Submitted:
28 November 2025
Posted:
01 December 2025
You are already at the latest version
Abstract

Keywords:
1. Introduction
2. Materials and Methods
2.1. Study Species: Pittosporum undulatum Vent. (Sweet Pittosporum)
2.2. Site Description
2.3. Sex Determination and Resource Analysis
2.4. Fruit Load and Seed Mass Determination
2.5. Statistical Analysis
3. Results
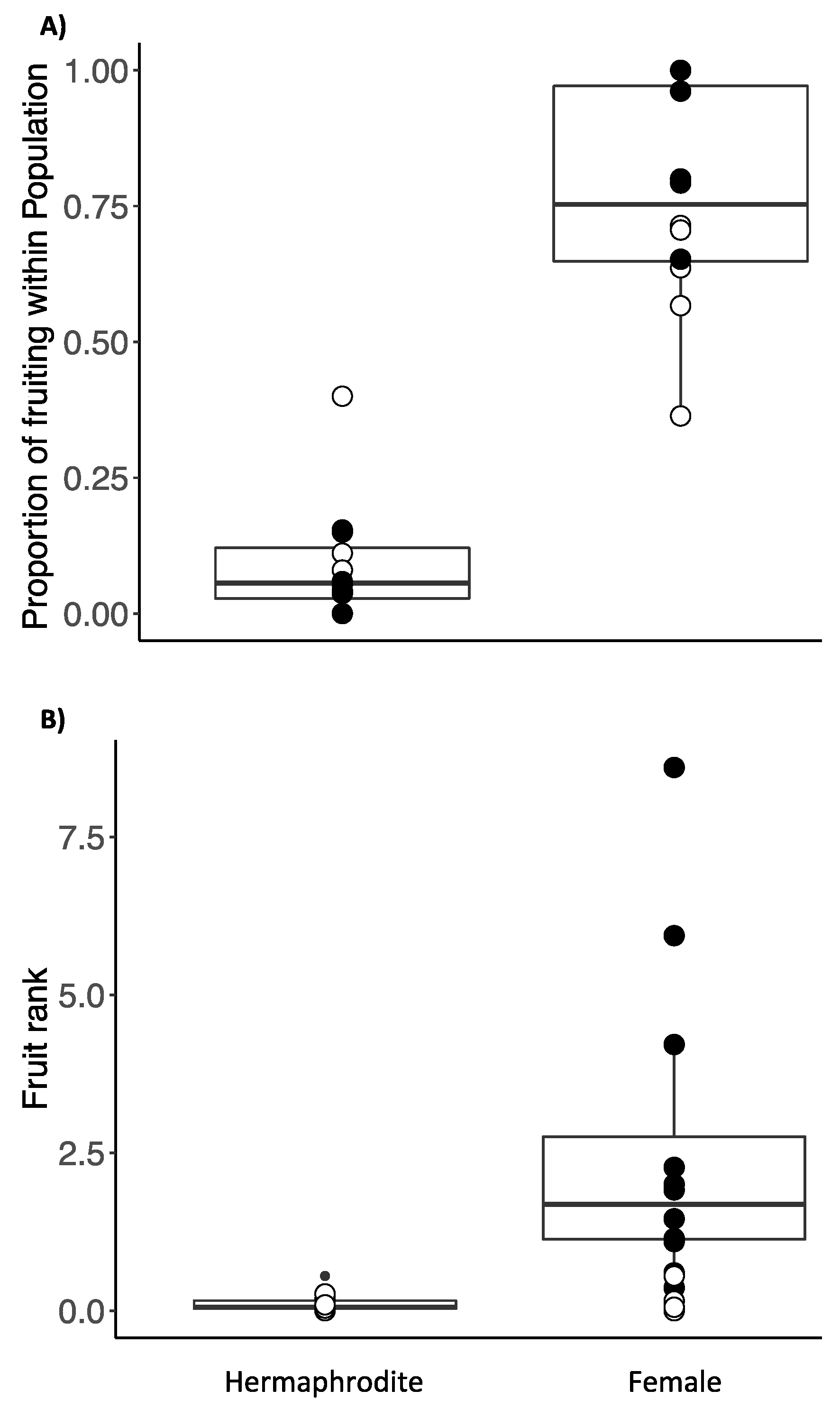
3.1. Reproductive Traits
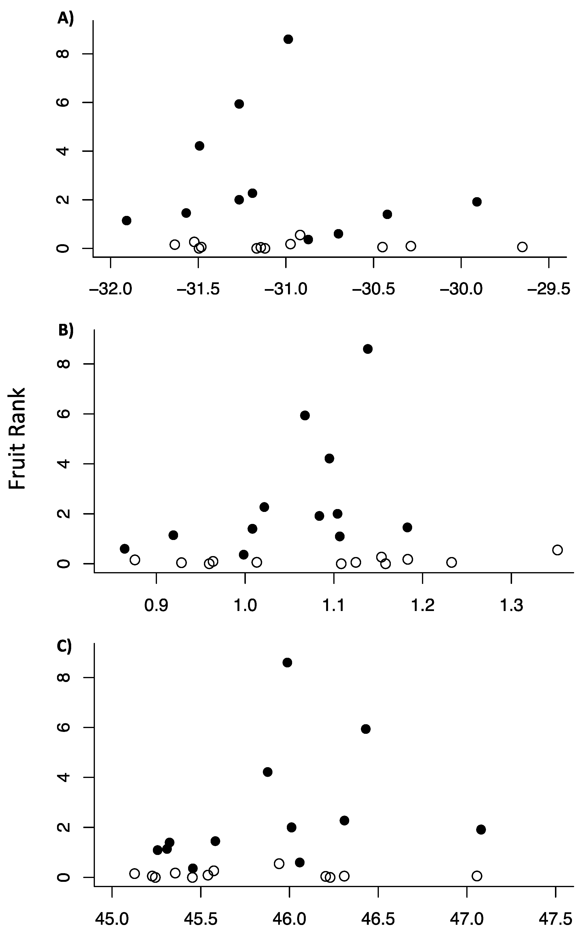
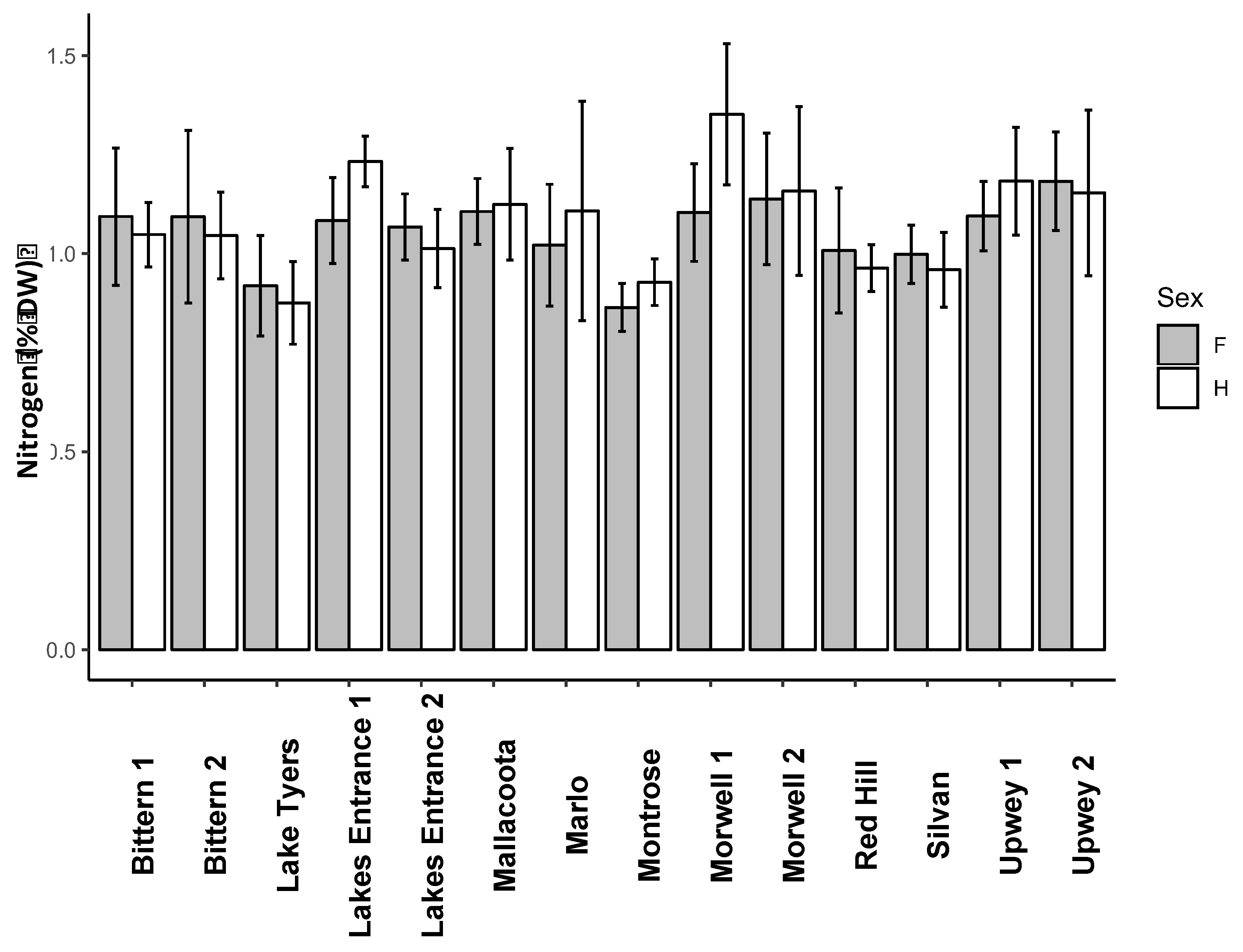
3.2. Resource Availability: Tree Density and Leaf N, C and ∂C13
4. Discussion
4.1. The Proportion of Female and Hermaphrodite Trees Was Similar Across All Sites
4.2. Fruit Production Was Higher in Female Trees in the Native Range
4.3. Seed Size Was Greater in the Native Range
4.4. Influence of Resources on Seed and Fruit Production
5. Conclusions: Management and Control of P. undulatum
Supplementary Materials
Author Contributions
Funding
Data Availability Statement
Acknowledgments
Conflicts of Interest
References
- Barrett, S.C.H., R.I. Colautti, and C.G. Eckert, Plant reproductive systems and evolution during biological invasion. Molecular Ecology, 2008. 17(1): p. 373-383. [CrossRef]
- Burns, J.H., et al., Greater sexual reproduction contributes to differences in demography of invasive plants and their noninvasive relatives. Ecology, 2013. 94(5): p. 995-1004. [CrossRef]
- Petanidou, T., et al., Self-compatibility and plant invasiveness: Comparing species in native and invasive ranges. Perspectives in Plant Ecology Evolution and Systematics, 2012. 14(1): p. 3-12. [CrossRef]
- Carvalho, C., et al., Multivariate selection mediated by aridity predicts divergence of drought-resistant traits along natural aridity gradients of an invasive weed. New Phytologist, 2022. 234(3): p. 1088-1100. [CrossRef]
- Lambrinos, J.G., How interactions between ecology and evolution influence contemporary invasion dynamics. Ecology, 2004. 85(8): p. 2061-2070. [CrossRef]
- Barrett, S.C.H., Why reproductive systems matter for the invasion biology of plants, in Fifty Years of Invasion Ecology: The Legacy of Charles Elton. 2011. p. 195-210.
- Albert, A., et al., Strategies for a successful plant invasion: the reproduction of Phragmites australis in north-eastern North America. Journal of Ecology, 2015. 103(6): p. 1529-1537. [CrossRef]
- Baker, H.G., Self compatibility and establishment after long distance dispersal. Evolution, 1955. 9(3): p. 347-349. [CrossRef]
- Grossenbacher, D.L., et al., Self-compatibility is over-represented on islands. New Phytologist, 2017. 215(1): p. 469-478.
- Pannell, J.R., et al., The scope of Baker’s law. New Phytologist, 2015. 208(3): p. 656-667. [CrossRef]
- Eppley, S.M. and J.R. Pannell, Density-dependent self-fertilization and male versus hermaphrodite siring success in an androdioecious plant. Evolution, 2007. 61(10): p. 2349-2359. [CrossRef]
- Pannell, J., The maintenance of gynodioecy and androdioecy in a metapopulation. Evolution, 1997. 51(1): p. 10-20.
- Eppley, S.M. and J.R. Pannell, Sexual systems and measures of occupancy and abundance in an annual plant: Testing the metapopulation model. American Naturalist, 2007. 169(1): p. 20-28. [CrossRef]
- Bossdorf, O., et al., Phenotypic and genetic differentiation between native and introduced plant populations. Oecologia, 2005. 144(1): p. 1-11. [CrossRef]
- Pannell, J.R., et al., Gender variation and transitions between sexual systems in Mercurialis annua (Euphorbiaceae). International Journal of Plant Sciences, 2008. 169(1): p. 129-139. [CrossRef]
- Abe, T., et al., Sex ratio variation of Bischofia javanica Bl. (Euphorbiaceae) between native habitat, Okinawa (Ryukyu Islands), and invaded hab itat, Ogasawara (Bonin Islands). International Journal of Plant Sciences, 2002. 163(6): p. 1011-1016. [CrossRef]
- Freeman, D.C., K.T. Harper, and E.L. Charnov, Sex change in plants - old and new observations and new hypotheses. Oecologia, 1980. 47(2): p. 222-232. [CrossRef]
- Delph, L.F. and D.E. Wolf, Evolutionary consequences of gender plasticity in genetically dimorphic breeding systems. New Phytologist, 2005. 166(1): p. 119-128.
- Freeman, D.C., et al., Influence of environment on the floral sex-ratio of monoecious plants. Evolution, 1981. 35(1): p. 194-197.
- Freeman, D.C., L.G. Klikoff, and K.T. Harper, Differential resource utilization by sexes of dioecious plants. Science, 1976. 193(4253): p. 597-599. [CrossRef]
- Bierzychudek, P. and V. Eckhart, Spatial segregation of the sexes of dioecious plants. American Naturalist, 1988. 132(1): p. 34-43. [CrossRef]
- Davis, M.A., J.P. Grime, and K. Thompson, Fluctuating resources in plant communities: a general theory of invasibility. Journal of Ecology, 2000. 88(3): p. 528-534. [CrossRef]
- Travis, J.M.J. and C. Dytham, Dispersal evolution during invasions. Evolutionary Ecology Research, 2002. 4(8): p. 1119-1129.
- Simmons, A.D. and C.D. Thomas, Changes in dispersal during species’ range expansions. American Naturalist, 2004. 164(3): p. 378-395. [CrossRef]
- Tabassum, S. and M.R. Leishman, Have your cake and eat it too: greater dispersal ability and faster germination towards range edges of an invasive plant species in eastern Australia. Biological Invasions, 2018. 20(5): p. 1199-1210. [CrossRef]
- Phillips, B.L., G.P. Brown, and R. Shine, Life-history evolution in range-shifting populations. Ecology, 2010. 91(6): p. 1617-1627.
- Cwynar, L.C. and G.M. Macdonald, Geographical variation of lodgepole pine in relation to population history. American Naturalist, 1987. 129(3): p. 463-469. [CrossRef]
- Naniwadekar, R., C. Mishra, and A. Datta, Fruit resource tracking by hornbill species at multiple scales in a tropical forest in India. Journal of Tropical Ecology, 2015. 31: p. 477-490. [CrossRef]
- Westoby, M., M. Leishman, and J. Lord, Comparative ecology of seed size and dispersal. Philosophical Transactions of the Royal Society B-Biological Sciences, 1996. 351(1345): p. 1309-1317. [CrossRef]
- Turnbull, L.A., M. Rees, and M.J. Crawley, Seed mass and the competition/colonization trade-off: a sowing experiment. Journal of Ecology, 1999. 87(5): p. 899-912. [CrossRef]
- Gleadow, R.M. and D.H. Ashton, Invasion by Pittosporum undulatum of the forests of central Victoria. I Invasion patterns and plant morphology. Australian Journal of Botany, 1981. 29(6): p. 705-720. [CrossRef]
- Gleadow, R.M., K.S. Rowan, and D.H. Ashton, Invasion by Pittosporum undulatum of the forests of central Victoria. IV Shade tolerance. Australian Journal of Botany, 1983. 31(2): p. 151-160. [CrossRef]
- O’Leary, B., et al., Integrating the Passenger-Driver hypothesis and plant community functional traits to the restoration of lands degraded by invasive trees. Forest Ecology and Management, 2018. 408: p. 112-120. [CrossRef]
- Pasquini, D., et al., Is the invasiveness of Pittosporum undulatum in eucalypt forests explained by the wide-ranging effects of its secondary metabolites? Forests, 2023. 14(1): p. 23. [CrossRef]
- Gleadow, R.M., Invasion by Pittosporum undulatum of the forests of central Victoria. II Dispersal, germination and establishment. Australian Journal of Botany, 1982. 30(2): p. 185-198. [CrossRef]
- O’Leary, B.A., et al., Bird community recovery following removal of an invasive tree. Ecological Solutions and Evidence, 2021. 2(2). [CrossRef]
- Gallagher, R.V. and M.R. Leishman, Invasive plants and invaded ecosystems in Australia: implications for biodiversity, in Austral Ark: The State of Wildlife in Australia and New Zealand, A. Stow, N. Maclean, and G.I. Holwell, Editors. 2014, Cambridge University Press. p. 105-133.
- Fensham, R.J. and B. Laffineur, Defining the native and naturalised flora for the Australian continent. Australian Journal of Botany, 2019. 67((1)): p. 55-69. [CrossRef]
- Silcock, J.L., Aboriginal translocations: The intentional propagation and dispersal of plants in Aboriginal Australia. Journal of Ethnobiology, 2025. 38(3): p. 390-405. [CrossRef]
- McNiven, I.J. and L. Russell, Innovation: Knowledge and Ingenuity. First Knowledges Innovation, ed. M. Neale. 2023, Australia: Thames and Hudson. 256.
- Goodland, T. and J.R. Healey, The invasion of Jamaican montane rainforests by the Australian tree Pittosporum undulatum. 1996, School of Agricultural and Forest Sciences, University of Wales: Bangor, UK. p. 55.
- Hortal, J., et al., Assessing the areas under risk of invasion within islands through potential distribution modelling: The case of Pittosporum undulatum in Sao Miguel, Azores. Journal for Nature Conservation, 2010. 18(4): p. 247-257. [CrossRef]
- Lourenço, P., et al., Distribution, habitat and biomass of Pittosporum undulatum, the most important woody plant invader in the Azores Archipelago. Forest Ecology and Management, 2011. 262(2): p. 178-187. [CrossRef]
- Mokotjomela, T.M., C.F. Musil, and K.J. Esler, Frugivorous birds visit fruits of emerging alien shrub species more frequently than those of native shrub species in the South African Mediterranean climate region. South African Journal of Botany, 2013. 86: p. 73-78. [CrossRef]
- Mullett, T.L. Ecological aspects of Sweet Pittosporum (Pittosporum undulatum Vent.): Implications for control and management. in Eleventh Australian Weeds Conference 1996.
- Gleadow, R.M. and J. Walker, The invasion of Pittosporum undulatum in the Dandenong Ranges, Victoria: Realising predictions about rates and impact. Plant Protection Quarterly, 2014. 29: p. 103–109.
- Gleadow, R.M. and K.S. Rowan, Invasion by Pittosporum undulatum of the forests of central Victoria. III Effects of temperature and light on growth and drought resistance. Australian Journal of Botany, 1982. 30(3): p. 347-357. [CrossRef]
- Rose, S. and P.G. Fairweather, Changes in floristic composition of urban bushland invaded by Pittosporum undulatum in northern Sydney, Australia. Australian Journal of Botany, 1997. 45(1): p. 123-149. [CrossRef]
- Gleadow, R.M. and I. Narayan, Temperature thresholds for germination and survival of Pittosporum undulatum: implications for management by fire. Acta Oecologica, 2007. 31(2): p. 151-157. [CrossRef]
- Bellingham, P.J., et al., Endemic trees in a tropical biodiversity hotspot imperilled by an invasive tree. Biological Conservation, 2018. 217: p. 47-53. [CrossRef]
- Mullett, T.L., Effects of the native environmental weed Pittosporum undulatum Vent. (Sweet Pittosporum) on plant biodiversity. Plant Protection Quarterly, 2001. 16: p. 117–121.
- R Core Team, A language and environment for statistical computing. 2017, R Foundation for Statistical Computing: Vienna, Austria.
- Blossey, B. and R. Notzold, Evolution of increased competitive ability in invasive nonindigenous plants - a hypothesis. Journal of Ecology, 1995. 83(5): p. 887-889. [CrossRef]
- Keane, R.M. and M.J. Crawley, Exotic plant invasions and the enemy release hypothesis. Trends in Ecology & Evolution, 2002. 17(4): p. 164-170.
- Hejda, M., et al., Invasion success of alien plants: do habitat affinities in the native distribution range matter? Global Ecology and Biogeography, 2009. 18(3): p. 372-382. [CrossRef]
- van Etten, M.L., et al., Not all weeds are created equal: A database approach uncovers differences in the sexual system of native and introduced weeds. Ecology and Evolution, 2017. 7(8): p. 2636-2642.
- Hierro, J.L., J.L. Maron, and R.M. Callaway, A biogeographical approach to plant invasions: the importance of studying exotics in their introduced and native range. Journal of Ecology, 2005. 93(1): p. 5-15. [CrossRef]
- Hierro, J.L., et al., Disturbance facilitates invasion: The effects are stronger abroad than at home. American Naturalist, 2006. 168(2): p. 144-156. [CrossRef]
- Sax, D.F., et al., Ecological and evolutionary insights from species invasions. Trends in Ecology & Evolution, 2007. 22(9): p. 465-471. [CrossRef]
- Field, D.L., M. Pickup, and S.C.H. Barrett, Comparative analyses of sex-ratio variation in dioecious flowering plants. Evolution, 2013. 67(3): p. 661-672. [CrossRef]
- Nuñez, M.A., T.R. Horton, and D. Simberloff, Lack of belowground mutualisms hinders Pinaceae invasions. Ecology, 2009. 90(9): p. 2352-2359. [CrossRef]
- Eckert, C.G., et al., Plant mating systems in a changing world. Trends in Ecology & Evolution, 2010. 25(1): p. 35-43. [CrossRef]
- Crawley, M.J., P.H. Harvey, and A. Purvis, Comparative ecology of the native and alien floras of the British Isles. Philosophical Transactions of the Royal Society B-Biological Sciences, 1996. 351(1345): p. 1251-1259. [CrossRef]
- Daws, M.I., et al., Do invasive species have bigger seeds? Evidence from intra- and inter-specific comparisons. South African Journal of Botany, 2007. 73(1): p. 138-143. [CrossRef]
- Correia, M., et al., Evidence for enemy release and increased seed production and size for two invasive Australian acacias. Journal of Ecology, 2016. 104(5): p. 1391-1399. [CrossRef]
- Rejmfinek, M., A theory of seed plant invasiveness: The first sketch. Biological Conservation, 1996. 78(1-2): p. 171–181.
- Mason, R.A.B., et al., Reproductive output of invasive versus native plants. Global Ecology and Biogeography, 2008. 17(5): p. 633-640. [CrossRef]
- Muller-Landau, H.C., The tolerance-fecundity trade-off and the maintenance of diversity in seed size. Proceedings of the National Academy of Sciences of the United States of America, 2010. 107(9): p. 4242-4247.
- van Kleunen, M., W. Dawson, and N. Maurel, Characteristics of successful alien plants. Molecular Ecology, 2015. 24(9): p. 1954-1968. [CrossRef]
- Sinclair, J.P., J. Emlen, and D.C. Freeman, Biased sex ratios in plants: Theory and trends. Botanical Review, 2012. 78(1): p. 63-86. [CrossRef]
- Harris, M.S. and J.R. Pannell, Roots, shoots and reproduction: sexual dimorphism in size and costs of reproductive allocation in an annual herb. Proceedings of the Royal Society B-Biological Sciences, 2008. 275(1651): p. 2595-2602. [CrossRef]
- Hubbell, S.P., Seed predation and the coexistence of tree species in tropical forests. OIKOS, 1980. 35(2): p. 214–229. [CrossRef]




| Site | Origin | Location | Elevation (m) |
| Morwell National Park 1 | Native | Lat:-38.36 Lon:146.40 |
184 |
| Morwell National Park 2 | Native | Lat:-38.36 Lon:146.40 |
184 |
| Lakes Entrance 1 | Native | Lat: -37.88 Lon: 147.96 |
40 |
| Lakes Entrance 2 | Native | Lat: -37.88 Lon: 147.96 |
40 |
| Lake Tyers State park | Native | Lat:-37.76 Lon:148.07 |
89 |
| Marlo | Native | Lat -37.79 Lon: 148.55 |
22 |
| Mallacoota | Native | Lat: -37.56 Lon:149.76 |
19 |
| Red Hill | Invaded | Lat:-38.39 Lon:145.02 |
131 |
| Bittern 1 | Invaded | Lat: -38.30 Lon: 145.12 |
81 |
| Bittern 2 | Invaded | Lat: -38.30 Lon: 145.12 |
81 |
| Upwey 1 | Invaded | Lat: -37.90 Lon:145.31 |
291 |
| Upwey 2 | Invaded | Lat: -37.90 Lon:145.31 |
291 |
| Montrose | Invaded | Lat:-37.84 Lon:145.33 |
222 |
| Silvan | Invaded | Lat:-37.83 Lon:145.42 |
293 |
| Trees | Females | Seed number | Seed weight (g) | |
| Native populations | ||||
| Morwell 1 | 30 | 10 | 32.0 ± 1.8 | 0.0023 ±0.0003 |
| Morwell 2 | 8 | 5 | 28.0 ± 3.6 | 0.002 ±0.0001 |
| Lakes Entrance 1 | 103 | 46 | 33.8 ± 1.3 | 0.0036 ± 0.0003 |
| Lakes Entrance 2 | 34 | 16 | 27.1 ± 3.6 | 0.0038 ± 0.0001 |
| Lake Tyers | 22 | 8 | 25.0 ± 1.4 | 0.0029 ± 0.0026 |
| Marlo | 62 | 34 | 27.3 ± 4.9 | 0.0040 ± 0.0014 |
| Mallacoota |
143 | 71 | 28.7 ± 5.7 | 0.0027 ± 0.0006 |
| Invasive populations (rural) | ||||
| Red Hill | 159 | 72 | 27.6 ± 4.0 | 0.0082 ± 0.0026 |
| Bittern 1 | 51 | 15 | N/A | |
| Bittern 2 | 89 | 44 | N/A | |
| Upwey 1 | 30 | 14 | 26.8 ± 4.2 | 0.0071 ± 0.0017 |
| Upwey 2 | 29 | 12 | 28.7 ± 5.4 | 0.0066 ± 0.0016 |
| Montrose | 84 | 31 | 27.9 ± 4.7 | 0.0028 ± 0.0009 |
| Silvan | 27 | 10 | N/A | |
Disclaimer/Publisher’s Note: The statements, opinions and data contained in all publications are solely those of the individual author(s) and contributor(s) and not of MDPI and/or the editor(s). MDPI and/or the editor(s) disclaim responsibility for any injury to people or property resulting from any ideas, methods, instructions or products referred to in the content. |
© 2025 by the authors. Licensee MDPI, Basel, Switzerland. This article is an open access article distributed under the terms and conditions of the Creative Commons Attribution (CC BY) license (http://creativecommons.org/licenses/by/4.0/).
