Submitted:
13 November 2025
Posted:
14 November 2025
You are already at the latest version
Abstract
Keywords:
1. Introduction
2. Materials and Methods
2.1. Synthesis and Characterization of Thin Films.
2.2. Evaluation of TE and Carrier Properties
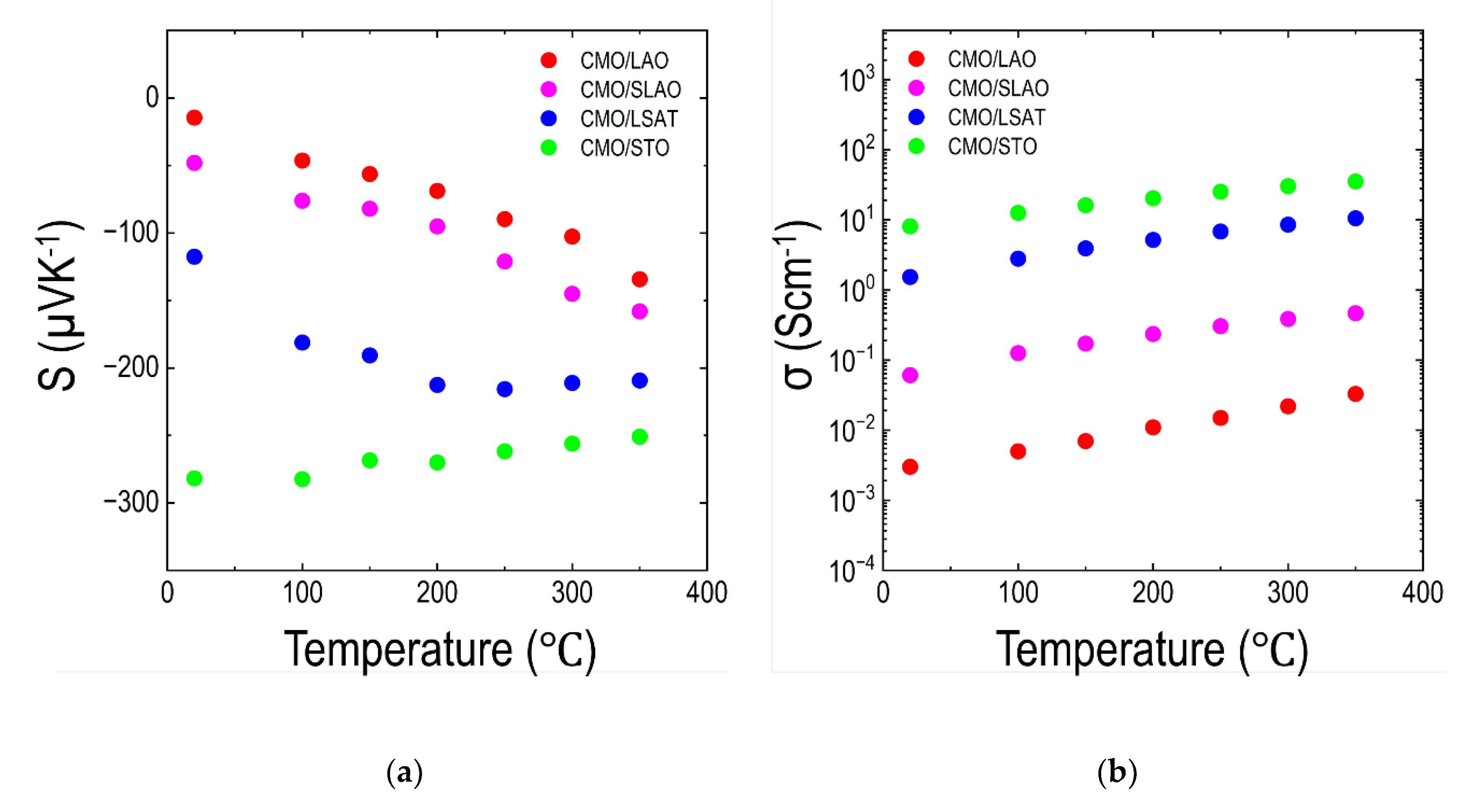
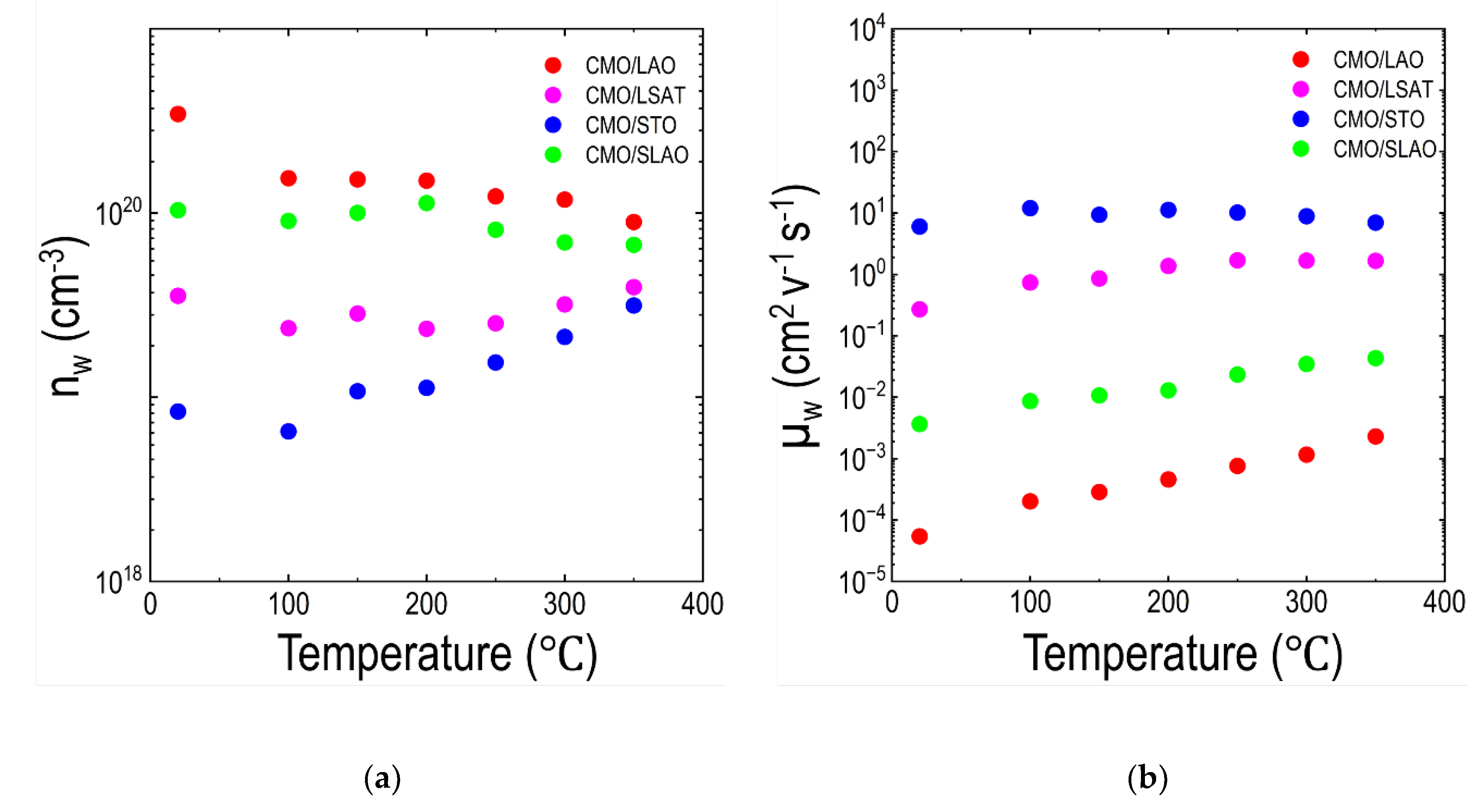
3. Results and Discussion

5. Conclusions
Supplementary Materials
Author Contributions
Funding
Data Availability Statement
Acknowledgments
Conflicts of Interest
References
- DiSalvo, F.J. Thermoelectric cooling and power generation. science 1999, 285, 703-706.
- Chen, G.; Dresselhaus, M.; Dresselhaus, G.; Fleurial, J.-P.; Caillat, T. Recent developments in thermoelectric materials. International materials reviews 2003, 48, 45-66.
- Snyder, G.J.; Toberer, E.S. Complex thermoelectric materials. Nature materials 2008, 7, 105-114.
- Perumal, S.; Roychowdhury, S.; Biswas, K. Reduction of thermal conductivity through nanostructuring enhances the thermoelectric figure of merit in Ge 1− x Bi x Te. Inorganic Chemistry Frontiers 2016, 3, 125-132.
- Alam, H.; Ramakrishna, S. A review on the enhancement of figure of merit from bulk to nano-thermoelectric materials. Nano energy 2013, 2, 190-212.
- Channegowda, M.; Mulla, R.; Nagaraj, Y.; Lokesh, S.; Nayak, S.; Mudhulu, S.; Rastogi, C.K.; Dunnill, C.W.; Rajan, H.K.; Khosla, A. Comprehensive insights into synthesis, structural features, and thermoelectric properties of high-performance inorganic chalcogenide nanomaterials for conversion of waste heat to electricity. ACS Applied Energy Materials 2022, 5, 7913-7943.
- Jabri, M.; Masoumi, S.; Sajadirad, F.; West, R.P.; Pakdel, A. Thermoelectric energy conversion in buildings. Materials Today Energy 2023, 32, 101257.
- Liu, Y.; Zhi, J.; Li, W.; Yang, Q.; Zhang, L.; Zhang, Y. Oxide materials for thermoelectric conversion. Molecules 2023, 28, 5894.
- Wang, Y.; Sui, Y.; Fan, H.; Wang, X.; Su, Y.; Su, W.; Liu, X. High temperature thermoelectric response of electron-doped CaMnO3. Chemistry of Materials 2009, 21, 4653-4660.
- Feng, Y.; Jiang, X.; Ghafari, E.; Kucukgok, B.; Zhang, C.; Ferguson, I.; Lu, N. Metal oxides for thermoelectric power generation and beyond. Advanced Composites and Hybrid Materials 2018, 1, 114-126.
- Nag, A.; Shubha, V. Oxide thermoelectric materials: A structure–property relationship. Journal of electronic materials 2014, 43, 962-977.
- Koumoto, K.; Terasaki, I.; Funahashi, R. Complex oxide materials for potential thermoelectric applications. MRS bulletin 2006, 31, 206-210.
- Funahashi, R.; Kosuga, A.; Miyasou, N.; Takeuchi, E.; Urata, S.; Lee, K.; Ohta, H.; Koumoto, K. Thermoelectric properties of CaMnO 3 system. In Proceedings of the 2007 26th International Conference on Thermoelectrics, 2007; pp. 124-128.
- Xu, S.; Wang, H.; Bu, T.a.; Wang, X.; Dong, Z.; Zhang, M.; Li, C.; Zhao, W. Utilization of doping and compositing strategy for enhancing the thermoelectric performance of CaMnO3 perovskite. Ceramics International 2024, 50, 37119-37125.
- Van Du, N.; Rahman, J.U.; Huy, P.T.; Shin, W.H.; Seo, W.-S.; Kim, M.H.; Lee, S. X-site aliovalent substitution decoupled charge and phonon transports in XYZ half-Heusler thermoelectrics. Acta Materialia 2019, 166, 650-657.
- Zhu, Y.; Wang, C.; Su, W.; Li, J.; Liu, J.; Du, Y.; Mei, L. High-temperature thermoelectric performance of Ca0. 96Dy0. 02RE0. 02MnO3 ceramics (RE= Ho, Er, Tm). Ceramics International 2014, 40, 15531-15536.
- Zhu, Y.-H.; Su, W.-B.; Liu, J.; Zhou, Y.-C.; Li, J.; Zhang, X.; Du, Y.; Wang, C.-L. Effects of Dy and Yb co-doping on thermoelectric properties of CaMnO3 ceramics. Ceramics International 2015, 41, 1535-1539.
- Thiel, P.; Eilertsen, J.; Populoh, S.; Saucke, G.; Döbeli, M.; Shkabko, A.; Sagarna, L.; Karvonen, L.; Weidenkaff, A. Influence of tungsten substitution and oxygen deficiency on the thermoelectric properties of CaMnO3− δ. Journal of Applied Physics 2013, 114.
- Wang, J.; Yin, Y.; Che, C.; Cui, M. Research Progress of Thermoelectric Materials—A Review. Energies 2025, 18, 2122.
- Dehkordi, A.M.; Zebarjadi, M.; He, J.; Tritt, T.M. Thermoelectric power factor: Enhancement mechanisms and strategies for higher performance thermoelectric materials. Materials Science and Engineering: R: Reports 2015, 97, 1-22.
- Petsagkourakis, I.; Pavlopoulou, E.; Cloutet, E.; Chen, Y.F.; Liu, X.; Fahlman, M.; Berggren, M.; Crispin, X.; Dilhaire, S.; Fleury, G. Correlating the Seebeck coefficient of thermoelectric polymer thin films to their charge transport mechanism. Organic Electronics 2018, 52, 335-341.
- Aschauer, U.; Pfenninger, R.; Selbach, S.M.; Grande, T.; Spaldin, N.A. Strain-controlled oxygen vacancy formation and ordering in CaMnO 3. Physical Review B—Condensed Matter and Materials Physics 2013, 88, 054111.
- Mayeshiba, T.; Morgan, D. Strain effects on oxygen vacancy formation energy in perovskites. Solid State Ionics 2017, 311, 105-117.
- Chandrasena, R.U.; Yang, W.; Lei, Q.; Delgado-Jaime, M.U.; Wijesekara, K.D.; Golalikhani, M.; Davidson, B.A.; Arenholz, E.; Kobayashi, K.; Kobata, M. Strain-engineered oxygen vacancies in CaMnO3 thin films. Nano letters 2017, 17, 794-799.
- Yang, G.; El Loubani, M.; Chalaki, H.R.; Kim, J.; Keum, J.K.; Rouleau, C.M.; Lee, D. Tuning ionic conductivity in fluorite Gd-doped CeO2-Bixbyite RE2O3 (RE= Y and Sm) multilayer thin films by controlling interfacial strain. ACS Applied Electronic Materials 2023, 5, 4556-4563.
- Yang, G.; El Loubani, M.; Handrick, D.; Stevenson, C.; Lee, D. Understanding the influence of strain-modified oxygen vacancies and surface chemistry on the oxygen reduction reaction of epitaxial La0. 8Sr0. 2CoO3-δ thin films. Solid State Ionics 2023, 393, 116171.
- Lee, D.; Jacobs, R.; Jee, Y.; Seo, A.; Sohn, C.; Ievlev, A.V.; Ovchinnikova, O.S.; Huang, K.; Morgan, D.; Lee, H.N. Stretching epitaxial La0. 6Sr0. 4CoO3− δ for fast oxygen reduction. The Journal of Physical Chemistry C 2017, 121, 25651-25658.
- Meyer, T.L.; Jacobs, R.; Lee, D.; Jiang, L.; Freeland, J.W.; Sohn, C.; Egami, T.; Morgan, D.; Lee, H.N. Strain control of oxygen kinetics in the Ruddlesden-Popper oxide La1. 85Sr0. 15CuO4. Nature communications 2018, 9, 92.
- Mayeshiba, T.; Morgan, D. Strain effects on oxygen migration in perovskites. Physical Chemistry Chemical Physics 2015, 17, 2715-2721.
- Herklotz, A.; Lee, D.; Guo, E.-J.; Meyer, T.L.; Petrie, J.R.; Lee, H.N. Strain coupling of oxygen non-stoichiometry in perovskite thin films. Journal of Physics: Condensed Matter 2017, 29, 493001.
- Aidhy, D.S.; Liu, B.; Zhang, Y.; Weber, W.J. Strain-induced phase and oxygen-vacancy stability in ionic interfaces from first-principles calculations. The Journal of Physical Chemistry C 2014, 118, 30139-30144.
- Mouyane, M.; Itaalit, B.; Bernard, J.; Houivet, D.; Noudem, J.G. Flash combustion synthesis of electron doped-CaMnO3 thermoelectric oxides. Powder technology 2014, 264, 71-77.
- Torres, S.d.O.; Thomazini, D.; Balthazar, G.P.; Gelfuso, M.V. Microstructural influence on thermoelectric properties of CaMnO3 ceramics. Materials Research 2020, 23, e20200169.
- Kanas, N.; Williamson, B.A.; Steinbach, F.; Hinterding, R.; Einarsrud, M.-A.; Selbach, S.M.; Feldhoff, A.; Wiik, K. Tuning the thermoelectric performance of CaMnO3-based ceramics by controlled exsolution and microstructuring. ACS Applied Energy Materials 2022, 5, 12396-12407.
- Singh, S.P.; Kanas, N.; Desissa, T.D.; Einarsrud, M.-A.; Norby, T.; Wiik, K. Thermoelectric properties of non-stoichiometric CaMnO3-δ composites formed by redox-activated exsolution. Journal of the European Ceramic Society 2020, 40, 1344-1351.
- Martin, J. Protocols for the high temperature measurement of the Seebeck coefficient in thermoelectric materials. Measurement Science and Technology 2013, 24, 085601.
- Snyder, G.J.; Snyder, A.H.; Wood, M.; Gurunathan, R.; Snyder, B.H.; Niu, C. Weighted mobility. Advanced Materials 2020, 32, 2001537.
- Katase, T.; He, X.; Tadano, T.; Tomczak, J.M.; Onozato, T.; Ide, K.; Feng, B.; Tohei, T.; Hiramatsu, H.; Ohta, H. Breaking of Thermopower–Conductivity Trade-Off in LaTiO3 Film around Mott Insulator to Metal Transition. Advanced Science 2021, 8, 2102097.
- Hong, W.T.; Gadre, M.; Lee, Y.-L.; Biegalski, M.D.; Christen, H.M.; Morgan, D.; Shao-Horn, Y. Tuning the spin state in LaCoO3 thin films for enhanced high-temperature oxygen electrocatalysis. The journal of physical chemistry letters 2013, 4, 2493-2499.
- Mitterdorfer, A.; Gauckler, L. La2Zr2O7 formation and oxygen reduction kinetics of the La0. 85Sr0. 15MnyO3, O2 (g)| YSZ system. Solid State Ionics 1998, 111, 185-218.
- Lan, Z.; Vegge, T.; Castelli, I.E. Exploring the electronic properties and oxygen vacancy formation in SrTiO3 under strain. Computational Materials Science 2024, 231, 112623.
- Xi, J.; Xu, H.; Zhang, Y.; Weber, W.J. Strain effects on oxygen vacancy energetics in KTaO 3. Physical Chemistry Chemical Physics 2017, 19, 6264-6273.
- Aidhy, D.S.; Rawat, K. Coupling between interfacial strain and oxygen vacancies at complex-oxides interfaces. Journal of Applied Physics 2021, 129.
- Lee, K.H.; Kim, S.i.; Lim, J.C.; Cho, J.Y.; Yang, H.; Kim, H.S. Approach to determine the density-of-states effective mass with carrier concentration-dependent Seebeck coefficient. Advanced Functional Materials 2022, 32, 2203852.
- Bhansali, S.; Khunsin, W.; Chatterjee, A.; Santiso, J.; Abad, B.; Martín-González, M.; Jakob, G.; Torres, C.S.; Chávez-Angel, E. Enhanced thermoelectric properties of lightly Nb doped SrTiO 3 thin films. Nanoscale advances 2019, 1, 3647-3653.
- Li, G.; Liu, S.; Piao, Y.; Jia, B.; Yuan, Y.; Wang, Q. Joint improvement of conductivity and Seebeck coefficient in the ZnO: Al thermoelectric films by tuning the diffusion of Au layer. Materials & Design 2018, 154, 41-50.
- Schmidt, V.; Mensch, P.F.; Karg, S.F.; Gotsmann, B.; Das Kanungo, P.; Schmid, H.; Riel, H. Using the Seebeck coefficient to determine charge carrier concentration, mobility, and relaxation time in InAs nanowires. Applied Physics Letters 2014, 104.
- Roguai, S.; Djelloul, A. Sn doping effects on the structural, microstructural, Seebeck coefficient, and photocatalytic properties of ZnO thin films. Solid State Communications 2022, 350, 114740.
- Wang, S.; Xiao, Y.; Ren, D.; Su, L.; Qiu, Y.; Zhao, L.-D. Enhancing thermoelectric performance of BiSbSe3 through improving carrier mobility via percolating carrier transports. Journal of Alloys and Compounds 2020, 836, 155473.
- Movaghar, B.; Jones, L.O.; Ratner, M.A.; Schatz, G.C.; Kohlstedt, K.L. Are transport models able to predict charge carrier mobilities in organic semiconductors? The Journal of Physical Chemistry C 2019, 123, 29499-29512.
- Chen, A.; Zhu, K.; Zhong, H.; Shao, Q.; Ge, G. A new investigation of oxygen flow influence on ITO thin films by magnetron sputtering. Solar energy materials and solar cells 2014, 120, 157-162.
- Werner, F. Hall measurements on low-mobility thin films. Journal of Applied Physics 2017, 122.
- El Loubani, M.; Yang, G.; Kouzehkanan, S.M.T.; Oh, T.-S.; Balijepalli, S.K.; Lee, D. Influence of redox engineering on the trade-off relationship between thermopower and electrical conductivity in lanthanum titanium-based transition metal oxides. Materials Advances 2024, 5, 9007-9017.




Disclaimer/Publisher’s Note: The statements, opinions and data contained in all publications are solely those of the individual author(s) and contributor(s) and not of MDPI and/or the editor(s). MDPI and/or the editor(s) disclaim responsibility for any injury to people or property resulting from any ideas, methods, instructions or products referred to in the content. |
© 2025 by the authors. Licensee MDPI, Basel, Switzerland. This article is an open access article distributed under the terms and conditions of the Creative Commons Attribution (CC BY) license (http://creativecommons.org/licenses/by/4.0/).
