Submitted:
30 September 2025
Posted:
01 October 2025
You are already at the latest version
Abstract
Keywords:
1. Introduction
2. Conformal Barthel–Kropina Cosmology
2.1. Conformal Transformations in Riemann Geometry
2.1.1. Matter and Energy-Momentum Tensor
2.2. The Osculating Barthel-Kropina Cosmological Model
2.3. The Conformal Osculating Barthel-Kropina Model-the Generalized Friedmann Equations
2.4. The Generalized Friedmann Equations
2.5. The Generalized Friedmann Equations
3. Observational Tests of the Conformal Barthel-Kropina Cosmological Models
3.1. Methodology and Datasets
- Baryon Acoustic Oscillation : We use the Baryon Acoustic Oscillation (BAO) measurements from over 14 million galaxies and quasars provided by the Dark Energy Spectroscopic Instrument (DESI) Data Release 2 (DR2)3[86]. To constrain cosmological parameters using BAO from DESI DR2, we compute three primary distance measures: the Hubble distance , the comoving angular diameter distance , and the volume-averaged distance . These distances are expressed as ratios , , and for direct comparison with the observed BAO data. Here, denotes the sound horizon at the drag epoch (), defined as , where is the sound speed of the photon–baryon fluid. While the standard flat CDM model predicts Mpc [87], we treat as a free parameter in our analysis [88,89,90,91,92].
- Type Ia supernova : We also use the Pantheon+ (PP) CosmoSIS likelihood 4in our analysis, which accounts for both statistical and systematic uncertainties through a covariance matrix [93]. This dataset includes 1,590 light curves from 1,550 Type Ia Supernovae (SNe Ia) spanning the redshift range [94]. Light curves at are excluded due to significant systematic uncertainties arising from peculiar velocities. In this analysis, we also marginalize over the parameter ; for further details, see Equations (A9–A12) of [95].
- Cosmic Chronometers : We also use Hubble measurements obtained through the differential age method. This technique relies on passively evolving massive galaxies, formed at redshifts , providing a direct, model-independent estimate of the Hubble parameter via the relation [96]. In this analysis, we use the likelihood provided by Moresco on his GitLab repository5, which incorporates the full covariance matrix to account for both statistical and systematic uncertainties [97,98]. This likelihood includes Hubble parameter measurements spanning the redshift range [99,100,101].
3.2. Comparing Conformal Barthel–Kropina with CDM Model
3.2.1. Evolution of the Hubble Parameter and Hubble Residual
3.3. Cosmographic Analysis of Conformal Barthel–Kropina with CDM Model
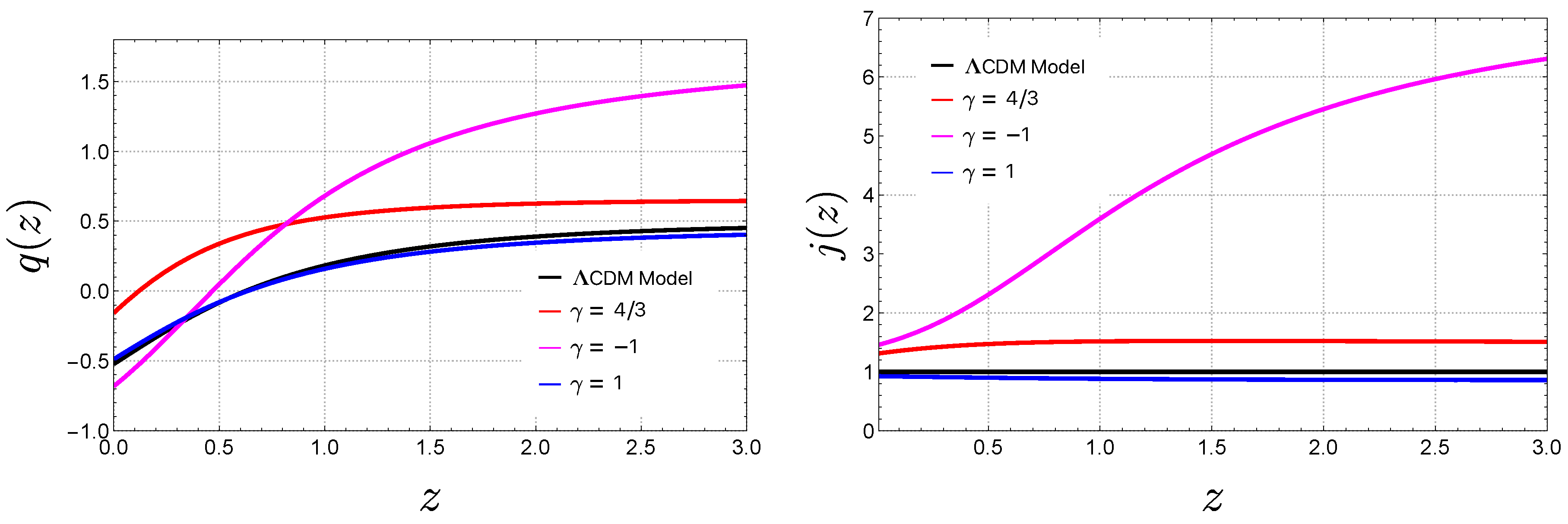
3.3.1. Deceleration Parameter and Jerk Parameter
3.4. Dimensionless Matter Density and Conformal Factor
3.5. Model Selection and Statistical Assessment for Conformal Barthel–Kropina Models
3.5.1. Goodness of Fit
3.5.2. Model Comparison Using Information Criteria
3.5.3. Relative Comparison: AIC and BIC
- : Models are statistically comparable.
- : Considerably less support for the model.
- : Strongly disfavored.
- : Weak evidence against the model.
- : Moderate evidence against the model.
- : Strong evidence against the model.
4. Summary and Discussion of the Results
4.1. MCMC Results
- for , ,
- for , ,
- for , .
4.2. Hubble Parameter, and Hubble Residual Results
4.3. Cosmographic Results
4.4. Dimensionless Matter Density and Conformal Factor Results
4.5. Statistical Results
5. Conclusions and Final Remarks
Institutional Review Board Statement
Informed Consent Statement
Data Availability Statement
Conflicts of Interest
References
- Weyl, H. Gravitation und Elektrizität. Sitzungsberichte der Königlich Preussischen Akademie der Wissenschaften zu Berlin 1918, 1918, 465. [Google Scholar]
- Weyl, H. Space, Time, Matter, Dover, New York, 1952.
- Scholz, E. The unexpected resurgence of Weyl geometry in late 20-th century physics. 2017; arXiv:1703.03187. [Google Scholar]
- ’t Hooft, G. Local conformal symmetry: The missing symmetry component for space and time. Int. J. Mod. Phys. D 2015, 24, 1543001. [Google Scholar] [CrossRef]
- ’t Hooft, G. Singularities, horizons, firewalls, and local conformal symmetry. 2015; arXiv:1511.04427. [Google Scholar]
- Penrose, R. Cycles of Time: An Extraordinary New View of the Universe, Bodley Head, London, UK, 2010.
- Gurzadyan, V. G.; Penrose, R. On CCC-predicted concentric low-variance circles in the CMB sky Eur. Phys. J. Plus 2013, 128, 22. [Google Scholar] [CrossRef]
- Bars, I.; Steinhardt, P. J.; Turok, N. Cyclic cosmology, conformal symmetry and the metastability of the Higgs. Physics Letters B 2013, 726, 50. [Google Scholar] [CrossRef]
- Penrose, R. On the Gravitization of Quantum Mechanics 2: Conformal Cyclic Cosmology. Foundations of Physics 2014, 44, 873. [Google Scholar] [CrossRef]
- Mannheim P., D.; Kazanas, D. Exact Vacuum Solution to Conformal Weyl Gravity and Galactic Rotation Curves. Astrophys. J. 1989, 342, 635. [Google Scholar] [CrossRef]
- Mannheim, P. D. Solution to the Ghost Problem in Fourth Order Derivative Theories. Found. Phys. 2007, 37, 532. [Google Scholar] [CrossRef]
- Mannheim, P. D. Making the Case for Conformal Gravity. Found. Phys. 2012, 42, 388. [Google Scholar] [CrossRef]
- Ghilencea, D. M. Weyl R2 inflation with an emergent Planck scale. JHEP 2019, 03, 049. [Google Scholar] [CrossRef]
- Ghilencea, D. M.; Lee, H. M. Weyl gauge symmetry and its spontaneous breaking in the standard model and inflation. Phys. Rev. D 2019, 99, 115007. [Google Scholar] [CrossRef]
- Ghilencea, D. M. Gauging scale symmetry and inflation: Weyl versus Palatini gravity. Eur. Phys. J. C 20121, 81, 510. [Google Scholar] [CrossRef]
- Ghilencea, D. M. Standard Model in Weyl conformal geometry. Eur. Phys. J. C 2022, 82, 23. [Google Scholar] [CrossRef]
- Harko, T.; Shahidi, S. Coupling matter and curvature in Weyl geometry: conformally invariant fR,Lm gravity. Eur. Phys. J. C 2022, 82, 219. [Google Scholar] [CrossRef]
- Harko, T.; Shahidi, S. Palatini formulation of the conformally invariant fR,Lm gravity theory. Eur. Phys. J. C 2022, 82, 1003. [Google Scholar] [CrossRef]
- Yang, J.-Z.; Shahidi, S.; Harko, T. Black hole solutions in the quadratic Weyl conformal geometric theory of gravity. Eur. Phys. J. C 2022, 82, 1171. [Google Scholar] [CrossRef]
- Ghilencea, D. M. Non-metric geometry as the origin of mass in gauge theories of scale invariance. Eur. Phys. J. C 2023, 83, 176. [Google Scholar] [CrossRef]
- Burikham, P.; Harko, T.; Pimsamarn, K.; Shahidi, S. Dark matter as a Weyl geometric effect. Phys. Rev. D 2023, 107, 064008. [Google Scholar] [CrossRef]
- Haghani, Z.; Harko, T. Compact stellar structures in Weyl geometric gravity. Phys. Rev. D 2023, 107, 064068. [Google Scholar] [CrossRef]
- Weisswange, M.; Ghilencea, D. M.; Stöockinger, D. Quantum scale invariance in gauge theories and applications to muon production. Phys. Rev. D 2023, 107, 085008. [Google Scholar] [CrossRef]
- Ghilencea, D. M.; Hill, C. T. Renormalization group for nonminimal ϕ2R couplings and gravitational contact interactions. Phys. Rev. D 2023, 107, 085013. [Google Scholar] [CrossRef]
- Oancea, M.; Harko, T. Weyl geometric effects on the propagation of light in gravitational fields. Phys. Rev. D 2024, 109, 064020. [Google Scholar] [CrossRef]
- Ghilencea, D. M. Quantum gravity from Weyl conformal geometry. Eur. Phys. J. C 2025, 85, 815. [Google Scholar] [CrossRef]
- P. Finsler, ¨Uber Kurven und Flächen in allgemeinen Räumen, Dissertation, Göttingen, JFM 46.1131.02 (1918); Reprinted by Birkhauser (1951).
- Chern S., S. Finsler Geometry Is Just Riemannian Geometry without the Quadratic Restriction. Notices of the American Mathematical Society 1996, 43, 959. [Google Scholar]
- Riemann, B. Habilitationsschrift, 1854. Abhandlungen der Königlichen Gesellschaft der Wissensschaften zu Göttingen 1867, 13, 1. [Google Scholar]
- Bao D.; Chern, S.-S.; Shen, Z. An Introduction to Riemann-Finsler Geometry, Graduate Texts in Mathematics, Springer-Verlag, New York, 2000.
- Javaloyes, M. A.; Sánchez, M. On the Definition and Examples of Finsler Metrics. Ann. Sc. Norm. Super. Pisa Cl. Sci. 2014, 13, 813. [Google Scholar] [CrossRef] [PubMed]
- Kropina, V. K. On Projective Finsler Spaces with a Metric of Special Form. Nauchnye Dokl. Vyss. Shkoly Fiz.-Mat. Nauk. 1959, 2, 38. [Google Scholar]
- Kropina, V. K. On projective two-dimensional Finsler spaces with a special metric. Trudy Sem. Vektor. Tenzor. Anal 1961, 11, 277. [Google Scholar]
- Yoshikawa, R.; Sabau, S.V. Kropina Metrics and Zermelo Navigation on Riemannian Manifolds. Geom. Dedicata 2014, 171, 119. [Google Scholar] [CrossRef]
- Matsumoto, M. On C-Reducible Finsler Spaces. Tensor, New Ser. 1972, 24, 29. [Google Scholar]
- Matsumoto, M. Theory of Finsler Spaces with (α,β)-Metric. Rep. Math. Phys. 1992, 31, 43. [Google Scholar] [CrossRef]
- Bacsó, S.; Cheng, X.; Shen, Z. Curvature Properties of (α,β)-Metrics. Adv. Stud. Pure Math. 2007, 48, 73. [Google Scholar]
- Antonelli, P.L.; Ingarden, R.S.; Matsumoto, M. The Theory of Sprays and Finsler Spaces with Applications in Physics and Biology; Kluwer Academic Publishers: Dordrecht, The Netherlands, 1993. [Google Scholar]
- Yoshikawa, R.; Sabau, S. V. Some remarks on the geometry of Kropina spaces. Publ. Math. Debrecen 2014, 84, 483. [Google Scholar] [CrossRef]
- Sabau, S.V.; Shibuya, K.; Yoshikawa, R. Geodesics on Strong Kropina Manifolds. Eur. J. Math. 2017, 3, 1172. [Google Scholar] [CrossRef]
- Nazim, A. Über Finslersche Räume. Dissertation, München, 1936.
- Varga, O. Zur Herleitung des invarianten Differentials in Finslerschen Räumen. Monatshefte für Math. und Phys. 1941, 50, 165. [Google Scholar] [CrossRef]
- Weinberg, S. Gravitation and Cosmology: Principles and Applications of the General Theory of Relativity, John Wiley & Sons, New York, 1972.
- Carroll, S. M. Spacetime and Geometry: An Introduction to General Relativity, Addison Wesley, San Francisco, 2004.
- Perlmutter, S. et al. Measurements of Ω and Λ from 42 High-Redshift Supernovae. Astrophys. J. 1999, 517, 565. [Google Scholar] [CrossRef]
- Schmidt B., P. et al. The High-Z Supernova Search: Measuring Cosmic Deceleration and Global Curvature of the Universe Using Type IA Supernovae. Astrophys. J. 1998, 507, 46. [Google Scholar] [CrossRef]
- Riess A., G. et al. Observational Evidence from Supernovae for an Accelerating Universe and a Cosmological Constant. Astron. J. 1998, 116, 1009. [Google Scholar] [CrossRef]
- Einstein, A. Kosmologische Betrachtungen zur allgemeinen Relativitätstheorie. Sitzungsberichte der Königlich Preussischen Akademie der Wissenschaften. Berlin, DE. 2017, 1, 142. [Google Scholar]
- Abdalla, E. et al. Cosmology intertwined: A review of the particle physics, astrophysics, and cosmology associated with the cosmological tensions and anomalies. Journal of High Energy Astrophysics 2022, 34, 49. [Google Scholar] [CrossRef]
- Ade, P. A.R. et al. Planck collaboration, Planck 2013 results. XVI. Cosmological parameters. Astron. Astrophys. 2014, 571, A16. [Google Scholar]
- Aghanim, N. et al. Planck 2018 results. VI. Cosmological parameters. Astronomy & Astrophysics 2020, 641, A6. [Google Scholar]
- Riess, A. G. et al. A 2.4% Determination of the Local Value of the Hubble Constant. Astrophys. J. 2016, 826, 56. [Google Scholar] [CrossRef]
- Bernal, J. L.; Verde, L.; Riess, A. G. The trouble with H0. JCAP 2016, 10, 019. [Google Scholar] [CrossRef]
- Freedman, W. L. Cosmology at a crossroads. Nature Astron. 2017, 1, 0121. [Google Scholar] [CrossRef]
- Ade P. A., R. et al. Planck collaboration, Planck intermediate results. XLVI. Reduction of large-scale systematic effects in HFI polarization maps and estimation of the reionization optical depth. Astron. Astrophys. 2016, 596, A107. [Google Scholar]
- Di Valentino, E.; Mena, O.; Pan, S.; Visinelli, L.; Yang, W.; Melchiorri, A.; Mota D., F.; Riess, A. G.; Silk, J. In the Realm of the Hubble tension a Review of Solutions. Class. Quant. Grav. 2021, 38, 153001. [Google Scholar] [CrossRef]
- Addazim, A. et al. Quantum gravity phenomenology at the dawn of the multi-messenger era – A review. Progress in Particle and Nuclear Physics 2022, 125, 103948. [Google Scholar] [CrossRef]
- Harko, T.; Lobo, F. S. N. Extensions of f(R) Gravity: Curvature-Matter Couplings and Hybrid Metric Palatini Theory, Cambridge University Press, Cambridge, UK, 2018.
- Nojiri, S.; Odintsov, S. D.; Oikonomou, V. K. Modified Gravity Theories on a Nutshell: Inflation, Bounce and Late-time Evolution. Phys. Rept. 2017, 692, 1. [Google Scholar] [CrossRef]
- Ford, L. H. Cosmological Particle Production: A Review. Reports on Progress in Physics 2021, 84, 116901. [Google Scholar] [CrossRef]
- Lobo, F. S. N.; Harko, T. Curvature-matter couplings in modified gravity: From linear models to conformally invariant theories. Int. J. Mod. Phys. D 2022, 31, 2240010. [Google Scholar] [CrossRef]
- Basilakos, S.; Stavrinos, P. Cosmological Equivalence between the Finsler–Randers spacetime and the DGP Gravity Model. Phys. Rev. D 2013, 87, 043506. [Google Scholar] [CrossRef]
- Triantafyllopoulos, A.; Basilakos, S.; Kapsabelis, E.; Stavrinos, P.C. Schwarzschild-like solutions in Finsler-Randers gravity. Eur. Phys. J. C 2020, 80, 1200. [Google Scholar] [CrossRef]
- Hama, R.; Harko, T.; Sabau, S. V.; Shahidi, S. Cosmological evolution and dark energy in osculating Barthel-Randers geometry. Eur. Phys. J. C 2021, 81, 742. [Google Scholar] [CrossRef]
- Kapsabelis, E.; Triantafyllopoulos, A.; Basilakos, S.; Stavrinos, P.C. Applications of the Schwarzschild-Finsler-Randers model. Eur. Phys. J. C 2021, 81, 990. [Google Scholar] [CrossRef]
- Kapsabelis, E.; Kevrekidis, P.G.; Stavrinos, P.C.; Triantafyllopoulos, A. Schwarzschild–Finsler–Randers spacetime: Geodesics, dynamical analysis and deflection angle. Eur. Phys. J. C 2022, 82, 1098. [Google Scholar] [CrossRef]
- Nekouee, Z.; Narasimhamurthy, S.K.; Manjunatha, H.M.; Srivastava, S.K. Finsler–Randers model for anisotropic constant-roll inflation. Eur. Phys. J. Plus 2022, 137, 1388. [Google Scholar] [CrossRef]
- Feng, W.; Yang, W.; Jiang, B.; Wang, Y.; Han, T.; Wu, Y. Theoretical analysis on the Barrow holographic dark energy in the Finsler–Randers cosmology. Int. J. Mod. Phys. D 2023, 32, 2350029. [Google Scholar] [CrossRef]
- Das, P.D.; Debnath, U. Possible existence of traversable wormhole in Finsler–Randers geometry. Eur. Phys. J. C 2023, 83, 821. [Google Scholar] [CrossRef]
- Triantafyllopoulos, A.; Kapsabelis, E.; Stavrinos, P.C. Raychaudhuri Equations, Tidal Forces, and the Weak-Field Limit in Schwarzshild–Finsler–Randers Spacetime. Universe 2024, 10, 26. [Google Scholar] [CrossRef]
- Kapsabelis, E.; Saridakis, E.N.; Stavrinos, P.C. Finsler–Randers–Sasaki gravity and cosmology. Eur. Phys. J. C 2024, 84, 538. [Google Scholar] [CrossRef]
- Praveen, J.; Narasimhamurthy, S.K.; Yashwanth, B.R. Exploring compact stellar structures in Finsler–Randers geometry with the Barthel connection. Eur. Phys. J. C 2024, 84, 597. [Google Scholar] [CrossRef]
- Liu, J.; Wang, R.; Gao, F. Nonlinear Dynamics in Variable-Vacuum Finsler–Randers Cosmology with Triple Interacting Fluids. Universe 2024, 10, 302. [Google Scholar]
- Nekouee, Z.; Narasimhamurthy, S.K.; Pourhassan, B.; Pacif, S.K.J. A phenomenological approach to the dark energy models in the Finsler–Randers framework. Ann. Phys. 2024, 470, 169787. [Google Scholar] [CrossRef]
- Nekouee, Z.; Chaudhary, H.; Narasimhamurthy, S.K.; Pacif, S.K.J.; Malligawad, M. Cosmological tests of the dark energy models in Finsler-Randers Space-time. J. High Energy Astrophys. 2024, 44, 19. [Google Scholar] [CrossRef]
- Yashwanth, B.R.; Narasimhamurthy, S.K.; Praveen, J.; Malligawad, M. The influence of density models on wormhole formation in Finsler–Barthel–Randers geometry. Eur. Phys. J. C 2024, 84, 1272. [Google Scholar] [CrossRef]
- Praveen, J.; Narasimhamurthy, S.K. The role of Finsler-Randers geometry in shaping anisotropic metrics and thermodynamic properties in black holes theory. New Astron. 2025, 119, 102404. [Google Scholar] [CrossRef]
- Bouali, A.; Chaudhary, H.; Csillag, L.; Hama, R.; Harko, T.; Sabau, S. V.; Shahidi, S. From Barthel–Randers–Kropina Geometries to the Accelerating Universe: A Brief Review of Recent Advances in Finslerian Cosmology. Universe 2025, 11, 198. [Google Scholar]
- Hama, R.; Harko, T.; Sabau, S. V. Dark energy and accelerating cosmological evolution from osculating Barthel–Kropina geometry. Eur. Phys. J. C 2022, 82, 385. [Google Scholar] [CrossRef]
- Bouali, A.; Chaudhary, H.; Hama, R.; Harko, T.; Sabau, S. V.; San Martín, M. Cosmological tests of the osculating Barthel–Kropina dark energy model. Eur. Phys. J. C 2023, 83, 121. [Google Scholar] [CrossRef]
- Hama, R.; Harko, T.; Sabau, S. V. Conformal gravitational theories in Barthel–Kropina-type Finslerian geometry, and their cosmological implications. Eur. Phys. J. C 2023, 83, 1030. [Google Scholar] [CrossRef]
- Handley, W. J.; Hobson, M. P.; Lasenby, A. N. POLYCHORD: Next-Generation Nested Sampling. Mon. Not. R. Astron. Soc. 2015, 453, 4384–4398. [Google Scholar] [CrossRef]
- Handley, W. J.; Hobson, M. P.; Lasenby, A. N. PolyChord: Nested Sampling for Cosmology. Mon. Not. R. Astron. Soc. Lett. 2015, 450, L61–L65. [Google Scholar] [CrossRef]
- Jeffreys, H. The Theory of Probability; Oxford University Press: Oxford, UK, 1998. [Google Scholar]
- Lewis, A. GetDist: a Python Package for Analysing Monte Carlo Samples. J. Cosmol. Astropart. Phys. 2025, 2025, 025. [Google Scholar] [CrossRef]
- Karim, M. A.; Aguilar, J.; Ahlen, S.; Alam, S.; Allen, L.; Allende Prieto, C.; Alves, O.; et al. DESI DR2 Results II: Measurements of Baryon Acoustic Oscillations and Cosmological Constraints. arXiv e-prints, 2025; arXiv:2503. [Google Scholar]
- Aghanim, N. Planck 2018 results. VI. Cosmological parameters. Astron. Astrophys. 2020, 641, A6. [Google Scholar]
- Pogosian, L.; Zhao, G.-B.; Jedamzik, K. Recombination-independent determination of the sound horizon and the Hubble constant from BAO. Astrophys. J. Lett. 2020, 904, L17. [Google Scholar] [CrossRef]
- Jedamzik, K.; Pogosian, L.; Zhao, G.-B. Why reducing the cosmic sound horizon alone cannot fully resolve the Hubble tension. Commun. Phys. 2021, 4, 123. [Google Scholar] [CrossRef]
- Pogosian, L.; Zhao, G.-B.; Jedamzik, K. A Consistency Test of the Cosmological Model at the Epoch of Recombination Using DESI Baryonic Acoustic Oscillation and Planck Measurements. Astrophys. J. Lett. 2024, 973, L13. [Google Scholar] [CrossRef]
- Lin, W.; Chen, X.; Mack, K. J. Early universe physics insensitive and uncalibrated cosmic standards: Constraints on Ωm and implications for the Hubble tension. Astrophys. J. 2021, 920, 159. [Google Scholar] [CrossRef]
- Vagnozzi, S. Seven hints that early-time new physics alone is not sufficient to solve the Hubble tension. Universe 2023, 9, 393. [Google Scholar] [CrossRef]
- Conley, A.; Guy, J.; Sullivan, M.; Regnault, N.; Astier, P.; Balland, C.; Basa, S.; Carlberg, R. G.; Fouchez, D.; Hardin, D.; Hook, I. M. Supernova constraints and systematic uncertainties from the first three years of the Supernova Legacy Survey. Astrophys. J. Suppl. Ser. 2010, 192, 1. [Google Scholar] [CrossRef]
- Brout, D.; Scolnic, D.; Popovic, B.; Riess, A. G.; Carr, A.; Zuntz, J.; Kessler, R.; Davis, T. M.; Hinton, S.; Jones, D.; Kenworthy, W. A. The Pantheon+ analysis: cosmological constraints. Astrophys. J. 2022, 938, 110. [Google Scholar] [CrossRef]
- Goliath, M.; Amanullah, R.; Astier, P.; Goobar, A.; Pain, R. Supernovae and the nature of the dark energy. Astron. Astrophys. 2001, 380, 6–18. [Google Scholar] [CrossRef]
- Jimenez, R.; Loeb, A. Constraining Cosmological Parameters Based on Relative Galaxy Ages. Astrophys. J. 2002, 573, 37–51. [Google Scholar] [CrossRef]
- Moresco, M.; Jimenez, R.; Verde, L.; Pozzetti, L.; Cimatti, A.; Citro, A. Cosmic Chronometers at z ∼2: New Constraints on the Hubble Parameter. Astrophys. J. 2018, 868, 84. [Google Scholar] [CrossRef]
- Moresco, M.; Jimenez, R.; Verde, L.; Cimatti, A.; Pozzetti, L. Setting the Stage for Cosmic Chronometers. II. Impact of Stellar Population Synthesis Models Systematics and Full Covariance Matrix. Astrophys. J. 2020, 898, 82. [Google Scholar] [CrossRef]
- Moresco, M.; Verde, L.; Pozzetti, L.; Jimenez, R.; Cimatti, A. Cosmological Constraints from Cosmic Chronometers: A New Approach. J. Cosmol. Astropart. Phys. 2012, 2012, 053. [Google Scholar] [CrossRef]
- Moresco, M. Raising the Bar: New Constraints on the Hubble Parameter with Cosmic Chronometers at z ∼2. Mon. Not. R. Astron. Soc. 2015, 450, L16–L20. [Google Scholar] [CrossRef]
- Moresco, M.; Pozzetti, L.; Cimatti, A.; Jimenez, R.; Maraston, C.; Verde, L.; Thomas, D.; Citro, A.; Tojeiro, R.; Wilkinson, D. A 6% Measurement of the Hubble Parameter at z ∼0.45: Direct Evidence of the Epoch of Cosmic Re-acceleration. J. Cosmol. Astropart. Phys. 2016, 2016, 014. [Google Scholar] [CrossRef]
- Cattoën, C.; Visser, M. Cosmographic Hubble fits to the supernova data. Phys. Rev. D 2008, 78, 063501. [Google Scholar] [CrossRef]
- Visser, M.; Cattoën, C. Cosmographic analysis of dark energy. In Dark Matter In Astrophysics And Particle Physics; Klapdor-Kleingrothaus, H.V., Krivosheina, I.V., Eds.; World Scientific Publishing Co. Pte. Ltd.: Singapore, 2009; pp. 287–300. [Google Scholar]
- Visser, M. Cosmography: Cosmology without the Einstein equations. Gen. Relativ. Gravit. 2005, 37, 1541. [Google Scholar] [CrossRef]
- Luongo, O. Cosmography with the Hubble parameter. Mod. Phys. Lett. A 2011, 26, 1459. [Google Scholar] [CrossRef]
- Visser, M. Jerk, snap and the cosmological equation of state. Class. Quantum Gravity 2004, 21, 2603. [Google Scholar] [CrossRef]
- Liddle, A.R. Information criteria for astrophysical model selection. Mon. Not. R. Astron. Soc. Lett. 2007, 377, L74. [Google Scholar] [CrossRef]
- Vrieze, S.I. Model selection and psychological theory: A discussion of the differences between the Akaike information criterion (AIC) and the Bayesian information criterion (BIC). Psychol. Methods 2012, 17, 228. [Google Scholar] [CrossRef]
- Tan, M.Y.J.; Biswas, R. The reliability of the Akaike information criterion method in cosmological model selection. Mon. Not. R. Astron. Soc. 2012, 419, 3292. [Google Scholar] [CrossRef]
- Arevalo, F.; Cid, A.; Moya, J. AIC and BIC for cosmological interacting scenarios. Eur. Phys. J. C 2017, 77, 1. [Google Scholar] [CrossRef]
- Burnham, K.P.; Anderson, D.R. Model Selection and Multimodel Inference, 2nd ed.; Springer: New York, NY, USA, 2010. [Google Scholar]
| 1 | |
| 2 | |
| 3 | |
| 4 | |
| 5 |




| Cosmological Models | Parameter | Prior | JOINT |
|---|---|---|---|
| CDM Model | |||
| Conformal | |||
| Barthel–Kropina () | |||
| Conformal | |||
| Barthel–Kropina () | |||
| Conformal | |||
| Barthel–Kropina () | |||
| Models | AIC | AIC | BIC | BIC | p-value | |||
|---|---|---|---|---|---|---|---|---|
| CDM | 1574.88 | 0.975 | 1597.04 | 0 | 1580.88 | 0 | 0.758 | 0 |
| CBR () | 1563.64 | 0.969 | 1573.64 | -23.40 | 1600.58 | 19.70 | 0.806 | 6.07 |
| CBR () | 1539.29 | 0.954 | 1549.29 | -47.75 | 1576.24 | -4.64 | 0.904 | 13.12 |
| CBR () | 1545.15 | 0.957 | 1555.15 | -41.89 | 1582.10 | 1.22 | 0.884 | 10.55 |
Disclaimer/Publisher’s Note: The statements, opinions and data contained in all publications are solely those of the individual author(s) and contributor(s) and not of MDPI and/or the editor(s). MDPI and/or the editor(s) disclaim responsibility for any injury to people or property resulting from any ideas, methods, instructions or products referred to in the content. |
© 2025 by the authors. Licensee MDPI, Basel, Switzerland. This article is an open access article distributed under the terms and conditions of the Creative Commons Attribution (CC BY) license (http://creativecommons.org/licenses/by/4.0/).
