Submitted:
29 October 2025
Posted:
31 October 2025
You are already at the latest version
Abstract

Keywords:
1. Introduction
2. Results and Discussion
2.1. Synthesis and Characterization of Products
2.2. Biological Investigations
2.2.1. Inhibition Studies of HsAChE, EcBChE, and SsCES. Structure-Activity Relationships
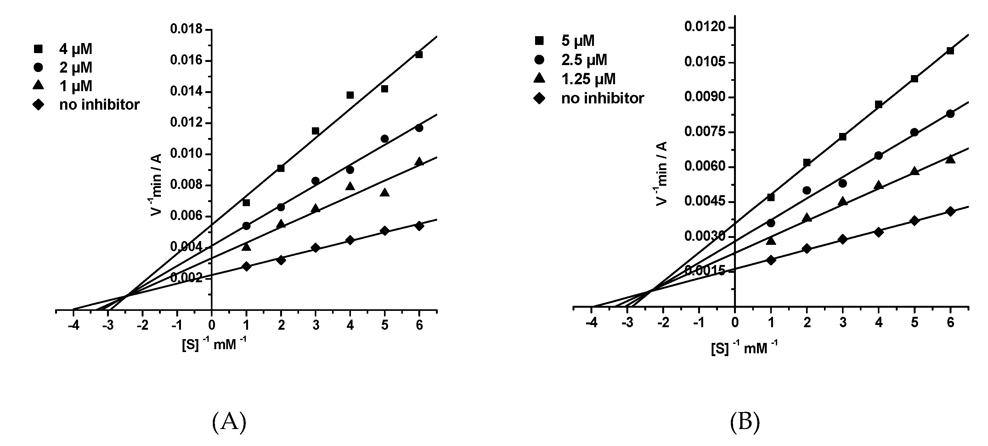
2.2.2. Kinetic Studies of HsAChE and EcBChE Inhibition
2.2.3. Molecular Docking of Fc Derivatives and Reference Compounds into HsAChE
2.2.4. Molecular Docking of Fc Derivatives and Reference Compounds into EcBChE
2.2.5. Molecular Docking of Fc Derivatives and Reference Compounds into SsCES1
2.2.6. Displacement of Propidium from the EeAChE PAS
2.2.7. Molecular Docking of Fc Derivatives and Reference Compounds into EeAChE
2.2.8. Inhibition of HsAβ42 Self-Aggregation
2.2.9. Molecular Docking of Fc Derivatives and Reference Compounds to HsAβ42
2.2.10. Antioxidant Activity (AOA)
2.2.11. QC Analyses of Antioxidant Activity (AOA)
2.2.12. Cytotoxicity of Fc Derivatives
3. Materials and Methods
3.1. Chemistry
3.1.1. Synthesis of 1-(pyridazin-4-yl)ferrocene 1e
3.1.2. Synthesis of 1-acetyl-1’-(pyridazin-4-yl)ferrocene 2e
3.1.3. General Procedure for Formation of 1-isopropenyl-1’-(pyridazin-4-yl)ferrocene 5e
3.1.4. Synthesis of 1-azinyl-1’-(α-hydroxyethyl)ferrocenes 6a-e (General Procedure)
3.1.5. Synthesis of 1-azinyl-1’-vinylferrocenes 7a-e (General Procedure)
3.1.6. Synthesis of Isopropenylferrocene 8 [60]
3.1.7. Synthesis of Vinylferrocene 9 [51]
3.2. Biological Investigations
3.2.1. In Vitro Inhibition of HsAChE, EcBChE, and SsCES1 Activities
3.2.2. Kinetic Study of HsAChE and EcBChE Inhibition: Determination of Steady-State Inhibition Constants
3.2.3. Propidium Displacement Studies
3.2.4. Inhibition of β-Amyloid (1-42) (HsAβ42) Self-Aggregation
3.2.5. Antioxidant Activity (AOA)
3.2.5.1. ABTS Radical Cation Scavenging Activity Assay
3.2.5.2. FRAP Assay
3.2.6. Cytotoxicity Study
3.3. Statistical Analyses
3.3.1. Experimental Data Presentation
3.3.2. Experimental Data Analyses
3.4. Molecular Modeling Studies
3.4.1. Preparation of Ligands for Molecular Docking, Tanimoto Similarity Coefficients (Tc), and van der Waals Volumes (Vn)
3.4.2. Quantum Chemical (QC) Calculations
3.4.4. Tc and Vn Calculations
3.4.5. Preparation of Protein Targets for Molecular Docking
3.4.6. Molecular Docking Procedure
3.4.7. Calculation of Overlap Volumes for Docked Ligands
3.4.8. Linear Discriminant Analysis (LDA) of Propidium Displacement from EeAChE PAS
3.4.9. Correlation of HsAβ42 Self-Aggregation % Inhibition and Docking Binding Energy
4. Conclusions
Supplementary Materials
Author Contributions
Funding
Institutional Review Board Statement
Informed Consent Statement
Data Availability Statement
Acknowledgments
Conflicts of Interest
Abbreviations
| 3D | Three-dimensional |
| AChE | Acetylcholinesterase |
| AD | Alzheimer’s disease |
| AF3 | AlphaFold3 |
| AMD | American Micro Devices |
| Azinyl-Fc(s) | Azinylferrocene(s) |
| BChE | Butyrylcholinesterase |
| bnp | Bis(4-nitrophenyl) phosphate (BNPP) |
| BNPP | Bis(4-nitrophenyl) phosphate |
| CAS | Catalytic active site |
| CES | Carboxylesterase |
| ChE | Cholinesterase |
| CPU | Central processing unit |
| don | Donepezil |
| Eb | Binding energy |
| EcBChE | Equus caballus (equine; horse serum) butyrylcholinesterase |
| EeAChE | Electrophorus electricus (electric eel) acetylcholinesterase |
| FASTA | FAST-All file format for single-letter format sequences |
| Fc | Ferrocene |
| GB | Gigabyte |
| GPU | Graphical processing unit |
| HsAβ42 | Homo sapiens (human) amyloid-βpeptide (1-42) |
| HsAChE | Homo sapiens (human) acetylcholinesterase |
| LDA | Linear discriminant analysis |
| MSA | Multiple sequence alignment |
| myr | Myricetin |
| NCBI | National Center for Biotechnology Information |
| PAS | Peripheral anionic site |
| PAST | PAleontological STatistics |
| PDB | Protein Data Bank |
| prm | Propidium |
| QC | Quantum chemical; quantum-chemical |
| RAM | Random access memory |
| RTX | Ray tracing texel eXtreme |
| SCE | YASARA scene file |
| SDF | Structure-data format |
| SsCES | Sus scrofa (porcine; pig) carboxylesterase |
| SsCES1 | Sus scrofa (porcine; pig) carboxylesterase 1 |
| tac | Tacrine |
| Tc | Tanimoto coefficient |
| Vn | Normalized volume |
| YASARA | Yet another scientific artificial reality application |
| YOB | YASARA object file |
References
- Larik, F.A.; Saeed, A.; Fattah, T.A.; Muqadar, U.; Channar, P.A. Recent advances in the synthesis, biological activities and various applications of ferrocene derivatives. Appl. Organomet. Chem. 2016, 31, e3664. [CrossRef]
- Singh, A.; Lumb, I.; Mehra, V.; Kumar, V. Ferrocene-appended pharmacophores: an exciting approach for modulating the biological potential of organic scaffolds. Dalton Trans. 2019, 48, 2840-2860. [CrossRef]
- Sharma, S. A Short Review of Past, Present, and Future of Metallocene and Its Derivatives as an Effective Therapeutic Agent. J. Appl. Organomet. Chem. 2023, 3, 142-155. [CrossRef]
- Ornelas, C.; Astruc, D. Ferrocene-Based Drugs, Delivery Nanomaterials and Fenton Mechanism: State of the Art, Recent Developments and Prospects. Pharmaceutics 2023, 15, 2044. [CrossRef]
- Snegur, L.V. Modern Trends in Bio-Organometallic Ferrocene Chemistry. Inorganics 2022, 10, 226. [CrossRef]
- Jančić, A.M.; Katanić Stanković, J.S.; Srećković, N.; Mihailović, V.; Komatina, D.I.; Stevanović, D. Ferrocene-containing tetrahydropyrimidin-2(1H)-ones: Antioxidant and antimicrobial activity. J. Organomet. Chem. 2022, 967, 122335. [CrossRef]
- Patra, M.; Gasser, G. The medicinal chemistry of ferrocene and its derivatives. Nat. Rev. Chem. 2017, 1, 0066. [CrossRef]
- Fouda, M.F.R.; Abd--Elzaher, M.M.; Abdelsamaia, R.A.; Labib, A.A. On the medicinal chemistry of ferrocene. Appl. Organomet. Chem. 2007, 21, 613-625. [CrossRef]
- Yeganeh, M.S.; Abbasi, F.; Kazemizadeh, A.R. Recent Advances in the Synthesis of Ferrocene-Based Heterocycles by Multicomponent Reactions: A Review. Curr. Org. Chem. 2019, 22, 2555-2575. [CrossRef]
- Halder, B.; Mitra, A.; Dewangan, S.; Gazi, R.; Sarkar, N.; Jana, M.; Chatterjee, S. Solid state synthesis of bispyridyl-ferrocene conjugates with unusual site selective 1,4-Michael addition, as potential inhibitor and electrochemical probe for fibrillation in amyloidogenic protein. J. Mol. Struct. 2023, 1273, 134362. [CrossRef]
- Goyal, D.; Shuaib, S.; Mann, S.; Goyal, B. Rationally Designed Peptides and Peptidomimetics as Inhibitors of Amyloid-beta (Abeta) Aggregation: Potential Therapeutics of Alzheimer’s Disease. ACS Comb. Sci. 2017, 19, 55-80. [CrossRef]
- Yao, P.; Zhang, J.; You, S.; Qi, W.; Su, R.; He, Z. Ferrocene-modified peptides as inhibitors against insulin amyloid aggregation based on molecular simulation. J. Mater. Chem. B 2020, 8, 3076-3086. [CrossRef]
- Jawaria, R.; Hussain, M.; Ahmad, H.B.; Ashraf, M.; Hussain, S.; Naseer, M.M.; Khalid, M.; Hussain, M.A.; al-Rashida, M.; Tahir, M.N., et al. Probing ferrocene-based thiosemicarbazones and their transition metal complexes as cholinesterase inhibitors. Inorg. Chim. Acta 2020, 508, 119658. [CrossRef]
- Almansour, A.I.; Ibrahim Al-Shemaimari, K.; Ibhrahim Alaqeel, S. Cholinesterase inhibitory activity and regioselective synthesis of spiropyrrolidinoindole integrated ferrocene hybrid heterocycles via multicomponent cycloaddition reaction. J. King Saud Univ. Sci. 2024, 36, 103027. [CrossRef]
- Altaf, A.A.; Kausar, S.; Hamayun, M.; Lal, B.; Tahir, M.N.; Badshah, A. Ferrocenylaniline based amide analogs of methoxybenzoic acids: Synthesis, structural characterization and butyrylcholinesterase (BChE) inhibition studies. J. Mol. Struct. 2017, 1146, 130-137. [CrossRef]
- Altaf, A.A.; Hamayun, M.; Lal, B.; Tahir, M.N.; Holder, A.A.; Badshah, A.; Crans, D.C. Ferrocene-based anilides: synthesis, structural characterization and inhibition of butyrylcholinesterase. Dalton Trans. 2018, 47, 11769-11781. [CrossRef]
- Obaid, R.J.; Mughal, E.U.; Naeem, N.; Al-Rooqi, M.M.; Sadiq, A.; Jassas, R.S.; Moussa, Z.; Ahmed, S.A. Pharmacological significance of nitrogen-containing five and six-membered heterocyclic scaffolds as potent cholinesterase inhibitors for drug discovery. Process Biochem. 2022, 120, 250-259. [CrossRef]
- Waly, O.M.; Saad, K.M.; El-Subbagh, H.I.; Bayomi, S.M.; Ghaly, M.A. Synthesis, biological evaluation, and molecular modeling simulations of new heterocyclic hybrids as multi-targeted anti-Alzheimer’s agents. Eur. J. Med. Chem. 2022, 231, 114152. [CrossRef]
- Kumari, S.; Maddeboina, K.; Bachu, R.D.; Boddu, S.H.S.; Trippier, P.C.; Tiwari, A.K. Pivotal role of nitrogen heterocycles in Alzheimer’s disease drug discovery. Drug Discov. Today 2022, 27, 103322. [CrossRef]
- Sanchez, J.D.; Alcantara, A.R.; Gonzalez, J.F.; Sanchez-Montero, J.M. Advances in the discovery of heterocyclic-based drugs against Alzheimer’s disease. Expert Opin. Drug Discov. 2023, 18, 1413-1428. [CrossRef]
- Ling, Y.; Hao, Z.-Y.; Liang, D.; Zhang, C.-L.; Liu, Y.-F.; Wang, Y. The Expanding Role of Pyridine and Dihydropyridine Scaffolds in Drug Design. Drug Des. Devel. Ther. 2021, 15, 4289-4338. [CrossRef]
- De, S.; Kumar, S.K.A.; Shah, S.K.; Kazi, S.; Sarkar, N.; Banerjee, S.; Dey, S. Pyridine: the scaffolds with significant clinical diversity. RSC Adv 2022, 12, 15385-15406. [CrossRef]
- Shaik, J.B.; Pinjari, M.K.M.; Gangaiah, D.A.; Nallagondu, C.G.R. Synthetic strategies of functionalized pyridines and their therapeutic potential as multifunctional anti-Alzheimer’s agents. In Recent Developments in the Synthesis and Applications of Pyridines, Singh, P., Ed. Elsevier: 2023; 10.1016/b978-0-323-91221-1.00014-2, pp. 69-126.
- Rammohan, A.; Bhaskar, B.V.; Zyryanov, G.V. Chapter 13 - Recent developments in the synthesis of pyridine analogues as a potent anti-Alzheimer’s therapeutic leads. In Recent Developments in the Synthesis and Applications of Pyridines, Singh, P., Ed. Elsevier: 2023; pp. 411-444. [CrossRef]
- Kalhor, H.R.; Nazari Khodadadi, A. Synthesis and Structure Activity Relationship of Pyridazine-Based Inhibitors for Elucidating the Mechanism of Amyloid Inhibition. Chem. Res. Toxicol. 2018, 31, 1092-1104. [CrossRef]
- Alghamdi, S.; Asif, M. Role of pyridazine analogs as acetylcholinesterase inhibitor: An approach for management of Alzheimer’s disease. Eurasian Chem. Commun. 2021, 3, 435-442. [CrossRef]
- Tan, R.X.; Li, W.H.; Pang, J.M.; Zhong, S.M.; Huang, X.Y.; Deng, J.Z.; Zhou, L.Y.; Wu, J.Q.; Wang, X.Q. Design, synthesis, and evaluation of 2,2’-bipyridyl derivatives as bifunctional agents against Alzheimer’s disease. Mol. Divers. 2024, 28, 1225-1238. [CrossRef]
- Nagani, A.; Shah, M.; Patel, S.; Patel, H.; Parikh, V.; Patel, A.; Patel, S.; Patel, K.; Parmar, H.; Bhimani, B., et al. Unveiling piperazine-quinoline hybrids as potential multi-target directed anti-Alzheimer’s agents: design, synthesis and biological evaluation. Mol. Divers. 2024, 29, 1453–1478. [CrossRef]
- Kostopoulou, I.; Diassakou, A.; Kavetsou, E.; Kritsi, E.; Zoumpoulakis, P.; Pontiki, E.; Hadjipavlou-Litina, D.; Detsi, A. Novel quinolinone-pyrazoline hybrids: synthesis and evaluation of antioxidant and lipoxygenase inhibitory activity. Mol. Divers. 2021, 25, 723-740. [CrossRef]
- Kostopoulou, I.; Tzani, A.; Chronaki, K.; Prousis, K.C.; Pontiki, E.; Hadjiplavlou-Litina, D.; Detsi, A. Novel Multi-Target Agents Based on the Privileged Structure of 4-Hydroxy-2-quinolinone. Molecules 2023, 29, 190. [CrossRef]
- Yadav, V.; Reang, J.; Sharma, V.; Majeed, J.; Sharma, P.C.; Sharma, K.; Giri, N.; Kumar, A.; Tonk, R.K. Quinoline-derivatives as privileged scaffolds for medicinal and pharmaceutical chemists: A comprehensive review. Chem. Biol. Drug. Des. 2022, 100, 389-418. [CrossRef]
- Chauhan, M.S.S.; Umar, T.; Aulakh, M.K. Quinolines: Privileged Scaffolds for Developing New Anti--neurodegenerative Agents. ChemistrySelect 2023, 8, e202204960. [CrossRef]
- Sharma, A.; Piplani, P. Acridine: A Scaffold for the Development of Drugs for Alzheimer’s Disease. Curr. Top. Med. Chem. 2023, 23, 1260-1276. [CrossRef]
- Mars, A.; Argoubi, W.; Ben Aoun, S.; Raouafi, N. Induced conformational change on ferrocenyl-terminated alkyls and their application as transducers for label-free immunosensing of Alzheimer’s disease biomarker. RSC Adv. 2016, 6, 2414-2421. [CrossRef]
- Kumar, N.; Kumar, V.; Anand, P.; Kumar, V.; Ranjan Dwivedi, A.; Kumar, V. Advancements in the development of multi-target directed ligands for the treatment of Alzheimer’s disease. Bioorg. Med. Chem. 2022, 61, 116742. [CrossRef]
- Wiles, A.A.; Zhang, X.; Fitzpatrick, B.; Long, D.L.; Macgregor, S.A.; Cooke, G. Redox-mediated reactions of vinylferrocene: toward redox auxiliaries. Dalton Trans. 2016, 45, 7220-7225. [CrossRef]
- Chen, L.; Compton, R.G. Reference Electrodes for Electrochemical Sensors Based on Redox Couples Immobilized within Nafion Films. ACS Sens 2019, 4, 1716-1723. [CrossRef]
- Muller, S.; Lee, W.; Song, J.Y.; Kang, E.; Joo, J.M. Nondirected Pd-catalyzed aerobic C-H alkenylation of ruthenocene and ferrocene. Chem. Commun. (Camb) 2022, 58, 10809-10812. [CrossRef]
- Pi, C.; Li, Y.; Cui, X.; Zhang, H.; Han, Y.; Wu, Y. Redox of ferrocene controlled asymmetric dehydrogenative Heck reaction via palladium-catalyzed dual C–H bond activation. Chem. Sci. 2013, 4, 2675. [CrossRef]
- Lou, S.J.; Zhuo, Q.; Nishiura, M.; Luo, G.; Hou, Z. Enantioselective C-H Alkenylation of Ferrocenes with Alkynes by Half-Sandwich Scandium Catalyst. J. Am. Chem. Soc. 2021, 143, 2470-2476. [CrossRef]
- Jia, J.; Cui, Y.; Li, Y.; Sheng, W.; Han, L.; Gao, J. Synthesis, third-order nonlinear optical properties and theoretical analysis of vinylferrocene derivatives. Dyes Pigm. 2013, 98, 273-279. [CrossRef]
- Hildebrandt, A.; Al Khalyfeh, K.; Schaarschmidt, D.; Korb, M. Multi-functionalized ferrocenes: –Synthesis and characterization –. J. Organomet. Chem. 2016, 804, 87-94. [CrossRef]
- Gormen, M.; Pigeon, P.; Top, S.; Hillard, E.A.; Huche, M.; Hartinger, C.G.; de Montigny, F.; Plamont, M.A.; Vessieres, A.; Jaouen, G. Synthesis, cytotoxicity, and COMPARE analysis of ferrocene and [3]ferrocenophane tetrasubstituted olefin derivatives against human cancer cells. ChemMedChem 2010, 5, 2039-2050. [CrossRef]
- Idlas, P.; Ladaycia, A.; Nemati, F.; Lepeltier, E.; Pigeon, P.; Jaouen, G.; Decaudin, D.; Passirani, C. Ferrocifen stealth LNCs and conventional chemotherapy: A promising combination against multidrug-resistant ovarian adenocarcinoma. Int. J. Pharm. 2022, 626, 122164. [CrossRef]
- Zyryanova, E.Y.; Utepova, I.A.; Musikhina, A.A.; Boltneva, N.P.; Kovaleva, N.V.; Rudakova, E.V.; Serebryakova, O.G.; Makhaeva, G.F.; Kiskin, M.A.; Lazarev, V.F., et al. 1,1′-Disubstituted azinylferrocenes: synthesis, antiaggregation and antioxidant activity. Russ. Chem. Bull. 2024, 73, 2408-2421. [CrossRef]
- Fayolle, C.; Pigeon, P.; Fischer-Durand, N.; Salmain, M.; Buriez, O.; Vessieres, A.; Labbe, E. Synthesis, Electrochemical and Fluorescence Properties of the First Fluorescent Member of the Ferrocifen Family and of Its Oxidized Derivatives. Molecules 2022, 27, 6690. [CrossRef]
- Wang, Y.; Pigeon, P.; Li, W.; Yan, J.; Dansette, P.M.; Othman, M.; McGlinchey, M.J.; Jaouen, G. Diversity-oriented synthesis and bioactivity evaluation of N-substituted ferrocifen compounds as novel antiproliferative agents against TNBC cancer cells. Eur. J. Med. Chem. 2022, 234, 114202. [CrossRef]
- Wang, Y.; Pigeon, P.; Top, S.; Sanz Garcia, J.; Troufflard, C.; Ciofini, I.; McGlinchey, M.J.; Jaouen, G. Atypical Lone Pair-pi Interaction with Quinone Methides in a Series of Imido-Ferrociphenol Anticancer Drug Candidates. Angew Chem Int Ed Engl 2019, 58, 8421-8425. [CrossRef]
- Jary, W.G.; Mahler, A.-K.; Purkathofer, T.; Baumgartner, J. A convenient synthesis of E-alkenylferrocenes. J. Organomet. Chem. 2001, 629, 208-212. [CrossRef]
- Shi, R.; Wang, H.; Tang, P.; Bin, Y. Synthesis of vinylferrocene and the ligand-exchange reaction between its copolymer and carbon nanotubes. FRONT. CHEM. SCI. ENG. 2014, 8, 171-178. [CrossRef]
- Šebesta, R.; Plevová, K.; Mudráková, B. A Practical Three-Step Synthesis of Vinylferrocene. Synthesis 2017, 50, 760-763. [CrossRef]
- Chupakhin, O.N.; Utepova, I.A.; Kovalev, I.S.; Rusinov, V.L.; Starikova, Z.A. Direct C–C Coupling of Ferrocenyllithium and Azaheterocycles by Nucleophilic Substitution of Hydrogen – Synthesis of Mono-- and 1,1′--Diazinylferrocenes. Eur. J. Org. Chem. 2007, 2007, 857-862. [CrossRef]
- Musikhina, A.A.; Serebrennikova, P.O.; Zabelina, O.N.; Utepova, I.A.; Chupakhin, O.N. Advanced Application of Planar Chiral Heterocyclic Ferrocenes. Inorganics 2022, 10, 152. [CrossRef]
- Chupakhin, O.N.; Serebrennikova, P.O.; Utepova, I.A.; Musikhina, A.A.; Suvorova, A.I.; Paznikova, Y.A. Two approaches to the synthesis of planar chiral quinolinyl cymantrene. Russ. Chem. Bull. 2020, 69, 458-460. [CrossRef]
- Musikhina, A.A.; Utepova, I.A.; Chupakhin, O.N.; Charushin, V.N.; Slepukhin, P.A. Transition metal-free regioselective cross-coupling of azine N-oxides with cymantrenyl lithium. J. Organomet. Chem. 2018, 870, 32-37. [CrossRef]
- Utepova, I.A.; Serebrennikova, P.O.; Streltsova, M.S.; Musikhina, A.A.; Fedorchenko, T.G.; Chupakhin, O.N.; Antonchick, A.P. Enantiomerically Enriched 1,2-P,N-Bidentate Ferrocenyl Ligands for 1,3-Dipolar Cycloaddition and Transfer Hydrogenation Reactions. Molecules 2018, 23, 1311. [CrossRef]
- Utepova, I.A.; Chupakhin, O.N.; Serebrennikova, P.O.; Musikhina, A.A.; Charushin, V.N. Two approaches in the synthesis of planar chiral azinylferrocenes. J. Org. Chem. 2014, 79, 8659-8667. [CrossRef]
- Musikhina, A.A.; Utepova, I.A.; Serebrennikova, P.O.; Chupakhin, O.N.; Charushin, V.N. Synthesis of chiral ferrocenylazines. Negishi cross-coupling or S N H reactions? Russ. J. Org. Chem. 2013, 49, 1191-1194. [CrossRef]
- Musikhina, A.A.; Utepova, I.A.; Chupakhin, O.N.; Suvorova, A.I.; Zyryanova, E.Y. Regioselective synthesis of 1-azinyl-1′-isopropenylferrocenes. Mend. Commun. 2020, 30, 209-210. [CrossRef]
- Miller, E.J.; Weigelt, C.A.; Serth, J.A.; Rusyid, R.; Brenner, J.; Luck, L.A.; Godlewski, M. The Wittig reaction in the generation of organometallic compounds containing alkenes as side groups. J. Organomet. Chem. 1992, 440, 91-101. [CrossRef]
- Makhaeva, G.F.; Rudakova, E.V.; Kovaleva, N.V.; Lushchekina, S.V.; Boltneva, N.P.; Proshin, A.N.; Shchegolkov, E.V.; Burgart, Y.V.; Saloutin, V.I. Cholinesterase and carboxylesterase inhibitors as pharmacological agents. Russ. Chem. Bull. 2019, 68, 967-984. [CrossRef]
- Makhaeva, G.F.; Radchenko, E.V.; Palyulin, V.A.; Rudakova, E.V.; Aksinenko, A.Y.; Sokolov, V.B.; Zefirov, N.S.; Richardson, R.J. Organophosphorus compound esterase profiles as predictors of therapeutic and toxic effects. Chem. Biol. Interact. 2013, 203, 231-237. [CrossRef]
- Makhaeva, G.F.; Rudakova, E.V.; Serebryakova, O.G.; Aksinenko, A.Y.; Lushchekina, S.V.; Bachurin, S.O.; Richardson, R.J. Esterase profiles of organophosphorus compounds in vitro predict their behavior in vivo. Chem. Biol. Interact. 2016, 259, 332-342. [CrossRef]
- Taylor, P.; Lappi, S. Interaction of fluorescence probes with acetylcholinesterase. The site and specificity of propidium binding. Biochemistry 1975, 14, 1989-1997. [CrossRef]
- De Ferrari, G.V.; Canales, M.A.; Shin, I.; Weiner, L.M.; Silman, I.; Inestrosa, N.C. A structural motif of acetylcholinesterase that promotes amyloid beta-peptide fibril formation. Biochemistry 2001, 40, 10447-10457. [CrossRef]
- Arce, M.P.; Rodriguez-Franco, M.I.; Gonzalez-Munoz, G.C.; Perez, C.; Lopez, B.; Villarroya, M.; Lopez, M.G.; Garcia, A.G.; Conde, S. Neuroprotective and cholinergic properties of multifunctional glutamic acid derivatives for the treatment of Alzheimer’s disease. J. Med. Chem. 2009, 52, 7249-7257. [CrossRef]
- Bartolini, M.; Bertucci, C.; Cavrini, V.; Andrisano, V. β-Amyloid aggregation induced by human acetylcholinesterase: inhibition studies. Biochem. Pharmacol. 2003, 65, 407-416. [CrossRef]
- Marco-Contelles, J.; Leon, R.; de los Rios, C.; Garcia, A.G.; Lopez, M.G.; Villarroya, M. New multipotent tetracyclic tacrines with neuroprotective activity. Bioorg. Med. Chem. 2006, 14, 8176-8185. [CrossRef]
- Makhaeva, G.F.; Fisenko, V.P.; Bachurin, S.O. New functions of cholinesterases in the development of Alzheimer’s disease as a target for neuroprotective drugs. Russ. Chem. Bull. 2025, 74, 2312-2331. [CrossRef]
- Keshet, B.; Gray, J.J.; Good, T.A. Structurally distinct toxicity inhibitors bind at common loci on beta-amyloid fibril. Protein Sci. 2010, 19, 2291-2304. [CrossRef]
- Afzal, W.; Afshan. H.; Inam, J.; Farman, S.; Khurshid, B. Targeting ♌-amyloid in Alzheimer’s disease: a molecular dynamics study of myricetin as a natural inhibitor Pakistan J. Med. Cardiol. Rev. 2025, 4, 2046-2074. [CrossRef]
- Itoh, S.G.; Yagi-Utsumi, M.; Kato, K.; Okumura, H. Key Residue for Aggregation of Amyloid-beta Peptides. ACS Chem. Neurosci. 2022, 13, 3139-3151. [CrossRef]
- Naldi, M.; Fiori, J.; Pistolozzi, M.; Drake, A.F.; Bertucci, C.; Wu, R.; Mlynarczyk, K.; Filipek, S.; De Simone, A.; Andrisano, V. Amyloid beta-peptide 25-35 self-assembly and its inhibition: a model undecapeptide system to gain atomistic and secondary structure details of the Alzheimer’s disease process and treatment. ACS Chem. Neurosci. 2012, 3, 952-962. [CrossRef]
- Ono, K.; Li, L.; Takamura, Y.; Yoshiike, Y.; Zhu, L.; Han, F.; Mao, X.; Ikeda, T.; Takasaki, J.; Nishijo, H., et al. Phenolic compounds prevent amyloid beta-protein oligomerization and synaptic dysfunction by site-specific binding. J. Biol. Chem. 2012, 287, 14631-14643. [CrossRef]
- ByteDance, A.M.L.A.I.S.T.; Chen, X.; Zhang, Y.; Lu, C.; Ma, W.; Guan, J.; Gong, C.; Yang, J.; Zhang, H.; Zhang, K., et al. Protenix - Advancing Structure Prediction Through a Comprehensive AlphaFold3 Reproduction. bioRxiv Preprint, 2025. [CrossRef]
- Crescenzi, O.; Tomaselli, S.; Guerrini, R.; Salvadori, S.; D’Ursi, A.M.; Temussi, P.A.; Picone, D. Solution structure of the Alzheimer amyloid beta-peptide (1-42) in an apolar microenvironment. Similarity with a virus fusion domain. Eur. J. Biochem. 2002, 269, 5642-5648. [CrossRef]
- Santoro, A.; Grimaldi, M.; Buonocore, M.; Stillitano, I.; D’Ursi, A.M. Exploring the Early Stages of the Amyloid Abeta(1-42) Peptide Aggregation Process: An NMR Study. Pharmaceuticals (Basel) 2021, 14, 732. [CrossRef]
- Makhaeva, G.F.; Kovaleva, N.V.; Rudakova, E.V.; Boltneva, N.P.; Grishchenko, M.V.; Lushchekina, S.V.; Astakhova, T.Y.; Serebryakova, O.G.; Timokhina, E.N.; Zhilina, E.F., et al. Conjugates of Tacrine and Salicylic Acid Derivatives as New Promising Multitarget Agents for Alzheimer’s Disease. Int. J. Mol. Sci. 2023, 24, 2285. [CrossRef]
- Makhaeva, G.F.; Grishchenko, M.V.; Kovaleva, N.V.; Boltneva, N.P.; Rudakova, E.V.; Astakhova, T.Y.; Timokhina, E.N.; Pronkin, P.G.; Lushchekina, S.V.; Khudina, O.G., et al. Conjugates of amiridine and salicylic derivatives as promising multifunctional CNS agents for potential treatment of Alzheimer’s disease. Arch. Pharm. (Weinheim) 2025, 358, e2400819. [CrossRef]
- Di Cera, E. Mechanisms of ligand binding. Biophys. Rev. (Melville) 2020, 1, 011303. [CrossRef]
- Gupta, D. Methods for determination of antioxidant capacity: A review. Int. J. Pharm. Sci. Res. 2015, 6, 546-566. [CrossRef]
- Shenderovich, I.G. The Partner Does Matter: The Structure of Heteroaggregates of Acridine Orange in Water. Molecules 2019, 24. [CrossRef]
- Jaouen, G.; Top, S. The Ferrocifen Family as Potent and Selective Antitumor Compounds: Mechanisms of Action. In Advances in Organometallic Chemistry and Catalysis, 2013; pp. 563-580. 10.1002/9781118742952.ch42.
- Jaouen, G.; Vessieres, A.; Top, S. Ferrocifen type anti cancer drugs. Chem. Soc. Rev. 2015, 44, 8802-8817. [CrossRef]
- Mosmann, T. Rapid colorimetric assay for cellular growth and survival: application to proliferation and cytotoxicity assays. J Immunol Methods 1983, 65, 55-63. [CrossRef]
- Fujii, S. Expanding the chemical space of hydrophobic pharmacophores: the role of hydrophobic substructures in the development of novel transcription modulators. MedChemComm 2016, 7, 1082-1092. [CrossRef]
- Pigeon, P.; Gormen, M.; Kowalski, K.; Muller-Bunz, H.; McGlinchey, M.J.; Top, S.; Jaouen, G. Atypical McMurry cross-coupling reactions leading to a new series of potent antiproliferative compounds bearing the key [ferrocenyl-ene-phenol] motif. Molecules 2014, 19, 10350-10369. [CrossRef]
- Borys, A.M. An Illustrated Guide to Schlenk Line Techniques. Organometallics 2023, 42, 182-196. [CrossRef]
- Gao, J.; Martin, A.; Yatvin, J.; White, E.; Locklin, J. Permanently grafted icephobic nanocomposites with high abrasion resistance. J. Mater. Chem. A 2016, 4, 11719-11728. [CrossRef]
- Drouin, B.J.; Lavaty, T.G.; Cassak, P.A.; Kukolich, S.G. Measurements of structural and quadrupole coupling parameters for bromoferrocene using microwave spectroscopy. J. Chem. Phys. 1997, 107, 6541-6548. [CrossRef]
- Makhaeva, G.F.; Lushchekina, S.V.; Boltneva, N.P.; Serebryakova, O.G.; Rudakova, E.V.; Ustyugov, A.A.; Bachurin, S.O.; Shchepochkin, A.V.; Chupakhin, O.N.; Charushin, V.N., et al. 9-Substituted acridine derivatives as acetylcholinesterase and butyrylcholinesterase inhibitors possessing antioxidant activity for Alzheimer’s disease treatment. Bioorg. Med. Chem. 2017, 25, 5981-5994. [CrossRef]
- Taylor, P.; Lwebuga-Mukasa, J.; Lappi, S.; Rademacher, J. Propidium—a fluorescence probe for a peripheral anionic site on acetylcholinesterase. Mol. Pharmacol. 1974, 10, 703-708.
- Konagurthu, A.S.; Whisstock, J.C.; Stuckey, P.J.; Lesk, A.M. MUSTANG: a multiple structural alignment algorithm. Proteins 2006, 64, 559-574. [CrossRef]
- Makhaeva, G.F.; Kovaleva, N.V.; Rudakova, E.V.; Boltneva, N.P.; Lushchekina, S.V.; Faingold, II; Poletaeva, D.A.; Soldatova, Y.V.; Kotelnikova, R.A.; Serkov, I.V., et al. New Multifunctional Agents Based on Conjugates of 4-Amino-2,3-polymethylenequinoline and Butylated Hydroxytoluene for Alzheimer’s Disease Treatment. Molecules 2020, 25, 5891. [CrossRef]
- LeVine, H., 3rd. Quantification of beta-sheet amyloid fibril structures with thioflavin T. Meth. Enzymol. 1999, 309, 274-284. [CrossRef]
- Munoz-Ruiz, P.; Rubio, L.; Garcia-Palomero, E.; Dorronsoro, I.; del Monte-Millan, M.; Valenzuela, R.; Usan, P.; de Austria, C.; Bartolini, M.; Andrisano, V., et al. Design, synthesis, and biological evaluation of dual binding site acetylcholinesterase inhibitors: new disease-modifying agents for Alzheimer’s disease. J. Med. Chem. 2005, 48, 7223-7233. [CrossRef]
- Re, R.; Pellegrini, N.; Proteggente, A.; Pannala, A.; Yang, M.; Rice-Evans, C. Antioxidant activity applying an improved ABTS radical cation decolorization assay. Free Radic. Biol. Med. 1999, 26, 1231-1237. [CrossRef]
- Makhaeva, G.F.; Elkina, N.A.; Shchegolkov, E.V.; Boltneva, N.P.; Lushchekina, S.V.; Serebryakova, O.G.; Rudakova, E.V.; Kovaleva, N.V.; Radchenko, E.V.; Palyulin, V.A., et al. Synthesis, molecular docking, and biological evaluation of 3-oxo-2-tolylhydrazinylidene-4,4,4-trifluorobutanoates bearing higher and natural alcohol moieties as new selective carboxylesterase inhibitors. Bioorg. Chem. 2019, 91, 103097. [CrossRef]
- Benzie, I.F.; Strain, J.J. The ferric reducing ability of plasma (FRAP) as a measure of “antioxidant power”: the FRAP assay. Anal. Biochem. 1996, 239, 70-76. [CrossRef]
- Benzie, I.F.; Strain, J.J. Ferric reducing/antioxidant power assay: direct measure of total antioxidant activity of biological fluids and modified version for simultaneous measurement of total antioxidant power and ascorbic acid concentration. Meth. Enzymol. 1999, 299, 15-27. [CrossRef]
- Dutysheva, E.A.; Kuznetcova, L.S.; Utepova, I.A.; Margulis, B.A.; Guzhova, I.V.; Lazarev, V.F. Induction of Chaperone Synthesis in Human Neuronal Cells Blocks Oxidative Stress-Induced Aging. Acta Naturae 2025, 17, 29-35. [CrossRef]
- PubChem (2025) https://pubchem.ncbi.nlm.nih.gov/ Availabe online: (accessed on 10 October 2025).
- Ozvoldik, K.; Stockner, T.; Krieger, E. YASARA Model-Interactive Molecular Modeling from Two Dimensions to Virtual Realities. J. Chem. Inf. Model. 2023, 63, 6177-6182. [CrossRef]
- Maier, J.A.; Martinez, C.; Kasavajhala, K.; Wickstrom, L.; Hauser, K.E.; Simmerling, C. ff14SB: Improving the Accuracy of Protein Side Chain and Backbone Parameters from ff99SB. J. Chem. Theory Comput. 2015, 11, 3696-3713. [CrossRef]
- CCDC (2025) https://www.ccdc.cam.ac.uk/ (accessed on 15 October 2025).
- Frisch, M.J.; Trucks, G.W.; Schlegel, H.B.; Scuseria, G.E.; Robb, M.A.; Cheeseman, J.R.; Scalmani, G.; Barone, V.; Petersson, G.A.; Nakatsuji, H. Gaussian 16 Revision C. 01. 2016, Gaussian Inc.: Wallingford, CT, USA: 2016.
- Laikov, D.N.; Ustynyuk, Y.A. PRIRODA-04: a quantum-chemical program suite. New possibilities in the study of molecular systems with the application of parallel computing. Russ. Chem. Bull. 2005, 54, 820-826. [CrossRef]
- Becke, A.D. Density-functional thermochemistry. III. The role of exact exchange. J. Chem. Phys. 1993, 98, 5648-5652. [CrossRef]
- Petersson, G.A.; Al-Laham, M.A. A complete basis set model chemistry. II. Open-shell systems and the total energies of the first-row atoms. J. Chem. Phys. 1991, 94, 6081-6090. [CrossRef]
- Grimme, S.; Antony, J.; Ehrlich, S.; Krieg, H. A consistent and accurate ab initio parametrization of density functional dispersion correction (DFT-D) for the 94 elements H-Pu. J. Chem. Phys. 2010, 132, 154104. [CrossRef]
- Marenich, A.V.; Cramer, C.J.; Truhlar, D.G. Universal Solvation Model Based on Solute Electron Density and on a Continuum Model of the Solvent Defined by the Bulk Dielectric Constant and Atomic Surface Tensions. J. Phys. Chem. B 2009, 113, 6378-6396. [CrossRef]
- Hawkins, P.C.; Skillman, A.G.; Nicholls, A. Comparison of shape-matching and docking as virtual screening tools. J. Med. Chem. 2007, 50, 74-82. [CrossRef]
- OpenEye ROCS 3.8.0.1 http://www.eyesopen.com (accessed 15 October 2025). ROCS 3.8.0.1, OpenEye, Cadence Molecular Sciences: Santa Fe, NM, 2025.
- Schrödinger, LLC (2025). The Schrödinger Suite, including Phase (used for volume calculations) (Release 2025-2). Schrödinger, LLC, New York, NY., Schrödinger, LLC: New York, NY, 2025.
- Eberhardt, J.; Santos-Martins, D.; Tillack, A.F.; Forli, S. AutoDock Vina 1.2.0: New Docking Methods, Expanded Force Field, and Python Bindings. J. Chem. Inf. Model. 2021, 61, 3891-3898. [CrossRef]
- Trott, O.; Olson, A.J. AutoDock Vina: improving the speed and accuracy of docking with a new scoring function, efficient optimization, and multithreading. J. Comput. Chem. 2010, 31, 455-461. [CrossRef]
- Lexa, K.W.; Carlson, H.A. Protein flexibility in docking and surface mapping. Q. Rev. Biophys. 2012, 45, 301-343. [CrossRef]
- UniProt (2025) https://www.uniprot.org/ (accessed on 11 October 2025).
- NCBI-Protein (2025). https://www.ncbi.nlm.nih.gov/protein/ (accessed on 11 October 2025).
- Protenix (2025) https://github.com/bytedance/Protenix (accessed on 10 October 2025).
- Krieger, E.; Dunbrack, R.L., Jr.; Hooft, R.W.; Krieger, B. Assignment of protonation states in proteins and ligands: combining pKa prediction with hydrogen bonding network optimization. Methods Mol. Biol. 2012, 819, 405-421. [CrossRef]
- Chen, X.; Fang, L.; Liu, J.; Zhan, C.G. Reaction pathway and free energy profiles for butyrylcholinesterase-catalyzed hydrolysis of acetylthiocholine. Biochemistry 2012, 51, 1297-1305. [CrossRef]
- Golicnik, M.; Sinko, G.; Simeon-Rudolf, V.; Grubic, Z.; Stojan, J. Kinetic model of ethopropazine interaction with horse serum butyrylcholinesterase and its docking into the active site. Arch. Biochem. Biophys. 2002, 398, 23-31. [CrossRef]
- Kovarik, Z.; Radic, Z.; Grgas, B.; Skrinjaric-Spoljar, M.; Reiner, E.; Simeon-Rudolf, V. Amino acid residues involved in the interaction of acetylcholinesterase and butyrylcholinesterase with the carbamates Ro 02-0683 and bambuterol, and with terbutaline. Biochim. Biophys. Acta 1999, 1433, 261-271. [CrossRef]
- Masson, P.; Froment, M.T.; Fortier, P.L.; Visicchio, J.E.; Bartels, C.F.; Lockridge, O. Butyrylcholinesterase-catalysed hydrolysis of aspirin, a negatively charged ester, and aspirin-related neutral esters. Biochim. Biophys. Acta 1998, 1387, 41-52. [CrossRef]
- Moorad, D.; Chunyuan, L.; Ashima, S.; Bhupendra, D.; Gregory, G. Purification and Determination of the Amino Acid Sequence of Equine Serum Butyrylcholinesterase. Toxicol. Meth. 2008, 9, 219-227. [CrossRef]
- Rosenberry, T.L.; Brazzolotto, X.; Macdonald, I.R.; Wandhammer, M.; Trovaslet-Leroy, M.; Darvesh, S.; Nachon, F. Comparison of the Binding of Reversible Inhibitors to Human Butyrylcholinesterase and Acetylcholinesterase: A Crystallographic, Kinetic and Calorimetric Study. Molecules 2017, 22. [CrossRef]
- Bourne, Y.; Grassi, J.; Bougis, P.E.; Marchot, P. Conformational flexibility of the acetylcholinesterase tetramer suggested by x-ray crystallography. J. Biol. Chem. 1999, 274, 30370-30376. [CrossRef]
- Salih, E.; Chishti, S.B.; Vicedomine, P.; Cohen, S.G.; Chiara, D.C.; Cohen, J.B. Active-site peptides of acetylcholinesterase of Electrophorus electricus: labelling of His-440 by 1-bromo-[2-14C]pinacolone and Ser-200 by tritiated diisopropyl fluorophosphate. Biochim. Biophys. Acta 1994, 1208, 324-331. [CrossRef]
- Johnson, G.; Moore, S.W. The peripheral anionic site of acetylcholinesterase: structure, functions and potential role in rational drug design. Curr. Pharm. Des. 2006, 12, 217-225. [CrossRef]
- Shafferman, A.; Velan, B.; Ordentlich, A.; Kronman, C.; Grosfeld, H.; Leitner, M.; Flashner, Y.; Cohen, S.; Barak, D.; Ariel, N. Substrate inhibition of acetylcholinesterase: residues affecting signal transduction from the surface to the catalytic center. EMBO J. 1992, 11, 3561-3568. [CrossRef]
- Wiesner, J.; Kriz, Z.; Kuca, K.; Jun, D.; Koca, J. Acetylcholinesterases--the structural similarities and differences. J. Enzyme Inhib. Med. Chem. 2007, 22, 417-424. [CrossRef]
- Wang, D.; Zou, L.; Jin, Q.; Hou, J.; Ge, G.; Yang, L. Human carboxylesterases: a comprehensive review. Acta Pharm. Sin. B 2018, 8, 699-712. [CrossRef]
- Ireland, D.; Rabeler, C.; Rao, S.; Richardson, R.J.; Collins, E.S. Distinguishing classes of neuroactive drugs based on computational physicochemical properties and experimental phenotypic profiling in planarians. PLoS One 2025, 20, e0315394. [CrossRef]
- Zaki, M.J.; Meira, W., Jr. Linear discriminant analysis. In: Data Mining and Machine Learning: Fundamental Concepts and Algorithms. 2nd ed., Cambridge University Press.: Cambridge, UK, 2020; pp. 501-516.
- PAST (2025). https://www.nhm.uio.no/english/research/resources/past/ (accessed 15 October 2025).
- Lachenbruch, P.A.; Mickey, M.R. Estimation of Error Rates in Discriminant Analysis. Technometrics 1968, 10, 1-11. [CrossRef]
- CRC handbook of chemistry and physics, 97th ed.; Haynes, W.M., Ed. CRC press: Boca Raton, 2016; pp. 2670. [CrossRef]
- Brown, H.C. In: Determination of organic structures by physical methods; Braude, E.A., Nachod, F.C., Eds.; Elsevier: 1955.
- CRC Handbook of Chemistry and Physics (90th ed.). Lide, D.R., Ed. CRC Press: Boca Raton, Florida, 2009.
- https://www.chemicalbook.com/ChemicalProductProperty_EN_CB5195697.htm.
- Portenkirchner, E.; Enengl, C.; Enengl, S.; Hinterberger, G.; Schlager, S.; Apaydin, D.; Neugebauer, H.; Knör, G.; Sariciftci, N.S. A Comparison of Pyridazine and Pyridine as Electrocatalysts for the Reduction of Carbon Dioxide to Methanol. ChemElectroChem 2014, 1, 1543-1548. [CrossRef]
- Fujiki, R.; Matsui, T.; Shigeta, Y.; Nakano, H.; Yoshida, N. Recent Developments of Computational Methods for pKa Prediction Based on Electronic Structure Theory with Solvation Models. J 2021, 4, 849-864. [CrossRef]
- Wang, S.; Shen, Y.; Zhang, X.; Liu, H.; Zhang, S.-T.; Li, W.; Yang, B. Noncovalent π–π dimerization based on acridine and acid-responsive luminescence switching. Dyes Pigm. 2022, 205. [CrossRef]
- Choudhury, R.R.; Chitra, R. Stacking interaction between homostacks of simple aromatics and the factors influencing these interactions. CrystEngComm 2010, 12. [CrossRef]
- Paik, D.; Lee, H.; Kim, H.; Choi, J.M. Thermodynamics of pi-pi Interactions of Benzene and Phenol in Water. Int. J. Mol. Sci. 2022, 23. [CrossRef]
- Srivastava, A.; Garg, A.; Das, D.; Debnath, A. Molecular dynamics simulations of a stacked $$\uppi $$-conjugated soft material: binding energy and preferential geometry for self-assembly. Bull. Mater. Sci. 2020, 43. [CrossRef]
- Lessa, M.D.; Stoyanov, S.R.; de Carneiro, J.W.M.; da Costa, L.M. Density functional theory investigation of the contributions of pi-pi stacking and hydrogen bonding with water to the supramolecular aggregation interactions of model asphaltene heterocyclic compounds. J. Mol. Model. 2024, 30, 145. [CrossRef]
- Tachikawa, H.; Iura, R.; Kawabata, H. Water-accelerated pi-Stacking Reaction in Benzene Cluster Cation. Sci. Rep. 2019, 9, 2377. [CrossRef]
- Pawledzio, S.; Ziemniak, M.; Trzybinski, D.; Arhangelskis, M.; Makal, A.; Wozniak, K. Influence of N-protonation on electronic properties of acridine derivatives by quantum crystallography. RSC Adv 2024, 14, 5340-5350. [CrossRef]
- Ilyasov, I.R.; Beloborodov, V.L.; Selivanova, I.A.; Terekhov, R.P. ABTS/PP Decolorization Assay of Antioxidant Capacity Reaction Pathways. Int. J. Mol. Sci. 2020, 21, 1131. [CrossRef]
- Bell, E.W.; Zhang, Y. DockRMSD: an open-source tool for atom mapping and RMSD calculation of symmetric molecules through graph isomorphism. J. Cheminform. 2019, 11, 40. [CrossRef]
- Jung, J.; Lee, B. Protein structure alignment using environmental profiles. Protein Eng. 2000, 13, 535-543. [CrossRef]













| Azinyl substituent | Yield 1a-e (%) |
Yield 2a-e (%) |
Yield 5a-e (%) |
Yield 6a-e (%) |
Yield 7a-e (%) |
|---|---|---|---|---|---|
| Pyridin-2-yl (a) | 67 [52] | 67 | 72 | 93 | 90 |
| Quinolin-2-yl (b) | 67 [52] | 55 | 81 | 98 | 93 |
| Acridin-9-yl (c) | 80 [52] | 52 | 75 | 86 | 88 |
| 2,2’-Bipyridin-6-yl (d) | 78 [52] | 62 | 68 | 98 | 95 |
| Pyridazin-4-yl (e) | 53 | 58 | 63 | 82 | - |
![]() | ||||||
|---|---|---|---|---|---|---|
| No | ![]() |
Inhibition of HsAChE, EcBChE and SsCES IC50, μM or % inhibition at 20 μM |
Propidium displacement, (%)1 | HsAβ42 self-aggregation inhibition, (%) 2 | ||
| HsAChE | EcBChE | SsCES | ||||
| 1-azinyl-Fcs, R1=H | ||||||
| 1a | ![]() |
n.a. | 20.3±1.4% | 17.5±1.3% | n.a. | 43.4±3.4 |
| 1b | ![]() |
68.1±3.4 μM | 2.70±0.19 μM | 29.8±2.0% | 10.2±0.8 | 79.5±6.3 |
| 1c | ![]() |
6.5±0.8% | 21.2±1.6% | n.a. | 11.2±0.9 | 71.0±4.9 |
| 1d | ![]() |
7.89±0.63 μM | 13.8±1.2 μM | 20.9±1.6% | 11.1±0.9 | 63.7±5.1 |
| 1e | ![]() |
n.a. | 13.1±1.4% | n.a. | n.a. | 53.3±3.7 |
| Fc | - | 9.6±1.4% | 6.7±1.0% | 4.2±0.7% | n.a. | 3.5±0.4 |
| 1-azinyl-1’-isopropenyl-Fcs, R1 = –C(CH3)=CH2 | ||||||
| 5a | ![]() |
4.4±1.1% | 18.3±1.6% | n.a. | n.a. | 62.4±4.9 |
| 5b | ![]() |
4.01±0.28 μM | 9.91±0.69 μM | 35.4±2.8% | 11.5±0.8 | 82.9±6.6 |
| 5c | ![]() |
36.7±3.3% | 96.7±6.6 μM | n.a. | 10.5±0.9 | 90.1±7.2 |
| 5d | ![]() |
5.12±0.41 μM | 4.86±0.39 μM | n.a. | 8.2±0.6 | 83.8±4.2 |
| 5e | ![]() |
n.a. | n.a. | n.a. | n.a. | 48.6±3.5 |
| 8 | - | n.a. | 3.9±0.8% | 2.9±0.6% | n.a. | n.a. |
| 1-azinyl-1’-vinyl-Fcs, R1 = –CH=CH2 | ||||||
| 7a | ![]() |
16.5±1.3 μM | 20.1±1.6 μM | 18.5±1.6% | 9.6±0.7 | 84.6±7.5 |
| 7b | ![]() |
3.32±0.23 μM | 3.68±0.29 μM | 29.8±2.6% | 7.7±0.6 | 89.6±6.2 |
| 7c | ![]() |
22.8±1.8% | 7.6±1.1% | 14.1±1.5% | 10.4±0.8 | 86.9±6.1 |
| 7d | ![]() |
6.34±0.51 μM | 7.94±0.55 μM | 5.8±1.3% | 9.7±0.6 | 81.5±4.9 |
| 9 | - | 4.2±0.9% | n.a. | 23.4±2.1% | n.a. | 44.9±3.1 |
| BNPP | n.a. | n.a. | 99.1±0.9% 1.80±0.11 µM |
n.d. | n.d. | |
| Tacrine | 0.601±0.047 μM | 0.0295±0.0002 μM | n.a. | 3.1±0.2 | 5.9±0.5 | |
| Donepezil | 0.040±0.004 μM | 19.2±3.0 μM | n.a. | 11.9 ± 0.9 | n.d. | |
| Myricetin | n.d. | n.d. | n.d. | n.d. | 79.4±6.3 | |
![]() | ||||
|---|---|---|---|---|
| No | ![]() |
ABTS•+-scavenging activity |
Ferric reducing antioxidant power |
|
| TEAC | IC50, µM | TE | ||
| 1-azinyl-Fcs, R1=H | ||||
| 1a | Pyridyl-2 | 2.1±0.1 | 10.8±0.6 | 2.05±0.02 |
| 1b | Quinolin-2-yl | 4.2±0.2 | 6.6 ± 0.3 | 2.21±0.01 |
| 1c | Acridin-9-yl | 1.50±0.08 | 14.6±0.3 | 1.59±0.17 |
| 1d | 2,2’-Bipyridin-6-yl | 1.00±0.04 | 20.6±1.5 | 1.77±0.04 |
| 1e | Pyridazin-4-yl | 2.3±0.1 | 9.2 ± 0.5 | 1.72±0.02 |
| Fc | - | 0.57±0.03 | 32.9±1.9 | 0.79±0.02 |
| 1-azinyl-1’-isopropenyl-Fcs, R1 = –C(CH3)=CH2 | ||||
| 5a | Pyridyl-2 | 2.2±0.1 | 9.4±0.5 | 2.85±0.13 |
| 5b | Quinolin-2-yl | 4.3±0.2 | 5.6±0.3 | 3.13±0.17 |
| 5c | Acridin-9-yl | 1.35±0.06 | 15.8±0.8 | 2.45±0.14 |
| 5d | 2,2’-Bipyridin-6-yl | 0.94±0.05 | 20.8±0.1 | 1.47±0.06 |
| 5e | Pyridazin-4-yl | 2.5 ±0.2 | 9.3 ± 0.4 | 2.65±0.02 |
| 8 | - | 0.73±0.04 | 26.3±1.5 | 1.1±0.1 |
| 1-azinyl-1’-vinyl-Fcs, R1 = –CH=CH2 | ||||
| 7a | Pyridyl-2 | 2.60±0.08 | 8.4±0.3 | 2.13±0.03 |
| 7b | Quinolin-2-yl | 4.4±0.2 | 5.3±0.2 | 2.21±0.02 |
| 7c | Acridin-9-yl | 2.9±0.1 | 6.9±0.3 | 1.36±0.01 |
| 7d | 2,2’-Bipyridin-6-yl | 1.36±0.06 | 15.6±0.7 | 1.93±0.06 |
| 9 | - | 1.00±0.04 | 19.4±0.1 | 1.04±0.02 |
| Trolox | 1.0 | 20.1±1.2 | 1.0 | |
| compound | BDE, kcal/mol | IP, kcal/mol | Exp. FRAP, TE | Exp. ABTS, TEAC | ||
|---|---|---|---|---|---|---|
| water | ethanol | water | ethanol | water | ethanol | |
| Fc | 111.61 | 111.21 | 74.9 | 82.6 | 0.79±0.02 | 0.57±0.03 |
| 1a | - not calculated |
105.55 | - not calculated |
83.1 | - | 2.10±0.10 |
| 1ap | 67.54 | 67.14 | 81.0 | 90.6 | 2.05±0.02 | |
| 1bp | 69.14 | 68.74 | 81.6 | 91.3 | 2.21±0.01 | 4.20±0.20 |
| 1cp | 68.84 | 69.54 | 78.8 | 88.4 | 1.59±0.17 | 1.50±0.08 |
| 8 | 88.13 | 87.03 | 74.0 | 82.0 | 1.10±0.10 | 0.73±0.04 |
| 5a | - not calculated |
86.93 | - not calculated |
82.0 | - | 2.20±0.10 |
| 5ap | 66.84 | 66.64 | 79.9 | 89.4 | 2.85±1.3 | |
| 5bp | 68.94 | 68.44 | 80.5 | 90.2 | 3.13±1.7 | 4.30±0.20 |
| 5cp | 68.54 | 69.14 | 80.3 | 89.2 | 2.45±0.14 | 1.35±0.06 |
| 9 | 103.22 | 102.02 | 74.7 | 82.2 | 1.04±0.02 | 1.00±0.04 |
| 7a | - not calculated |
101.52 | - not calculated |
82.4 | - | 2.60±0.03 |
| 7ap | 67.14 | 66.84 | 80.9 | 90.6 | 2.13±0.03 | |
| 7bp | 68.64 | 68.34 | 81.1 | 90.8 | 2.21±0.02 | 4.40±0.03 |
| 7cp | 68.54 | 69.04 | 77.8 | 87.4 | 1.36±0.01 | 2.90±0.03 |
| 1b | 1d | 5b | 5d | 7b | 7d | 10 | 11 | |
|---|---|---|---|---|---|---|---|---|
| MSC-Neu | 393.1 ± 13.2 | 632.3 ± 22.8 | 564.3 ± 31.8 | 413.9 ± 18.6 | 277 ± 14.8 | 299.2 ± 21.9 | 103.6 ± 12.3 | 138.9 ± 15.7 |
| SH-SY5Y | 242.7 ± 27.4 | 152.4 ± 21.2 | 281 ± 30.1 | 188.8 ± 19.3 | 287.4 ± 31.7 | 158.1 ± 19.8 | 43.4 ± 6.7 | 57.8 ± 8.2 |
Disclaimer/Publisher’s Note: The statements, opinions and data contained in all publications are solely those of the individual author(s) and contributor(s) and not of MDPI and/or the editor(s). MDPI and/or the editor(s) disclaim responsibility for any injury to people or property resulting from any ideas, methods, instructions or products referred to in the content. |
© 2025 by the authors. Licensee MDPI, Basel, Switzerland. This article is an open access article distributed under the terms and conditions of the Creative Commons Attribution (CC BY) license (http://creativecommons.org/licenses/by/4.0/).


















