Submitted:
13 November 2025
Posted:
19 November 2025
You are already at the latest version
Abstract
Keywords:
1. Introduction
2. Materials and Methods
2.1. Animals, Experimental Design, and Feeding
2.2. Semen Collection and Quantitative and Qualitative Analyses
3. Results and Disscusion
4. Conclusions
Author Contributions
Funding
Institutional Review Board Statement
Data Availability Statement
Acknowledgments
Conflicts of Interest
References
- Lin CL, Ponsuksili S, Tholen E, Jennen DG, Schellander K, Wimmers K. Candidate gene markers for sperm quality and fertility of boar. Anim Reprod Sci 2006, 92, 349–363. [CrossRef]
- Robinson JA, Buhr MM. Impact of genetic selection on management of boar replacement. Theriogenology 2005, 63, 668–678. [CrossRef]
- Waberski D, Riesenbeck A, Schulze M, Weitze KF, Johnson L. Application of preserved boar semen for artificial insemination: past, present and future challenges. Theriogenology 2019, 137, 2–7. [CrossRef]
- Bortolozzo F, Menegat M, Mellagi A, Bernardi M, Wentz I. New artificial insemination technologies for swine. Reprod Domest Anim 2015, 50, 80–84. [CrossRef]
- Knox RV. Artificial insemination in pigs today. Theriogenology 2016, 85, 83–93. [CrossRef]
- Galić I, Dragin S, Stanĉić I, Maletić M, Apić J, Kladar N, Spasojević J, Grba J, Kovaĉević Z. Effect of an antioxidant supplement combination on boar sperm. Animals 2022, 12, 1301. [CrossRef]
- Horky P, Urbankova L, Bano I, Kopec T, Nevrkla P, Pribilova M, Baholet D, Chilala P, Slama P, Skalickova S. Selenium nanoparticles as potential antioxidants to improve semen quality in boars. Animals 2023, 13, 2460. [CrossRef]
- Blagojević J, Stanimirović Z, Glavinić U, Vakanjac S, Radukić Ž, Mirilović M, Maletić M. Impact of supplemented nutrition on semen quality, epigenetic-related gene expression, and oxidative status in boars. Animals 2024, 14, 3297. [CrossRef]
- Carson CC 3rd. Erectile dysfunction: diagnosis and management with newer oral agents. Proc (Baylor Univ Med Cent) 2000, 13, 356–360. [CrossRef]
- Mundey MK, Blaylock NA, Mason R, Glick SD, Maisonneuve IM, Wilson VG. Pharmacological comparison of the effect of ibogaine and 18-methoxycoronaridine on isolated smooth muscle from the rat and guinea-pig. Br J Pharmacol 2000, 129, 1561–1568. [CrossRef]
- Martínez M. Las plantas medicinales de México, 7th ed.; Ediciones Andrés Botas: México, 2005.
- Argueta VA, Cano ML, Rodarte ME. Atlas de las Plantas de la Medicina Tradicional Mexicana I; Instituto Nacional Indigenista (INI): México, D.F., 1994.
- Lara F, Márquez AC. Plantas medicinales de México, composición, uso y actividad biológica; Universidad Nacional Autónoma de México: México, 1996.
- Zhao J, Pawar RS, Ali Z, Khan IA. Phytochemical investigation of Turnera diffusa. J Nat Prod 2007, 70, 289–292. [CrossRef]
- Parra-Naranjo A, Delgado-Montemayor C, Salazar-Aranda R, Waksman-Minsky N. Bioactivity of the genus Turnera: a review of the last 10 years. Pharmaceuticals 2023, 16, 1573. [CrossRef]
- Estrada-Reyes R, Carro-Juárez M, Martínez-Mota L. Pro-sexual effects of Turnera diffusa Wild (Turneraceae) in male rats involves the nitric oxide pathway. J Ethnopharmacol 2013, 146, 164–172. [CrossRef]
- El-Demerdash FM, Jebur AB, Nasr HM, Hamid HM. Modulatory effect of Turnera diffusa against testicular toxicity induced by fenitrothion and/or hexavalent chromium in rats. Environ Toxicol 2019, 34, 330–339. [CrossRef]
- Tousson E, Hafez E, Zaki S, Gad A, Elgharabawy RM. Evaluation of the testicular protection conferred by Damiana (Turnera diffusa Willd.) against amitriptyline-induced testicular toxicity, DNA damage and apoptosis in rats. Biomed Pharmacother 2020, 132, 110819. [CrossRef]
- Estrada-Reyes R, Ortiz-López P, Gutiérrez-Ortíz J, Martínez-Mota L. Turnera diffusa Wild (Turneraceae) recovers sexual behavior in sexually exhausted males. J Ethnopharmacol 2009, 123, 423–429. [CrossRef]
- Chevallier A. The Encyclopedia of Medicinal Plants; Dorling Kindersley: New York, 1996.
- Hafez ESE, Hafez B. Reproducción e inseminación artificial en animales, 7th ed.; McGraw-Hill Interamericana: México, 2002.
- Kumar GG, Kilari EK, Nelli G, Bin Salleh N. Oral administration of Turnera diffusa Willd. ex Schult. extract ameliorates steroidogenesis and spermatogenesis impairment in the testes of rats with type-2 diabetes mellitus. J Ethnopharmacol 2023, 314, 116638:1–116638:16. [CrossRef]
- Palacios NNM, Domínguez JAG, Flores FV, Cardoso GRP, Palacios NM, Mendoza MM. Characteristics of the ejaculate when using different doses of freeze-dried Damiana de California (Turnera diffusa Willd) in stallions. Brazilian J Health Rev 2025, 8, e79360. [CrossRef]
- Johnson LA, Weitze KF, Fiser P, Maxwell WMC. Storage of boar semen. Anim Reprod Sci 2000, 62, 143–172. [CrossRef]
- Fraser L, Strzeżek J. The use of the comet assay to assess DNA integrity of boar spermatozoa following liquid preservation at 5°C and 16°C. Folia Histochem Cytobiol 2004, 42, 49–55.
- Tsaltaki C, Katsouli M, Kekes T, Chanioti S, Tzia C. Comparison study for the recovery of bioactive compounds from Tribulus terrestris, Panax ginseng, Gingko biloba, Lepidium meyenii, Turnera diffusa and Withania somnifera by using microwave-assisted, ultrasound-assisted and conventional extraction methods. Ind Crops Prod 2019, 142, 111875:1–111875:9. [CrossRef]
- Kumar, D.; Singh, S.K.; Yadav, S.; Sharma, A.; Swain, D.K. Boar Semen Quality and Its Relationship with Fertility. Theriogenology 2018, 121, 93–101. [CrossRef]


| Item | Diet |
|---|---|
| Ingredient, % of diet | |
| Corn | 21.0 |
| Wheat | 31.0 |
| Barley | 30.0 |
| Soybean meal | 12.0 |
| Wheat bran | 4.0 |
| Mineral–vitamin premix1 | 2.0 |
| Composition, % of DM unless otherwise noted | |
| DM,% | 88.3 |
| MEs, Mcal/kg2 | 3.07 |
| NEs, Mcal/kg2 | 2.37 |
| CP | 17.0 |
| CF | 3.63 |
| Crude fibers | 5.11 |
| Lysine | 0.78 |
| Methionine + Cystine | 0.73 |
| Threonine | 0.71 |
| Tryptophan | 0.22 |
| Calcium | 0.84 |
| Phosphorus, total | 0.76 |
| Digestible phosphorus | 0.53 |
| Vit A, IU/kg | 12000 |
| Vit D3, kg | 2000 |
| Vit E, mg/kg | 100 |
| Мillion/ml | Volume (in ml) | |||||||||||||||||||||
| Reading on device | Conc. | 100.00 | 120.00 | 140.00 | 160.00 | 180.00 | 200.00 | 220.00 | 240.00 | 260.00 | 280.00 | 300.00 | 320.00 | 340.00 | 360.00 | 380.00 | 400.00 | 420.00 | 440.00 | 460.00 | 480.00 | 500.00 |
| 2.370 | 2.000 | 200.00 | 240.00 | 280.00 | 320.00 | 360.00 | 400.00 | 440.00 | 480.00 | 520.00 | 560.00 | 600.00 | 640.00 | 680.00 | 720.00 | 760.00 | 800.00 | 840.00 | 880.00 | 920.00 | 960.00 | 1000.00 |
| 2.350 | 1.920 | 192.00 | 230.00 | 268.80 | 307.20 | 345.60 | 384.00 | 422.40 | 460.80 | 499.20 | 537.60 | 576.00 | 614.40 | 652.80 | 691.20 | 729.60 | 768.00 | 806.40 | 844.80 | 883.20 | 921.60 | 960.00 |
| 2.340 | 1.840 | 184.00 | 220.00 | 257.60 | 294.40 | 331.20 | 368.00 | 404.80 | 441.60 | 478.40 | 515.20 | 552.00 | 588.80 | 625.60 | 662.40 | 699.20 | 736.00 | 772.80 | 809.60 | 846.40 | 883.20 | 920.00 |
| 2.310 | 1.760 | 176.00 | 211.20 | 246.40 | 281.60 | 316.80 | 352.00 | 387.20 | 422.40 | 457.60 | 492.80 | 528.00 | 563.20 | 598.40 | 633.60 | 668.80 | 704.00 | 739.20 | 774.40 | 809.60 | 844.80 | 880.00 |
| 2.290 | 1.680 | 168.00 | 201.60 | 235.20 | 268.80 | 302.40 | 336.00 | 369.60 | 403.20 | 436.80 | 470.40 | 504.00 | 537.60 | 571.20 | 604.80 | 638.40 | 672.00 | 705.60 | 739.20 | 772.80 | 806.40 | 840.00 |
| 2.160 | 1.600 | 160.00 | 192.00 | 224.00 | 256.00 | 288.00 | 320.00 | 352.00 | 384.00 | 416.00 | 448.00 | 480.00 | 512.00 | 544.00 | 576.00 | 608.00 | 640.00 | 672.00 | 704.00 | 736.00 | 768.00 | 800.00 |
| 2.120 | 1.520 | 152.00 | 182.40 | 212.80 | 243.20 | 273.60 | 304.00 | 334.40 | 364.80 | 395.20 | 425.60 | 456.00 | 486.40 | 516.80 | 547.20 | 577.60 | 608.00 | 638.40 | 668.80 | 699.20 | 729.60 | 760.00 |
| 1.080 | 1.440 | 144.00 | 172.80 | 201.60 | 230.40 | 259.20 | 288.00 | 316.80 | 345.60 | 374.40 | 403.20 | 432.00 | 460.80 | 489.60 | 518.40 | 547.20 | 576.00 | 604.80 | 633.60 | 662.40 | 691.20 | 720.00 |
| 1.040 | 1.360 | 136.00 | 163.20 | 190.40 | 217.60 | 244.80 | 272.00 | 299.20 | 326.40 | 353.60 | 380.80 | 408.00 | 435.20 | 462.40 | 489.60 | 516.80 | 544.00 | 571.20 | 598.40 | 625.60 | 652.80 | 680.00 |
| 1.010 | 1.280 | 128.00 | 153.60 | 179.20 | 204.80 | 230.40 | 256.00 | 281.60 | 307.20 | 332.80 | 358.40 | 384.00 | 409.60 | 435.20 | 460.80 | 486.40 | 512.00 | 537.60 | 563.20 | 588.80 | 614.40 | 640.00 |
| 1.950 | 1.200 | 120.00 | 144.00 | 168.00 | 192.00 | 216.00 | 240.00 | 264.00 | 288.00 | 312.00 | 336.00 | 360.00 | 384.00 | 408.00 | 432.00 | 456.00 | 480.00 | 504.00 | 528.00 | 552.00 | 576.00 | 600.00 |
| 1.883 | 1.120 | 112.00 | 134.40 | 156.80 | 179.20 | 201.60 | 224.00 | 246.40 | 268.80 | 291.20 | 313.60 | 336.00 | 358.40 | 380.80 | 403.20 | 425.60 | 448.00 | 470.40 | 492.80 | 515.20 | 537.60 | 560.00 |
| 1.810 | 1.040 | 104.00 | 124.80 | 145.60 | 166.40 | 187.20 | 208.00 | 228.80 | 249.60 | 270.40 | 291.20 | 312.00 | 332.80 | 353.60 | 374.40 | 395.20 | 416.00 | 436.80 | 457.60 | 478.40 | 499.20 | 520.00 |
| 1.750 | 0.960 | 96.00 | 115.20 | 134.40 | 153.60 | 172.80 | 192.00 | 211.20 | 230.40 | 249.60 | 268.80 | 288.00 | 307.20 | 326.40 | 345.60 | 364.80 | 384.00 | 403.20 | 422.40 | 441.60 | 460.80 | 480.00 |
| 1.660 | 0.880 | 88.00 | 105.60 | 123.20 | 140.80 | 158.40 | 176.00 | 193.60 | 211.20 | 228.80 | 246.40 | 268.00 | 281.60 | 299.20 | 316.80 | 334.40 | 352.00 | 369.60 | 387.20 | 404.80 | 422.40 | 440.00 |
| 1.610 | 0.800 | 80.00 | 96.00 | 112.00 | 128.00 | 144.00 | 160.00 | 176.00 | 192.00 | 208.00 | 224.00 | 240.00 | 256.00 | 272.00 | 288.00 | 304.00 | 320.00 | 336.00 | 352.00 | 368.00 | 384.00 | 400.00 |
| 1.470 | 0.720 | 72.00 | 86.40 | 100.80 | 115.20 | 129.60 | 144.00 | 158.40 | 172.80 | 187.20 | 201.60 | 216.00 | 230.40 | 244.80 | 259.20 | 273.60 | 288.00 | 302.40 | 316.80 | 331.20 | 345.60 | 360.00 |
| 1.370 | 0.640 | 64.00 | 76.80 | 89.60 | 102.40 | 115.20 | 128.00 | 140.80 | 153.60 | 166.40 | 179.20 | 192.00 | 204.80 | 217.60 | 230.40 | 243.20 | 256.00 | 268.80 | 281.60 | 294.40 | 307.20 | 320.00 |
| 1.240 | 0.560 | 56.00 | 67.20 | 78.40 | 89.60 | 100.80 | 112.00 | 123.20 | 134.40 | 145.60 | 156.80 | 168.00 | 179.20 | 190.40 | 201.60 | 212.80 | 224.00 | 235.20 | 246.40 | 257.60 | 268.80 | 280.00 |
| 1.080 | 0.480 | 48.00 | 57.60 | 67.20 | 76.80 | 86.40 | 96.00 | 105.60 | 115.20 | 124.80 | 134.40 | 144.00 | 153.60 | 163.20 | 172.80 | 182.40 | 192.00 | 201.60 | 211.20 | 220.80 | 230.40 | 240.00 |
| 0.930 | 0.400 | 40.00 | 48.00 | 56.00 | 64.00 | 72.00 | 80.00 | 88.00 | 96.00 | 104.00 | 112.00 | 120.00 | 128.00 | 136.00 | 144.00 | 152.00 | 160.00 | 168.00 | 176.00 | 184.00 | 192.00 | 200.00 |
| 0.780 | 0.320 | 32.00 | 38.40 | 44.80 | 51.20 | 57.60 | 64.00 | 70.40 | 76.80 | 83.20 | 89.60 | 96.00 | 102.40 | 108.80 | 115.20 | 121.60 | 128.00 | 134.40 | 140.80 | 147.20 | 153.60 | 160.00 |
| 0.650 | 0.240 | 24.00 | 28.80 | 33.60 | 38.40 | 43.20 | 48.00 | 52.80 | 57.60 | 62.40 | 67.20 | 72.00 | 76.80 | 81.60 | 86.40 | 91.20 | 96.00 | 100.80 | 105.60 | 110.40 | 115.20 | 120.00 |
| 0.440 | 0.160 | 16.00 | 19.20 | 22.40 | 25.60 | 28.80 | 32.00 | 35.20 | 38.40 | 41.60 | 44.80 | 48.00 | 51.20 | 54.40 | 57.60 | 60.80 | 64.00 | 67.20 | 70.40 | 73.60 | 76.80 | 80.00 |
| 0.210 | 0.080 | 8.00 | 9.60 | 12.20 | 12.80 | 14.40 | 16.00 | 17.60 | 19.20 | 20.80 | 22.40 | 24.00 | 25.60 | 27.20 | 28.80 | 30.40 | 32.00 | 33.60 | 35.20 | 36.80 | 38.40 | 40.00 |
| Sperm indicators | Period | Mean | 95% CI for Mean Difference | |||
| Lower | Upper | SE | CV | |||
| Number of doses from 1 ejaculate | 1 | 32.60 | 27.13 | 38.07 | 2.66 | 0.366 |
| 2 | 37.20 | 31.73 | 42.67 | 2.73 | 0.328 | |
| Ejaculation volume, ml | 1 | 214.0 | 184.6 | 243.4 | 14.64 | 0.306 |
| 2 | 223.0 | 193.9 | 252.8 | 14.41 | 0.288 | |
| Ejaculation concentrate, number in ml (x 106) | 1 | 592.0 | 528.0 | 656.0 | 32.00 | 0.242 |
| 2 | 648.0 | 584.0 | 712.0 | 31.20 | 0.215 | |
| Sperm mobility, % | 1 | 91.25 | 89.37 | 93.13 | 1.08 | 0.053 |
| 2 | 91.75 | 89.87 | 93.63 | 0.75 | 0.037 | |
| Agglutination, % | 1 | 10.50 | 7.32 | 13.68 | 1.69 | 0.723 |
| 2 | 7.50 | 4.32 | 10.68 | 1.42 | 0.852 | |
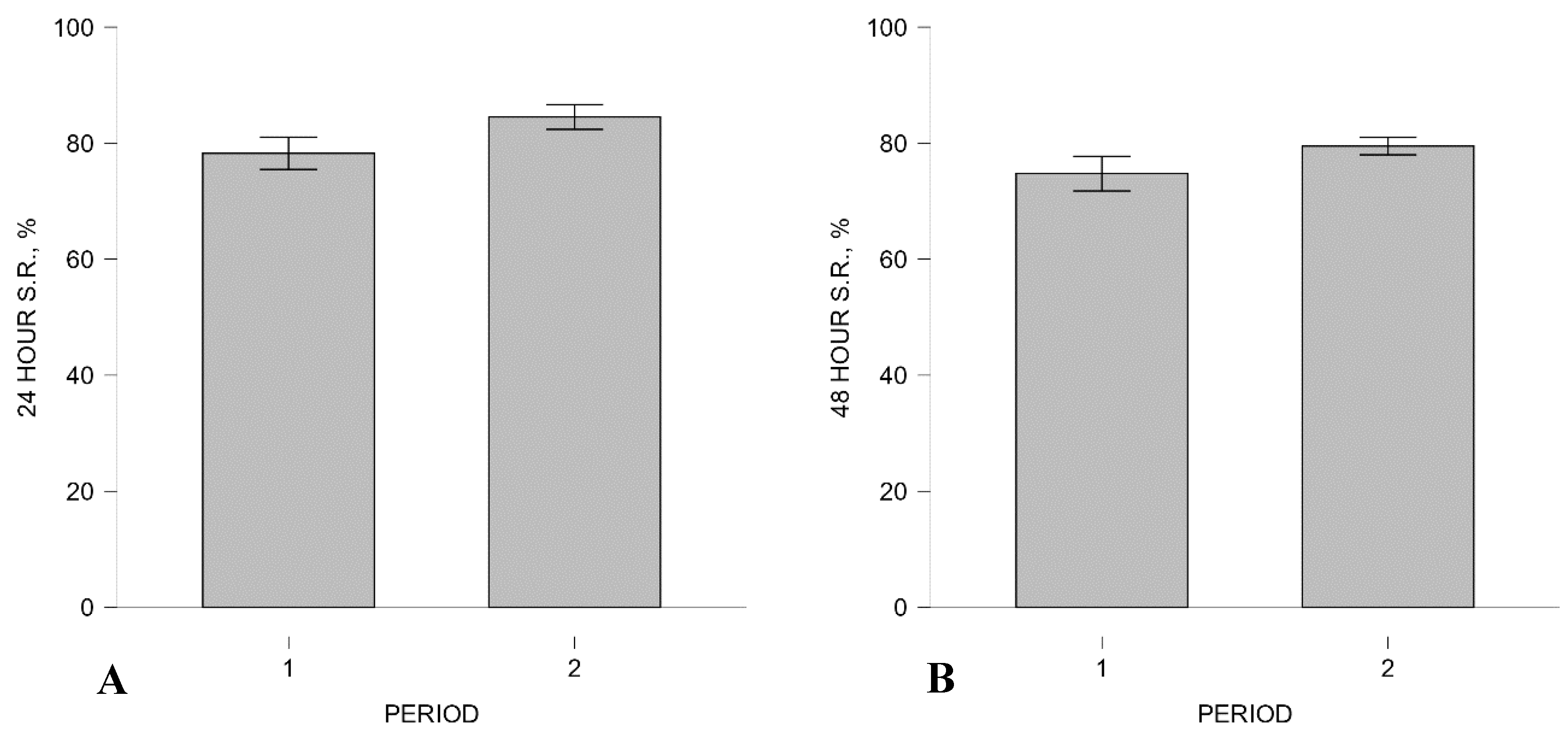
| 24 Hour S.R., % | 1 | 78.25 | 75.86 | 80.64 | 1.32 | 0.076 |
| 2 | 84.50 | 82.11 | 86.89 | 1.02 | 0.054 | |
| 48 Hour S.R., % | 1 | 74.75 | 72.46 | 77.04 | 1.42 | 0.085 |
| 2 | 79.50 | 77.21 | 81.79 | 0.71 | 0.040 | |
| 72 Hour S.R., % |
1 | 67.00 | 64.26 | 69.74 | 1.59 | 0.107 |
| 2 | 72.50 | 69.76 | 75.24 | 1.05 | 0.065 | |
| Source of Variation | Degrees of Freedom (df) | MS | F | Р |
|---|---|---|---|---|
| Number of doses per ejaculate | 1 | 211.6 | 1.451 | 0.236 |
| Ejaculate volume, ml | 1 | 874.2 | 0.207 | 0.652 |
| Ejaculate concentration, ×10⁶/ml | 1 | 31.36 | 1.570 | 0.218 |
| Motility, % | 1 | 2.50 | 0.144 | 0.706 |
| Agglutination, % | 1 | 90.00 | 1.829 | 0.184 |
| Sperm survival, 24 h, % | 1 | 390.62 | 14.02 | 0.001 |
| Sperm survival, 48 h, % | 1 | 225.62 | 8.850 | 0.005 |
| Sperm survival, 72 h, % | 1 | 302.50 | 8.24 | 0.007 |
| Error | 38 |
| Independent Samples T-Test | |||||||
| Indicator | T | df | p | ||||
| EJACULATION VOLUME, ml | -0.455 | 38 | .652 | ||||
| SPERM CONCENTRATION, mln/ml | -1.253 | 38 | .218 | ||||
| MOBILITY % | -0.380 | 38 | .706 | ||||
| AGGLUTINATION, % | 1.352 | 38 | .184 | ||||
| NUMBER OF DOSES FROM 1 EJACULATE | -1.205 | 38 | .236 | ||||
| 24 HOUR S.R., % | -3.744 | 38 | < .001 | ||||
| 48 HOUR S.R., % | -2.975 | 38 | .005 | ᵃ | |||
| 72 HOUR S.R., % | -2.871 | 38 | .007 | ᵃ | |||
Disclaimer/Publisher’s Note: The statements, opinions and data contained in all publications are solely those of the individual author(s) and contributor(s) and not of MDPI and/or the editor(s). MDPI and/or the editor(s) disclaim responsibility for any injury to people or property resulting from any ideas, methods, instructions or products referred to in the content. |
© 2025 by the authors. Licensee MDPI, Basel, Switzerland. This article is an open access article distributed under the terms and conditions of the Creative Commons Attribution (CC BY) license (http://creativecommons.org/licenses/by/4.0/).
