Submitted:
06 October 2025
Posted:
10 October 2025
You are already at the latest version
Abstract
Keywords:
1. Introduction
2. MRE Gripper
3. Experimental Setup
4. Results
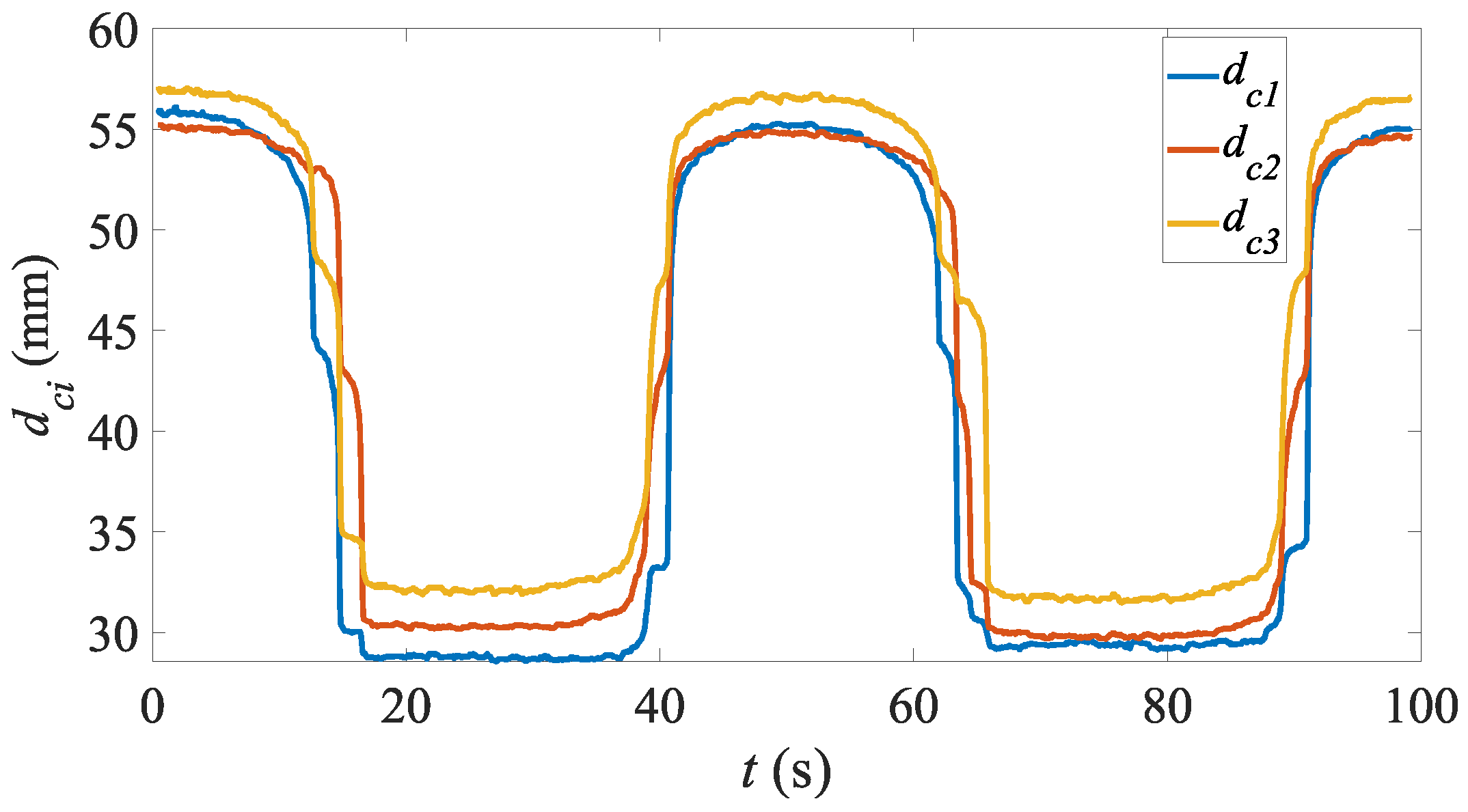
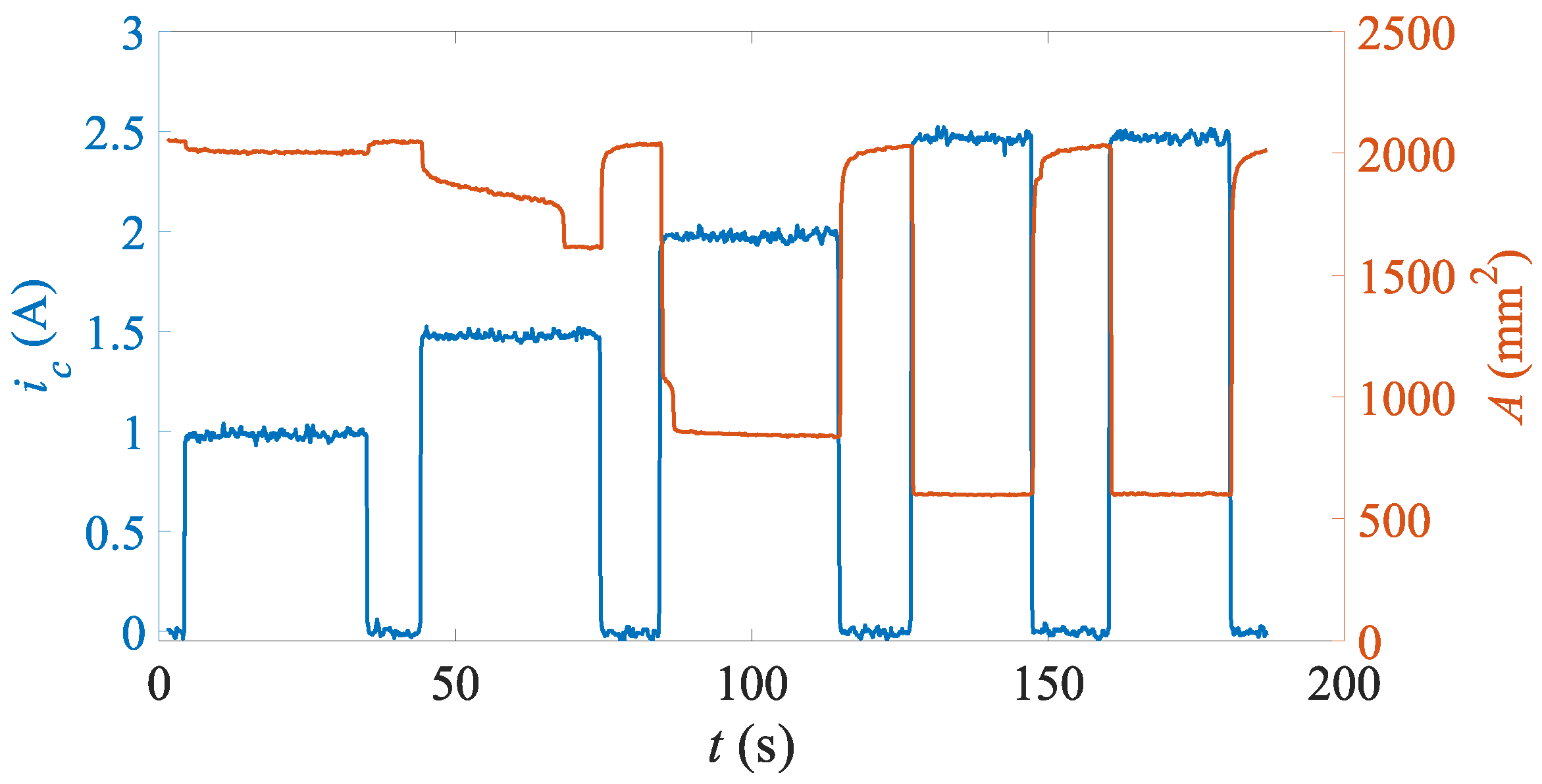
4.1. Free (No Load) State

4.2. Cylindrical Objects
4.3. Cubic Objects
5. Summary
Author Contributions
Funding
Data Availability Statement
Conflicts of Interest
References
- Rus, D.; Tolley, M.T. Design, fabrication and control of soft robots. Nature 2015, 521, 467–475. [Google Scholar] [CrossRef]
- Zaidi, S.; Maselli, M.; Laschi, C.; Cianchetti, M. Actuation Technologies for Soft Robot Grippers and Manipulators: A Review. Current Robotics Reports 2021, 2, 355–369. [Google Scholar] [CrossRef]
- Lee, J.H.; Chung, Y.S.; Rodrigue, H. Long Shape Memory Alloy Tendon-based Soft Robotic Actuators and Implementation as a Soft Gripper. Scientific Reports 2019, 9, 11251. [Google Scholar] [CrossRef] [PubMed]
- Rodrigue, H.; Wang, W.; Kim, D.R.; Ahn, S.H. Curved shape memory alloy-based soft actuators and application to soft gripper. Composite Structures 2017, 176, 398–406. [Google Scholar] [CrossRef]
- Ye, Y.; Cheng, P.; Yan, B.; Lu, Y.; Wu, C. Design of a Novel Soft Pneumatic Gripper with Variable Gripping Size and Mode. Journal of Intelligent and Robotic Systems: Theory and Applications 2022, 106, 1–15. [Google Scholar] [CrossRef]
- Kim, D.; Baek, S.R.; Kim, M.S.; Park, C.Y.; Lee, I.H. Design and manufacturing process of pneumatic soft gripper for additive manufacturing. Sensors and Actuators A: Physical 2024, 370, 115218. [Google Scholar] [CrossRef]
- Dou, X.; Chen, Z.; Ren, F.; He, L.; Chen, J.; Yin, L.J.; Luo, Y.; Dang, Z.M.; Mao, J. Dielectric Elastomer Network with Large Side Groups Achieves Large Electroactive Deformation for Soft Robotic Grippers. Advanced Functional Materials 2024, 34, 1–9. [Google Scholar] [CrossRef]
- Pourazadi, S.; Bui, H.; Menon, C. Investigation on a soft grasping gripper based on dielectric elastomer actuators. Smart Materials and Structures 2019, 28, 035009. [Google Scholar] [CrossRef]
- Bernat, J.; Czopek, P.; Superczynska, P.; Gajewski, P.; Marcinkowska, A. The Construction of a Soft Gripper Based on Magnetorheological Elastomer with Permanent Magnet. arXiv preprint arXiv:2407.13477 2024.
- Li, X.; Zhang, Z.; Sun, M.; Wu, H.; Zhou, Y.; Wu, H.; Jiang, S. A magneto-active soft gripper with adaptive and controllable motion. Smart Materials and Structures 2021, 30, 015024. [Google Scholar] [CrossRef]
- Koivikko, A.; Drotlef, D.M.; Sitti, M.; Sariola, V. Magnetically switchable soft suction grippers. Extreme Mechanics Letters 2021, 44, 101263. [Google Scholar] [CrossRef]
- Park, J.E.; Shin, H.N.; Park, J.; Suh, J.; Kim, Y.K. Friction variable rubber pad using magnetorheological elastomer for robot grippers. Journal of Intelligent Material Systems and Structures 2023, 34, 292–302. [Google Scholar] [CrossRef]
- Białek, M.; Jędryczka, C.; Milecki, A. Investigation of Thermoplastic Polyurethane Finger Cushion with Magnetorheological Fluid for Soft-Rigid Gripper. Energies 2021, 14, 6541. [Google Scholar] [CrossRef]
- Choi, Y.T.; Hartzell, C.M.; Leps, T.; Wereley, N.M. Gripping characteristics of an electromagnetically activated magnetorheological fluid-based gripper. AIP Advances 2018, 8. [Google Scholar] [CrossRef]
- Hartzell, C.M.; Choi, Y.T.; Wereley, N.M.; Leps, T.J. Performance of a magnetorheological fluid-based robotic end effector. Smart Materials and Structures 2019, 28, 035030. [Google Scholar] [CrossRef]
- Li, Y.; Li, J.; Li, W.; Du, H. A state-of-the-art review on magnetorheological elastomer devices. Smart Materials and Structures 2014, 23, 123001. [Google Scholar] [CrossRef]
- Kumar, J.S.; Paul, P.S.; Raghunathan, G.; Alex, D.G. A review of challenges and solutions in the preparation and use of magnetorheological fluids. International Journal of Mechanical and Materials Engineering 2019, 14, 13. [Google Scholar] [CrossRef]
- Wang, Z.; Liu, C.; Zheng, X.; Zhao, L.; Qiu, Y. Advancements in Semi-Active Automotive Suspension Systems with Magnetorheological Dampers: A Review. Applied Sciences 2024, 14. [Google Scholar] [CrossRef]
- Kordonski, W.I.; Jacobs, S.D. Magnetorheological finishing. International Journal of modern physics B 1996, 10, 2837–2848. [Google Scholar] [CrossRef]
- Deng, Z.; Dapino, M.J. Review of magnetostrictive materials for structural vibration control. Smart Materials and Structures 2018, 27, 113001. [Google Scholar] [CrossRef]
- Cramer, J.; Cramer, M.; Demeester, E.; Kellens, K. Exploring the potential of magnetorheology in robotic grippers. Procedia CIRP 2018, 76, 127–132. [Google Scholar] [CrossRef]
- Ahamed, R.; Choi, S.B.; Ferdaus, M.M. A state of art on magneto-rheological materials and their potential applications. Journal of Intelligent Material Systems and Structures 2018, 29, 2051–2095. [Google Scholar] [CrossRef]
- Xu, M.; Liu, Y.; Li, J.; Xu, F.; Huang, X.; Yue, X. Review of Flexible Robotic Grippers, with a Focus on Grippers Based on Magnetorheological Materials, 2024. [CrossRef]
- Gutenko, D.; Orkisz, P.; Sapiński, B. Laboratory Testing and Modelling of Magnetorheological Elastomers in Tension Mode. Acta Mechanica et Automatica 2024, 18, 291–299. [Google Scholar] [CrossRef]
- Gutenko, D. Concept of a soft gripper based on a magnetoactive polymer: Static calculations. In Proceedings of the 2020 21st International Conference on Research and Education in Mechatronics (REM), 2020, pp. 1–5. [CrossRef]
- Ding, W.; Zhou, Y.; Sun, M.; Fu, H.; Chen, Y.; Zhang, Z.; Pei, Z.; Chai, H. Magnetorheological elastomer actuated multi-stable gripper reinforced stiffness with twisted and coiled polymer. Thin-Walled Structures 2023, 193, 111223. [Google Scholar] [CrossRef]
- Guan, R.; Zheng, H.; Liu, Q.; Ou, K.; sen Li, D.; Fan, J.; Fu, Q.; Sun, Y. DIW 3D printing of hybrid magnetorheological materials for application in soft robotic grippers. Composites Science and Technology 2022, 223, 109409. [Google Scholar] [CrossRef]
- Bernat, J.; Gajewski, P.; Kapela, R.; Marcinkowska, A.; Superczyńska, P. Design, Fabrication and Analysis of Magnetorheological Soft Gripper. Sensors 2022, 22, 2757. [Google Scholar] [CrossRef] [PubMed]













| , | , | T, s | |
|---|---|---|---|
| A | 2060 | 56 | 2.106 |
| A | 2046 | -51 | 0.469 |
| A | 1963 | 150 | 5.975 |
| A | 2028 | -444 | 0.183 |
| A | 1981 | 1129 | 0.456 |
| A | 2006 | -1310 | 0.212 |
| A | 2037 | 1436 | 0.0105 |
| A | 2011 | -1519 | 0.147 |
| A | 2079 | 1475 | 0.0157 |
| A | 2041 | -1623 | 0.191 |
Disclaimer/Publisher’s Note: The statements, opinions and data contained in all publications are solely those of the individual author(s) and contributor(s) and not of MDPI and/or the editor(s). MDPI and/or the editor(s) disclaim responsibility for any injury to people or property resulting from any ideas, methods, instructions or products referred to in the content. |
© 2025 by the authors. Licensee MDPI, Basel, Switzerland. This article is an open access article distributed under the terms and conditions of the Creative Commons Attribution (CC BY) license (http://creativecommons.org/licenses/by/4.0/).