hoped that further work in this direction will be able to significantly clarify and expand the actual range of the radio response to external electromagnetic influences. This view of the effect of the emergence of a radio response allows us to present additional evidence for the theory of the interaction of millimeter and terahertz electromagnetic waves with aquatic and water-containing environments [11,12]. The main tenet of this theory is based on the assertion that information penetration of millimeter and terahertz waves into aquatic environments occurs due to the excitation of a radio response to external electromagnetic waves. Based on this assertion, it is easy to explain the observed well-known experimental facts associated with electromagnetic exposure, such as the frequency-dependent effects recorded in studies of microorganism cell division processes, the threshold nature of biological effects with respect to microwave power, and the independence of the biological effect from irradiation intensity over a wide range of electromagnetic wave irradiation power variations, which in many cases amounts to several orders of magnitude. It is also important to note the fact, recorded in clinical studies, that, depending on the nature of the disease, the greatest therapeutic effect is observed when the body is exposed to several different millimeter-wave frequencies simultaneously, or to millimeter-wave and terahertz waves simultaneously. Of medical significance is the fact, established in this study, of a significant increase in the amplitude of the radio response upon irradiation of living organisms compared to water and aqueous solutions.
Thus, the key result of this study is the confirmation of the mechanism of information penetration of millimeter and terahertz waves into aquatic environments and living objects, which is based on the generation of a radio response to an external electromagnetic field.
The generation of a radio response in an ultra-wideband frequency range of external signals prompts a new look at the impact of cell phone signals on human health. The presence of an ultra-wideband radio response means that at all frequencies in both the 4G and 5G ranges, there are radiation frequencies both below and above the cell phone’s fundamental frequency. This means that the effects of millimeter-wave and millimeter-wave electromagnetic waves are largely similar. However, the final word in this debate about the benefits and harms of cellular communications always rests with model experiments [13].

Conclusions

The work experimentally demonstrates the generation of a radio response signal from water and the human body at frequencies exceeding the frequency of the external radiating signal, and the radio response of the human body has a higher amplitude for all the cases considered.
It was established that the radio response range at a frequency of 62.2 GHz is excited by external signal frequencies in the band of 2,3 – 3,8 GHz, for a frequency of 94 GHz - at 4,6 – 5,6 GHz, for a frequency of 118 GHz - at 3,2 – 4,5 GHz.
The generation of radio response in an ultra-wide frequency band forces a more comprehensive and detailed approach to considering the impact of 4G and 5G cellular communication bands on human health.

Financing

The work was carried out within the framework of the state task.

Conflicts of Interest

The authors have no conflict of interest.

References

  1. Nyberg R, McCredden J, Hardell L.Nyberg R, et al., Rev Environ Health 39 (4), 707 (2023). [CrossRef]
  2. Zhong Z, Wang X, Yin X, Tian J, Komatsu S.Zhong Z, et al., Int J Mol Sci 22 (22) 12239 (2021). [CrossRef]
  3. Jing R, Jiang Z, Tang X.Jing R, et al., Int J Mol Sci. 25 (16), 8638 (2024). [CrossRef]
  4. Hardell L, Carlberg M.Hardell L, et al., Oncol Lett. 20 (4), 15 (2020). [CrossRef]
  5. Zmyślony M, Bieńkowski P, Bortkiewicz A, Karpowicz J, Kieliszek J, Politański P, Rydzyński K.Zmyślony M, et al., Med Pr. 71 (1), 105 (2020). [CrossRef]
  6. Savel’ev, S.V. Savel’ev S.V., Betskii O.V., Morozova L.A. Biomedical Radioelectronics (11), 9 (2012).
  7. Betskii, O.V. Betskii O.V., Morozova L.A., Savel’ev S.V., Biomedical Radioelectronics 23 (5), 60 (2020) . [CrossRef]
  8. Morozova, L.A. Morozova L.A., Savel’ev S.V., Biomedical Radioelectronics 25 (6), 5 (2022). [CrossRef]
  9. Sinitsyn, N.I. Sinitsyn N.I., Petrosyan V.I., Yolkin V.A., Devyatkov N.D., Gulyaev Yu.V., Betskii O.V., Biomedical Radioelectronics (1), 3 (1999).
  10. Morozova L., A. Morozova L. A., Savel’ev S. V., Biophysics 69 (5), 1097 (2024) . [CrossRef]
  11. Morozova, L.A. Morozova L.A., Savel’ev S.V., Biomedical radioelectronics 25 (1) 31 (2022) . [CrossRef]
  12. Morozova, L.A. Morozova L.A., Savel’ev S.V., Biomedical radioelectronics 25 (6) 5 (2022) . [CrossRef]
  13. L.A. Morozova, S.V. L.A. Morozova, S.V., Savel’yev, Preprints 2025, 2025186972. [CrossRef]
Figure 1. Electromagnetic field generator (1), cuvette with water or a person (2), radiometer (3).
Figure 1. Electromagnetic field generator (1), cuvette with water or a person (2), radiometer (3).
Preprints 187245 g001
Figure 2. The power spectrum of the radiometer signal with an operating frequency of 61,2 GHz in the operating frequency range of the external signal of 1,16 – 5,6 GHz at a power flux of 10 mW/cm2. Curve 1 is the spectrum from water, curve 2 is the spectrum from a human body.
Figure 2. The power spectrum of the radiometer signal with an operating frequency of 61,2 GHz in the operating frequency range of the external signal of 1,16 – 5,6 GHz at a power flux of 10 mW/cm2. Curve 1 is the spectrum from water, curve 2 is the spectrum from a human body.
Preprints 187245 g002
Figure 3. The power spectrum of the radiometer signal with an operating frequency of 94 GHz in the operating frequency range of the external signal of 1,16 – 5,6 GHz at a power flux of 10 mW/cm2. Curve 1 is the spectrum from water, curve 2 is the spectrum from a human body.
Figure 3. The power spectrum of the radiometer signal with an operating frequency of 94 GHz in the operating frequency range of the external signal of 1,16 – 5,6 GHz at a power flux of 10 mW/cm2. Curve 1 is the spectrum from water, curve 2 is the spectrum from a human body.
Preprints 187245 g003
Figure 4. The power spectrum of the radiometer signal with an operating frequency of 118 GHz in the operating frequency range of the external signal of 1,16 – 5,6 GHz at a power flux of 10 mW/cm2. Curve 1 is the spectrum from water, curve 2 is the spectrum from a human body.
Figure 4. The power spectrum of the radiometer signal with an operating frequency of 118 GHz in the operating frequency range of the external signal of 1,16 – 5,6 GHz at a power flux of 10 mW/cm2. Curve 1 is the spectrum from water, curve 2 is the spectrum from a human body.
Preprints 187245 g004
Disclaimer/Publisher’s Note: The statements, opinions and data contained in all publications are solely those of the individual author(s) and contributor(s) and not of MDPI and/or the editor(s). MDPI and/or the editor(s) disclaim responsibility for any injury to people or property resulting from any ideas, methods, instructions or products referred to in the content.
Copyright: This open access article is published under a Creative Commons CC BY 4.0 license, which permit the free download, distribution, and reuse, provided that the author and preprint are cited in any reuse.
Prerpints.org logo

Preprints.org is a free preprint server supported by MDPI in Basel, Switzerland.

Subscribe

Disclaimer

Terms of Use

Privacy Policy

Privacy Settings

© 2026 MDPI (Basel, Switzerland) unless otherwise stated