Preprint
Article

This version is not peer-reviewed.

Tannin Supplementation Alters Foraging Behavior and Spatial Distribution in Beef Cattle

A peer-reviewed article of this preprint also exists.

Submitted:

14 October 2025

Posted:

14 October 2025

You are already at the latest version

Abstract

We investigated how tannin supplementation influences the behavior and performance of beef cattle grazing a meadow bromegrass monoculture. Twenty-four Angus cow–calf pairs were allocated to six 3.6-ha paddocks (four pairs/paddock), randomly assigned to Control (Ctrl; n = 3) or Tannin treatment (TT; n = 3). Animals received 1 kg/cow/day of DDGs, with TT receiving an added 0.4% tannins (2:1 condensed:hydrolyzable). Grazing occurred during four 15-day periods (July–September) across two years. Data were analyzed with mixed-effects models. Tannins did not alter biomass removal or cow weight loss (p > 0.05). However, TT cows exhibited longer evening grazing (2.9 vs. 2.1 h), fewer standing-to-lying transitions (5.7% vs. 7.3%), and more even grazing distribution (CV = 1.86 vs. 2.13; p < 0.05), and greater water consumption (147 vs. 121 L/day; p < 0.01). Average daily gain of calves was numerically greater in TT compared to Ctrl (1.03 vs. 0.93 kg/day), although this difference was not significant (p = 0.2699). Findings indicate that tannin supplementation extended evening grazing, reduced rumination, and promoted even distribution, indicative of increased forage selectivity. Fewer standing-to-lying transitions indicated reduced restlessness, potentially improving welfare. Increased water intake highlights a physiological adjustment that may require management in water-limited rangelands.

Keywords: 
;  ;  ;  ;  

1. Introduction

Rangelands cover approximately 31% of U.S. land area and are fundamental for livestock production, supporting about eight million beef calves produced annually ([1]. Areas dominated by grass monocultures, such as intermediate, tall, and crested wheatgrass, provide essential spring forage for cow-calf pairs [2]. However, the nutritional quality of these grasses declines during mid-summer, requiring protein supplementation to maintain cattle productivity [3]. In this context, protein supplementation enhances diet quality and grazing efficiency [4,5] Among plant secondary compounds, tannins have been shown to improve protein utilization in cattle [6]. Tannins are polyphenolic compounds broadly classified into two groups: condensed tannins (CTs) and hydrolyzable tannins (HTs). Both types can reduce ruminal protein degradation, thereby increasing protein use efficiency in ruminants and concurrently lowering methane emissions, contributing to environmental sustainability [7,8]
Beyond their effects on ruminal protein metabolism and environmental outcomes, tannins also exert direct influences on animal performance and foraging dynamics in grazing systems. For instance, heifers grazing sainfoin, a tannin-containing legume, gained more weight than those on non-tannin forages [9], with similar improvements reported in lambs [10,11]. Tannin consumption has also been associated with increased water and mineral intake in confinement studies, suggesting physiological adjustments that may alter spatial foraging dynamics [12,13]. Ingesting plant secondary compounds including tannins, terpenoids, and phenolic resins—elicits diuretic-like responses in herbivores such as Neotoma stephensi and N. albigula, characterized by elevated water intake, greater urine output, and reduced urine osmolarity [14,15]. Detoxification often requires nitrogen conjugation, increasing urinary N losses and creating trade-offs between toxin elimination and nutrient conservation [16,17,18]. Herbivores may mitigate these costs by selecting forages with favorable protein-to-tannin ratios or mixing diets to dilute phytochemicals while meeting nutritional demands [19,20,21]. Such strategies are particularly relevant in heterogeneous rangelands where phytochemical profiles vary across time and space [22,23]. Thus, intake of secondary metabolites reflects a complex integration of behavioral, physiological, and biochemical mechanisms through which herbivores balance nutrient acquisition with detoxification. Within this framework, increased water intake plays a central role in offsetting osmotic and excretory costs [14], ultimately shaping grazing behavior, spatial distribution, and performance in variable landscapes.
Although the benefits of tannin-rich forages on livestock performance are well-documented under confined feeding conditions, their supplemental effects on free-grazing cattle remain largely unexplored. Recently, commercially processed tannin extracts have gained attention in the livestock sector due to their consistent quality, standardized dosage and scalability for livestock management [8]. Unlike naturally occurring tannins in forages, which vary widely in structure and concentration, commercial extracts provide a reliable means of supplementation that can enhance feed efficiency and promote animal health. These extracts may reproduce some of the functional benefits of tannin-containing forages, including improved grazing efficiency and modified foraging behavior across heterogeneous rangelands [8].
Despite this potential, limited information exists on how supplemental tannins influence grazing behavior, spatial distribution and water intake of free-ranging cattle -factors closely linked to both animal performance and ecosystem-level processes. amental in their metabolism and excretion. We therefore hypothesized that supplementing cattle with a commercial tannin extract would mimic some of the behavioral and nutritional functions of grazing diverse phytochemical-containing forages by enriching a chemically uniform pasture devoid of plant secondary compounds. To test this hypothesis, we examined the effects of supplemental tannins on performance, grazing behavior, spatial distribution, and water consumption in cows grazing meadow bromegrass-dominated rangeland.

2. Materials and Methods

2.1. Study Area

This study was conducted at the Utah State University Richmond Research Farm located in northern Utah, USA and managed by Utah State University (41.9227° N, 111.8136° W). The elevation at the farm is 1511 m, with an annual temperature range between -9°C and 16°C, annual rainfall is 52.6 cm and snowfall of 177.8 cm [24]. The soil type is silt loam. The experimental pasture is delineated by a five-strand barbed wire perimeter fence, encompassing 22.26 ha of meadow bromegrass (Bromus inermis) (MBG) pasture monoculture (~ 2500 Kg/ha; [25]) with less even distribution of intermediate wheatgrass (Thinopyrum intermedium). A semi-permanent electric fence divided the pasture into 2 equal blocks. Temporary electric fences, perpendicular to this fence divide the pasture into 6 paddocks of 3.64 ha each. The study procedures described herein were approved by the Utah State University Institutional Animal Care and Use Committee (approval number 2566).

2.2. Animal and Grazing Protocol

Three of the six paddocks were randomly assigned to the Control treatment (Ctrl), where cattle grazed Bromus inermis and received daily a supplement of Distillers Dried Grains with Solubles (DDGs). The remaining three paddocks were assigned to the Tannin Treatment (TT), where cattle received the same DDGs supplement and feeding protocol, with the addition of a tannin extract blend (in a powder form, ByPro, Silvafeed, Italy) mixed in the supplement. The blend was composed of one-third chestnut tannin extract and two-thirds quebracho tannin extract. Both extracts were analyzed by matrix-assisted laser desorption/ionization-time of fight (MALDI-TOF) mass spectrometry [26]. Quebracho tannin composition was: 84.3% condensed favan-3-ols (predominantly profsetinidin), 10.7% oligomers of favan3-ols (catechin and epicatechin dimers), and 5% carbohydrate derivate (dimers of pentose, monocarboxylic acid of hexose, and 6-carbon sugars) on a dry matter (DM) basis. Chestnut tannin composition was (DM basis): 7.9% digalloyl glucose, 5.0% trigalloyl glucose, 16.5% pentagalloyl glucose, and 70.6% oligomers of digalloyl glucose, trigalloyl glucose, and pentagalloyl glucose [26].
Twenty-four Angus cow-calf pairs were assigned to the paddocks in two consecutive years (cows: 614 ± 20 kg, calves: 244 ± 4 kg initial body weight (BW) in 2023; cows: 539 ± 27 kg, calves: 167 ± 6 kg in 2024). Pairs were stratified by initial cow weight and randomly assigned to Ctrl or TT (N = 12 pairs/treatment) and then pairs (n=4) were randomly assigned to each of the six paddocks. In each paddock, cow-calf pairs received their DDGs supplement in two troughs (3 m long x 0.61 m wide x 0.43 m tall) at 1Kg/cow for both treatments and with the addition of the tannin blend that represented approximately 0.4% of the diet (400 g of the tannin blend added daily to 1 Kg of DDGs/cow).
Grazing occurred from July to September during 2023 and 2024, separated into four consecutive experimental periods of 15 days each (Periods 1, 2, 3 and 4), with the first period being an adaptation period (no tannins; Baseline) with only DDGs supplementation for both Ctrl and TT treatments (Table A1). Cow supplements were provided daily from 6 to 8 am, and two water troughs of approximately 380 liters within each paddock were filled every day at the same time. Ten grams of DDGs were collected daily during supplement, stored in plastic bags and then composited by period for chemical analyses.

2.3. Measurements of the Impact of Tannin Supplementation

2.3.1. Herbage Availability

Herbage dry matter (DM) availability for bromegrass was assessed per unit area in each paddock before animals entered the paddocks (pre-grazing herbage biomass) on July 10, 2023 and on July 13, 2024. Herbage availability was also evaluated after animals grazed (post-grazing herbage biomass) by taking 150 readings in each paddock using a rising plate pasture meter (Electronic Plate Meter Jenquip EC-10, Agriworks Ltd., NZ). Each paddock was sampled in a “lazy W" pattern and every 5 steps the plate meter was lowered vertically onto the herbage until 150 reads per paddock were achieved. Simultaneously, and using a similar walking pattern, quadrant frames of the same area as the plate meter (0.10-m2) were randomly tossed and all forage within the frame was cut to the ground (10 samples/paddock). Samples were placed in individual paper bags, weighed and dried at 65 °C to constant weight. Linear relationships for each experimental period were estimated from calibration curves of DM herbage biomass on plate meter readings from pre- and post-grazing events, i.e., Period 1 = Pre-grazing biomass and end of Period 1, Period 2= end of Periods 1 and 2, Period 3 = end of Periods 2 and 3, Period 4= end of Periods 3 and 4 [27]. Calibration curves were plotted using the respective plate readings and biomass for the 10 samples per paddock, creating a regression equation for the relationship between height and biomass. This equation derived estimates of dry matter (DM) per gram per square centimeter (DM/g/cm2) using the respective 150 heights readings per period. Subsequently, the estimated biomass was extrapolated to DM per kilogram per hectare (DM/kg/ha) and used to determine forage availability per paddock. This protocol was repeated every 15 days across 4 periods over two consecutive years of the experiment. Tracking changes in biomass between periods provided information on biomass removal by cow-calf pairs, thereby estimating biomass disappearance within the whole period and per day, which was calculated by dividing total periods values by 15 days. The collected dried samples of bromegrass were also ground and sieved through a 1 mm screen (Wiley mill (model 4; Thomas Scientific Swedesboro, NJ, USA) before chemical analyses.

2.3.2. Foraging Behavior

In year two (2024), 18 mother cows (9 TT; 9 CT) were randomly selected within their respective paddocks and fitted with LiteTrack Iridium 750+ GPS collars equipped with accelerometers to monitor foraging behavior by recording locations and accelerometry at 5-minute intervals. GPS accuracy was independently validated within the study site under open-sky, stationary conditions consistent with ION STD-101 (1997) protocol. Following this protocol, five random collars were selected and mounted on a fixed stand at a surveyed benchmark, and logged positions were compared with the benchmark to compute horizontal error, yielding approximately 10 meters. GPS devices weighed 1.75 kg (0.3% to 0.4% of the average body weight of the monitored cattle), which did not affect behavioral patterns [28]. Each animal's collar serial number and cow ID was recorded for reference. After retrieval, collar data were cleaned following the protocol outlined in Muzzo et al. [29]. The cleaned GPS collar data for all 18 animals were then used to create a predicted dataset (PD) containing their respective predicted foraging behaviors (PFB). The PFB in the PD were generated using the highest-accuracy predictor sets for foraging behaviors reported in our previous study, Muzzo et al. [29]]. In that earlier work, the best-performing machine learning (ML) models were identified under different data-partition strategies and applied here using a similar multi-sensor integration and ML classification workflow. This approach was implemented in a comparable grazing experiment with six paddocks (3 Ctrl; 3 TT), as in the present study. Briefly, in that earlier study, the three cows were continuously observed and video recorded by following the animals for 12-hour daytime periods over three consecutive days. These observations provided ground-truth behavior labels that were time-stamped and aligned to the nearest 5-minute collar epoch to validate behavior classification. We then evaluated classifications using a simple 70:30 random train–validation split (RTS) and a more complex five-fold cross-validation (5FCV) data-partition strategies across the activity-state, grazing, and posture models. A random forest tree-based method was used to select important predictor variables (Table A2) by aggregating trees and calculating average variable importance Muzzo et al. [29]. This helped reduce variable redundancy and resulted in a more parsimonious model. The highest classification accuracy for active/non-active states from the ML method was achieved with the XGBoost model, yielding an accuracy of 74.5% using RTS. For foraging behavior (grazing [GR], resting [RE], and rumination [RU]), the 5FCV in the Random Forest (RF) model reported an accuracy of 62.9%. For posture-based behaviors (resting while standing [RE_SU], resting while lying down [RE_LD], rumination while standing [RU_SU], and rumination while lying down [RU_LD]), the 5FCV reported an accuracy of 58.8%. Thereafter, we computed the same predictors (Table A2) as in Muzzo et al. [29] for all 18 animals cleaned collar data and applied the highest respective classification models, trained on a dataset containing the observed predictors and behaviors of the three ground truth animals, to generate each PFB in our present study that was used for further analysis.
Geographic coordinates collected by all GPS collars in the PD were projected from World Geodetic System 1984 (WGS84) latitude/longitude coordinates to WGS84 Universal Transverse Mercator (UTM) coordinates for zone 12 north that covers our study area. This was done to be consistent with our geospatial database as well as to more easily summarize the data by calculating distances between points, distance traveled by individual cows, foraging behavior, and position of cows at four time of day (TOD) intervals (Table A2). TOD intervals were identified by examining the hourly grazing frequency spanning a 24-hour period. Hourly frequency was determined by counting all grazing events for a given hour across the four grazing periods (Table A1). The frequency distribution per hour identified 4 distinct 6-hour grazing intervals: 4:00 am–10:00 am (Morning), 10:00 am–4:00 pm (Afternoon), 4:00 pm–10:00 pm (Evening), and 10:00 pm–4:00 am (Night) (Table A3).

2.3.3. Grazing Distribution

Grazing distribution in the present study was defined as the spatial pattern of GPS points where animals actively removed herbage through biting, representing the ecological footprint of herbivory. The definition followed our previous machine learning approach [29], in which GPS and accelerometer data were integrated to classify foraging behaviors and isolate grazing events from other activities, such as walking, resting, and ruminating. Extracting only grazing points from the dataset allowed spatial analyses to focus specifically on forage removal rather than general occupancy. In year two, grazing distribution was assessed across treatments and periods. GPS points corresponding only to grazing activity were extracted in PFB from PD dataset created using the highest Random Forest (RF) trained model accuracy obtained under 5FCV data partition strategy of foraging behavior [29]. Non-foraging points that inflate occupancy-based measures were excluded. In addition, locations within a 10-meter buffer of water troughs, feeders, mineral sites, and fence lines were removed, as these features disproportionately attracted cattle and could bias estimates of forage use. The refined dataset was then used to calculate spatial metrics, including grazing point density and the coefficient of variation (CV), which enabled comparisons between treatments and periods. ArcGIS Pro version 4.4 was used for all spatial data visualization and analysis. Kernel Density analysis was applied to grazing points using a 5 m search radius, producing grids with a 1 m cell resolution. Grid values represented the number of grazing visits per m², and paddock boundaries were used as barriers to confine calculations within each paddock. Density outputs were classified into five categories: no grazing, light grazing, moderate grazing, heavy grazing, and very heavy grazing. Visualization with a gradient scale was used to display output rasters for periods 1 (baseline, no tannins) and 4 (tannin supplementation), illustrating shifts in the overall distribution of cows’ grazing patterns across treatments. Zonal statistics were then performed to assess and compare grazing distribution [30]between treatments across periods.

2.3.4. Activity Level Estimates

For years 1 and 2, each cow was also equipped with an Icetag3DTM pedometer (IceRobotics, Roslin, UK) on its left rear leg to record activity every 15 minutes. The devices were attached upon the cows' entry into each paddock and removed upon exit. Data were retrieved using the IceRobotics software (version 2023) which continuously recorded activity and posture metrics (e.g., the number of steps taken, the motion index score, and the duration of lying, standing, and transitioning up and down) at 15-minute intervals across the period. The IceRobotics software also computed a motion index score, which provides a broader measure of the animal’s activity level and complements the step count by incorporating both the intensity and frequency of movement. Specifically, it quantifies the magnitude of 3-dimensional acceleration and is related to the total amount of energy used by the animal over a given period [31]. The motion index is calculated per second and then summed to provide the total activity per minute (in G’s/10), which is subsequently averaged over each 15-minute recording interval. Standing and lying measurements identified rest and activity periods. Transitions between lying and standing estimated the probability of discomfort or restlessness by the cow. The activity summary for steps, motion, standing, lying minutes, and transition up and down was computed by treatment, time of the day, per period and year, thus proportions of standing, lying, and transitions were also calculated.

2.3.5. Water Consumption Estimates

During year 2, two water troughs were used to determine water consumption in mid-summer from 29-July to 5-Sept 2024 when animals were well adapted to tannin supplementation. Troughs, each with approximately 380 liter capacity (135 cm long, 79 cm wide, 64 cm high) were filled with water every morning. Prior to refilling, the remaining water depth was measured with a ruler and documented. Water depth in centimeters was converted to volume in liters based on trough dimensions. Daily records included the date, paddock type (treatment or control), paddock number, water depth (in cm), remaining water (in liters), estimated water consumed (in liters), and additional information, such as weather conditions and animal behavior during experimental periods. To account for water loss due to evaporation, a trough of similar dimensions was placed outside the paddock, free from disturbance or animal access. Similar daily measurements were recorded for the control trough to estimate water loss due to evaporation. The water consumed by animals was then calculated by subtracting the remaining volume, adjusted for evaporation, from the total capacity of the troughs (760 liters) per treatment paddock.

2.3.6. Animal Performance

During both years, individual cow/calf pairs were weighed separately in a load cell scale (Rice Lake Weighing Systems, Rice Lake, WI) located under a squeeze chute before and after the experiment. The change in weight (i.e. performance) was calculated by subtracting the initial weight recorded before the experiment from the final weight measured after the experiment. The weight gain (or loss) data were then analyzed across treatments, periods and years, to assess the effects of the experimental variables.

2.4. Chemical Analyses

Dry matter, total nitrogen (N) concentration, acid detergent fiber (ADF), and acid detergent lignin (ADL) were determined according to the Association of Official Analytical Chemists (AOAC, 1990; 930.04) method. DM for the collected grass samples and DDGs was determined after drying samples at 105 °C for 3 hours in a forced-air drying oven. Total N concentration was analyzed using a Leco FP-528 N combustion analyzer (AOAC, 2000; 990.03 method) with crude protein (CP) concentration computed as N concentration × 6.25. Concentration of ADF was determined as per the AOAC (2000) 973.18 method modified by using Whatman 934-AH glass microfiber filters with 1.5 μm particle retention and a Buchner funnel in place of a fritted glass crucible. In determining ADL, the study adopted procedures modified by Robertson and Van Soest [32].

2.5. Statistical Analysis

The biomass removal, nutrient composition of grass and DDGs, animal performance, and behavioral variables (distance traveled, foraging behaviors, and positions) were analyzed using a two-way factorial design (year × period × TOD) within a completely randomized block design under generalized linear mixed model. The paddock was considered the experimental unit, while animals were nested within paddocks to account for potential variation within and between groups. All analyses were performed in R statistical software (version 4.4.2; R Core Team, 2024) using the glmmTMB function from the glmmTMB package with a normal distribution. For behavioral variables, the year effect was excluded from the models. The two treatments (Ctrl, TT), four spatial repetitions, four TOD intervals, and their interactions were treated as fixed factors. Random factors included block, block × treatment, block × treatment × period, and higher-order interactions up to block × treatment × period × TOD. Cows were nested within paddocks to account for potential variation within and between groups. All animal activity levels were analyzed similarly, except that the proportion of standing and lying minutes and transitions up and down were analyzed using a beta family model with a zero-inflation component. Residual diagnostics for hierarchical regression models (DHARMa; Hartig and Lohse, [33]) were used to test model adequacy, ensuring assumptions of normality, constant variance, zero inflation, and independence of residuals were met. Additionally, t-tests were conducted to compare means across treatments and periods. When necessary, data were transformed to meet model assumptions, with the appropriate transformation identified through Box–Cox procedures [34] and residual plots evaluated. Back-transformed least squares means (LSmeans) and standard errors (SE) were then reported.

3. Results

3.1. Herbage Availability, Water Consumption, and Animal Performance

There was no difference (p = 0.475) in biomass removal between cows supplemented with tannins and those in the control group (Figure 1). However, a decline (p < 0.05) in available biomass (kg/ha) was observed across periods for both years (Figure 1). The initial average biomass available was 4,985 ± 49 kg/ha per paddock in Period 1, which decreased following grazing to 2,114 ± 16 kg/ha by the end of Period 4. In 2023, the average biomass of 5272 ± 31 declined to 4669 ± 26 kg/ha in 2024, a reduction of 603 kg/ha per paddock. Despite these changes in forage availability, the nutritional composition of the pastures remained similar across years. Across all periods and years, the average forage disappearance was 971 kg of dry matter (DM) per paddock for 4 cow–calf pairs. Daily DM disappearance per cow–calf pair remained consistent between years (16.5 kg/day in 2023 vs. 16.0 kg/day in 2024; p = 0.812) and did not vary across periods (p = 0.914), indicating stable forage intake patterns throughout the grazing period. These findings collectively show that despite declines in biomass availability across periods and years, daily forage intake per cow–calf pair was not affected.
Cow-calf pairs in TT drank more water (147±8 liters/d) than Ctrl animals (121±8 /d; p=0.000794), with an average water evaporation loss of 2.6±0.00009 liters/day. When averaged across animals within a day, daily means fluctuated widely (TT 65.1–225 L/d; Ctrl 62.5–208 L/d), reflecting strong day effects (p < 0.0001).
There were no differences in cow initial or final BW between treatments (p = 0.1964) or between years (p=0.432). In both years, the average initial BW of mother cows in the control was 535 ± 25 kg, which decreased to a final weight of 477 ± 21 kg, indicating an Average Daily Loss (ADL) of 0.98 kg/day over the 60-day experimental period. Cows in TT had an initial BW of 542 ± 29 kg and a final weight of 492 ± 24 kg, corresponding to an ADL of 0.83 kg/day. Although cows in TT lost numerically less body weight (~9 kg) than those in the control group, this difference was not significant (p = 0.4164). Likewise, no differences (p = 0.406) in initial or final BW of calves were detected between treatment groups. Control calves had an initial weight of 165 ± 6 kg and a final BW of 221 ± 6 kg, resulting in an Average Daily Gain (ADG) of 0.93 kg/day. Calves in TT had an initial weight of 169 ± 7 kg and a final weight of 230 ± 7 kg, achieving an ADG of 1.03 kg/day. Again, differences between treatments were non-significant (p = 0.2699).

3.2. Nutritional Composition

Results for the nutritional composition of supplement and grass samples from pastures with cows supplemented or not with tannins are presented in Table 4. No significant differences in grass nutritional values were observed between the two treatments (p = 0.2431) or across years (p = 0.3335). However, significant (p <.005) variations were detected across periods (1 to 4) for all measured parameters, including dry matter (DM), crude protein (CP), acid detergent fiber (ADF), and neutral detergent fiber (NDF). The nutritional composition of grass changed significantly across periods (P < 0.05). In 2023, NDF increased from 63.6% to 64.8% ± 0.7%, ADF rose from 38.8% to 43.6% ± 0.5%, while CP declined from 7.03% to 3.90% ± 0.2%. DM content increased from 95.50% to 97.77% ± 0.2%. In 2024, DM, NDF, and ADF increased from 59.3% to 68.4% ± 0.8%, 37.7% to 43.9% ± 0.4%, and 95.60% to 98.00% ± 0.2%, respectively, while CP declined from 7.07% to 2.47% ± 0.2%. The nutritional quality for DDGs as a protein source did not differ (P>0.309) across the year. In addition to assessing the nutritional quality of grass, a similar evaluation was conducted for DDGs. The overall means for DM, CP, ADF, and NDF were 94.2 ± 0.314, 38.9 ± 0.294, 12.6 ± 0.35, and 32.3 ± 0.113, respectively. The DM, CP and ADF showed no significant differences (p > 0.233) across periods and years. while NDF varied (p < 0.05) in both periods and years.

3.3. Distance Travelled

The study investigated the impact of tannin supplementation on the distance traveled across the time of day (TOD) (night, morning, afternoon, and evening) and period. Results showed no significant difference in the distance traveled between cows supplemented with tannins and the Control treatment (p = 0.3149). The average distance (meters) for the tannin-supplemented group (T) was 44 m/day. Additionally, the three-way interaction between treatment, period, and TOD was not different (p = 0.0984), indicating that tannin supplementation did not alter grazing patterns across different periods and times of the day. However, a significant interaction was observed between period and TOD (p < 0.0001) (Figure 2). During night, no difference was observed in distance traveled between Periods 1 and 2 (p = 0.5818), with 12.7 and 12.5 ± 0.2 m, respectively. However, there was a decline in distance travelled at night (p = 0.0021) between Periods 1 and 3, diminishing to ~ 11 m by Period 4 (p < 0.0001). Likewise, a decrease in distance traveled was detected (1.0 ± 0.14 m) between Periods 1 and 4 in the morning (p < 0.0001). During afternoons, there was a gradual decrease in distance traveled from Period 1 (10.3 ± 0.18 m) to 4 (10.1 ± 0.18 m) (p < 0.0001). For the evening, the distance traveled followed an opposite trend relative to that observed at night. Distance traveled was lowest in Period 1 (9.1 ± 0.18 meters) and gradually increased across subsequent periods (p < 0.0001). The distance traveled increased by 1 ± 0.01 meters from Period 1 to Period 4. These findings show a decline in distance traveled across periods for night, morning and afternoon, whereas there was an increase across periods for this variable during evenings.

3.4. Impact of Tannin on States and Foraging Activities

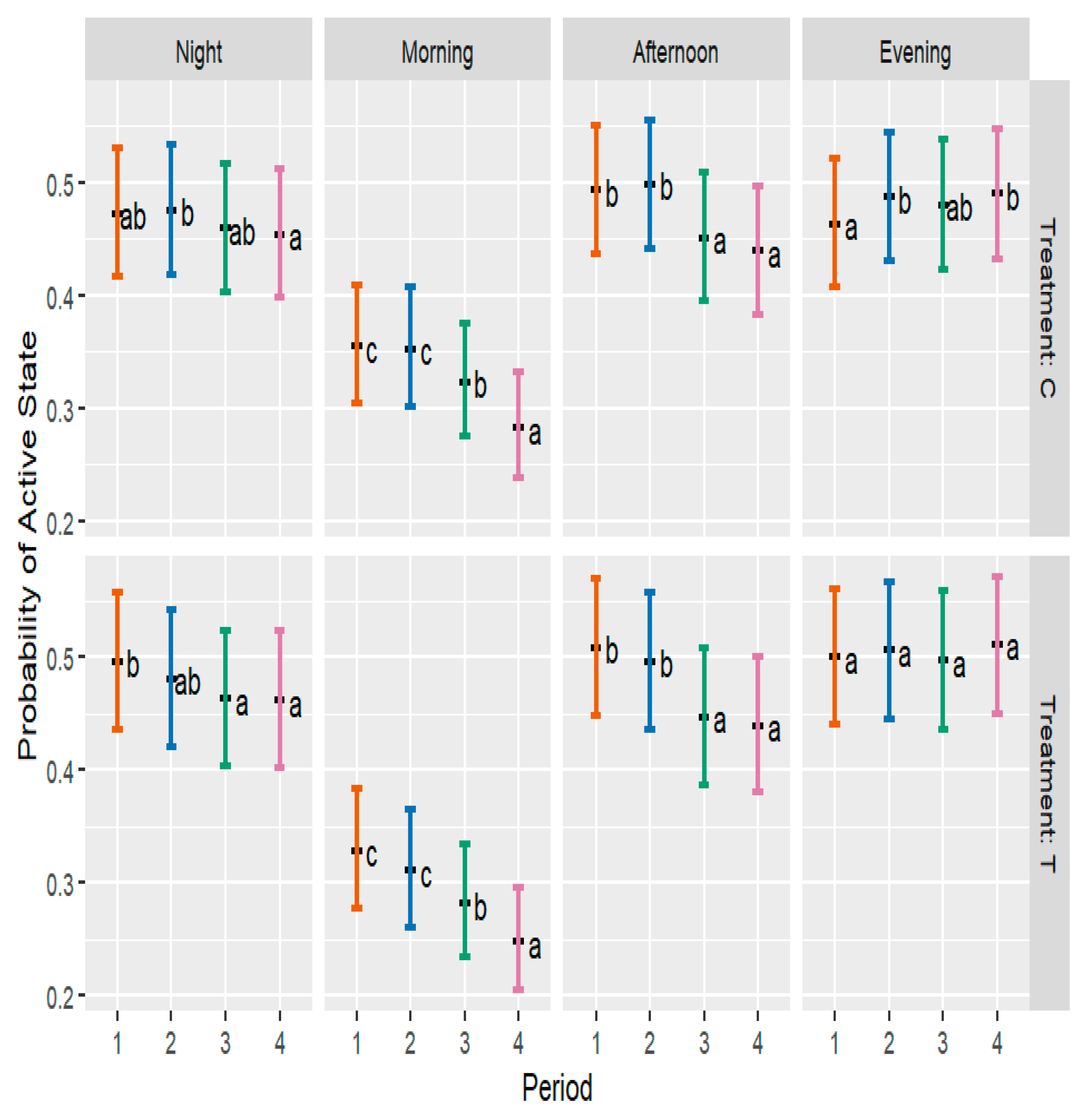
The study evaluated the impact of tannin supplementation on cows' activity states (active: grazing, static: resting and rumination) across periods and times of day (TOD). No treatment difference occurred on active states (p = 0.9735), or interactions with period and TOD (p = 0.0946) (Figure 3). Cows were active for approximately 8.4 hours during the day and 3.2 hours at night, totaling 11.6 hours per day, with no differences between groups in overall activity states (p >0.05). In foraging activities, there was treatment x TOD effect in grazing, RE, and RU times (p = 0.018). Cows in TT increased their evening grazing time (2.9 vs 2.1 hours; p =0.0424) (Figure 4). However, cows in CT tended to increase their evening rumination time (2.6 vs 2 hours, p = 0.0615). These results suggested that tannin supplementation did not affect animal being active, but increased grazing patterns with potential to increase their intake.

3.5. Impact of Tannins on Foraging Behavior When Discriminating Static Activities

When analyzing static activities (resting, RE; rumination, RU), no significant differences were detected between treatment groups regardless of body posture—lying down (LD) or standing up (SU)—for RE_LD, RE_SU, RU_LD, and RU_SU (p = 0.8281). Similarly, no treatment × period × time of day (TOD) interactions were observed (p = 0.5723; Figure 5). However, differences were observed across all activity types between periods and TOD (p < 0.0001; Figure 5). The treatment group exhibited greater probabilities of activity, particularly during the morning and afternoon (P<0.0298). For RE_LD, Ctrl cows showed no variation (p = 0.6532), while treatment cows consistently had greater probabilities of activity (~0.6–0.7) across periods and TOD (P =0.041). For RE_SU, the treatment group showed greater activity in the morning (~0.25–0.3) (p < 0.001), with similar probabilities at night and in the afternoon (P > 0.05). The TT group also had greater probabilities for RU_LD in the morning (p = 0.05) compared to controls. In the afternoon, evening and night, there were no RU_LD differences between treatment groups (p>0.2515) and across periods(p>0.4202). For RU_SU, the treatment group consistently had greater activity levels across all periods, especially in the morning (~0.3) and afternoon (~0.3), and even at night (~0.2–0.25) (P<0.001). The most pronounced effects were observed in earlier periods (1 and 2), with probabilities converging by Period 4. Over time, the treatment group showed increased activity in RE_SU and RU_LD, while reducing RE_LD and increasing RU_SU, indicating a shift in activity posture (p <0.041).

3.6. Behavioral Levels of Activity

There was no significant effect of treatment on the number of steps taken per day (p = 0.8909), motion index (p = 0.8986) and proportional percentage of standing time (p= 0.388). Similarly, no differences in behavioral levels of activity were observed across years (p > 0.05) (Table 5). Mother cows took an average of 2,573 ± 1.9 steps per day, and they spent 58 ± 0.01% of their time standing. The results reveal that tannin supplementation did not affect activity patterns, movement, or posture-related behaviors in mother cows. Proportions of standing bouts increased from morning to afternoon and then decreased, while lying proportions followed the opposite trend, reflecting a shift from active to less active behavior as the day progressed (Figure 5). The percentage proportion of transitions from lying to standing differs (p = 0.0115) between groups, with tannin-fed cows exhibiting fewer transitions (5.7% ± 0.53%, 95% CI: 4.7%–6.78%) compared to the control group (7.3% ± 0.66%, 95% CI: 6.1%–8.73%). The motion index averaged 9,552 ± 6.39 per day. However, both period (steps: p = 0.0005; motion index: p = 0.0001; standing time: p =0.0077) and time of day (steps: p < 0.0001; motion index: p < 0.0001; standing time: p =0.0001) influenced these parameters. The findings show that tannin supplementation had no effect on overall activity levels, but cows fed tannins exhibited fewer lying-to-standing transitions while step count and motion index varied by period and time of day
Figure 2. The percentage of standing time relative to lying time in beef cows that received a DDGs supplement (Control – Ctrl; no tannins) or the same supplement containing a mix of condensed and hydrolyzable tannins (Tannins), averaged across four periods (panels) of the study. The 24-hour day was divided into four 6-hour periods: Time 1 (morning), Time 2 (afternoon), Time 3 (evening), and Time 4 (night). Standing proportions decreased, and lying proportions increased as time progressed, reflecting a shift from active to less active behavior throughout the day. Cows receiving tannins exhibited lower standing proportions than those without tannins, particularly during earlier periods. Distinct patterns in standing bouts emerged across periods, with some showing higher standing activity early in the day and others transitioning to lying bouts more quickly.
Figure 2. The percentage of standing time relative to lying time in beef cows that received a DDGs supplement (Control – Ctrl; no tannins) or the same supplement containing a mix of condensed and hydrolyzable tannins (Tannins), averaged across four periods (panels) of the study. The 24-hour day was divided into four 6-hour periods: Time 1 (morning), Time 2 (afternoon), Time 3 (evening), and Time 4 (night). Standing proportions decreased, and lying proportions increased as time progressed, reflecting a shift from active to less active behavior throughout the day. Cows receiving tannins exhibited lower standing proportions than those without tannins, particularly during earlier periods. Distinct patterns in standing bouts emerged across periods, with some showing higher standing activity early in the day and others transitioning to lying bouts more quickly.
Preprints 180750 g006

3.7. Animal Distribution

Animals primarily grazed on brome grass in period 1 (baseline; no tannins). In period 4, these animals gained experience with tannin supplementation and changed their grazing behavior. In period 4, the TT paddocks had a lower coefficient of variation (CV) (1.86 vs. 2.13 in Ctrl) (Table 6). These results indicate that tannin supplementation led to a more evenly distributed grazing pattern in TT compared to the control group (Figure 7 here).

4. Discussion

In free range grazing systems, plant diversity provides ruminants not only with a broad range of nutrients but also access to a variety of plant secondary compounds (PSCs) including terpenoids, alkaloids, flavonoids, saponins, and tannins. These compounds can regulate intake, support metabolic efficiency, and enhance nutrient utilization [35,36] .
Among these PSCs, condensed and hydrolysable tannins are particularly well studied for their ability to form complexes with dietary proteins, reduce ruminal proteolysis, and enhance post-ruminal amino acid absorption, thereby improving nitrogen retention and reducing urinary nitrogen losses [37,38,39]. Tannin-rich forages such as sainfoin (Onobrychis viciifolia) and birdsfoot trefoil (Lotus corniculatus) alter grazing behavior, enhance animal performance, and reduce greenhouse gas and nitrogen emissions from grazing cattle [27,40].
We hypothesized that supplementing cattle with a commercial tannin extract would mimic some of the functional benefits of grazing phytochemically diverse forages by enriching a chemically uniform pasture with bioactive compounds. Specifically, we tested whether supplementing the diet of cows grazing a bromegrass (Bromus inermis) monoculture with a combination of hydrolyzable and condensed tannins would affect their foraging behavior, activity patterns, water intake, performance, and spatial use of the landscape during grazing. This approach enabled us to assess whether targeted phytochemical supplementation can emulate key ecological functions of plant diversity and improve animal responses in grass monoculture systems.

4.1. Forage Biomass and Nutritional Value

Meadow bromegrass availability declined substantially from the beginning to the end of the grazing period in both years, with an average standing biomass that decreased from 4,985 kg/ha in Period 1 to 2,114 kg/ha in Period 4. Such decline reflects the cumulative effects of grazing pressure and seasonal constraints, particularly the region's limited mid-summer rainfall, which suppressed forage regrowth [41,42]. In support of this, a grazing trial with smooth brome, crested wheatgrass, and tall wheatgrass species ecologically similar to those in the present study showed that limited mid-summer rainfall restricted regrowth and amplified the effects of continued grazing pressure [43]. A moderate interannual decline was also observed, with biomass higher in 2023 (5,272 kg/ha) than in 2024 (4,669 kg/ha). This difference likely reflects both the rest period before grazing in 2023 and greater precipitation that year, when the Bear River Basin received up to 212% of the median snowpack and above-average rainfall, compared with the drier conditions of 2024 [44]. Izaurralde et al. [45] revealed that reduced precipitation limits forage productivity, patterns consistent with the trends observed in the present study.
Notably, crude protein (CP) content dropped markedly from ~7.0% to below 4.0% in both years, while fiber components (ADF and NDF) increased steadily. These seasonal shifts in forage quantity and quality are consistent with the advanced maturity of plants and declining forage digestibility during summer [46]. Similar trends have been reported across cool season grasses in U.S. rangelands and pasturelands [47,48,49]. Collectively, these findings indicate that both forage availability and nutritional value declined during the summer grazing period, constraining cattle performance and underscoring the importance of adaptive management, including supplementation strategies, under variable precipitation regimes.

4.2. Supplementation and Forage Disappearance

Reductions in CP content limits rumen microbial efficiency and overall nutrient utilization, ultimately reducing cattle performance. Such effect can be mitigated by protein supplementation as high-protein supplements support microbial activity and enhance fiber digestion [3,50,51]. In this study, cattle were supplemented with DDGs, contributing to sustain nutrient intake and rumen function as forage quality declined. Moreover, condensed tannin-enriched supplements may enhance nitrogen use efficiency and reduce methane emissions in livestock grazing low-quality forages [52,53,54]. This is because moderate concentrations of condensed and hydrolizable tannins in the diet reduce proteolysis, improving the supply of dietary amino acids for intestinal absorption [55]. In addition, tannins reduce methanogenesis which enhances the efficiency of energy use in ruminants [56]. Thus, these results support the integration of high-protein and tannin-containing supplements as effective strategies to counteract seasonal forage quality declines and improve nutrient utilization efficiency.
Despite a decreased biomass availability and nutritional value across periods, daily dry matter (DM) disappearance per cow–calf pair remained steady at approximately 16 kg/day, indicating that animals sustained intake levels throughout the study. Such consistency in intake likely reflects compensatory foraging behavior as nutritional quality and biomass supply declined. Villalba et al. [57] observed a similar pattern in cattle grazing chemically uniform pastures, where animals adjusted their behavior to maintain intake. This behavioral plasticity is consistent with the role of post-ingestive feedback at modifying foraging behavior by livestock [58,59,60]. Likewise, the present study shows that tannin supplementation did not influence the total amount of biomass removed. This is consistent with earlier findings suggesting that low-to-moderate concentrations of condensed tannins do not suppress voluntary feed intake [61,62]. These results support the integration of high-protein and tannin-containing supplements as effective strategies to counteract seasonal declines in forage quality. Provision of protein-rich supplements compounded with the addition of tannins, would help sustain microbial activity and nutrient use efficiency (e.g., through reductions in ruminal proteolysis and methanogenesis) without compromising forage intake.

4.3. Impact of Tannin on Water Consumption and Performance

Water intake revealed physiological adjustments associated with tannin metabolism. Cow-calf pairs in TT drank significantly more water (147 L/day) than those in the control group (121 L/day). This elevated water intake aligns with previous studies showing that ruminants consuming tannin-rich diets increase water consumption to aid in the renal clearance of tannin–protein complexes and to regulate ruminal osmolarity [14,15,63]. For example, Orzuna-Orzuna et al. [12] reported that cattle consuming tannin-rich diets modulated their water intake to counteract the astringent effects of tannins. Similarly, Besharati et al. [64] found that water availability influenced both detoxification efficiency and animal health under tannin-rich feeding conditions. Elevated water intake helps dilute ruminal toxins, promotes excretion, and maintains favorable microbial conditions [65,66]. Comparable responses have been observed in sheep and goats supplemented with Acacia leaves or sainfoin [67]. Increased water intake induced by tannin supplementation presents logistical and physiological challenges in arid and semi-arid systems where water resources are limited and rainfall is unpredictable. Under such conditions, animals may experience water stress, particularly if daily intake requirements exceed available supply[68,69,70] Excessive demand for water in these landscapes can force longer travel distances to water points, increasing energy expenditure and heat load, especially in lactating cows [71]. Moreover, restricted access to water reduces dry matter intake, increases blood urea nitrogen, and alters nitrogen balance [72], highlighting the physiological burden of dehydration under dietary stress. Long-term over-reliance on supplementation strategies that elevate water requirements could undermine animal performance and welfare in environments where water provisioning is already a constraint. While increased water intake reflects a physiological cost, it also signals the activation of beneficial detoxification pathways associated with tannin metabolism. When managed appropriately, tannin supplementation can enhance nitrogen utilization, reduce methane emissions, and support animal health. However, in arid and semi-arid systems, these benefits must be weighed against water-related challenges, and the trade-offs carefully balanced through strategic supplementation and water provisioning.
In assessing animal performance, both control and TT cows lost weight over the 60-day summer grazing period, consistent with an anticipated seasonal forage deficit of quality and abundance. TT cows experienced a slightly lower average daily weight loss (~0.83 kg/day) compared to control cows (~0.98 kg/day), while TT calves gained slightly more weight (1.03 kg/day vs. 0.93 kg/day). Although these differences were not statistically significant, the numerical trends point to potential improvements in energy partitioning in favor of TT cows. The relatively short duration of this study (60 days) may have constrained the expression of significant improvements in body weight gains in calves. In longer-term studies (≥90 days), more consistent and meaningful gains have been observed with tannin supplementation. For example, Lagrange and Villalba [9] reported greater average daily gain (ADG) in calves grazing sainfoin for 120 days than those grazing on non-tannin containing forages. Similarly, Chung et al. [73] and Ebert et al. [11] showed improved nitrogen retention and weight gain in heifers and steers supplemented with tannin-rich sainfoin hay over 90 to 105-day periods. These findings suggest that prolonged exposure to bioactive tannins beyond the 60-day window used in the present study may be necessary to realize their full physiological potential, as improvements in weight gain and metabolic adaptation often require extended timeframes to manifest under free grazing systems.

4.4. Impact of Tannin on Animal Foraging Behaviors

Tannin supplementation induced notable changes in the foraging behavior of cow–calf pairs grazing meadow bromegrass in the present study, reflecting shifts in how animals interact with both their physiology and the forage environment. Although the total duration of daily activity (~11.6 h) did not differ between treatments, TT cows allocated more time to evening grazing and less to rumination. These temporal adjustments align with findings by Provenza et al. [19] and Villalba et al. [57], who reported that altered post-ingestive feedback improves synchronization between metabolic demand and forage opportunity, ultimately enhancing microbial efficiency.
In the present study, evening grazing by TT cows coincided with peaks in forage sugars and soluble proteins generated through photosynthate accumulation [74,75,76]. Tannins likely amplified this effect by stabilizing rumen nitrogen through protein–tannin complexes, slowing proteolysis and ammonia release, delaying satiety, and extending intake [65,77,78]. This more consistent nitrogen pool enhanced microbial activity when soluble carbohydrates were highest, improving protein yield and nutrient extraction [79]. Supporting this mechanism, TT cows in the present trial exhibited a 28% reduction in blood urea nitrogen (BUN), indicating improved nitrogen retention and reduced ammonia burden [53,54]. Comparable effects have been observed in dairy cattle [80], sheep [81], and goats [82,83] while Waghorn et al. [84] showed that dosage strongly influences nitrogen retention under controlled diets. Free-grazing systems such as the present study add further complexity, as tannin effects are shaped by species-specific foraging strategies and fluctuating forage chemistry across plant maturity and seasonal growth. Evening grazing in the present study also conferred thermoregulatory and metabolic benefits. Cooler conditions reduce heat load while maximizing access to sugar-rich forage [85], whereas rumination during hot periods elevates core body temperature [86]. Stabilized ammonia concentrations and rumen pH under tannin diets may have created more favorable fermentation conditions, lowering the risk of subacute acidosis [87,88] and improving overall microbial balance.
Although TT cows in the present study traveled similar daily distances (~44 m/day) as controls, they shifted more grazing activity into evening hours, aligning intake with cooler conditions and higher forage quality[89,90]. Such behavioral plasticity mirrors patterns in cattle [91], sheep [92,93] and wild ungulates such as elk and deer [94,95]. Collectively, reduced evening rumination and increased evening grazing in TT cows reflect a coordinated strategy integrating thermoregulation, energy efficiency, and microbial optimization, ultimately supporting more efficient grazing, improved nitrogen partitioning, and enhanced animal performance.

4.5. Impact of Tannin on Animal Grazing Distribution

Understanding livestock–landscape interactions requires distinguishing animal distribution from grazing distribution. Animal distribution reflects the general occupancy of the landscape, using all GPS points without distinguishing behavioral states [96,97], which indicates movement but not forage removal [98,99]. Reliance on occupancy alone misrepresents grazing impact [100] highlighting the need to link animal position with actual plant use. A behavior-classification approach integrating multi-sensor data and machine learning was therefore used to redefine grazing distribution [29] in the present study. The approach aligns with foraging ecology theory, which emphasizes that herbivory depends not only on where animals go but also on what they do [95,101], and supports arguments that behavior-based classification is essential for identifying actual grazing hotspots [102,103]. The present study applied this approach to evaluate how tannin–protein supplementation influenced animal grazing distribution.
Tannin supplementation reduced variation in grazing distribution, creating a more uniform and spatially extensive pattern. Grazing pressure spread more evenly across paddocks, reducing overuse of preferred patches and promoting regrowth and long-term pasture health [104]. Uneven grazing, usually driven by selective use of nutrient-rich patches, favorable slopes, or familiar areas [105,106], was moderated through both metabolic and behavioral changes. Tannin–protein complexes improved nitrogen-use efficiency, lowering the drive to target high-protein patches [107,108]. Grazing dynamics shifted in line with marginal value foraging theory, with earlier patch departure, fewer revisits, and greater use of intermediate-quality areas [109,110,111]. The integration of these metabolic and behavioral processes explained the more even grazing patterns observed under supplementation and provided empirical support for mechanisms that had previously been suggested but not directly tested. More uniform grazing also linked spatial redistribution to ecological outcomes, with more impacts in monoculture systems where limited structural and phytochemical diversity amplify uneven use. While in diverse pastures phytochemical variety allowed animals to balance intake through self-selection, reducing the relative influence of tannins on distribution[112,113]. Overall, tannins acted as both metabolic and spatial modulators of grazing behavior and distribution. By reducing uneven patch use, broadening forage coverage, and improving nutrient synchrony, supplementation enhanced pasture-use efficiency and strengthened ecological resilience. Behavior-based spatial analysis provided a methodological advance [114] and reframed phytochemicals from anti-nutritional compounds to ecological tools that can guide sustainable and climate-resilient grazing systems.

4.6. Impact of Tannins on Animal Activity Levels

In this study, cows supplemented with a blend of condensed and hydrolizable tannins exhibited no differences in gross activity metrics such as step count, motion index, or time spent standing, indicating that moderate tannin inclusion (i.e., approximately 0.4% in the diet) did not disrupt general movement patterns. These findings are consistent with previous research showing that phytochemically enriched forages or tannin exposure, when provided at moderate levels or through self-selection, do not elicit marked changes in locomotor behavior [115,116]. The lack of significant variation in these activity indicators suggests that cattle were able to maintain normal daily routines without increased physical effort or behavioral compensations, further supporting the non-detrimental effects of tannins on animal activity relative to control animals. This stability likely reflects a balance between post-ingestive feedback, microbial adaptation, and nitrogen conservation pathways that minimize the need for changes in foraging effort or movement.
Moreover, tannin-supplemented cows displayed fewer posture transitions specifically, shifts from standing to lying than controls. This reduction may signal improved internal comfort, as frequent posture changes are often linked to discomfort, digestive stress, or physiological agitation[117]. Ethological studies in livestock have used posture-based measures to detect subtle shifts in welfare status, with more stable postural behavior interpreted as a sign of enhanced well-being[118,119,120]. In this context, fewer transitions may reflect reduced ruminal ammonia load and better nitrogen partitioning, consistent with tannins’ ability to bind dietary protein and moderate rumen fermentation[121]. These results highlight that while overt activity patterns remained unchanged, posture-related behaviors provided a more sensitive window into the animals’ internal state. Importantly, the findings point to the potential of moderate tannin supplementation as a welfare-supportive tool under uniform, low-diversity grazing conditions helping livestock maintain metabolic efficiency and behavioral stability without the need for increased physical activity or stress-linked adjustments.

5. Conclusions

The study demonstrates that tannin supplementation at 0.4% of the diet, using a commercial blend of condensed and hydrolyzable tannins, modulated multiple behavioral and physiological responses in cow–calf pairs grazing a chemically uniform bromegrass monoculture. While total forage intake, biomass disappearance, and cow body weight loss remained unaffected, tannin-fed animals exhibited shifts in foraging behavior, including increased evening grazing and reduced evening rumination, indicating a reorganization of feeding patterns that aligns with diurnal peaks in forage nutritional value. Tannin supplementation also promoted more even grazing distribution across paddocks and reduced lying-to-standing transitions, suggesting greater behavioral stability and comfort. The significant increase in water consumption among tannin-supplemented animals supports the hypothesis that tannins modulate rumen osmolarity and detoxification processes, although this may pose challenges in water-limited environments. Although differences in calf performance were not statistically significant, the observed numerical gains suggest potential improvements in maternal nutrient partitioning and nitrogen utilization. Collectively, these findings support the role of tannins as functional supplements capable of enhancing post-ingestive feedback mechanisms, improving spatial grazing patterns, and supporting physiological resilience in livestock exposed to declining forage quality. Further studies are recommended to evaluate the combined effects of tannins with other bioactive secondary metabolites such as saponins, terpenoids, and flavonoids on nutrient use efficiency, animal performance, and environmental outcomes. Integrating untargeted and targeted metabolomic approaches will help elucidate the biochemical pathways underlying these behavioral and physiological responses, offering a systems-level understanding of how phytochemically enriched diets influence ruminant health and productivity. Additionally, future research should assess the economic viability of these supplementation strategies to determine whether the observed benefits in animal performance and ecosystem services outweigh the cost of supplement inputs under various production scenarios.

Author Contributions

Conceptualization, B.I.M. and J.J.V.; methodology, B.I.M., R.D.R., and J.J.V.; formal analysis, B.I.M., K.B., and R.D.R.; investigon, B.I.M.; data curation, B.I.M.; visualization, B.I.M., K.B., and R.D.R.; writing—original draft preparation, B.I.M.; writing—review and editing, B.I.M., R.D.R., and J.J.V.; supervision, J.J.V. All authors have read and agreed to the published version of the manuscript.

Funding

This work was supported by grants from the USDA-National Institute of Food and Agriculture- Sustainable Agricultural Systems Program - Award Number: 2021-69012-35952, and the Utah Agricultural Experiment Station -Award Number UTA01638). This paper is published with the approval of the Director, Utah Agricultural Experiment Station, and Utah State University, as journal paper number UAES XXXX.

Institutional Review Board Statement

Institutional Review Board Statement: The study was conducted according to the procedures approved by the Institutional Animal Care and Use Committee of Utah State University (IACUC: #12208 Using Smart Foodscapes to Enhance the Sustainability of Western Rangelands, approval 26 August 2024).

Informed Consent Statement

Not applicable.

Data Availability Statement

The data presented in this study are openly available in USDA at DOI: 10.15482/USDA.ADC/26506678.

Acknowledgments

We thank R. Stott and his team for veterinary services, and Ross Israelsen, Richmond foreman, and his staff for their skilled animal handling during sampling. We also appreciate the dedicated technical assistance of Abby Riley, Logan, Tyler Black, Claire Turpin, Austin Brodero, Colton Cann, Manuel Varela, and Tiago Retorto over different years of the study. Special thanks are extended to Fred Provenza for reviewing the manuscript and providing valuable input that strengthened the conceptual framework.

Conflicts of Interest

The authors declare no conflicts of interest.

Abbreviations

The following abbreviations are used in this manuscript:
ADG Average Daily Gain
ADL Acid Detergent Lignin
ADF Acid Detergent Fiber
AOAC Association of Official Analytical Chemists
BUN Blood Urea Nitrogen
BW Body Weight
CI Confidence Interval
CP Crude Protein
Ctrl Control Treatment
CV Coefficient of Variation
5FCV five-fold cross-validation
DDGs Distillers Dried Grains with Solubles
DM Dry Matter
GR Grazing
GPS Global Positioning System
HTs Hydrolyzable Tannins
IACUC Institutional Animal Care and Use Committee
LD Lying Down (posture classification)
MBG Meadow Bromegrass (Bromus inermis)
MALDI-TOF Matrix-Assisted Laser Desorption/Ionization-Time of Flight (mass spectrometry)
ML Machine Learning
N Nitrogen
NDF Neutral Detergent Fiber
NASS National Agricultural Statistics Service
NZ New Zealand
P Probability value (p-value in statistics)
PD Prediction Dataset
PFB Predicted foraging behaviors
PSC / PSCs Plant Secondary Compounds
PSM / PSMs Plant Secondary Metabolites
RE Resting
RE_LD Resting while Lying Down
RE_SU Resting while Standing Up
RF Random Forest
RTS Random Test-Split
RU Rumination
RU_LD Rumination while Lying Down
RU_SU Rumination while Standing Up
SE Standard Error
SEM Standard Error of the Mean
STD Standard Deviation
SU Standing Up (posture classification)
TOD Time of Day
TT Tannin Treatment
UTM Universal Transverse Mercator (coordinate system)
WGS84 World Geodetic System 1984

Appendix A

Table A1. Grazing periods for 6 groups of cows grazing in six paddocks (n=3 supplemented with tannins; n=controls) on the start/end dates for each experimental period.
Table A1. Grazing periods for 6 groups of cows grazing in six paddocks (n=3 supplemented with tannins; n=controls) on the start/end dates for each experimental period.
Periods Start Date End Date Number of Days
Period 1 July 13 July 27 15
Period 2 July 28 Aug 11 15
Period 3 Aug 12 Aug 26 15
Period 4 Aug 27 Sept 10 15
Table A2. Selected predictors for classifying animal foraging behaviors and their definitions.
Table A2. Selected predictors for classifying animal foraging behaviors and their definitions.
Predictors Definition
x left-right cows’ head movement
y forward-backward cow’s head movement
z up-down cow’s head movement
Actindex The cows' activity levels, where higher values indicate more active behaviors and lower values suggest rest periods
Distance Distance traveled between two consecutive GPS points.
Speed Distance the cows traveled over time during the observation period.
Table A3. Categorized intervals of the time of day (TOD) used for behavioral analysis.
Table A3. Categorized intervals of the time of day (TOD) used for behavioral analysis.
Time of Day Interval Hour Range
1 4:00 am–10:00 am
2 10:00 am–4:00 pm
3 4:00 pm–10:00 pm
4 10:00 pm–4:00 am
Time of day (TOD) was divided into four 6-hour intervals to assess diurnal variation in animal behaviors.

References

  1. United States Cattle Inventory Report. Available online: https://www.nass.usda.gov/Newsroom/2025/07-25-2025.php#skipnav (accessed on 1 October 2025).
  2. ritzler, L.D. Grazing patterns, diet quality, and performance of cow-calf pairs grazing short grass prairie using continuous or high stocking density grazing strategies. Master’s thesis, West Texas A&M University, Canyon, Texas, August 2020. 20 August.
  3. Putnam, D.H.; DelCurto, T. Forage Systems for Arid Areas. Forages: The Science of Grassland Agriculture: Volume 2, 7th Edition 2020, 2, 433–451. [Google Scholar] [CrossRef]
  4. Mccollum, F.T.; Horn, G.W. Protein Supplementation of Grazing Livestock: A Review. Prof Anim Sci 1990, 6, 1–16. [Google Scholar] [CrossRef]
  5. Cappellozza, B.I.; Cooke, R.F.; Guarnieri Filho, T.A.; Bohnert, D.W. Supplementation Based on Protein or Energy Ingredients to Beef Cattle Consuming Low-Quality Cool-Season Forages: I. Forage Disappearance Parameters in Rumen-Fistulated Steers and Physiological Responses in Pregnant Heifers. J Anim Sci 2014, 92, 2716–2724. [Google Scholar] [CrossRef]
  6. Keller, M.; Kreuzer, M.; Reidy, B.; Scheurer, A.; Liesegang, A.; Giller, K. Methane Emission, Nitrogen and Energy Utilisation of Beef Cattle When Replacing or Omitting Soybean Meal in a Forage-Based Diet. Anim Feed Sci Technol 2022, 290, 115362. [Google Scholar] [CrossRef]
  7. Barry, T.N.; Duncan, S.J. The Role of Condensed Tannins in the Nutritional Value of Lotus Pedunculatus for Sheep: 1. Voluntary Intake. British Journal of Nutrition 1984, 51, 485–491. [Google Scholar] [CrossRef]
  8. Kadigi, J.H.; Muzzo, B.I.; Schreiber, S. Potential Benefits of Tannins on Ruminant Health, Production and Environmental Sustainability. Eur J Nutr Food Saf 2024, 16, 13–24. [Google Scholar] [CrossRef]
  9. Lagrange, S.; Villalba, J.J. Tannin-Containing Legumes and Forage Diversity Influence Foraging Behavior, Diet Digestibility, and Nitrogen Excretion by Lambs 1,2 3995 Tannin-Containing Legumes and Forage Intake. J. Anim. Sci 2019, 97, 3994–4009. [Google Scholar] [CrossRef] [PubMed]
  10. Molle, G.; Decandia, M.; Sölter, U.; Greef, J.M.; Rochon, J.J.; Sitzia, M.; Hopkins, A.; Rook, A.J. The effect of different legume-based swards on intake and performance of grazing ruminants under Mediterranean and cool temperate conditions. Grass Forage Sci. 2008, 63, 513–530. [Google Scholar] [CrossRef]
  11. Ebert, P.J.; Bailey, E.A.; Shreck, A.L.; Jennings, J.S.; Cole, N.A. Effect of Condensed Tannin Extract Supplementation on Growth Performance, Nitrogen Balance, Gas Emissions, and Energetic Losses of Beef Steers. J Anim Sci 2017, 95, 1345–1355. [Google Scholar] [CrossRef] [PubMed]
  12. Orzuna-Orzuna, J.F.; Dorantes-Iturbide, G.; Lara-Bueno, A.; Mendoza-Martínez, G.D.; Miranda-Romero, L.A.; Hernández-García, P.A. Effects of Dietary Tannins’ Supplementation on Growth Performance, Rumen Fermentation, and Enteric Methane Emissions in Beef Cattle: A Meta-Analysis. Sustainability (Switzerland) 2021, 13, 7410. [Google Scholar] [CrossRef]
  13. Galyean, M.L.; Gunter, S.A. Predicting forage intake in extensive grazing systems. J. Anim. Sci. 2016, 94 (Suppl. 6), 26–43. [Google Scholar] [CrossRef]
  14. Dearing, M.D.; Mangione, A.M.; Karasov, W.H. Plant Secondary Compounds as Diuretics: An Overlooked Consequence. Integr Comp Biol 2001, 41, 890–901. [Google Scholar] [CrossRef]
  15. Dearing, M.D.; Mangione, A.; Karasov, W.H. Ingestion of Plant Secondary Compounds Causes Diuresis in Desert Herbivores. 2002. [CrossRef]
  16. Beale, P.K.; Foley, W.J.; Moore, B.D.; Marsh, K.J. Warmer Ambient Temperatures Reduce Protein Intake by a Mammalian Folivore. 2023. [CrossRef]
  17. Marsh, K.J.; Wallis, I.R.; Andrew, R.L.; Foley, W.J. The Detoxification Limitation Hypothesis: Where Did It Come from and Where Is It Going? J Chem Ecol 2006, 32, 1247–1266. [Google Scholar] [CrossRef] [PubMed]
  18. Wang, C.; Rong, H.; Liu, H.; Wang, X.; Gao, Y.; Deng, R.; Liu, R.; Liu, Y.; Zhang, D. Detoxification Mechanisms, Defense Responses, and Toxicity Threshold in the Earthworm Eisenia Foetida Exposed to Ciprofloxacin-Polluted Soils. Science of The Total Environment 2018, 612, 442–449. [Google Scholar] [CrossRef]
  19. Provenza, F.D.; Villalba, J.J.; Dziba, L.E.; Atwood, S.B.; Banner, R.E. Linking Herbivore Experience, Varied Diets, and Plant Biochemical Diversity. Small Ruminant Research 2003, 49, 257–274. [Google Scholar] [CrossRef]
  20. Distel, R.A.; Arroquy, J.I.; Lagrange, S.; Villalba, J.J. Designing Diverse Agricultural Pastures for Improving Ruminant Production Systems. Front Sustain Food Syst 2020, 4. [Google Scholar] [CrossRef]
  21. Tedeschi, L.O.; Muir, J.P.; Naumann, H.D.; Norris, A.B.; Ramírez-Restrepo, C.A.; Mertens-Talcott, S.U. Nutritional aspects of ecologically relevant phytochemicals in ruminant production. Front. Vet. Sci. 2021, 8, 628445. [Google Scholar] [CrossRef]
  22. Mlambo, V.; Marume, U.; Gajana, C.S. Utility of the Browser’s Behavioural and Physiological Strategies in Coping with Dietary Tannins: Are Exogenous Tannin-Inactivating Treatments Necessary? S Afr J Anim Sci 2015, 45, 441–451. [Google Scholar] [CrossRef]
  23. Derix, J. The effect of high tannin concentrations in feed on protein digestion: grazers versus intermediate browsers. Master’s dissertation, Ghent University, Ghent, Belgium, 2017.
  24. Climate United States - Monthly Averages. Available online: https://www.usclimatedata.com/ (accessed on 1 October 2025).
  25. Decker, T. Targeted-Grazing as a Fuels Reduction Treatment: Evaluation of Vegetation Dynamics and Utilization Levels. Master’s thesis, Utah State University, Logan, Utah, May 2018.
  26. Pizzi, A.; Pasch, H.; Rode, K.; Giovando, S. Polymer Structure of Commercial Hydrolyzable Tannins by Matrix-Assisted Laser Desorption/Ionization-Time-of-Flight Mass Spectrometry. J Appl Polym Sci 2009, 113, 3847–3859. [Google Scholar] [CrossRef]
  27. Lagrange, S.; Beauchemin, K.A.; MacAdam, J.; Villalba, J.J. Grazing Diverse Combinations of Tanniferous and Non-Tanniferous Legumes: Implications for Beef Cattle Performance and Environmental Impact. Science of the Total Environment 2020, 746. [Google Scholar] [CrossRef] [PubMed]
  28. Šárová, R.; Špinka, M.; Panamá, J.L.A.; Šimeček, P. Graded Leadership by Dominant Animals in a Herd of Female Beef Cattle on Pasture. Anim Behav 2010, 79, 1037–1045. [Google Scholar] [CrossRef]
  29. Muzzo, B.I.; Bladen, K.; Perea, A.; Nyamuryekung’e, S.; Villalba, J.J. Multi-Sensor Integration and Machine Learning for High-Resolution Classification of Herbivore Foraging Behavior. Animals 2025, Vol. 15, Page 913 2025, 15, 913. [Google Scholar] [CrossRef]
  30. Paz-Kagan, T.; Chang, J.G.; Shoshany, M.; Sternberg, M.; Karnieli, A. Assessment of Plant Species Distribution and Diversity along a Climatic Gradient from Mediterranean Woodlands to Semi-Arid Shrublands. GIsci Remote Sens 2021, 58, 929–953. [Google Scholar] [CrossRef]
  31. Finney, G.; Gordon, A.; Scoley, G.; Morrison, S.J. Validating the IceRobotics IceQube Tri-Axial Accelerometer for Measuring Daily Lying Duration in Dairy Calves. Livest Sci 2018, 214, 83–87. [Google Scholar] [CrossRef]
  32. Robertson, J.B. and Van Soest, P.J. (1981) The Detergent System of Analysis. In James, W.P.T. and Theander, O. (Eds.), The Analysis of Dietary Fibre in Food, Chapter 9, Marcel Dekker, New York, 123-158. - References - Scientific Research Publishing. Available online: https://www.scirp.org/reference/referencespapers?referenceid=1881877 (accessed on 2 October 2025).
  33. Hartig, F. Residual Diagnostics for Hierarchical (Multi-Level / Mixed) Regression Models [R Package DHARMa Version 0.4.7]. CRAN: Contributed Packages 2024. [CrossRef]
  34. Box, G.E.P.; Cox, D.R. An Analysis of Transformations. J R Stat Soc Series B Stat Methodol 1964, 26, 211–243. [Google Scholar] [CrossRef]
  35. Villalba, J.J.; Provenza, F.D. Foraging in Chemically Diverse Environments: Energy, Protein, and Alternative Foods Influence Ingestion of Plant Secondary Metabolites by Lambs. J Chem Ecol 2005, 31, 123–138. [Google Scholar] [CrossRef] [PubMed]
  36. Waghorn, G. Beneficial and Detrimental Effects of Dietary Condensed Tannins for Sustainable Sheep and Goat Production—Progress and Challenges. Anim Feed Sci Technol 2008, 147, 116–139. [Google Scholar] [CrossRef]
  37. Patra, A.K.; Saxena, J. Exploitation of Dietary Tannins to Improve Rumen Metabolism and Ruminant Nutrition. J Sci Food Agric 2011, 91, 24–37. [Google Scholar] [CrossRef] [PubMed]
  38. Zhang, J.; Xu, X.; Cao, Z.; Wang, Y.; Yang, H.; Azarfar, A.; Li, S. Effect of Different Tannin Sources on Nutrient Intake, Digestibility, Performance, Nitrogen Utilization, and Blood Parameters in Dairy Cows. Animals 2019, Vol. 9, Page 507 2019, 9, 507. [Google Scholar] [CrossRef] [PubMed]
  39. Naumann, H.D.; Tedeschi, L.O.; Zeller, W.E.; Huntley, N.F. The Role of Condensed Tannins in Ruminant Animal Production: Advances, Limitations and Future Directions. Revista Brasileira de Zootecnia 2017, 46, 929–949. [Google Scholar] [CrossRef]
  40. Kelln, B.M.; Penner, G.B.; Acharya, S.N.; McAllister, T.A.; Lardner, H.A. Impact of condensed tannin-containing legumes on ruminal fermentation, nutrition, and performance in ruminants: A review. Can. J. Anim. Sci. 2020, 101, 210–223. [Google Scholar] [CrossRef]
  41. Cao, F.; Li, W.; Jiang, Y.; Gan, X.; Zhao, C.; Ma, J. Effects of Grazing on Grassland Biomass and Biodiversity: A Global Synthesis. Field Crops Res 2024, 306. [Google Scholar] [CrossRef]
  42. Teague, R.; Provenza, F.D.; Norton, B.; Steffens, T.; Barnes, M.; Kothmann, M.; Roath, R. Benefits of Multi-Paddock Grazing Management on Rangelands: Limitations of Experimental Grazing Research and Knowledge Gaps.
  43. Tavakoli, H.; Saghi, D.A.; Kazemi, M. Response of Russian Brome, Crested Wheatgrass and Tall Wheatgrass to Annual Precipitation and Grazing Management in a Semi-Arid Area;
  44. Osborne, C.; Yorty, D. Northern Utah Report 2023-24.
  45. Izaurralde, R.C.; Thomson, A.M.; Morgan, J.A.; Fay, P.A.; Polley, H.W.; Hatfield, J.L. Climate Impacts on Agriculture: Implications for Forage and Rangeland Production. Agron J 2011, 103, 371–381. [Google Scholar] [CrossRef]
  46. Van Soest, P.J. Nutritional ecology of the ruminant. Cornell university press 1994, ix–xii.
  47. Jensen, K.B.; Robins, J.G.; Rigby, C.; Waldron, B.L. Comparative Trends in Forage Nutritional Quality across the Growing Season in 13 Grasses. Canadian Journal of Plant Science 2016, 97, 72–82. [Google Scholar] [CrossRef]
  48. Gillette, K. Yield and quality of cool-season perennial grasses for forage and biomass feedstocks in northeast Colorado. Master’s thesis, Colorado State University, Fort Collins, Colorado, Spring 2011.
  49. Ritz, K.E.; Heins, B.J.; Moon, R.; Sheaffer, C.; Weyers, S.L. Forage Yield and Nutritive Value of Cool-Season and Warm-Season Forages for Grazing Organic Dairy Cattle. Agronomy 2020, 10. [Google Scholar] [CrossRef]
  50. DelCurto, T.; Cochran, R.C.; Harmon, D.L.; Beharka, A.A.; Jacques, K.A.; Towne, G.; Vanzant, E.S. Supplementation of Dormant Tallgrass-Prairie Forage: I. Influence of Varying Supplemental Protein and(or) Energy Levels on Forage Utilization Characteristics of Beef Steers in Confinement. J Anim Sci 1990, 68, 515–531. [Google Scholar] [CrossRef] [PubMed]
  51. Köster, H.H.; Woods, B.C.; Cochran, R.C.; Vanzant, E.S.; Titgemeyer, E.C.; Grieger, D.M.; Olson, K.C.; Stokka, G. Effect of Increasing Proportion of Supplemental N from Urea in Prepartum Supplements on Range Beef Cow Performance and on Forage Intake and Digestibility by Steers Fed Low-Quality Forage. J Anim Sci 2002, 80, 1652–1662. [Google Scholar] [CrossRef]
  52. Fonseca, N.V.B.; Cardoso, A. da S.; Granja-Salcedo, Y.T.; Siniscalchi, D.; Camargo, K.D.V.; Dornellas, I.A.; Silva, M.L.C.; Vecchio, L. dos S. Del; Grizotto, R.K.; Reis, R.A. Effects of Condensed Tannin-Enriched Alternative Energy Feedstuff Supplementation on Performance, Nitrogen Utilization, and Rumen Microbial Diversity in Grazing Beef Cattle. Livest Sci 2024, 287. [Google Scholar] [CrossRef]
  53. Muzzo, I.; Blanchard, H.; Cabral, C.; Villalba, J.J. PSXIII-5 Behavior and Blood Urea Nitrogen in Cattle Grazing Meadow Bromegrass and Supplemented with Condensed and Hydrolizable Tannins. J Anim Sci 2024, 102, 614–615. [Google Scholar] [CrossRef]
  54. Blanchard, H.P. Supplementing Tannins to Increase Performance and Reduce Methane Emissions in Cows Grazing on Western Grasslands. Master’s thesis, Utah State University, Logan, Utah, August 2025. 20 August.
  55. Mueller-Harvey, I. Unravelling the Conundrum of Tannins in Animal Nutrition and Health. J Sci Food Agric 2006, 86, 2010–2037. [Google Scholar] [CrossRef]
  56. Matabane, D.M.; Ng’ambi, J.W.; Mabelebele, M.; Gunya, B.; Manyelo, T.G.; Matabane, D.M.; Ng’ambi, J.W.; Mabelebele, M.; Gunya, B.; Manyelo, T.G. The Role of Secondary Metabolites on Methane Reduction in Small Ruminants. 2024. [CrossRef]
  57. Villalba, J.J.; Provenza, F.D.; Catanese, F.; Distel, R.A. Understanding and Manipulating Diet Choice in Grazing Animals. Anim Prod Sci 2015, 55, 261–271. [Google Scholar] [CrossRef]
  58. Provenza, F.D.; Villalba, J.J. Foraging in Domestic Herbivores: Linking the Internal and External Milieux. Feeding in Domestic Vertebrates 2006, 210–240. [Google Scholar] [CrossRef]
  59. Villalba, J.J.; Mereu, A.; Ipharraguerre, I.R. Influence of Dietary Flavours on Sheep Feeding Behaviour and Nutrient Digestibility. Anim Prod Sci 2014, 55, 634–638. [Google Scholar] [CrossRef]
  60. Bach, A.; Villalba, J.J.; Ipharraguerre, I.R. Interactions between Mild Nutrient Imbalance and Taste Preferences in Young Ruminants, J Anim Sci 2012, 90, 1015–1025. [Google Scholar] [CrossRef]
  61. Waghorn, G.C.; McNabb, W.C. Consequences of Plant Phenolic Compounds for Productivity and Health of Ruminants. Proceedings of the Nutrition Society 2003, 62, 383–392. [Google Scholar] [CrossRef]
  62. Min, B.R.; Solaiman, S. Comparative Aspects of Plant Tannins on Digestive Physiology, Nutrition and Microbial Community Changes in Sheep and Goats: A Review. J Anim Physiol Anim Nutr (Berl) 2018, 102, 1181–1193. [Google Scholar] [CrossRef] [PubMed]
  63. da Silva Aguiar, F.; Bezerra, L.R.; Cordão, M.A.; Cavalcante, I.T.R.; de Oliveira, J.P.F.; do Nascimento, R.R.; de Souza, B.B.; Oliveira, R.L.; Pereira, E.S.; Pereira Filho, J.M. Effects of Increasing Levels of Total Tannins on Intake, Digestibility, and Balance of Nitrogen, Water, and Energy in Hair Lambs. Animals 2023, 13, 2497. [Google Scholar] [CrossRef] [PubMed]
  64. Besharati, M.; Maggiolino, A.; Palangi, V.; Kaya, A.; Jabbar, M.; Eseceli, H.; De Palo, P.; Lorenzo, J.M. Tannin in Ruminant Nutrition: Review. Molecules 2022, Vol. 27, Page 8273 2022, 27, 8273. [Google Scholar] [CrossRef]
  65. Makkar, H.P.S. Effects and Fate of Tannins in Ruminant Animals, Adaptation to Tannins, and Strategies to Overcome Detrimental Effects of Feeding Tannin-Rich Feeds. Small Ruminant Research 2003, 49, 241–256. [Google Scholar] [CrossRef]
  66. Carter, R.R.; Grovum, W.L. A review of the physiological significance of hypertonic body fluids on feed intake and ruminal function: Salivation, motility and microbes. J. Anim. Sci. 1990, 68, 2811–2832. [Google Scholar] [CrossRef] [PubMed]
  67. Hoste, H.; Jackson, F.; Athanasiadou, S.; Thamsborg, S.M.; Hoskin, S.O. The Effects of Tannin-Rich Plants on Parasitic Nematodes in Ruminants. Trends Parasitol 2006, 22, 253–261. [Google Scholar] [CrossRef]
  68. Silanikove, N. The Physiological Basis of Adaptation in Goats to Harsh Environments. Small Ruminant Research 2000, 35, 181–193. [Google Scholar] [CrossRef]
  69. Gedir, J. V.; Cain, J.W.; Krausman, P.R.; Allen, J.D.; Duff, G.C.; Morgart, J.R. Potential Foraging Decisions by a Desert Ungulate to Balance Water and Nutrient Intake in a Water-Stressed Environment. PLoS One 2016, 11. [Google Scholar] [CrossRef]
  70. Li, C.; Zhang, F.; Leong Tan, M.; Pan Chun, K.; Iddy Muzzo, B.; Douglas Ramsey, R.; Villalba, J.J. Changes in Climate and Their Implications for Cattle Nutrition and Management. Climate 2025, Vol. 13, Page 1 2024, 13, 1. [Google Scholar] [CrossRef]
  71. Schlecht, E.; Dickhöfer, U.; Predotova, M.; Buerkert, A. The Importance of Semi-Arid Natural Mountain Pastures for Feed Intake and Recycling of Nutrients by Traditionally Managed Goats on the Arabian Peninsula. J Arid Environ 2011, 75, 1136–1146. [Google Scholar] [CrossRef]
  72. Burgos, M.S.; Senn, M.; Sutter, F.; Kreuzer, M.; Langhans, W. Effect of Water Restriction on Feeding and Metabolism in Dairy Cows. Am J Physiol Regul Integr Comp Physiol 2001, 280. [Google Scholar] [CrossRef] [PubMed]
  73. Chung, Y.H.; Mc Geough, E.J.; Acharya, S.; McAllister, T.A.; McGinn, S.M.; Harstad, O.M.; Beauchemin, K.A. Enteric Methane Emission, Diet Digestibility, and Nitrogen Excretion from Beef Heifers Fed Sainfoin or Alfalfa. J Anim Sci 2013, 91, 4861–4874. [Google Scholar] [CrossRef]
  74. Ruckle, M.E.; Meier, M.A.; Frey, L.; Eicke, S.; Kölliker, R.; Zeeman, S.C.; Studer, B. Diurnal leaf starch content: An orphan trait in forage legumes. Agronomy 2017, 7, 16. [Google Scholar] [CrossRef]
  75. Gregorini, P.; Pas, †; Tamminga, S.; Gunter, S.A. REVI EW: Behavior and Daily Grazing Patterns of Cattle. Prof Anim Sci 2006, 22, 201–209. [CrossRef]
  76. Bryant, J.P.; Stuart Chapin, F.; Klein Bryant, D.R.; Bryant, J.P.; Chapin, F.S. Herbivore-Plant Interactions at Northern Latitudes. Source: Oikos 40, 357–368.
  77. Min, B.R.; Barry, T.N.; Attwood, G.T.; McNabb, W.C. The Effect of Condensed Tannins on the Nutrition and Health of Ruminants Fed Fresh Temperate Forages: A Review. Anim Feed Sci Technol 2003, 106, 3–19. [Google Scholar] [CrossRef]
  78. Barry, T.N.; Mcnabb, W.C. The Implications of Condensed Tannins on the Nutritive Value of Temperate Forages Fed to Ruminants. Br. J. Nutr. 1999, 81, 263–272. [Google Scholar] [CrossRef] [PubMed]
  79. Gargallo, S.; Ferret, A.; Calsamiglia, S. Ruminal Microbial Degradation of Individual Amino Acids from Heat-Treated Soyabean Meal and Corn Gluten Meal in Continuous Culture. Animals 2022, Vol. 12, Page 688 2022, 12, 688. [Google Scholar] [CrossRef]
  80. Herremans, S.; Vanwindekens, F.; Decruyenaere, V.; Beckers, Y.; Froidmont, E. Effect of dietary tannins on milk yield and composition, nitrogen partitioning and nitrogen use efficiency of lactating dairy cows: A meta-analysis. J. Anim. Physiol. Anim. Nutr. 2020, 104(5), 1209–1218. [Google Scholar] [CrossRef]
  81. Dschaak, C.M.; Williams, C.M.; Holt, M.S.; Eun, J.S.; Young, A.J.; Min, B.R. Effects of Supplementing Condensed Tannin Extract on Intake, Digestion, Ruminal Fermentation, and Milk Production of Lactating Dairy Cows. J Dairy Sci 2011, 94, 2508–2519. [Google Scholar] [CrossRef] [PubMed]
  82. López-Andrés, P.; Luciano, G.; Vasta, V.; Gibson, T.M.; Biondi, L.; Priolo, A.; Mueller-Harvey, I. Dietary Quebracho Tannins Are Not Absorbed, but Increase the Antioxidant Capacity of Liver and Plasma in Sheep. British Journal of Nutrition 2013, 110, 632–639. [Google Scholar] [CrossRef]
  83. The Effect of Wattle Tannin on Intake, Digestibility, Nitrogen Retention and Growth Performance of Goats in South Africa. Available online: https://www.lrrd.cipav.org.co/lrrd19/4/beng19050.htm (accessed on 2 October 2025).
  84. Min, B.R.; Solaiman, S.; Terrill, T.; Ramsay, A.; Mueller-Harvey, I. The Effects of Tannins-Containing Ground Pine Bark Diet upon Nutrient Digestion, Nitrogen Balance, and Mineral Retention in Meat Goats. J Anim Sci Biotechnol 2015, 6, 1–8. [Google Scholar] [CrossRef]
  85. Tshabalala, T.; Sikosana, J.L.N.; Chivandi, E. Nutrient Intake, Digestibility and Nitrogen Retention in Indigenous Goats Fed on Acacia Nilotica Fruits Treated for Condensed Tannins. S Afr J Anim Sci 2013, 43, 457–463. [Google Scholar] [CrossRef]
  86. Tucker, C.B.; Rogers, A.R.; Schütz, K.E. Effect of Solar Radiation on Dairy Cattle Behaviour, Use of Shade and Body Temperature in a Pasture-Based System. Appl Anim Behav Sci 2008, 109, 141–154. [Google Scholar] [CrossRef]
  87. Schütz, K.E.; Rogers, A.R.; Poulouin, Y.A.; Cox, N.R.; Tucker, C.B. The Amount of Shade Influences the Behavior and Physiology of Dairy Cattle. J Dairy Sci 2010, 93, 125–133. [Google Scholar] [CrossRef]
  88. Beauchemin, K.A.; Kreuzer, M.; O’Mara, F.; McAllister, T.A. Nutritional Management for Enteric Methane Abatement: A Review. Aust J Exp Agric 2008, 48, 21–27. [Google Scholar] [CrossRef]
  89. Jayanegara, A.; Leiber, F.; Kreuzer, M. Meta-Analysis of the Relationship between Dietary Tannin Level and Methane Formation in Ruminants from in Vivo and in Vitro Experiments. J Anim Physiol Anim Nutr (Berl) 2012, 96, 365–375. [Google Scholar] [CrossRef]
  90. Gregorini, P. Diurnal Grazing Pattern: Its Physiological Basis and Strategic Management. Anim Prod Sci 2012, 52, 416–430. [Google Scholar] [CrossRef]
  91. Mayland, H.; Mertens, D.; Taylor, T.; Burns, J.; Fisher, D.; Gregorini, P.; Ciavarella, T.; Smith, K.; Shewmaker, G.; Griggs, T. Diurnal changes in forage quality and their effects on animal preference, intake, and performance. In Proceedings of the 35th California Alfalfa and Forage Symposium, Visalia, CA, USA, 12–14 December 2005; University of, California, Ed.; University of California: Davis, CA, USA, 2005; pp. 223–230. [Google Scholar]
  92. Bailey, D.W.; Stephenson, M.B.; Pittarello, M. Effect of Terrain Heterogeneity on Feeding Site Selection and Livestock Movement Patterns. Anim Prod Sci 2015, 55, 298–308. [Google Scholar] [CrossRef]
  93. Masters, D.G.; Blache, D.; Lockwood, A.L.; Maloney, S.K.; Norman, H.C.; Refshauge, G.; Hancock, S.N. Shelter and Shade for Grazing Sheep: Implications for Animal Welfare and Production and for Landscape Health. Anim Prod Sci 2023, 63, 623–644. [Google Scholar] [CrossRef]
  94. Xiao, X.; Zhang, T.; Angerer, J.P.; Hou, F. Grazing Seasons and Stocking Rates Affects the Relationship between Herbage Traits of Alpine Meadow and Grazing Behaviors of Tibetan Sheep in the Qinghai–Tibetan Plateau. Animals 2020, Vol. 10, Page 488 2020, 10, 488. [Google Scholar] [CrossRef] [PubMed]
  95. van Beest, F.M.; Van Moorter, B.; Milner, J.M. Temperature-Mediated Habitat Use and Selection by a Heat-Sensitive Northern Ungulate. Anim Behav 2012, 84, 723–735. [Google Scholar] [CrossRef]
  96. Owen-Smith, N.; Fryxell, J.M.; Merrill, E.H. Foraging Theory Upscaled: The Behavioural Ecology of Herbivore Movement. Philosophical Transactions of the Royal Society B: Biological Sciences 2010, 365, 2267–2278. [Google Scholar] [CrossRef]
  97. Launchbaugh, K.L.; Howery, L.D. Understanding Landscape Use Patterns of Livestock as a Consequence of Foraging Behavior. Rangel Ecol Manag 2005, 58, 99–108. [Google Scholar] [CrossRef]
  98. Sellick, J.; Yarwood, R. Placing Livestock in Landscape Studies: Pastures New or Out to Graze? Landsc Res 2013, 38, 404–420. [Google Scholar] [CrossRef]
  99. Bailey, D.W. Management Strategies for Optimal Grazing Distribution and Use of Arid Rangelands, J Anim Sci 2004, 82, E147–E153. [Google Scholar]
  100. De Weerd, N.; Van Langevelde, F.; Van Oeveren, H.; Nolet, B.A.; Kölzsch, A.; Prins, H.H.T.; De Boer, W.F. Deriving Animal Behaviour from High-Frequency GPS: Tracking Cows in Open and Forested Habitat. PLoS One 2015, 10, e0129030. [Google Scholar] [CrossRef]
  101. Holbrook, J.D.; Olson, L.E.; DeCesare, N.J.; Hebblewhite, M.; Squires, J.R.; Steenweg, R. Functional Responses in Habitat Selection: Clarifying Hypotheses and Interpretations. Ecological Applications 2019, 29, e01852. [Google Scholar] [CrossRef] [PubMed]
  102. Bailey, D.W.; Provenza, F.D. Mechanisms Determining Large-Herbivore Distribution. Resource Ecology 2008, 7–28. [Google Scholar] [CrossRef]
  103. Provenza, F.D.; Papachristou, T.G. Behavior-Based Management of Ecosystems.
  104. Jin, Z.; Guo, L.; Shu, H.; Qi, J.; Li, Y.; Xu, B.; Zhang, W.; Wang, K.; Wang, W. Behavior Classification and Analysis of Grazing Sheep on Pasture with Different Sward Surface Heights Using Machine Learning. Animals 2022, Vol. 12, Page 1744 2022, 12, 1744. [Google Scholar] [CrossRef]
  105. Teague, R.; Kreuter, U. Managing Grazing to Restore Soil Health, Ecosystem Function, and Ecosystem Services. Front Sustain Food Syst 2020, 4, 534187. [Google Scholar] [CrossRef]
  106. Bailey, D.W.; Brown, J.R. Rotational Grazing Systems and Livestock Grazing Behavior in Shrub-Dominated Semi-Arid and Arid Rangelands. Rangel Ecol Manag 2011, 64, 1–9. [Google Scholar] [CrossRef]
  107. Zilverberg, C.J.; Angerer, J.; Williams, J.; Metz, L.J.; Harmoney, K. Sensitivity of Diet Choices and Environmental Outcomes to a Selective Grazing Algorithm. Ecol Modell 2018, 390, 10–22. [Google Scholar] [CrossRef]
  108. Lagrange, S.P.; Macadam, J.W.; Villalba, J.J. The Use of Temperate Tannin Containing Forage Legumes to Improve Sustainability in Forage-Livestock Production. 2021. [CrossRef]
  109. Tan, P.; Liu, H.; Zhao, J.; Gu, X.; Wei, X.; Zhang, X.; Ma, N.; Johnston, L.J.; Bai, Y.; Zhang, W.; et al. Amino Acids Metabolism by Rumen Microorganisms: Nutrition and Ecology Strategies to Reduce Nitrogen Emissions from the inside to the Outside. Science of The Total Environment 2021, 800, 149596. [Google Scholar] [CrossRef]
  110. Cézilly, F. Stephens, D.W. and Krebs, J.R. — Foraging Theory. Princeton University Press, Princeton N.J., Monographs in Behavior and Ecology, Vol. 4, 1986. Revue d’Écologie (La Terre et La Vie) 1988, 43, 327–327. [Google Scholar]
  111. Baumont, R.; Prache, S.; Meuret, M.; Morand-Fehr, P. How Forage Characteristics Influence Behaviour and Intake in Small Ruminants: A Review. Livest Prod Sci 2000, 64, 15–28. [Google Scholar] [CrossRef]
  112. Hall-McMaster, S.; Dayan, P.; Schuck, N.W. Control over Patch Encounters Changes Foraging Behavior. iScience 2021, 24, 103005. [Google Scholar] [CrossRef]
  113. Villalba, J.J.; Provenza, F.D. Preference for Flavored Wheat Straw by Lambs Conditioned with Intraruminal Infusions of Acetate and Propionate. J Anim Sci 1997, 75, 2905–2914. [Google Scholar] [CrossRef]
  114. Villalba, J.J.; Provenza, F.D. Preference for Flavoured Foods by Lambs Conditioned with Intraruminal Administration of Nitrogen. British Journal of Nutrition 1997, 78, 545–561. [Google Scholar] [CrossRef]
  115. Bailey, D.W.; Trotter, M.G.; Tobin, C.; Thomas, M.G. Opportunities to Apply Precision Livestock Management on Rangelands. Front Sustain Food Syst 2021, 5, 611915. [Google Scholar] [CrossRef]
  116. Lagrange, S.; Macadam, J.W.; Stegelmeier, B.; Villalba, J.J. Grazing Diverse Combinations of Tanniferous and Nontanniferous Legumes: Implications for Foraging Behavior, Performance, and Hair Cortisol in Beef Cattle. J Anim Sci 2021, 99, 1–12. [Google Scholar] [CrossRef]
  117. Villalba, J.J.; Costes-Thiré, M.; Ginane, C. Phytochemicals in Animal Health: Diet Selection and Trade-Offs between Costs and Benefits. Proceedings of the Nutrition Society 2017, 76, 113–121. [Google Scholar] [CrossRef]
  118. Boissy, A.; Aubert, A.; Désiré, L.; Greiveldinger, L.; Delval, E.; Veissier, I. Cognitive Sciences to Relate Ear Postures to Emotions in Sheep. Animal Welfare 2011, 20, 47–56. [Google Scholar] [CrossRef]
  119. Nalon, E.; Contiero, B.; Gottardo, F.; Cozzi, G. The Welfare of Beef Cattle in the Scientific Literature From 1990 to 2019: A Text Mining Approach. Front Vet Sci 2021, 7. [Google Scholar] [CrossRef] [PubMed]
  120. Langbein, C.; Coulon, J.; Gabor, M.; Oesterwind, V.; Benz-Schwarzburg, S.; Borell, J. Farm Animal Cognition-Linking Behavior, Welfare and Ethics. Frontiers in Veterinary Science. 2019, 6, 24. [Google Scholar] [CrossRef]
  121. Villalba, J.J.; Provenza, F.D.; Shaw, R. Initial Conditions and Temporal Delays Influence Preference for Foods High in Tannins and for Foraging Locations with and without Foods High in Tannins by Sheep. Appl Anim Behav Sci 2006, 97, 190–205. [Google Scholar] [CrossRef]
Figure 1. Average biomass of meadow bromegrass (means ± SE) disappearance across four periods during both years during the study. Twenty-four Black Angus cow-calf pairs grazed six 9-acre paddocks of meadow bromegrass (4 pairs/paddock) while receiving a DDGs supplement: Control (Ctrl; n=3) and the same supplement containing tannins (TT; n=3).
Figure 1. Average biomass of meadow bromegrass (means ± SE) disappearance across four periods during both years during the study. Twenty-four Black Angus cow-calf pairs grazed six 9-acre paddocks of meadow bromegrass (4 pairs/paddock) while receiving a DDGs supplement: Control (Ctrl; n=3) and the same supplement containing tannins (TT; n=3).
Preprints 180750 g001
Figure 2. Mean distance traveled (m) by Black Angus cow–calf pairs receiving either a distillers dried grains supplement without tannins (Control, CT) or the same supplement containing tannins (TT) across times of the day (TOD: night, morning, afternoon, evening) over four grazing periods (Periods 1–4) in 2023–2024. Distance traveled was measured using GPS collars set to record location at 5 minutes fixed intervals and averaged per paddock (n = 3 paddocks per treatment). Each paddock contained four cow–calf pairs grazing 9-acre meadow bromegrass paddocks in a completely randomized design. Error bars represent ± standard error (SE). Values with distinct letters within the same TOD and period are different (P < 0.05).
Figure 2. Mean distance traveled (m) by Black Angus cow–calf pairs receiving either a distillers dried grains supplement without tannins (Control, CT) or the same supplement containing tannins (TT) across times of the day (TOD: night, morning, afternoon, evening) over four grazing periods (Periods 1–4) in 2023–2024. Distance traveled was measured using GPS collars set to record location at 5 minutes fixed intervals and averaged per paddock (n = 3 paddocks per treatment). Each paddock contained four cow–calf pairs grazing 9-acre meadow bromegrass paddocks in a completely randomized design. Error bars represent ± standard error (SE). Values with distinct letters within the same TOD and period are different (P < 0.05).
Preprints 180750 g002
Figure 3. Probability of active states for Black Angus cow–calf pairs receiving either a distillers dried grains supplement without tannins (CT; control) or the same supplement containing a mix of condensed and hydrolyzable tannins (TT; treatment) across times of the day (TOD: night, morning, afternoon, evening) over four observation periods (Periods 1–4) in 2023–2024. Each paddock (n = 3 per treatment) was 9 acres and grazed by four cow–calf pairs in a completely randomized design. Active state probabilities were determined from accelerometer data and averaged per paddock. Error bars represent ± standard error (SE). Values with distinct letters within the same TOD and period are different (P < 0.05).
Figure 3. Probability of active states for Black Angus cow–calf pairs receiving either a distillers dried grains supplement without tannins (CT; control) or the same supplement containing a mix of condensed and hydrolyzable tannins (TT; treatment) across times of the day (TOD: night, morning, afternoon, evening) over four observation periods (Periods 1–4) in 2023–2024. Each paddock (n = 3 per treatment) was 9 acres and grazed by four cow–calf pairs in a completely randomized design. Active state probabilities were determined from accelerometer data and averaged per paddock. Error bars represent ± standard error (SE). Values with distinct letters within the same TOD and period are different (P < 0.05).
Preprints 180750 g003
Figure 4. Probability of activity types grazing (GR), resting (RE), and ruminating (RU) for Black Angus cow–calf pairs receiving either a distillers dried grains supplement without tannins (CT; control) or the same supplement containing a mix of condensed and hydrolyzable tannins (TT; treatment) across times of the day (TOD: night, morning, afternoon, evening) in 2023–2024. Each paddock (n = 3 per treatment) was 9 acres and grazed by four cow–calf pairs in a completely randomized design. Activity probabilities were determined from accelerometer data and averaged per paddock. Error bars represent ± standard error (SE). Different lowercase letters within the same TOD and treatment group indicate significant differences (P < 0.05). Asterisks (*) indicate significant differences between treatments (i.e., vertical comparisons) within the same TOD.
Figure 4. Probability of activity types grazing (GR), resting (RE), and ruminating (RU) for Black Angus cow–calf pairs receiving either a distillers dried grains supplement without tannins (CT; control) or the same supplement containing a mix of condensed and hydrolyzable tannins (TT; treatment) across times of the day (TOD: night, morning, afternoon, evening) in 2023–2024. Each paddock (n = 3 per treatment) was 9 acres and grazed by four cow–calf pairs in a completely randomized design. Activity probabilities were determined from accelerometer data and averaged per paddock. Error bars represent ± standard error (SE). Different lowercase letters within the same TOD and treatment group indicate significant differences (P < 0.05). Asterisks (*) indicate significant differences between treatments (i.e., vertical comparisons) within the same TOD.
Preprints 180750 g004
Figure 5. Probability of activity types resting lying down (RE_LD), resting standing (RE_SU), ruminating lying down (RU_LD), and ruminating standing (RU_SU) for Black Angus cow–calf pairs receiving either a distillers dried grains supplement without tannins (Control, CT) or the same supplement containing tannins (TT) across times of the day (TOD: night, morning, afternoon, evening) over four grazing periods (Periods 1–4) in 2023–2024. Activity probabilities were determined from accelerometer data and averaged per paddock (n = 3 paddocks per treatment). Each paddock contained four cow–calf pairs grazing 9-acre meadow bromegrass paddocks in a completely randomized design. Vertical lines represent model-predicted standard errors. Values with distinct letters within the same TOD and period are different (P < 0.05).
Figure 5. Probability of activity types resting lying down (RE_LD), resting standing (RE_SU), ruminating lying down (RU_LD), and ruminating standing (RU_SU) for Black Angus cow–calf pairs receiving either a distillers dried grains supplement without tannins (Control, CT) or the same supplement containing tannins (TT) across times of the day (TOD: night, morning, afternoon, evening) over four grazing periods (Periods 1–4) in 2023–2024. Activity probabilities were determined from accelerometer data and averaged per paddock (n = 3 paddocks per treatment). Each paddock contained four cow–calf pairs grazing 9-acre meadow bromegrass paddocks in a completely randomized design. Vertical lines represent model-predicted standard errors. Values with distinct letters within the same TOD and period are different (P < 0.05).
Preprints 180750 g005
Figure 7. Spatial distribution of grazing intensity in treatment paddocks (TT; animals supplemented with a mix of condensed and hydrolyzable tannins) and control paddocks (CT; animals receiving a distillers dried grains supplement without tannins) during Period 1 (no tannin supplementation) and Period 4 (with tannin supplementation) in 2023–2024. Each paddock was 9 acres and grazed by four Black Angus cow–calf pairs. Grazing intensity is represented by a color scale: red indicates very heavy grazing (areas with the highest cow presence and potential overgrazing), orange indicates heavy grazing (high-density areas with frequent use), light green indicates moderate grazing (consistent but not excessive use), dark green indicates light grazing (infrequent cow presence), and white indicates no grazing (no cow activity detected).
Figure 7. Spatial distribution of grazing intensity in treatment paddocks (TT; animals supplemented with a mix of condensed and hydrolyzable tannins) and control paddocks (CT; animals receiving a distillers dried grains supplement without tannins) during Period 1 (no tannin supplementation) and Period 4 (with tannin supplementation) in 2023–2024. Each paddock was 9 acres and grazed by four Black Angus cow–calf pairs. Grazing intensity is represented by a color scale: red indicates very heavy grazing (areas with the highest cow presence and potential overgrazing), orange indicates heavy grazing (high-density areas with frequent use), light green indicates moderate grazing (consistent but not excessive use), dark green indicates light grazing (infrequent cow presence), and white indicates no grazing (no cow activity detected).
Preprints 180750 g007
Table 4. Nutritional composition (%) of meadow bromegrass in paddocks grazed by Black Angus cow–calf pairs receiving either a distillers dried grains diet containing tannins (TT) or without tannins (Control, CT) across grazing periods (1–4) in 2023 and 2024. Each paddock (n = 3 per treatment) was 9 acres and grazed by four cow–calf pairs in a completely randomized design.
Table 4. Nutritional composition (%) of meadow bromegrass in paddocks grazed by Black Angus cow–calf pairs receiving either a distillers dried grains diet containing tannins (TT) or without tannins (Control, CT) across grazing periods (1–4) in 2023 and 2024. Each paddock (n = 3 per treatment) was 9 acres and grazed by four cow–calf pairs in a completely randomized design.
2023 Tannins No Tannin SE
Periods
1 2 3 4 1 2 3
DM (%) 95.50ᵃ 96.87ᵇ 97.47ᶜ 97.77ᶜ 95.87ᵃᵇ 96.13ᵃᵇ 97.33ᶜ 97.37ᶜ ± 0.233
CP (%) 7.03ᶜ 5.30ᵇ 4.77ᵃ 3.90ᵃ 6.47ᶜ 5.13ᵇ 4.60ᵃ 3.83ᵃ ± 0.194
ADF (%) 38.8ᵃ 38.6ᵃ 41.9ᵇ 43.6ᵇ 38.5ᵃ 39.5ᵃ 42.5ᵇ 44.2ᵇ ± 0.477
NDF (%) 63.6ᵃᵇ 63.4ᵃᵇ 64.6ᵃᵇ 64.8ᵃᵇ 62.2ᵃ 63.8ᵃᵇ 64.7ᵃᵇ 65.4ᵇ ± 0.692
2024
DM (%) 95.60ᵃ 96.37ᵃᵇ 96.83ᵇ 98.00ᶜ 95.53ᵃ 96.07ᵃᵇ 96.73ᵇ 98.20ᶜ ± 0.184
CP (%) 7.07ᶜ 3.93ᵇ 3.40ᵇ 2.47ᵃ 7.00ᶜ 4.07ᵇ 3.43ᵇ 2.43ᵃ ± 0.161
ADF (%) 37.7ᵃ 41.5ᵇᶜ 41.9ᵇ 43.9ᵈ 37.8ᵃ 41.7ᵇᶜ 40.8ᵇ 43.0ᶜᵈ ± 0.386
NDF (%) 59.3ᵃᵇ 63.0ᶜ 64.0ᶜ 68.4ᵈ 57.8ᵃ 63.1ᵇᶜ 64.4ᶜ 65.5ᶜᵈ ± 0.77
Values are means ± standard error (SE) for dry matter (DM), crude protein (CP), acid detergent fiber (ADF), and neutral detergent fiber (NDF). Different superscript letters within the same row, treatment, and year indicate significant differences among periods (P < 0.05).
Table 5. P-values for the fixed effects of treatment, time of the day (TOD: night, morning, afternoon, evening), grazing period (1–4), year (2023–2024), and their interactions on standing time, number of steps, motion index, and transitions from lying to standing in Black Angus beef cows. Cows received either a distillers dried grains diet without tannins (Control, CT) or the same diet containing tannins (TT) while grazing 9-acre meadow bromegrass paddocks (four cow–calf pairs per paddock, n = 3 paddocks per treatment).
Table 5. P-values for the fixed effects of treatment, time of the day (TOD: night, morning, afternoon, evening), grazing period (1–4), year (2023–2024), and their interactions on standing time, number of steps, motion index, and transitions from lying to standing in Black Angus beef cows. Cows received either a distillers dried grains diet without tannins (Control, CT) or the same diet containing tannins (TT) while grazing 9-acre meadow bromegrass paddocks (four cow–calf pairs per paddock, n = 3 paddocks per treatment).
P values
Parameters % Standing Time Number of Steps Motion Index % Transition Up
Treatment 0.388 0.8909 0.8986 0.0115
Time of the day 0.0001 0.0001 0.0001 0.058
Period 0.0077 0.0005 <0.0001 0.5806
Year 0.6178 0.1498 0.0621 0.5258
Treatment × Time of the day 0.815 0.1633 0.7370 0.1178
Treatment × Period 0.1417 0.3537 0.094 0.2645
Treatment × Year 0.5468 0.1502 0.5468 0.2546
Time of the day × Period 0.0522 0.3902 0.0522 0.3902
Time of the day × Year 0.0001 0.0001 0.0001 0.0001
Period × Year 0.0001 0.0546 0.0001 0.0546
Treatment × Time of the day × Period 0.4013 0.7989 0.4012 0.2645
Treatment × Time of the day × Year 0.1933 0.1124 0.1933 0.1124
Time of the day × Period × Year 0.0036 0.4401 0.0004 0.0005
Treatment × Time of the day × Period × Year 0.3763 0.8053 0.3763 0.8053
Significant effects (p < 0.05) indicate differences in activity patterns or posture-related behaviors based on the respective factors or their interactions.
Table 6. Grazing Intensity and Distribution Metrics for cows (n=3/treatment) receiving a supplement with tannins (TT) or without tannins; Control (Ctrl) and Tannin-Supplemented (TT) Paddocks Across Periods.
Table 6. Grazing Intensity and Distribution Metrics for cows (n=3/treatment) receiving a supplement with tannins (TT) or without tannins; Control (Ctrl) and Tannin-Supplemented (TT) Paddocks Across Periods.
Period Treatment Min Max Mean STD Coeff. Var Count
P1 Tannin 0.00010 1.24642 0.07001 0.08057 1.15084 254184
P1 Control 0.00010 1.78293 0.08721 0.10641 1.22024 244770
P4 Tannin 0.00010 2.59267 0.06810 0.12674 1.86097 254184
P4 Control 0.00010 4.65824 0.09744 0.20753 2.12974 244770
Disclaimer/Publisher’s Note: The statements, opinions and data contained in all publications are solely those of the individual author(s) and contributor(s) and not of MDPI and/or the editor(s). MDPI and/or the editor(s) disclaim responsibility for any injury to people or property resulting from any ideas, methods, instructions or products referred to in the content.
Copyright: This open access article is published under a Creative Commons CC BY 4.0 license, which permit the free download, distribution, and reuse, provided that the author and preprint are cited in any reuse.
Prerpints.org logo

Preprints.org is a free preprint server supported by MDPI in Basel, Switzerland.

Subscribe

Disclaimer

Terms of Use

Privacy Policy

Privacy Settings

© 2026 MDPI (Basel, Switzerland) unless otherwise stated