Preprint
Article

This version is not peer-reviewed.

Application of the Bivariate Exponentiated Gumbel Distribution for Extreme Rainfall Frequency Analysis in Contrasting Climates of Mexico

A peer-reviewed article of this preprint also exists.

Submitted:

15 September 2025

Posted:

16 September 2025

You are already at the latest version

Abstract
This study proposes a bivariate distribution with Exponentiated Gumbel (BEG) marginals to estimate return levels of annual maximum daily rainfall in Mexico. A dataset of 181 gauging stations from two contrasting climatic regions was analyzed, and the BEG model was compared against the Generalized Extreme Value (GEV), Gumbel (EVI), and Exponentiated Gumbel (EG) distributions. Parameters were estimated using the maximum likelihood method. Goodness-of-fit assessment based on AICc and BIC indicated that 71.8% of the samples were better described by the BEG model than by the univariate alternatives. Moreover, differences in return level estimates became more pronounced at higher non-exceedance probabilities. These results suggest that the BEG distribution provides a robust and reliable tool for the frequency analysis of extreme rainfall.
Keywords: 
;  ;  ;  ;  ;  

1. Introduction

[1] highlighted that variations in the hydrological cycle have profound impacts on human activities, including an increased risk of flooding as well as the occurrence and severity of droughts. Floods are among the most damaging natural hazards worldwide, and their impacts have intensified due to factors such as irregular human settlements near rivers, deforestation, and continuous land-use changes.
Mexico is especially vulnerable to hydrometeorological events that cause widespread damage across its territory. Between 2007 and 2020, heavy rains, floods, and tropical cyclones affected 27.8 million people, resulting in 1,173 fatalities and economic losses exceeding 24.6 billion USD [2]. Analyses of rainfall patterns in Mexico [3,4] indicate that floods caused by extreme rainfall events are likely to become more frequent and intense in the future. Given the potential consequences of underestimating or overestimating rainfall quantiles—ranging from hydraulic structure failure to unnecessarily inflated construction costs—reliable statistical tools are essential for estimating their magnitude and frequency.
Numerous at-site and regional rainfall frequency analyses have been conducted worldwide, and results consistently demonstrate that no single distribution universally fits annual maximum daily rainfall (AMDR) data. Although the Gumbel distribution (EVI) is widely applied, studies such as [5] in Egypt have shown that it is not always appropriate, while in other regions it has been identified as the most suitable model [6,7,8,9,10,11,12,13,14,15].
In Italy, [16] analyzed AMDR records from 297 gauging stations and found that the Fréchet distribution (EVIII) provided the best fit. Their study also revealed significant differences in return periods and return levels compared to results from EVI, reversed Weibull (EVII), Pareto, Lognormal, and Gamma distributions, echoing earlier findings by [17,18]. The EVI, EVII, and EVIII distributions are all special cases of the Generalized Extreme Value (GEV) distribution, which has often been identified as the best-fitting model for AMDR samples in multiple regions [19,20,21,22,23,24,25,26,27,28]. Similarly, the Log-Pearson Type III (LPIII) distribution has also proven effective in modeling AMDR series [29,30,31,32,33,34].
In recent years, the Exponentiated Gumbel (EG) distribution was proposed by [35], who demonstrated its improved performance in climate modeling compared to the EVI and GEV distributions. [36] applied EG, exponentiated Weibull (EW), exponentiated Fréchet (EF), and their mixed forms to AMDR series from 19 Mexican stations, showing that exponentiated and mixed exponentiated distributions provide flexible and reliable alternatives for modeling extreme rainfall. More recently, [37] compared the Gumbel and EG distributions, concluding—based on AIC and BIC criteria—that EG offered a more flexible fit for hydrological datasets, corroborating earlier findings by [35].
Regional frequency analysis has also emerged as a practical approach to reduce uncertainties associated with short or incomplete rainfall records at gauged sites. In this context, multivariate joint estimation models have proven valuable, as they enhance the estimation of marginal distribution parameters and improve regional at-site estimates of return levels by incorporating information from neighboring sites within homogeneous regions. Bivariate approaches have shown promise in flood frequency analysis [38,39,40,41,42,43,44,45,46,47].
In this study, a bivariate distribution with Exponentiated Gumbel marginals is proposed to improve the estimation of marginal parameters and corresponding quantiles. The performance of this model is compared with that of univariate probability distributions, namely GEV, EVI, and EG.

2. Materials and Methods

2.1. Study Area

Mexico is characterized by a summer–rainy and winter–dry regime, except in the northwest. Annual precipitation ranges from <500 mm in the north and northwest to >2,000 mm in the humid south and southeast. Two states that illustrate this climatic contrast are Coahuila, in northern Mexico, and Tabasco, in the southeast (Figure 1).
Coahuila (151,563 km²) has a semi-warm summer and cold winter climate, with a mean annual temperature of 20 °C (min. 4 °C, max. 30 °C). Rainfall is scarce, averaging ~400 mm yr⁻¹, concentrated in summer. Maximum daily rainfall varies between 11.3 and 453 mm. Recent extreme events have produced floods affecting Torreon, Monclova, and Piedras Negras.
Tabasco (25,267 km²) is predominantly warm-humid, with abundant summer rains (75.97%), year-round humid conditions (19.64%), and sub-humid summer rains (4.39%). The mean annual temperature is 27 °C (min. 18.5 °C, max. 36 °C). Rainfall occurs throughout the year, peaks from June to October, and averages 2,550 mm yr⁻¹. Maximum daily rainfall ranges from 38.8 to 816.9 mm.
The dataset consists of records from 106 rain gauge stations in Coahuila and 75 stations in Tabasco, obtained from [48]. For each station, annual maximum daily rainfall values were analyzed, with detailed station characteristics provided in Table 1 and Table 2.

2.2. Delineation of Homogeneous Regions

The joint parameter estimation model requires that all samples belong to the same homogeneous region. In this study, regions were delineated using the coefficient of variation (Cv) as the measure of comparability among stations.
In the first stage, three initial zones were identified by setting confidence limits defined as the mean Cv ± one standard deviation. At this stage, most stations were concentrated in region 2 (Figure 2), leaving only the stations in regions 1 and 3 distinctly separated.
In the second stage, the stations within region 2 were reclassified by recalculating new confidence limits and repeating the same procedure. This subdivision resulted in four regions (1, 2, 4, and 5) (Figure 3).
The process was repeated iteratively, each time focusing on the stations remaining in the central region (closer to the mean Cv value). In this case, region 3 was progressively subdivided until a sufficient distribution of stations across regions was achieved. After the final iteration, seven homogeneous regions were identified (Figure 4).
It is important to note that the total number of stages required depends on the number of stations analyzed, since the central group—located around the mean Cv—will ultimately determine how many subdivisions are necessary to achieve adequately homogeneous regions.

2.3. Univariate Distributions

a. GEV distribution
The cumulative distribution function is [49]:
F x = e x p 1 x ε λ β 1 β
where ε , λ , β   are the location, scale, and shape parameters, respectively.
And
f x = 1 λ e x p 1 x ε λ β 1 β 1 x ε λ β 1 β 1
The log-likelihood for the GEV distribution is:
ln L x ; ε , λ , β = n ln λ + i = 1 n 1 x i ε λ β 1 β + 1 β 1 i = 1 n ln 1 x i ε λ β
The quantile x ^ T corresponding to a given return period T is:
x ^ T = ε ^ + λ ^ 1 ln 1 1 T β β ^
b. EVI (Gumbel) distribution
F x = e x p e x p x ν α
f x = 1 α e x p e x p x ν α e x p x ν α
where ν , α   are the location and scale parameters α > 0
ln L x ; ν , α = n ln α i = 1 n e x p x ν α + i = 1 n x i ν α
x ^ T = ν ^ α ^ ln ln 1 1 T
c. Exponentiated Gumbel distribution (EG) [50].
F x = 1 1 e x p e x p x μ σ κ
f x = κ σ 1 e x p e x p x μ σ κ 1 e x p e x p x μ σ e x p x μ σ
ln L x ; μ , σ , κ = n ln κ n ln σ + κ 1 i = 1 n ln 1 e x p e x p x i μ σ   i = 1 n e x p x i μ σ + i = 1 n x i μ σ
x ^ T = μ ^ σ ^ l n l n 1 1 T 1 κ ^

2.4. Biexponentiated Gumbel Distribution (BEG)

As already mentioned, multivariate extreme value distributions have shown to be a reliable option for fitting hydrological variables. [51] compared the mixed and logistic bivariate models and concluded that the logistic model (LM) is the best option in flood frequency analysis.
The LM is [52]:
log F x , y , m m =   log F x m   + log F y m
where x and y denote the extreme events gauged in a couple of neighboring sites.
and
f x , y , m = 2 F x , y , m x y ; f x , y , m 0
The bivariate likelihood function is:
L x , y , θ = i = 1 n f x i , y i , θ
The log-likelihood function is:
ln L x , y , θ = i = 1 n ln f x i , y i , θ
The expression (16) is used when both samples share a common length of record, however, the general form for considering different sizes is [53]:
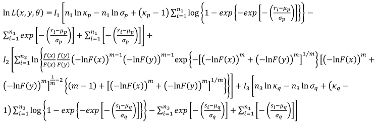
ln L x , y , θ = I 1 i = 1 n 1 ln f r i , θ + I 2 i = 1 n 2 ln f x i , y i , θ + I 3 i = 1 n 3 ln f s i , θ
Marginals F(x) and F(y) are proposed to be EG distributions. The BEG log-likelihood function to maximize in the parameter estimation procedure is:
Preprints 176869 i001
where x and y are the variables in the common period (CP) with length n 2 , r denotes to the variable x or y with length n 1   before the CP, s is the variable x or y with length n 3 after the CP; I j = 1   if n j > 0   or   I j = 0   if n j = 0 for j = 1, 2, 3; p =1 and q = 1 if r or s represent to variable x; p = 2 and q = 2 if r or s characterize to variable y, and
F x = 1 1 e x p e x p x i μ 1 σ 1 κ 1
f x = κ 1 σ 1 1 e x p e x p x i μ 1 σ 1 κ 1 1 e x p e x p x i μ 1 σ 1 e x p x i μ 1 σ 1
F y = 1 1 e x p e x p y i μ 2 σ 2 κ 2
f y = κ 2 σ 2 1 e x p e x p y i μ 2 σ 2 κ 2 1 e x p e x p y i μ 2 σ 2 e x p y i μ 2 σ 2
The Rosenbrock optimization algorithm for constrained variables [54] was selected for estimating the univariate and bivariate parameters by the direct maximization of equations (3), (7), (11), and (18).

2.5. Selection of Best Fit

The selection of fit between the Empirical and Theoretical distribution of the AMDR was based on the AICc and BIC goodness of fit tests.
The AIC was proposed by Akaike [55]:
AIC = 2 ln L θ ^ + 2 p
while the BIC is [56]:
BIC = 2 ln L θ ^ + p ln n
where ln L θ ^ represents the log-likelihood of empirical distribution, p the number of maximum-likelihood estimates of the parameters, and n the length of record.
For small n, a corrected version of AIC is proposed as [57]:
AICc = AIC + 2 p p + 1 n p 1
Distribution having least value of AICc, or BIC is considered as best model.

2.6. Reliability of Estimated Quantiles

It is very important to evaluate whether the BEG distribution provides more accurate and reliable quantile estimates than traditional univariate approaches. This evaluation is essential in hydrological frequency analysis, since underestimation of quantiles can increase the risk of hydraulic structure failure, while overestimation may result in unnecessarily high construction costs. To assess reliability, quantile estimates obtained from the BEG model were compared with those from univariate distributions using two statistical criteria: bias (BIAS) and mean squared error (MSE). This framework allowed us to determine not only the accuracy of the estimated quantiles but also the extent to which the joint estimation procedure enhances the transfer of information across sites, thereby improving the robustness of extreme rainfall frequency analysis.
To formalize this evaluation, the reliability of estimated quantiles was expressed in terms of bias and mean squared error, which are defined as follows:
Let ψ ^ be the quantile to be computed by using the BEG distribution:
BIAS = m ψ ^ ψ
MSE = S 2 ψ ^ + m ψ ^ ψ 2
For the number of simulated samples “ n s
m ψ ^ = 1 n s i = 1 n s ψ ^ i
And
S 2 ψ ^ = 1 n s i = 1 n s ψ ^ i m ψ ^ 2
When estimating quantiles is desirable to have unbiased and minimum MSE estimators.

3. Results

A procedure of data generation was performed to show if the quantiles obtained through of the bivariate joint estimation of parameters are more reliable with those obtained by its univariate counterpart.
For the EG distribution, data were generated using population parameters μ 1 = 15.8 , σ 1 = 2.5 and κ 1 = 1.3 with sample sizes n = 10, 20 and 50. A total of 1,000 simulated samples were considered for each n.
For the BEG distribution, quantiles were obtained by combining samples with sizes n1-n2: 10-10, 10-20, 20-20, 20-50, 50-50 and 50-100. Comparisons were performed for non-exceedance probabilities of 0.50, 0.80, 0.90. 095 0.98 and 0.99. The associated site has population parameters μ 2 = 18.7 , σ 2 = 3.0 and κ 2 = 1.1 .
Results (Table 3 and Table 4) indicate that as n 2   increased relative to n 1 , both BIAS and MSE of the shorter series decreased. This demonstrates an effective transfer of information when parameters are jointly estimated, supporting the conclusion that quantiles computed using the BEG distribution are more reliable than those obtained from the univariate case.
The rain gauge stations in Coahuila and Tabasco were classified into homogeneous regions by applying the delineation procedure previously described. This methodological approach yielded nine regions in Coahuila (Table 5) and seven regions in Tabasco (Table 6), ensuring consistency with the adopted regionalization framework.
The analysis of the Coahuila dataset considered all possible pairwise station combinations within each homogeneous region to evaluate the dependence structure of extreme rainfall. Table 7 and Table 8 illustrate representative examples for selected stations, showing the BEG model combinations applied (Table 7) and the corresponding return level estimates (Table 8). When extended to the complete set of stations, the procedure enabled a systematic assessment of return levels using the BEG framework. For comparison, alternative univariate models—Gumbel, Generalized Extreme Value (GEV), and Exponentiated Gumbel—were also fitted to the same stations, and the resulting return levels were ranked according to goodness-of-fit statistics, including the Akaike Information Criterion (AIC), and Bayesian Information Criterion (BIC) (Table 9). Notably, in 65% of the stations in Coahuila the best fit was achieved with the BEG distribution, highlighting its reliability for modeling extreme rainfall in this region.
A similar procedure was applied in Tabasco, where all possible station pairs within each homogeneous region were analyzed. Table 10 presents the parameters obtained for the best BEG combination at each station. Return levels derived from the BEG distribution were then compared with those obtained from alternative univariate models (Gumbel, GEV, and Exponentiated Gumbel), and the results were ranked according to statistical criteria (AIC and BIC) (Table 11). In this case, 81% of the stations achieved the best fit with the BEG distribution, confirming the robustness of this approach under the markedly different climatic conditions of southeastern Mexico.
Together, these results demonstrate that the BEG distribution consistently outperforms classical models, providing the best fit in both the arid to semi-arid conditions of Coahuila and the humid tropical environment of Tabasco. This consistency across regions and evaluation metrics underscores the versatility of the BEG framework for regional frequency analysis in contrasting hydroclimatic settings.

4. Discussion

The results obtained in Coahuila and Tabasco demonstrate the advantages of adopting flexible probability models such as the Bivariate Exponentiated Gumbel (BEG) distribution for extreme rainfall analysis. In both regions, the BEG framework provided the best fit for a majority of stations—65% in Coahuila and 81% in Tabasco—when compared to the classical Gumbel, Generalized Extreme Value (GEV), and Exponentiated Gumbel distributions. This superior performance, confirmed by goodness-of-fit criteria including AIC and BIC, highlights the ability of the BEG model to capture the dependence structure of extreme events more effectively than univariate alternatives.
The simulation experiments reinforce this conclusion. By jointly estimating parameters across paired samples, the BEG approach significantly reduced bias and mean squared error in quantile estimation, particularly as one sample length increased relative to the other. This result demonstrates the effective transfer of information between series, a feature that is especially relevant in hydrological contexts where records are often short, fragmented, or incomplete. In contrast, univariate models produced higher estimation errors under identical conditions, confirming the greater robustness of BEG.
An important aspect of these findings is the consistency of the BEG performance across contrasting climatic contexts. In Coahuila, a predominantly arid to semi-arid region, rainfall extremes are generally short-lived and spatially heterogeneous, which complicates regionalization and frequency analysis. Conversely, Tabasco is located in a humid tropical environment where rainfall extremes are often more spatially extensive and influenced by large-scale atmospheric dynamics. Despite these marked hydroclimatic differences, the BEG distribution consistently outperformed traditional models, underscoring its robustness and adaptability.
The systematic evaluation of all possible station pairs within homogeneous regions further strengthens the validity of the results. This approach ensures that spatial dependence is explicitly considered, rather than assuming independence between stations—a limitation common in univariate frequency analysis. The strong performance of the BEG distribution suggests that bivariate or multivariate models may be more appropriate for regions with high spatial variability, particularly where water resource planning and hydraulic design require accurate estimation of joint extremes.
From a practical perspective, the improved fit obtained with the BEG distribution has direct implications for risk management and infrastructure design. Underestimation of return levels, especially for long return periods, can lead to inadequate sizing of hydraulic structures and increased vulnerability to extreme events. By providing more reliable estimates, the BEG framework contributes to reducing uncertainty in hydrological design, supporting more resilient adaptation strategies in the face of climate variability and change.
Finally, these results align with recent studies emphasizing the importance of moving beyond stationary univariate models in hydrology. The incorporation of flexible, bivariate approaches not only improves statistical performance but also offers a more realistic representation of rainfall extremes, particularly in regions with complex climatic dynamics. The outcomes from Coahuila and Tabasco therefore provide empirical evidence supporting the broader adoption of BEG-based regional frequency analysis in Mexico and comparable hydroclimatic contexts.

5. Conclusions

This study applied the Bivariate Exponentiated Gumbel (BEG) distribution to extreme rainfall analysis in Coahuila and Tabasco, two Mexican states with contrasting climatic conditions. The main conclusions are as follows:
Across the stations analyzed, the BEG distribution provided the best fit in 65% of the cases in Coahuila and 81% in Tabasco, outperforming classical alternatives such as the Gumbel, Generalized Extreme Value (GEV), and Exponentiated Gumbel distributions. This performance was consistently confirmed by statistical indicators including AIC and BIC.
Simulation experiments showed that BEG reduced bias and mean squared error when estimating quantiles, especially for short or heterogeneous samples. The joint estimation of parameters allowed effective transfer of information, resulting in more reliable quantiles than those obtained from univariate approaches.
The BEG model demonstrated strong adaptability in both arid to semi-arid conditions (Coahuila) and humid tropical conditions (Tabasco), underscoring its versatility as a tool for regional frequency analysis of extreme rainfall.
The systematic evaluation of all possible pairwise station combinations within homogeneous regions captured spatial dependence more effectively than univariate models. This methodological strength enhances the reliability of rainfall return level estimates, particularly for long return periods.
The improved accuracy of return level estimates obtained with the BEG distribution can reduce underestimation of design events, thereby contributing to safer and more resilient hydraulic infrastructure, as well as supporting climate adaptation planning in water management.
In summary, the BEG distribution proves to be a reliable and flexible alternative for regional extreme rainfall analysis in Mexico. Its demonstrated robustness suggests that it can be extended to other regions with similar hydroclimatic variability, providing a valuable tool for both scientific research and applied hydrological practice. Future research should explore the application of the BEG model under non-stationary conditions, test its performance in multivariate settings that include variables such as streamflow or temperature, and assess its potential for integration into climate change impact studies.

Data Availability Statement

Data will be made available at a reasonable request. Note: Please confirm or update DAS at revision which version we should follow next. DAS type which you selected in the system as follow: Data available in a publicly accessible repository; The original data presented in the study are openly available in [repository name, e.g., FigShare] at [DOI/URL] or [reference/accession number]. Or select an alternative template from the options available through the following link: https://www.mdpi.com/ethics#_bookmark21.

Conflicts of Interest

The author declares no conflicts of interest.

Abbreviations

The following abbreviations are used in this manuscript:
BEV Bivariate Extreme Value Distribution
FFA Flood Frequency Analysis
GEV Generalized Extreme Value
R Homogeneous Region
T Return Period

References

  1. Held, I., and B. Soden, 2006: Robust responses of the hydrological cycle to global warming. J. Clim., 19:5686-5699. [CrossRef]
  2. CENAPRED, 2021: Impacto Socioeconómico de los principales desastres ocurridos en la República Mexicana. Centro Nacional de Prevención de Desastres. Versiones del 2007 al 2020. Secretaria de Seguridad y Protección Ciudadana. Gobierno de México. http://www.cenapred.unam.mx/PublicacionesWebGobMX/buscar_buscaSubcategoria.action.
  3. Jáuregui, E., 2000: El Clima de la Ciudad de México. Instituto de Geografía, UNAM and Plaza y Valdés Editores. 131 p.
  4. Peralta-Hernández, A., Balling, R. and Barba-Martínez, L., 2009: Comparative analysis of indices of extreme rainfall events: Variations and trends from southern México. Atmosfera, 22(2): 219-228.
  5. Gado, T., Salama, A., and B. Zeidan, 2021: Selection of the best probability models for daily annual maximum rainfalls in Egypt. Theor. Appl. Climatol., 144:1267-1284. [CrossRef]
  6. Melice, J-L., and Reason, Ch., 2007: Return period of extreme rainfall at George, South Africa. South Afr. J. Sci., 103: 499-501.
  7. Nadarajah, S. and D. Choi, 2007: Maximum daily rainfall in South Korea. J Earth Syst. Sci., 116(4): 311-320. [CrossRef]
  8. Momin, U., Kulkarni, P., Horaginamani, M., Ravichandran, M., Patel, A., and H. Kousai, 2011: Consecutive days maximum rainfall analysis by Gumbel´s extreme value distribution for southern Telangana. Ind. J. Nat. Sci., 2(7): 408-412.
  9. Chifurira, R., and D. Chikobvu, 2014: Modelling extreme maximum annual rainfall for Zimbabwe. Proceedings of the 56th Annual Conference of the South African Statistical Association. January 2014. 9-16.
  10. Manzano-Agugliaro, F., Zapata-Sierra, A., and J. Rubi-Maldonado, 2014: Assessment of obtaining IDF curve methods for Mexico. Tech. Sci. Water., 5(3):149-158.
  11. Vitor, R., Rogeiro, C., Marciano, A., Silva, C., and A. Souza, 2014: Performance of the probability distribution models applied to heavy rainfall daily events. Sci. Agrotechnology., 38(4):335-342. [CrossRef]
  12. Asim, M., and S. Nath, 2015: Study on rainfall probability analysis at Allahabad District of Uttar Pradesh. Journal of Biology, Agric. Healthcare., 5(11):214-222.
  13. Dreux, R., Vieira, J., Wolff, W., and M. Folegatti, 2016: Daily maximum annual rainfall statistical regionalization in Andalusia. X Congreso Internacional AEC: Clima, Sociedad, riesgos y ordenación del territorio, 1:87-96. [CrossRef]
  14. Baghel, H., Mittal, H., Singh, P., Yadav, K., and S. Jain, 2019: Frequency analysis of rainfall data using probability distribution models. Int. J. Curr. Microbiol. Appl. Sci., 8(6):1390-1396. [CrossRef]
  15. Amoakowaah, M., Kofitze, L., Omari, A., Ilimoan E., Quansah, E., Aryee, J., and K. Preko, 2021: Estimation of the return periods of maximum rainfall and floods at the Pra river catchment, Ghana, west Africa using the Gumbel extreme value theory. Heliyon, 7:1-13. [CrossRef]
  16. Moccia, B., Mineo, C., Ridolfi. E., Russo, F., and F. Napolitano, 2021: Probability distributions of daily rainfall extremes in Lazio and Sicily, Italy, and design rainfall inferences. J. Hydrol. Reg. Stud., 33(2021)100771. [CrossRef]
  17. Koutsoyiannis, D., 2004a: Statistics of extremes and estimation of extreme rainfall: I. Theoretical investigation. Hydrol. Sci. J., 49(4):575-590. [CrossRef]
  18. Koutsoyiannis, D., 2004b: Statistics of extremes and estimation of extreme rainfall: II. Empirical investigation of long rainfall records. Hydrol. Sci. J., 49(4):591-610. [CrossRef]
  19. Onibon., H., Ouarda, T., Barbet, M., St-Hilaire, A., Bobee, B., and P. Bruneau, 2004: Analyse fréquentielle régionale des précipitations journalières maximales annuelles au Québec, Canada. Hydrol. Sci. J., 49(4):717-735. [CrossRef]
  20. Villarini, G., 2012: Analyses of annual and seasonal maximum daily rainfall accumulations for Ukraine, Moldova, and Romania. Int. J. Climatol., 32: 2213-2226.
  21. Barbosa, E., Lucio, P., and C. Santos C, 2015: Seasonal analysis of return periods for maximum daily precipitation in the Brazilian Amazon. J. Hydrometeorol., 16:973-984. [CrossRef]
  22. Nguyen, T., El Outayek, S., Hee, S., and V., Van Nguyen, 2017: A Systematic approach to selecting the best probability models for annual maximum rainfall – A case study using data in Ontario (Canada). J. Hydrol., 553: 49-58. [CrossRef]
  23. Boudrissa, N., Cheraitia, H., and L. Halimi, 2017: Maximum daily yearly rainfall in northern Algeria using generalized extreme value distributions from 1936 to 2009. Meteorol. Appli., 24:114-119. [CrossRef]
  24. Alam, A., Emura, K., Farnham, C., and J. Yuan, 2018: Best-Fit probability distributions and return periods for maximum monthly rainfall in Bangladesh. Climate, 6(9):2-16. [CrossRef]
  25. Moujahid, M., Stour, L., Agoumi, A., and A. Saidi, 2018: Regional approach for the analysis of annual maximum daily precipitation in northern Morocco. Weather Clim. Extremes, 21:43-51. [CrossRef]
  26. Mlynski, D., Walega, A., Petroselli, A., Tauro, F., and M. Cebulska, 2019: Estimating maximum daily precipitation in the upper Vistula basin, Poland. Atmosphere, 10(43):1-17. [CrossRef]
  27. Garcia-Marin, A., Morbidelli, R., Saltalippi, C., Cifrodelli, M., Estevez, J., and A. Flammini, 2019: On the choice of the optimal frequency analysis of annual extreme rainfall by multifractal approach. J. Hydrol., 575:1267-1279. [CrossRef]
  28. Batista, M., Coelho., De Mello., C., and M. De Olivera, 2019: Spatialization of the annual maximum daily rainfall in southeastern Brazil. Engenharia Agricola, 39(1)97-109. [CrossRef]
  29. Mayooran, T., and A. Laheetharan, 2014: The statistical distribution of annual maximum rainfall in Colombo District. Sri Lankan J. Appli. Stat., 15(2): 107-130. [CrossRef]
  30. Thevaraja, M., and L. Arampamoorthy, 2014: The statistical distribution of annual maximum rainfall in Colombo District. Sri Lankan J. Appli. Stat., 15(2):107-130. [CrossRef]
  31. Kumar, R., and A. Bhardwaj, 2015: Probability analysis of return period pf daily maximum rainfall in annual data set of Ludhiana, Punjab. Indian J. Agric. Res., 49(2) 160-164. [CrossRef]
  32. Amin, M., Rizwan, M., and A. Alazba, 2016: A best-fit probability distribution for the estimation of rainfall in northern regions of Pakistan. Open Life Sci., 11(1):432-440. [CrossRef]
  33. Yuan, J., Emura, K., Farnham, C., and A. Alam, 2018: Frequency analysis of annual maximum hourly precipitation and determination of best fit probability distribution for regions in Japan. Urban Clim., 24:276-286. [CrossRef]
  34. Nassif, W., Al-Taai, O., Mohammed, A., and H. Al-Shamarti, 2021: Estimate probability distribution of monthly maximum daily rainfall of Iraq. J. Phys. Conf. Ser., 1804(2021)012078. [CrossRef]
  35. Nadarajah, S., 2006: The exponentiated Gumbel distribution with climate application. Environmetrics, 17: 13-23. [CrossRef]
  36. Escalante-Sandoval, C., 2007: Estimación de lluvias de diseño con distribuciones exponenciadas y exponenciadas mezcladas en la Costa de Chiapas. Ing. Hidra. Mex., 22(4):103-113.
  37. Abdollahi, A., 2021: The comparison between Gumbel and exponentiated Gumbel Distribution and their application in hydrological process. Am. J. Comput. Inf. Technol., 9(3):80.
  38. Gumbel, E. J., 1959: Multivariate distributions with given margins. Revista da faculdade de Ciencias, Serie A 2(2): 178-218.
  39. Gumbel, E. J., 1960. Distributions des valeurs extremes en plusiers dimensions. Publications de l’Institute de Statistique de l’Université de Paris, 9 : 171-173.
  40. Gumbel, E. J., 1960: Multivariate extremal distributions. Bul. Int. Stat. Inst., 39(2): 471-475.
  41. Multivariate extreme value distributions in hydrological analyses. In Water for the Future: Hydrology in Perspective. IAHS Publication 164: 111-119.
  42. Escalante-Sandoval, C., and J. Dominguez., 1997: Parameter estimation for bivariate extreme value distribution by maximum entropy. Hydrol. Sci. Technol., AIH, 13: 1-10.
  43. Yue, S., 2000: The bivariate lognormal distribution to model a multivariate flood episode. Hydrological Processes, 14: 2575-2588. [CrossRef]
  44. Yue, S., 2001: A bivariate gamma distribution for use in multivariate flood frequency analysis, Hydrol. Processes., 15: 1033-1045. [CrossRef]
  45. Yue, S., and Rasmussen, P., 2002: Bivariate frequency analysis: discussion of some useful concepts in hydrological application. Hydrol. Processes., 16: 2881-2898. [CrossRef]
  46. Yue, S., and Wang, C., 2004: A comparison of two bivariate extreme value distributions. Stochastic Environ. Res., 18: 61-66. [CrossRef]
  47. Escalante-Sandoval, C., 2008: Application of bivariate extreme value distribution to flood frequency analysis: a case study of Northwestern Mexico. Nat. Hazard., 42:37-46. [CrossRef]
  48. Comisión Nacional del Agua (CONAGUA), 2019: Base de datos climatológica nacional, CLICOM system. http//clicom-mex.cisese.mx.
  49. Natural Environment Research Council (NERC), 1975: Flood Studies Report. Vol. I. Hydrologic Studies. Whitefriars Press, London.
  50. Nadarajah, S., 2006: The exponentiated Gumbel distribution with climate application. Environmetrics, 17:13-23. [CrossRef]
  51. Yue, S., Wang, C., 2004: A comparison of two bivariate extreme value distribution. Stochastic Environ. Res, Risk Assess, 18: 61-66. [CrossRef]
  52. Gumbel, E. J., 1961: Bivariate Logistic Distributions. J. Ame. Stat. Assoc., 56(294): 335-349. [CrossRef]
  53. Raynal, J., 1985: Bivariate Extreme Value Distribution Applied to Flood frequency Analysis. PhD dissertation. Civil Engineering Department, CSU, USA. 237p.
  54. Kuester, J., and J. Mize, 1973: Optimization Techniques with FORTRAN. McGraw-Hill, USA. 500 pp.
  55. Akaike, H., 1974: A new look at the statistical identification model. IEEE Trans. Autom. Control, 6:716-723.
  56. Schwarz, G., 1978: Estimating the dimension of a model. Ann. Stat., 6(2): 461-464.
  57. Bunham, K., and D. Anderson, 2004: Multimodel inference: understanding AIC and BIC in model selection. Sociolo. Methods Res., 33:261-304. [CrossRef]
Figure 1. Location of the study areas within Mexico.
Figure 1. Location of the study areas within Mexico.
Preprints 176869 g001
Figure 2. First stage for delineation of homogeneous regions.
Figure 2. First stage for delineation of homogeneous regions.
Preprints 176869 g002
Figure 3. Second stage for delineation of homogeneous regions.
Figure 3. Second stage for delineation of homogeneous regions.
Preprints 176869 g003
Figure 4. Final stage for delineation of homogeneous regions.
Figure 4. Final stage for delineation of homogeneous regions.
Preprints 176869 g004
Table 1. List of 106 rain gauge stations in Coahuila and their corresponding characteristics.
Table 1. List of 106 rain gauge stations in Coahuila and their corresponding characteristics.
No (1) (2) (3) (4) (5) (6) (7) No (1) (2) (3) (4) (5) (6) (7)
1 5001 100.58 27.93 370 64 1950-2013 0.567 54 5068 100.99 29.16 330 27 1987-2013 0.508
2 5002 100.83 28.33 374 61 1950-2010 0.472 55 5069 101.51 27.87 490 34 1980-2013 0.402
3 5003 100.85 25.45 1660 20 1956-1975 0.685 56 5074 100.92 28.49 360 23 1979-2001 0.571
4 5004 102.63 25.12 1300 50 1967-2016 0.475 57 5075 100.85 28.35 380 23 1979-2001 0.570
5 5005 100.76 26.84 582 45 1967-2011 0.662 58 5081 101.11 25.12 2100 45 1969-2013 0.407
6 5006 100.76 26.84 582 41 1970-2010 0.466 59 5085 101.11 25.12 2100 27 1987-2013 0.553
7 5007 103.12 25.78 1105 67 1950-2016 0.428 60 5086 100.96 29.04 340 27 1987-2013 0.685
8 5008 101.38 27.96 380 34 1980-2013 0.331 61 5130 101.32 25.85 1100 45 1969-2013 0.526
9 5009 102.07 26.97 730 33 1981-2013 0.459 62 5133 103.25 25.33 1211 47 1970-2016 0.614
10 5011 101.08 26.13 936 59 1955-2013 0.559 63 5135 103.29 28.09 1080 24 1990-2013 1.424
11 5013 102.95 28.64 1060 35 1979-2013 0.641 64 5136 100.86 24.96 2110 34 1980-2013 0.442
12 5015 102.82 28.80 1040 24 1990-2013 0.516 65 5139 102.94 25.49 1110 67 1950-2016 1.054
13 5016 101.48 25.38 1400 45 1969-2013 0.418 66 5140 100.95 25.54 1400 32 1980-2011 0.773
14 5018 102.01 25.73 1140 56 1961-2016 0.427 67 5141 101.03 24.96 1920 60 1954-2013 0.508
15 5019 101.42 26.91 615 24 1987-2010 0.567 68 5142 101.40 25.70 1150 45 1969-2013 0.654
16 5020 101.52 27.87 490 35 1979-2013 0.580 69 5144 102.27 26.61 800 33 1981-2013 0.451
17 5021 101.25 27.92 369 34 1980-2013 0.290 70 5145 101.22 25.25 1840 45 1969-2013 0.534
18 5022 102.40 27.31 1100 42 1960-2001 0.552 71 5146 100.83 25.21 2100 60 1954-2013 0.699
19 5023 100.99 29.16 340 27 1987-2013 0.543 72 5147 101.23 27.23 463 34 1980-2013 0.694
20 5024 102.17 25.44 1500 56 1961-2016 0.474 73 5148 100.34 25.28 1740 60 1954-2013 0.904
21 5025 100.52 28.70 250 32 1979-2010 0.390 74 5149 100.53 25.34 2420 60 1954-2013 0.825
22 5026 103.47 25.54 1223 42 1969-2010 0.448 75 5150 101.43 27.18 430 33 1981-2013 0.452
23 5027 103.34 25.70 1120 61 1950-2010 0.557 76 5151 101.25 25.98 920 59 1955-2013 0.500
24 5028 103.05 25.76 1110 67 1950-2016 0.428 77 5152 101.26 26.53 820 33 1981-2013 0.426
25 5029 103.28 25.07 1300 50 1967-2016 0.773 78 5153 101.42 26.77 743 24 1987-2010 0.565
26 5030 100.62 27.52 272 64 1950-2013 0.421 79 5155 101.79 27.05 640 33 1981-2013 0.510
27 5031 101.00 27.42 360 64 1950-2013 0.472 80 5156 101.40 27.89 430 34 1980-2013 0.386
28 5032 100.98 25.53 1470 62 1950-2011 0.588 81 5157 102.73 26.83 900 36 1981-2016 0.457
29 5033 101.12 27.85 339 64 1950-2013 0.446 82 5158 101.31 26.62 920 33 1981-2013 0.414
30 5034 101.12 27.85 339 67 1950-2016 0.474 83 5159 103.04 26.48 1100 61 1950-2010 0.455
31 5035 100.58 25.27 2180 45 1954-1998 0.539 84 5160 100.85 25.45 1660 18 1988-2005 1.008
32 5036 103.00 25.76 1100 67 1950-2016 0.493 85 5162 101.58 25.36 1550 45 1969-2013 0.495
33 5037 102.22 25.62 1170 60 1957-2016 0.462 86 5163 101.73 27.23 640 34 1980-2013 0.487
34 5038 101.35 26.39 1010 33 1981-2013 0.653 87 5164 101.65 27.14 500 33 1981-2013 0.389
35 5039 103.70 27.29 1256 54 1960-2013 0.557 88 5166 101.35 27.75 450 34 1980-2013 0.403
36 5040 103.43 25.52 1123 41 1970-2010 0.572 89 5167 101.36 26.64 660 33 1981-2013 0.371
37 5041 102.81 25.32 1100 45 1972-2016 0.477 90 5168 103.42 28.38 1180 24 1990-2013 0.654
38 5042 100.93 28.49 360 24 1954-1977 0.747 91 5169 101.37 27.20 850 33 1981-2013 0.414
39 5043 100.85 28.34 380 23 1979-2001 0.585 92 5170 101.39 25.52 1680 45 1969-2013 1.137
40 5044 102.07 26.99 740 64 1950-2013 0.482 93 5171 101.72 27.00 1275 33 1981-2013 0.782
41 5045 100.73 27.61 280 64 1950-2013 0.600 94 5174 100.88 25.45 1670 31 1981-2011 0.483
42 5046 103.66 27.29 1383 13 1953-1965 0.870 95 5175 100.89 24.64 1867 41 1973-2013 0.488
43 5047 101.42 26.90 586 35 1951-1985 0.509 96 5176 100.62 25.37 2759 60 1954-2013 0.437
44 5048 101.00 25.43 1700 64 1950-2013 0.579 97 5178 103.21 25.28 1200 47 1970-2016 0.526
45 5049 100.62 25.28 2300 26 1988-2013 0.434 98 5179 102.21 26.93 1091 36 1981-2016 0.550
46 5050 101.53 27.05 510 33 1981-2013 0.344 99 5180 103.26 25.77 1116 67 1950-2016 0.375
47 5051 102.80 25.35 1093 67 1950-2016 0.544 100 5181 102.62 25.62 1109 18 1991-2008 0.597
48 5052 102.80 25.35 1093 24 1987-2010 0.528 101 5182 102.22 26.94 836 33 1981-2013 0.376
49 5058 103.30 28.45 1080 24 1990-2013 0.445 102 5184 102.95 24.81 1460 50 1967-2016 0.328
50 5060 101.25 25.27 1880 45 1969-2013 0.639 103 5185 102.95 24.81 1460 67 1950-2016 0.327
51 5063 100.86 28.35 380 23 1979-2001 0.542 104 5186 101.08 29.04 348 27 1987-2013 0.474
52 5065 100.76 26.84 420 61 1951-2011 0.546 105 5188 101.11 26.85 958 33 1981-2013 0.496
53 5066 101.12 27.84 339 34 1980-2013 0.332 106 5189 100.77 27.59 285 64 1950-2013 0.527
(1) Station code, (2) Longitude (W), (3) Latitude (N), (4) Altitude (masl), (5) Record length (yr.), (6) Period of data, and (7) Coefficient of variation of annual maximum daily rainfall series (Cv).
Table 2. List of 75 rain gauge stations in Tabasco and their corresponding characteristics.
Table 2. List of 75 rain gauge stations in Tabasco and their corresponding characteristics.
No 1 2 3 4 5 6 7 No 1 2 3 4 5 6 7
1 27001 17.81 91.54 18.00 32 1950-1981 0.355 39 27042 17.46 92.78 44.00 58 1960-2017 0.347
2 27002 18.42 92.80 3.00 68 1950-2017 0.495 40 27044 17.55 92.95 51.00 58 1960-2017 0.270
3 27003 18.05 93.97 5.00 56 1961-2016 0.538 41 27045 17.57 92.97 54.00 56 1962-2017 0.283
4 27004 17.45 91.49 14.00 67 1950-2016 0.312 42 27046 17.47 91.43 19.00 63 1954-2016 0.323
5 27006 17.64 91.27 50.00 63 1954-2016 0.415 43 27047 17.47 91.43 22.00 63 1954-2016 0.332
6 27007 18.00 93.62 12.00 57 1961-2017 0.378 44 27048 17.82 92.37 7.00 68 1950-2017 0.373
7 27008 18.00 93.38 25.00 63 1955-2017 0.416 45 27049 17.72 92.81 13.00 67 1951-2017 0.418
8 27009 18.25 93.22 15.00 68 1950-2017 0.415 46 27050 18.38 92.60 2.00 68 1950-2017 0.394
9 27010 18.07 93.18 15.00 63 1955-2017 0.375 47 27051 18.11 93.35 20.00 68 1950-2017 0.353
10 27011 17.61 92.80 20.00 67 1951-2017 0.521 48 27053 18.39 92.88 6.00 68 1950-2017 0.381
11 27012 17.74 91.76 26.00 23 1995-2016 0.254 49 27054 18.00 92.93 24.00 27 1972-1998 0.449
12 27013 18.25 93.55 11.00 15 1965-1979 0.341 50 27055 17.98 92.92 6.00 48 1950-1997 0.407
13 27014 18.02 92.93 7.00 13 1968-1980 0.567 51 27056 17.81 91.54 12.00 31 1986-2016 0.402
14 27015 17.84 93.94 7.00 64 1954-2017 0.312 52 27057 18.27 93.22 13.00 68 1950-2017 0.569
15 27016 18.53 92.63 2.00 68 1950-2017 0.409 53 27059 17.94 91.18 41.00 64 1954-2017 0.407
16 27017 17.83 93.39 36.00 68 1950-2017 0.337 54 27060 17.97 93.77 11.00 57 1961-2017 0.352
17 27018 17.87 93.47 29.00 68 1950-2017 0.335 55 27061 17.51 92.92 86.00 56 1962-2017 0.345
18 27019 17.72 92.81 14.00 67 1951-2017 0.303 56 27065 17.99 92.83 14.00 48 1950-1997 0.400
19 27020 18.17 93.05 10.00 68 1950-2017 0.500 57 27068 17.53 92.93 78.00 56 1962-2017 0.314
20 27021 17.76 91.29 29.00 63 1954-2016 0.356 58 27069 17.86 91.78 5.00 31 1986-2016 0.242
21 27022 17.63 92.54 24.00 50 1950-1999 0.350 59 27070 17.38 92.75 63.00 58 1960-2017 0.329
22 27024 17.52 92.93 80.00 56 1962-2017 0.364 60 27071 17.80 92.48 11.00 67 1950-2016 0.361
23 27026 18.10 94.05 10.00 63 1954-2016 0.484 61 27073 18.17 93.49 7.00 46 1972-2017 0.449
24 27027 17.59 92.70 22.00 67 1951-2017 0.370 62 27075 18.11 93.57 10.00 46 1972-2017 0.434
25 27028 18.09 92.14 6.00 68 1950-2017 0.398 63 27076 18.11 93.50 13.00 46 1972-2017 0.548
26 27029 18.14 92.86 10.00 68 1950-2017 0.369 64 27077 18.07 93.62 12.00 46 1972-2017 0.392
27 27030 17.76 92.61 11.00 67 1950-2016 0.283 65 27078 18.02 93.50 19.00 46 1972-2017 0.439
28 27031 17.75 92.60 10.00 67 1950-2016 0.436 66 27079 18.05 93.44 21.00 11 1969-1979 0.369
29 27032 17.65 93.40 44.00 68 1950-2017 0.319 67 27080 17.97 93.50 21.00 57 1961-2017 0.370
30 27033 17.73 93.63 50.00 68 1950-2017 0.329 68 27083 17.98 92.93 27.00 12 2005-2016 0.468
31 27034 18.40 93.21 6.00 68 1950-2017 0.369 69 27084 18.17 93.02 10.00 68 1950-2017 0.457
32 27035 17.76 93.38 36.00 68 1950-2017 0.303 70 27087 17.99 91.39 54.00 31 1986-2016 0.320
33 27036 18.07 93.18 15.00 68 1950-2017 0.439 71 27088 17.62 91.55 67.00 17 1983-1999 0.432
34 27037 17.85 93.88 21.00 68 1950-2017 0.385 72 27090 17.97 91.60 10.00 31 1986-2016 0.331
35 27038 18.30 93.07 7.00 68 1950-2017 0.524 73 27091 17.94 91.81 5.00 31 1986-2016 0.303
36 27039 18.00 93.28 23.00 68 1950-2017 0.375 74 27092 17.85 92.93 18.00 18 2000-2017 0.313
37 27040 17.79 91.16 44.00 65 1952-2016 0.403 75 27093 18.01 91.56 14.00 31 1986-2016 0.295
38 27041 18.09 93.35 20.00 63 1955-2017 0.337
(1) Station code, (2) Longitude (W), (3) Latitude (N), (4) Altitude (masl), (5) Record length (yr.), (6) Period of data, and (7) Coefficient of variation of annual maximum daily rainfall series (Cv).
Table 3. Quantile biases obtained for the EG marginal with length n 1 .
Table 3. Quantile biases obtained for the EG marginal with length n 1 .
Sample Sizes Non exceedance probability
n1 n2 0.50 0.80 0.90 0.95 0.98 0.99
10 10 -0.0394 0.1823 0.3623 0.5524 0.8167 1.0247
10 20 -0.0944 0.0571 0.1929 0.3415 0.5531 0.7220
20 20 -0.0849 0.0387 0.1474 0.2657 0.4336 0.5673
20 50 -0.1037 -0.0427 0.0300 0.1167 0.2466 0.3533
50 50 -0.0764 -0.0112 0.0596 0.1418 0.2630 0.3617
50 100 -0.0618 -0.0554 0.0470 0.0612 0.1644 0.2510
Table 4. Quantile MSE’s obtained for the EG marginal with length n 1 .
Table 4. Quantile MSE’s obtained for the EG marginal with length n 1 .
Sample Sizes Non exceedance probability
n1 n2 0.50 0.80 0.90 0.95 0.98 0.99
10 10 0.9016 2.1029 3.3334 4.8397 7.2743 9.4667
10 20 0.8650 1.8796 3.0143 4.4338 6.7517 8.8482
20 20 0.4006 0.8913 1.4458 2.1516 3.3257 4.4039
20 50 0.3771 0.8721 1.4153 2.0979 3.2235 4.2517
50 50 0.1683 0.3966 0.6547 0.9854 1.5414 2.0573
50 100 0.1659 0.3916 0.6339 0.9398 1.4491 1.9196
Table 5. Stations by homogeneous region “R” in Coahuila.
Table 5. Stations by homogeneous region “R” in Coahuila.
R1 R2 R3 R4 R5 R6 R7 R8 R9
5029 5003 5001 5022 5015 5002 5009 5007 5008
5042 5005 5011 5023 5036 5004 5026 5016 5021
5046 5013 5019 5035 5044 5006 5033 5018 5050
5135 5038 5020 5051 5047 5024 5037 5025 5066
5139 5045 5027 5063 5052 5031 5049 5028 5167
5140 5060 5032 5065 5068 5034 5058 5030 5184
5148 5086 5039 5085 5130 5041 5136 5069 5185
5149 5133 5040 5179 5141 5186 5144 5081
5160 5142 5043 5145 5150 5152
5170 5146 5048 5151 5157 5156
5171 5147 5074 5155 5159 5158
5168 5075 5162 5176 5164
5181 5153 5163 5166
5174 5169
5175 5180
5178 5182
5188
5189
Table 6. Stations by homogeneous region “R” in Tabasco.
Table 6. Stations by homogeneous region “R” in Tabasco.
R1 R2 R3 R4 R5 R6 R7
27002 27006 27016 27001 27013 27004 27012
27003 27008 27028 27007 27017 27015 27019
27011 27009 27040 27010 27018 27032 27030
27014 27031 27050 27021 27041 27033 27035
27020 27036 27055 27022 27042 27046 27044
27026 27049 27056 27024 27061 27047 27045
27038 27054 27059 27027 27068 27069
27057 27073 27065 27029 27070 27091
27076 27075 27034 27087 27093
27083 27078 27037 27090
27084 27088 27039 27092
27048
27051
27053
27060
27071
27077
27079
27080
Table 7. Examples of BEG model combinations applied to selected stations in Coahuila.
Table 7. Examples of BEG model combinations applied to selected stations in Coahuila.
Station Neighboring Relative sample sizes Bivariate parameters Marginal (1)
Region base station n1 n2 n3 Loc 1 Sca 1 Shp 1 Loc 2 Sca 2 Shp 2 m AICc BIC
3 5020 5032 29 33 2 67.54 37.27 1.22 31.88 12.98 0.83 1.15 342.0 345.9
5040 9 32 3 64.77 37.85 1.11 35.08 18.13 0.83 1.14 347.5 351.4
5153 8 24 3 57.38 36.47 0.93 39.76 23.10 0.96 1.04 353.4 357.3
5019 8 24 3 55.72 32.19 0.81 32.52 16.02 0.92 1.09 356.7 360.6
5001 29 35 0 64.38 37.87 1.07 51.19 30.33 1.00 1.04 358.3 362.1
5074 0 23 12 59.85 36.82 0.94 70.66 29.77 0.92 1.20 360.9 364.7
5075 0 23 12 63.11 37.02 1.01 71.22 37.63 0.84 1.21 371.8 375.7
5043 0 23 12 64.17 37.22 1.03 69.69 36.79 0.81 1.21 373.6 377.5
5 5163 5044 30 34 0 52.47 26.04 1.08 28.28 10.82 0.54 1.12 307.7 311.5
5145 11 34 0 42.86 21.58 0.70 37.11 12.00 0.83 1.29 311.6 315.4
5178 10 34 3 45.83 21.41 0.69 37.77 14.68 0.89 1.37 313.8 317.5
5162 11 34 0 50.50 24.56 0.97 35.09 14.31 0.72 1.02 314.6 318.4
5141 26 34 0 49.01 24.53 0.98 38.17 13.42 0.80 1.05 314.7 318.4
5052 7 24 3 47.41 21.63 0.88 35.32 17.94 0.86 1.14 323.2 327.0
5174 1 31 2 52.21 23.84 1.09 31.13 11.25 0.73 1.16 324.3 328.1
5188 1 33 0 44.00 19.64 0.70 46.18 22.24 1.12 1.07 327.1 330.9
5155 1 33 0 50.34 24.18 1.00 43.41 23.08 0.98 1.37 327.7 331.5
5047 29 6 28 49.54 23.72 1.00 47.53 22.96 0.90 2.31 332.0 335.7
5189 30 34 0 50.33 24.55 1.00 59.26 24.58 0.87 1.16 380.6 384.4
5068 7 27 0 51.23 24.55 1.00 79.24 35.89 0.83 1.03 391.8 395.6
7 5009 5136 1 33 0 31.74 15.29 0.89 33.32 11.26 0.85 1.10 282.7 286.4
5144 0 33 0 32.04 15.94 0.91 28.97 14.07 0.82 1.50 290.3 294.0
5159 31 30 3 31.51 15.30 0.84 29.56 14.07 0.91 1.05 295.3 299.0
5176 27 33 0 36.07 16.46 1.09 28.56 9.34 0.59 1.08 296.9 300.5
5150 0 33 0 31.53 15.29 0.88 33.95 16.04 0.87 1.34 297.6 301.3
5037 24 33 3 40.51 21.42 1.65 26.68 9.73 0.54 1.06 302.1 305.8
5049 7 26 0 33.41 16.48 1.04 40.12 15.08 0.81 1.08 308.0 311.7
5033 31 33 0 31.54 15.67 0.96 60.91 27.60 0.93 1.17 495.1 498.7
8 5018 5158 20 33 3 26.77 12.18 0.80 27.47 11.31 0.98 1.29 453.3 458.9
5182 20 33 3 27.72 12.21 0.87 28.99 11.06 0.91 1.17 456.1 461.7
5016 8 45 3 28.37 12.21 0.92 33.40 14.35 0.86 1.19 493.7 499.3
5081 8 45 3 28.21 12.21 0.94 34.29 11.25 0.71 1.06 498.0 503.6
5152 20 33 3 26.92 12.22 0.81 42.30 18.92 0.89 1.05 514.9 520.5
5164 20 33 3 28.36 12.20 0.91 46.12 13.97 0.87 1.18 516.2 521.8
5166 19 34 3 28.07 12.21 0.91 58.84 26.49 1.08 1.15 601.4 607.0
5156 19 34 3 26.96 12.22 0.83 64.71 24.54 1.03 1.11 607.6 613.2
5069 19 34 3 27.29 12.22 0.82 64.32 26.19 0.92 1.08 625.7 631.3
5025 18 32 6 28.18 12.22 0.88 75.66 28.81 1.01 1.18 674.3 679.9
5030 11 53 3 27.96 12.22 0.88 59.95 24.26 0.96 1.54 726.5 732.1
Loc = location parameter; Sca = Scale parameter; Shp = Shape parameter; Marginal (1) = Station base.
Table 8. Examples of return levels (mm) estimated with the BEG distribution for selected base stations in Coahuila.
Table 8. Examples of return levels (mm) estimated with the BEG distribution for selected base stations in Coahuila.
Station Neighboring Return period T(years)
Region base Station 1.1 2 5 10 20 50 100 500 1000 5000 10000
3 5020 5032 32.0 74.1 110.9 134.6 157.1 185.8 207.3 256.6 277.8 326.8 347.9
5040 30.2 74.9 114.9 141.1 166.0 198.1 222.1 277.4 301.1 356.2 379.9
5153 26.5 73.3 116.7 145.7 173.7 209.9 237.2 300.1 327.2 390.1 417.2
5019 30.5 75.0 117.8 146.8 175.1 212.0 239.8 304.2 331.9 396.2 423.9
5001 30.3 75.9 116.9 143.9 169.6 202.8 227.7 285.1 309.7 366.9 391.5
5074 28.5 75.6 119.1 148.2 176.2 212.5 239.7 302.7 329.8 392.7 419.8
5075 30.5 76.2 117.8 145.3 171.6 205.7 231.2 290.2 315.5 374.4 399.7
5043 31.2 76.7 118.0 145.2 171.3 204.9 230.2 288.4 313.5 371.6 396.6
5 5163 5044 28.9 60.0 88.0 106.3 123.8 146.3 163.2 202.1 218.8 257.6 274.3
5145 27.2 59.4 91.3 113.3 134.9 163.2 184.6 234.1 255.5 305.0 326.3
5178 30.4 62.5 94.3 116.4 138.0 166.4 187.8 237.4 258.8 308.4 329.8
5162 29.3 60.1 88.5 107.3 125.4 148.8 166.4 207.0 224.5 265.0 282.5
5141 27.7 58.4 86.5 105.1 123.0 146.2 163.6 203.8 221.1 261.2 278.5
5052 29.6 58.3 85.2 103.4 120.9 143.7 160.9 200.6 217.7 257.4 274.5
5174 30.5 58.9 84.3 101.0 116.8 137.3 152.6 187.9 203.0 238.2 253.3
5188 29.8 59.1 88.2 108.4 128.1 154.0 173.5 218.8 238.3 283.5 303.0
5155 29.2 59.2 86.6 104.7 122.1 144.6 161.5 200.5 217.2 256.1 272.9
5047 28.8 58.1 84.9 102.7 119.7 141.7 158.2 196.3 212.7 250.8 267.1
5189 28.9 59.4 87.4 105.9 123.6 146.6 163.8 203.6 220.8 260.5 277.6
5068 29.8 60.3 88.1 106.5 124.2 147.1 164.3 204.0 221.0 260.6 277.6
7 5009 5136 19.1 39.2 58.0 70.6 82.8 98.7 110.7 138.3 150.2 177.8 189.7
5144 18.7 39.5 58.9 71.9 84.5 100.8 113.1 141.4 153.7 182.0 194.2
5159 19.2 39.9 59.5 72.8 85.7 102.4 115.0 144.3 156.9 186.1 198.7
5176 21.1 40.7 58.3 69.8 80.7 94.9 105.5 129.8 140.3 164.6 175.1
5150 19.0 39.2 58.3 71.1 83.6 99.7 111.9 140.0 152.1 180.2 192.3
5037 17.8 39.0 56.5 67.3 77.4 90.1 99.5 120.7 129.8 150.7 159.7
5049 18.7 38.7 56.9 68.8 80.2 95.0 106.0 131.5 142.4 167.8 178.8
5033 18.1 37.9 56.1 68.3 79.9 95.1 106.4 132.7 143.9 170.1 181.4
8 5018 5158 17.2 34.1 50.4 61.5 72.2 86.2 96.8 121.3 131.9 156.4 166.9
5182 17.7 33.9 49.2 59.5 69.4 82.3 92.1 114.6 124.3 146.8 156.5
5016 18.1 33.9 48.5 58.4 67.8 80.1 89.3 110.7 119.9 141.2 150.4
5081 17.8 33.4 47.8 57.5 66.7 78.7 87.8 108.6 117.6 138.4 147.4
5152 17.3 34.2 50.4 61.5 72.2 86.2 96.7 121.1 131.6 156.0 166.5
5164 18.1 34.0 48.7 58.6 68.1 80.5 89.8 111.3 120.5 142.0 151.3
5166 17.8 33.7 48.4 58.3 67.8 80.2 89.5 111.0 120.3 141.8 151.0
5156 17.2 33.8 49.6 60.3 70.7 84.3 94.5 118.1 128.3 151.9 162.1
5069 17.6 34.3 50.3 61.2 71.7 85.4 95.8 119.8 130.1 154.0 164.3
5025 18.1 34.3 49.5 59.7 69.6 82.4 92.1 114.5 124.1 146.5 156.1
5030 17.9 34.1 49.3 59.6 69.5 82.4 92.1 114.6 124.3 146.7 156.4
Table 9. Return levels (mm) from alternative univariate distributions (Gumbel, GEV, and Exponentiated Gumbel), ordered by best fit for selected Coahuila stations.
Table 9. Return levels (mm) from alternative univariate distributions (Gumbel, GEV, and Exponentiated Gumbel), ordered by best fit for selected Coahuila stations.
Station Return period T(years)
base Distribution 1.1 2 5 10 20 50 100 500 1000 5000 10000 AICc BIC
5020 BEG 32.0 74.1 110.9 134.6 157.1 185.8 207.3 256.6 277.8 326.8 347.9 342.0 345.9
EVI 31.3 75.5 116.0 142.7 168.4 201.7 226.6 284.1 308.9 366.3 391.0 366.2 369.0
EG 31.7 72.6 116.9 148.7 180.3 221.9 253.4 326.6 358.0 431.2 462.7 368.1 372.0
GEV 31.8 73.8 115.9 145.8 176.3 218.3 251.9 336.8 376.7 478.1 525.8 368.3 372.2
BEG 28.9 60.0 88.0 106.3 123.8 146.3 163.2 202.1 218.8 257.6 274.3 307.7 311.5
5163 EVI 29.2 59.2 86.5 104.6 122.0 144.5 161.3 200.3 217.0 255.9 272.6 329.2 331.9
EG 29.6 57.1 87.0 108.6 129.9 158.1 179.4 228.9 250.2 299.7 321.0 331.1 334.9
GEV 29.5 58.4 86.5 106.1 125.6 152.0 172.7 223.5 246.8 304.1 330.4 331.5 335.3
BEG 19.1 39.2 58.0 70.6 82.8 98.7 110.7 138.3 150.2 177.8 189.7 282.7 286.4
EVI 19.0 39.6 58.3 70.7 82.7 98.1 109.6 136.3 147.8 174.4 185.9 292.6 295.2
5009 GEV 18.7 40.9 58.2 68.3 77.0 87.1 93.9 107.3 112.2 121.9 125.5 294.3 298.0
EG 18.8 40.8 58.1 68.5 78.1 90.0 98.6 118.1 126.4 145.3 153.4 294.6 298.3
BEG 17.2 34.1 50.4 61.5 72.2 86.2 96.8 121.3 131.9 156.4 166.9 453.3 458.9
EVI 17.9 34.1 49.0 58.8 68.2 80.4 89.5 110.6 119.7 140.8 149.8 467.6 471.4
5018 BEG 17.2 34.1 50.4 61.5 72.2 86.2 96.8 121.3 131.9 156.4 166.9 453.3 458.9
EV1 17.9 34.1 49.0 58.8 68.2 80.4 89.5 110.6 119.7 140.8 149.8 467.6 471.4
GEV 17.7 35.0 48.9 57.2 64.7 73.4 79.5 91.8 96.5 106.2 109.9 469.1 474.7
EG 17.8 34.7 48.8 57.7 65.9 76.4 84.1 101.6 109.1 126.5 134.0 469.5 475.2
Table 10. Estimated parameters from the best BEG combination for each station in Tabasco.
Table 10. Estimated parameters from the best BEG combination for each station in Tabasco.
Station Neighboring Relative sample sizes Bivariate parameters Marginal (1)
Base station n1 n2 n3 Loc 1 Sca 1 Shp 1 Loc 2 Sca 2 Shp 2 m AICc BIC
1 27001 27079 19 11 2 114.46 36.67 1.01 138.75 41.45 0.87 1.29 336.32 339.86
2 27002 27014 18 13 37 114.10 40.40 0.94 119.45 70.32 0.86 2.42 702.44 708.72
3 27003 27014 7 13 36 98.38 25.70 0.40 119.80 65.22 0.91 1.24 589.90 595.51
4 27004 27090 36 31 0 110.67 22.38 0.51 101.05 22.37 0.57 1.15 666.42 672.65
5 27006 27088 29 17 17 105.94 30.81 0.95 76.97 27.88 0.66 1.29 619.05 625.07
6 27007 27029 11 57 0 131.48 42.00 0.77 113.91 39.99 0.95 1.13 600.03 605.71
7 27008 27054 17 27 19 97.77 18.65 0.26 127.41 56.93 1.00 1.52 660.34 666.36
8 27009 27054 22 27 19 135.70 44.31 1.00 127.42 52.15 0.91 1.34 718.75 725.03
9 27010 27079 14 11 38 123.25 38.53 0.86 147.76 45.13 1.16 1.38 649.82 655.84
10 27011 27002 1 67 0 160.24 70.47 1.09 107.46 36.17 0.80 1.05 763.06 769.30
11 27012 27035 45 22 1 126.26 33.52 1.11 132.06 31.98 0.90 1.22 289.12 291.26
12 27013 27018 15 15 38 132.03 35.31 0.89 123.42 33.51 0.89 1.52 191.90 191.84
13 27014 27026 14 13 36 120.04 53.19 0.70 122.18 41.49 0.95 1.32 166.50 165.53
14 27015 27092 46 18 0 113.40 35.76 0.96 146.17 57.30 1.12 1.30 670.54 676.62
15 27016 27056 36 31 1 97.75 32.77 0.59 118.04 47.29 1.07 1.21 708.77 715.06
16 27017 27013 15 15 38 134.17 37.78 1.02 132.36 41.62 0.92 2.36 681.26 687.54
17 27018 27013 15 15 38 123.07 32.78 0.87 132.16 35.09 0.90 1.52 675.41 681.69
18 27019 27012 44 22 1 147.20 45.75 0.99 127.08 32.93 0.96 1.04 696.27 702.50
19 27020 27083 55 12 1 99.36 24.17 0.40 103.24 36.31 0.83 1.11 699.38 705.67
20 27021 27079 15 11 37 110.44 31.37 1.03 132.83 39.30 0.64 1.11 629.32 635.34
21 27022 27079 19 11 20 138.90 39.08 0.88 146.16 50.81 1.17 1.15 518.07 523.28
22 27024 27048 12 56 0 147.36 44.74 0.87 125.87 39.16 0.85 1.34 594.03 599.65
23 27026 27014 14 13 36 102.51 27.73 0.52 120.69 59.99 0.71 1.35 655.62 661.65
24 27027 27079 18 11 38 164.74 50.78 1.01 141.09 38.69 0.73 1.14 717.74 723.98
25 27028 27056 36 31 1 107.84 36.34 0.80 116.02 45.31 0.95 1.20 710.27 716.55
26 27029 27001 0 32 36 113.41 37.90 0.93 112.69 37.73 0.96 1.53 695.63 701.91
27 27030 27035 0 67 1 135.14 34.48 0.96 120.84 28.57 0.69 1.03 687.77 694.01
28 27031 27054 22 27 18 135.85 40.70 0.89 129.95 50.62 1.21 1.14 704.26 710.49
29 27032 27092 50 18 0 138.39 40.98 0.92 151.05 55.36 1.25 1.44 713.04 719.33
30 27033 27092 50 18 0 127.12 39.22 0.96 150.66 57.95 1.23 1.52 710.24 716.52
31 27034 27001 0 32 36 130.19 43.33 0.95 108.22 33.75 0.77 1.14 710.84 717.12
32 27035 27012 45 22 1 130.55 31.62 0.87 119.88 31.18 0.92 1.23 669.85 676.13
33 27036 27054 22 27 19 121.60 42.68 0.87 130.54 46.83 1.01 1.37 717.07 723.36
34 27037 27001 0 32 36 113.79 33.10 0.83 108.77 29.76 0.75 1.17 689.19 695.48
35 27038 27083 55 12 1 108.25 17.06 0.31 102.66 40.07 1.11 1.06 701.69 707.98
36 27039 27001 0 32 36 127.49 43.59 0.97 110.16 38.57 0.96 1.21 708.04 714.32
37 27040 27059 2 63 1 101.73 30.48 0.94 92.14 27.89 0.80 1.36 668.66 674.79
38 27041 27013 10 15 38 131.52 36.35 0.85 130.35 36.10 0.92 1.74 641.99 648.01
39 27042 27013 5 15 38 189.07 60.80 0.99 131.24 41.42 1.03 1.09 642.96 648.69
40 27044 27019 9 58 0 165.06 45.79 0.93 144.81 45.73 0.93 1.39 607.95 613.69
41 27045 27019 11 56 0 171.69 45.19 0.87 159.11 55.12 1.30 1.21 586.91 592.52
42 27046 27087 32 31 0 114.53 32.19 0.80 106.56 32.46 0.91 1.09 632.34 638.36
43 27047 27087 32 31 0 136.95 49.48 1.60 114.04 33.95 1.09 1.07 641.85 647.88
44 27048 27079 19 11 38 129.63 42.09 0.95 141.41 50.56 1.02 1.06 707.42 713.70
45 27049 27054 21 27 19 136.06 52.22 0.98 126.19 47.96 0.86 1.17 722.10 728.33
46 27050 27056 36 31 1 100.21 31.08 0.75 114.85 45.25 0.98 1.03 699.77 706.05
47 27051 27079 19 11 38 127.81 36.80 0.80 147.84 43.43 1.17 1.45 706.42 712.70
48 27053 27001 0 32 36 109.84 30.78 0.63 108.50 30.98 0.84 1.42 699.12 705.40
49 27054 27006 18 27 18 123.00 40.40 0.74 106.39 30.60 0.96 1.08 292.45 295.30
50 27055 27050 0 48 20 127.77 40.52 0.73 109.71 35.29 0.91 1.15 508.39 513.46
51 27056 27050 36 31 1 115.72 45.14 0.99 107.11 33.31 0.84 1.03 350.36 353.77
52 27057 27014 18 13 37 108.13 26.53 0.40 120.66 82.01 1.00 1.54 721.47 727.75
53 27059 27040 2 63 1 89.09 24.26 0.67 99.56 27.99 0.84 1.35 654.61 660.69
54 27060 27079 8 11 38 127.35 36.45 0.90 148.72 50.87 1.17 1.20 583.95 589.62
55 27061 27013 3 15 38 173.95 60.17 1.11 129.08 32.22 0.85 1.07 607.09 612.71
56 27065 27059 4 44 20 114.55 37.51 0.86 92.14 28.56 0.91 1.10 495.03 500.10
57 27068 27032 12 56 0 172.13 51.08 0.88 139.05 41.32 0.95 1.13 603.21 608.83
58 27069 27091 0 31 0 83.00 21.67 1.00 85.76 29.72 0.96 2.50 312.04 315.46
59 27070 27032 10 58 0 171.56 51.39 1.02 139.73 41.01 0.97 1.06 620.65 626.38
60 27071 27001 0 32 35 112.73 33.34 0.77 108.48 32.72 0.75 1.38 683.69 689.93
61 27073 27054 0 27 19 114.61 53.32 0.91 126.83 44.87 0.86 1.03 506.40 511.31
62 27075 27054 0 27 19 135.38 51.13 0.89 127.35 48.05 0.94 1.14 505.01 509.93
63 27076 27002 22 46 0 123.89 61.90 0.80 116.78 43.72 1.05 1.07 513.88 518.79
64 27077 27029 22 46 0 145.53 54.39 1.05 109.64 35.79 0.83 1.02 488.76 493.67
65 27078 27006 18 45 1 125.15 43.05 0.89 102.24 26.92 0.80 1.05 482.09 487.01
66 27079 27001 19 11 2 143.02 40.46 0.88 113.26 37.61 0.97 1.30 125.55 123.32
67 27080 27079 8 11 38 111.78 30.78 0.77 140.76 50.34 1.18 1.76 581.62 587.29
68 27083 27084 55 12 1 104.37 43.51 1.03 129.71 44.99 0.95 1.16 199.03 197.48
69 27084 27083 55 12 1 122.92 39.23 0.78 105.16 30.80 0.81 1.16 705.33 711.61
70 27087 27090 0 31 0 107.69 31.62 0.97 101.84 24.43 0.63 1.19 322.52 325.94
71 27088 27006 29 17 17 73.91 20.77 0.70 106.45 31.01 0.96 1.04 256.86 257.51
72 27090 27087 0 31 0 105.47 26.44 0.73 110.24 32.47 0.99 1.18 320.20 323.61
73 27091 27069 0 31 0 81.64 26.70 0.82 82.85 21.46 1.01 2.50 297.36 300.77
74 27092 27015 46 18 0 147.27 57.00 1.11 111.85 35.49 0.94 1.29 197.55 198.50
75 27093 27030 36 31 0 101.74 27.05 1.07 135.53 34.75 1.00 1.12 433.86 437.27
Loc = location parameter; Sca = Scale parameter; Shp = Shape parameter; Marginal (1) = Station base.
Table 11. Return levels (mm) from alternative univariate distributions (Gumbel, GEV, and Exponentiated Gumbel), ordered by best fit for selected Tabasco stations.
Table 11. Return levels (mm) from alternative univariate distributions (Gumbel, GEV, and Exponentiated Gumbel), ordered by best fit for selected Tabasco stations.
Station Return period T(years)
Base Distribution 1.1 2 5 10 20 50 100 500 1000 5000 10000 AICc BIC
27001 BEG 82.3 127.6 168.9 196.2 222.4 256.3 281.7 340.3 365.5 424.1 449.2 336.32 339.86
27001 EG 82.5 118.9 173.1 214.1 255.6 252.6 252.6 252.6 252.6 252.6 252.6 336.98 340.52
27001 EV1 82.5 128.0 169.5 196.9 223.3 257.4 283.0 342.0 367.4 426.4 451.7 337.54 340.06
27001 GEV 83.9 124.3 169.0 203.4 240.6 295.7 342.8 474.2 542.2 732.6 831.2 339.44 342.98
27002 BEG 79.7 131.2 178.9 210.7 241.3 281.0 310.9 379.8 409.4 478.3 507.9 702.44 708.72
27002 GEV 79.6 121.4 170.6 210.3 254.9 323.8 385.2 567.5 667.3 964.9 1128.1 722.81 729.10
27002 EG 79.1 123.1 175.8 214.9 253.9 305.4 344.4 434.9 473.9 564.4 603.4 724.77 731.05
27002 EV1 77.7 126.9 171.9 201.7 230.3 267.3 295.0 359.1 386.6 450.5 478.0 728.60 732.85
27003 BEG 87.2 140.7 202.0 247.0 291.8 350.9 395.7 499.6 544.3 648.2 692.9 589.90 595.51
27003 GEV 85.0 132.4 188.8 234.7 286.6 367.4 439.8 657.2 777.4 1139.3 1339.7 611.28 616.89
27003 EG 84.2 134.1 195.6 241.5 287.3 347.9 393.7 500.1 545.9 652.3 698.1 613.46 619.08
27003 EV1 82.6 139.2 190.9 225.2 258.0 300.5 332.4 406.0 437.7 511.2 542.8 616.38 620.20
27004 BEG 97.8 137.6 180.4 211.0 241.3 281.3 311.6 381.8 412.0 482.2 512.4 666.42 672.65
27004 EV1 97.8 140.8 180.0 206.0 230.9 263.2 287.4 343.2 367.2 423.0 447.0 692.85 697.07
27004 EG 98.2 138.0 180.9 211.6 242.1 282.2 312.6 383.1 413.4 483.9 514.3 694.06 700.29
27004 GEV 98.3 139.2 179.9 208.9 238.1 278.4 310.4 390.9 428.6 523.8 568.3 694.55 700.78
27006 BEG 79.7 119.0 155.3 179.6 202.9 233.2 255.9 308.4 331.0 383.5 406.1 619.05 625.07
27006 GEV 81.2 109.3 147.8 183.0 226.5 301.6 375.9 634.7 798.6 1370.8 1733.6 632.93 638.95
27006 EG 81.6 111.7 153.5 185.1 216.7 258.5 290.1 340.8 340.8 340.8 340.8 633.03 639.05
27006 EV1 78.5 115.9 150.0 172.6 194.3 222.4 243.4 292.0 312.9 361.4 382.3 642.86 646.95
27007 BEG 99.3 158.7 216.3 255.7 294.1 344.2 382.0 469.7 507.4 595.0 632.7 600.03 605.71
27007 EV1 101.7 160.4 214.0 249.5 283.6 327.6 360.7 437.0 469.8 546.0 578.7 626.05 629.91
27007 EG 102.1 157.9 215.4 255.9 295.8 348.4 388.1 480.2 519.9 612.0 651.7 627.53 633.21
27007 GEV 102.3 158.2 214.1 253.8 294.0 349.5 393.7 505.2 557.5 689.9 752.1 627.72 633.40
27008 BEG 94.5 146.2 211.8 260.9 310.1 375.0 424.1 538.2 587.3 701.3 749.6 660.34 666.36
27008 EG 94.8 143.9 212.8 264.8 316.9 385.6 437.7 498.7 498.7 498.7 498.7 692.92 698.94
27008 GEV 96.1 146.5 207.1 256.9 313.6 402.4 482.8 726.6 862.8 1277.6 1509.8 695.79 701.81
27008 EV1 93.5 153.5 208.2 244.5 279.2 324.2 357.9 435.9 469.4 547.1 580.6 697.10 701.19
Disclaimer/Publisher’s Note: The statements, opinions and data contained in all publications are solely those of the individual author(s) and contributor(s) and not of MDPI and/or the editor(s). MDPI and/or the editor(s) disclaim responsibility for any injury to people or property resulting from any ideas, methods, instructions or products referred to in the content.
Copyright: This open access article is published under a Creative Commons CC BY 4.0 license, which permit the free download, distribution, and reuse, provided that the author and preprint are cited in any reuse.
Prerpints.org logo

Preprints.org is a free preprint server supported by MDPI in Basel, Switzerland.

Subscribe

Disclaimer

Terms of Use

Privacy Policy

Privacy Settings

© 2026 MDPI (Basel, Switzerland) unless otherwise stated