Submitted:
08 July 2024
Posted:
10 July 2024
You are already at the latest version
Abstract

Keywords:
1. Introduction
2. Materials and Methods
2.1. Data
2.1.1. Discharge Data
2.1.2. Catchment Delineation
2.1.3. Catchment Attributes
2.2. Methodology
2.2.1. Extreme Value Theory
2.2.2. Bayesian hierarchical model
2.2.3. Inference at Gauged Stations
2.2.4. Prediction in Ungauged Catchments
3. Results
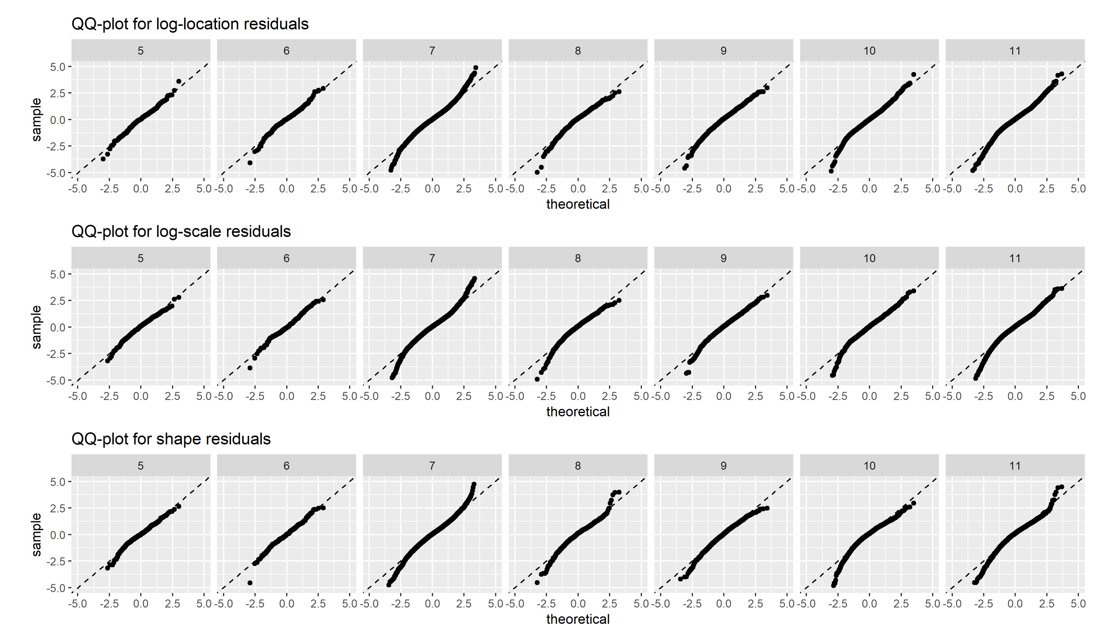
3.1. Model Validation
- the BHM regression model can only capture a fraction of the variability of the GEV shape parameter. The unexplained random error remains quite substantial which makes out-of-sample predictions noisy. This same observation has been reported in the past literature [40].
3.2. Model Results
3.2.1. Covariate Importance
- coefficients are first rescaled to by dividing by the highest absolute coefficient value. This removes the regional variability of the regression coefficient values.
- all covariates with the regression coefficient posterior distribution containing 0 inside its 0.1th and 0.9th quantiles are discarded. Therefore, only coefficients considered significantly different from 0 are considered.
- the remaining covariates are classified according to the absolute value of the estimated regression coefficient mean value.
3.2.2. Estimated GEV Distribution Parameters
3.2.3. Peak Flow Return Levels
4. Discussion and Conclusion
Supplementary Materials
Author Contributions
Funding
Data Availability Statement
Acknowledgments
Conflicts of Interest
References
- Centre for research on the epidemiology of disasters. The Human Cost of Natural Disasters - A global perspective, 2015.
- Kundzewicz, Z.W.; Kanae, S.; Seneviratne, S.I.; Handmer, J.; Nicholls, N.; Peduzzi, P.; Mechler, R.; Bouwer, L.M.; Arnell, N.; Mach, K.; Muir-Wood, R.; Brakenridge, G.R.; Kron, W.; Benito, G.; Honda, Y.; Takahashi, K.; Sherstyukov, B. Flood risk and climate change: global and regional perspectives. Hydrological Sciences Journal 2014, 59, 1–28. [Google Scholar] [CrossRef]
- Hirabayashi, Y.; Mahendran, R.; Koirala, S.; Konoshima, T.; Yamazaki, D.; Watanabe, S.; Kim, H.; Kanae, S. Global flood risk under climate change. Nature Climate Change 2013, 3, 816–821. [Google Scholar] [CrossRef]
- Engeland, K.; Hisdal, H.; Frigessi, A. Practical Extreme Value Modelling of Hydrological Floods and Droughts: A Case Study. Extremes 2004, 7, 5–30. [Google Scholar] [CrossRef]
- Nerantzaki, S.D.; Papalexiou, S.M. Assessing extremes in hydroclimatology: A review on probabilistic methods. Journal of Hydrology 2022, 605, 127302. [Google Scholar] [CrossRef]
- Katz, R.W.; Parlange, M.B.; Naveau, P. Statistics of extremes in hydrology. Advances in Water Resources 2002, 25, 1287–1304. [Google Scholar] [CrossRef]
- Coles, S.; Bawa, J.; Trenner, L.; Dorazio, P. An introduction to statistical modeling of extreme values; Vol. 208, Springer, 2001.
- Sivapalan, M.; Takeuchi, K.; Franks, S.; Gupta, V.; Karambiri, H.; Lakshmi, V.; Liang, X.; Mcdonnell, J.; Mendiondo, E.; O’Connell, P.; Oki, T.; Pomeroy, J.; Schertzer, D.; Uhlenbrook, S.; Zehe, E. IAHS decade on Predictions in Ungauged Basins (PUB), 2003-2012: Shaping an exciting future for the hydrological sciences. Hydrological Sciences Journal 2003, 48, 857–880. [Google Scholar] [CrossRef]
- Prihodko, L.; Denning, A.; Hanan, N.; Baker, I.; Davis, K. Sensitivity, uncertainty and time dependence of parameters in a complex land surface model. Agricultural and Forest Meteorology 2008, 148, 268–287. Chequamegon Ecosystem-Atmosphere Study Special Issue: Ecosystem-Atmosphere Carbon and Water Cycling in the Temperate Northern Forests of the Great Lakes Region. [CrossRef]
- Müller Schmied, H.; Adam, L.; Eisner, S.; Fink, G.; Flörke, M.; Kim, H.; Oki, T.; Portmann, F.T.; Reinecke, R.; Riedel, C.; Song, Q.; Zhang, J.; Döll, P. Variations of global and continental water balance components as impacted by climate forcing uncertainty and human water use. Hydrology and Earth System Sciences 2016, 20, 2877–2898. [Google Scholar] [CrossRef]
- Hosking, J.R.M.; Wallis, J.R. Regional Frequency Analysis: An Approach Based on L-Moments; Cambridge University Press, 1997. [CrossRef]
- Renard, B. A Bayesian hierarchical approach to regional frequency analysis. Water Resources Research 2011, 47. [Google Scholar] [CrossRef]
- Burn, D.H. Evaluation of regional flood frequency analysis with a region of influence approach. Water Resources Research 1990, 26, 2257–2265. [Google Scholar] [CrossRef]
- Gelman, A.; Carlin, J.B.; Stern, H.S.; Dunson, D.B.; Vehtari, A.; Rubin, D.B. Bayesian Data Analysis, 3rd ed.; Chapman and Hall/CRC, 2013. [CrossRef]
- Yan, H.; Moradkhani, H. A regional Bayesian hierarchical model for flood frequency analysis. Stochastic Environmental Research and Risk Assessment 2015, 29, 1019–1036. [Google Scholar] [CrossRef]
- Sampaio, J.; Costa, V. Bayesian regional flood frequency analysis with GEV hierarchical models under spatial dependency structures. Hydrological Sciences Journal 2021, 66, 422–433. [Google Scholar] [CrossRef]
- Lima, C.H.; Lall, U.; Troy, T.; Devineni, N. A hierarchical Bayesian GEV model for improving local and regional flood quantile estimates. Journal of Hydrology 2016, 541, 816–823. [Google Scholar] [CrossRef]
- Eastoe, E.F. Nonstationarity in peaks-over-threshold river flows: A regional random effects model. Environmetrics 2019, 30. [Google Scholar] [CrossRef]
- Thorarinsdottir, T.L.; Hellton, K.H.; Steinbakk, G.H.; Schlichting, L.; Engeland, K. Bayesian Regional Flood Frequency Analysis for Large Catchments. Water Resources Research 2018, 54, 6929–6947. [Google Scholar] [CrossRef]
- Sharkey, P.; Winter, H.C. A Bayesian spatial hierarchical model for extreme precipitation in Great Britain. Environmetrics 2019, 30, e2529. [Google Scholar] [CrossRef]
- Dyrrdal, A.V.; Lenkoski, A.; Thorarinsdottir, T.L.; Stordal, F. Bayesian hierarchical modeling of extreme hourly precipitation in Norway. Environmetrics 2015, 26, 89–106. [Google Scholar] [CrossRef]
- Wu, Y.; Xue, L.; Liu, Y. Local and regional flood frequency analysis based on hierarchical Bayesian model in Dongting Lake Basin, China. Water Science and Engineering 2019, 12, 253–262. [Google Scholar] [CrossRef]
- J. A. García, J. Martín, L.N.; Acero, F.J. A Bayesian hierarchical spatio-temporal model for extreme rainfall in Extremadura (Spain). Hydrological Sciences Journal 2018, 63, 878–894. [Google Scholar] [CrossRef]
- Kordrostami, S.; Alim, M.A.; Karim, F.; Rahman, A. Regional Flood Frequency Analysis Using an Artificial Neural Network Model. Geosciences 2020, 10. [Google Scholar] [CrossRef]
- Aziz, K.; Rahman, A.; Fang, G.; Shrestha, S. Application of artificial neural networks in regional flood frequency analysis: a case study for Australia. Stochastic Environmental Research and Risk Assessment 2014, 28, 541–554. [Google Scholar] [CrossRef]
- Zhao, G.; Bates, P.; Neal, J.; Pang, B. Design flood estimation for global river networks based on machine learning models. Hydrology and Earth System Sciences 2021, 25, 5981–5999. [Google Scholar] [CrossRef]
- Mangukiya, N.K.; Sharma, A. Alternate pathway for regional flood frequency analysis in data-sparse region. Journal of Hydrology 2024, 629, 130635. [Google Scholar] [CrossRef]
- Santillán, D.; Mediero, L.; Garrote, L. Modelling uncertainty of flood quantile estimations at ungauged sites by Bayesian networks. Journal of Hydroinformatics 2013, 16, 822–838. [Google Scholar] [CrossRef]
- U.S. Geological Survey. National Water Information System data available on the World Wide Web (USGS Water Data for the Nation), 2016.
- Environment and Climate Change Canada. HYDAT Database - Canada, 2013.
- Recknagel, T.; Färber, C.; Plessow, K.; Looser, U. The Global Runoff Data Centre: A building block in the chain of reproducible hydrology. EGU General Assembly 2023;, 2023. Abstract EGU23-15454.
- Ministère de l’Environnement, de la Lutte contre les changements climatiques, de la Faune et des Parcs. Atlas hydroclimatique, 2022.
- Lachance-Cloutier, S.; Turcotte, R.; Cyr, J.F. Combining streamflow observations and hydrologic simulations for the retrospective estimation of daily streamflow for ungauged rivers in southern Quebec (Canada). Journal of Hydrology 2017, 550, 294–306. [Google Scholar] [CrossRef]
- Lehner, B.; Grill, G. Global river hydrography and network routing: baseline data and new approaches to study the world’s large river systems. Hydrological Processes 2013, 27, 2171–2186. [Google Scholar] [CrossRef]
- Yamazaki, D.; Ikeshima, D.; Sosa, J.; Bates, P.D.; Allen, G.H.; Pavelsky, T.M. MERIT Hydro: A High-Resolution Global Hydrography Map Based on Latest Topography Dataset. Water Resources Research 2019, 55, 5053–5073. [Google Scholar] [CrossRef]
- Arc Hydro Team. Arc Hydro Toolbox 2.8.17, 2021.
- Robert, C.P.; Casella, G. Monte Carlo Statistical Methods, 2nd ed.; Springer Science & Business Media: New York, NY, 2004. [Google Scholar]
- Roberts, G.O.; Rosenthal, J.S. Examples of Adaptive MCMC. Journal of Computational and Graphical Statistics 2009, 18, 349–367. [Google Scholar] [CrossRef]
- Roberts, G.O.; Rosenthal, J.S. Optimal scaling for various Metropolis-Hastings algorithms. Statistical Science 2001, 16, 351–367. [Google Scholar] [CrossRef]
- Love, C.A.; Skahill, B.E.; England, J.F.; Karlovits, G.; Duren, A.; AghaKouchak, A. Integrating Climatic and Physical Information in a Bayesian Hierarchical Model of Extreme Daily Precipitation. Water 2020, 12. [Google Scholar] [CrossRef]
- Sang, H.; Gelfand, A.E. Hierarchical modeling for extreme values observed over space and time. Environmental and Ecological Statistics 2009, 16, 407–426. [Google Scholar] [CrossRef]
- Morrison, J.E.; Smith, J.A. Stochastic modeling of flood peaks using the generalized extreme value distribution. Water Resources Research 2002, 38, 41–1. [Google Scholar] [CrossRef]
- Katz, R.W. Statistics of extremes in climate change. Climatic Change 2010, 100, 71–76. [Google Scholar] [CrossRef]
- Davison, A.C.; Padoan, S.A.; Ribatet, M. Statistical Modeling of Spatial Extremes. Statistical Science 2012, 27, 161–186. [Google Scholar] [CrossRef]
- Daniel Cooley, D.N.; Naveau, P. Bayesian Spatial Modeling of Extreme Precipitation Return Levels. Journal of the American Statistical Association 2007, 102, 824–840. [Google Scholar] [CrossRef]
- Michaud, J.D.; Hirschboeck, K.K.; Winchell, M. Regional variations in small-basin floods in the United States. Water Resources Research 2001, 37, 1405–1416. [Google Scholar] [CrossRef]
- Beck, H.E.; Zimmermann, N.E.; McVicar, T.R.; Vergopolan, N.; Berg, A.; Wood, E.F. Present and future Köppen-Geiger climate classification maps at 1-km resolution. Scientific Data 2018, 5, 180214. [Google Scholar] [CrossRef]












Disclaimer/Publisher’s Note: The statements, opinions and data contained in all publications are solely those of the individual author(s) and contributor(s) and not of MDPI and/or the editor(s). MDPI and/or the editor(s) disclaim responsibility for any injury to people or property resulting from any ideas, methods, instructions or products referred to in the content. |
© 2024 by the authors. Licensee MDPI, Basel, Switzerland. This article is an open access article distributed under the terms and conditions of the Creative Commons Attribution (CC BY) license (http://creativecommons.org/licenses/by/4.0/).
