Preprint
Article

This version is not peer-reviewed.

Allyldiamidinium and Diamidinium Salts: Are Dicationic Ionic Liquids in Fact Superionic?

A peer-reviewed article of this preprint also exists.

Submitted:

04 September 2025

Posted:

08 September 2025

You are already at the latest version

Abstract

This work reports on novel acid-base conjugate pairs of monocationic allyldiamidinium and dicationic diamidinium salts, some of which are ionic liquids (ILs) at ambient temperatures. A series of allyldiamidinium salts of the general formula [C3H(NRMe)4]X (R = Me, Et, Pr, allyl, CH2CH2OMe; X = Cl, bistriflamide, dicyanamide) were prepared from C3Cl4 or C3Cl5H and the appropriate secondary amine RNMeH. Alkylated ethylenediamines similarly give bicyclic allyldiamidinium salts, whereas longer diamines H2N(CH2)nNH2 (n = 3, 4, 5) were isolated as their conjugate acids, the diamidinium dicationic salts [C3H2(HN(CH2)nNH)2]X2. The salts were characterized by NMR, ES-MS, DSC, TGA, and miscibility or solubility studies. Additionally, the ILs were characterized by their viscosity. The conductivities of the diamidinium ILs were also measured, and this allowed an investigation of their Walden parameters. In contrast to expectations, since ion pairing and clustering would be expected to be significant, this showed them to be “superionic”. Previous reports of Walden plots of dicationic ILs were found to be erroneous and a reanalysis of the literature data found that all reported dicationic, and even tetracationic, ILs can be classified as superionic. The salts [C3H(NMe2)4]Cl, [C3H(EtN(CH2)2NEt)2]OTf and [C3H2(HN(CH2)nNH)2]Cl2 (n = 3, 4, 5) were also characterized by single-crystal X-ray diffraction.

Keywords: 
;  ;  ;  ;  ;  

1. Introduction

Ionic liquids (ILs) constitute a class of compounds that are composed solely of ions in the liquid state [1]. The traditional definition requires them to, arbitrarily, have a melting point below 100 °C. The combination of consisting of ions and being in the liquid state gives them a variety of useful and interesting properties; most notably, ionic conductivity and close to zero vapour pressure. Consequently, ILs have gained significant attention due to their applications in a wide range of fields such as electrochemistry, pharmaceutical synthesis, and in sensing devices. In recent years, research on ILs has dramatically expanded, leading to a better understanding of their properties and the development of new applications. Nonetheless, there is a great need for new ionic liquids with novel properties.
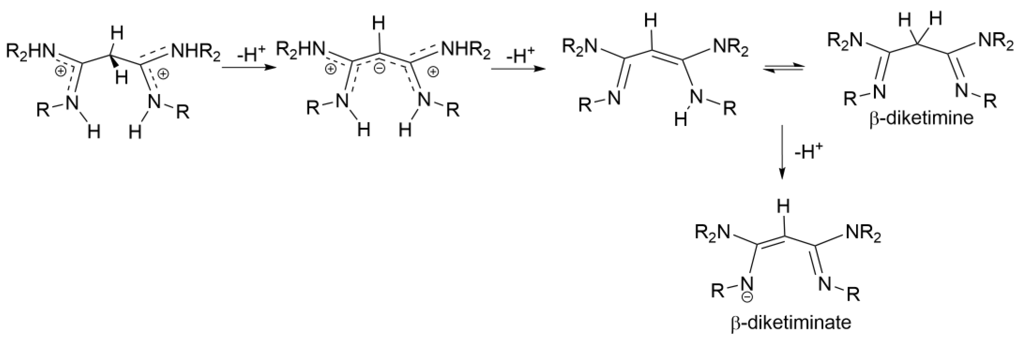
Our previous work on ionic liquids has focused on triaminocyclopropenium (TAC) salts [2,3,4,5]. These are readily prepared by treatment of tetrachlorocyclopropene (or pentachlorocyclopropane) with secondary amines (Scheme 1). These were first reported in 1971 by Yoshida and Tawara [6]. They have been found to be remarkably stable due to π donation into the aromatic ring by the three amino groups which leads to a high-lying HOMO and, consequently, weak interactions with anions as well as the easy synthesis of stable radical dications [7]. Yoshida reported that hydrolysis of [C3(NMe2)3]+ in strong base leads to the formation of the allyldiamidinium [CH(C(NMe2)2)2]+ ([1a]+) (along with the cyclopropenone C3(NMe2)2O), although in just 9% yield [8]. Taylor and coworkers subsequently reported that similar cations, [CH(C(NRH)2)2]+ ([2ad]+), can form directly from pentachlorocyclopropane (or tetrachlorocyclopropene) by reaction with primary amines RNH2 (R = nPr, iPr, nBu or tBu), although the nPr and nBu derivatives were not isolated as pure materials [9,10,11]. Addition of acid to an allyldiamidinium can generate a diamidinium dication [CH2(C(NR2)2)2]2+ ([2adH]2+) [9,10], whereas strong base can generate tetraaminoallenes (NR2)2C=C=C(NR2)2 when the amino groups are dialkylated (Scheme 2a) [12]. The allyldiamidinium cation has two main types of resonance structures, four of each (Scheme 2b). Formally, these are described as N-alkyl-N-[1,3,3-triamino-2-propenylidene]alkylaminium salts. Unlike most allyls, there is a negative formal charge on the central carbon atom, and that is the position of protonation to form a diamidinium dication.
As part of our IL research program, we wished to investigate the IL properties of allyldiamidinium and diamidinium salts. We considered that the highly delocalized nature of these cations, as well as their Brønsted acid/base properties, could make these interesting species for IL-based applications. Typically, deprotonation of a protic ionic liquid generates an uncharged molecule which is not an ionic liquid. However, deprotonation of a diamidinium ionic liquid would still leave a cationic species and it would remain as an IL.
A variety of routes have been reported for the synthesis of allyldiamidinium salts. Viehe and coworkers reported a stepwise route in which [Cl2C=NMe2]+ reacts with MeCONMe2 to give the dichlorodiamino allyl cation [CH(CCl(NMe2))2]+ which can be treated with Me2NH to generate [CH(C(NMe2)2)2]+ (Scheme 3) [12,13]. More recently, the groups of both Do and Clyburne reported that the addition of a primary amine with a tertiary alkyl group, such as tBuNH2 or 1-adamantylamine, results in a 1,3-dimethylamino shift to give an allyldiamidinium cation [CH(C(NMe2)2)(C(NRH)2)]+ [14,15]. On the other hand, primary amines with secondary alkyl or aryl groups under basic conditions lead to 1,3-diamino addition and formation of amino-functionalised β-diketimines CH(C(NMe2)(NR))2 (R = Ph, 2,6-Me2C6H3, 2,6-iPr2C6H3) which can be converted with base to the β-ketiminato or acid to the allyldiamidinium [15]. The introduction of protic amino groups generates a more complex system of acid/base-related species (Scheme 4). Additionally, Surman had reported that the use of diamines (N,N-diethylethylenediamine and 1,3-diaminopropane) in a direct reaction with C3Cl5H generates allyldiamidinium salts in good to excellent yield and could be converted to the diamidiniums with added acid, however, these impure chloride salts were only characterized by NMR [10].
We sought more generalized and simple synthetic routes than had been previously described. Here we report on the versatility of synthetic routes directly from C3Cl5H to allyldiamidinium and diamidinium ILs by using a variety of diamines, and some of their properties. The synthesis of [1a]Cl and [CH(C(NMeEt)2)2]Cl ([1b]Cl) directly from C3Cl5H has been briefly discussed by us previously [3].

2. Materials and Methods

2.1. General Remarks

All operations were performed using standard Schlenk techniques with a dinitrogen atmosphere to reduce exposure to water. C3Cl5H, NEt3, n-BuNH2, N-methylethylenediamine, N,N’-diethylethylenediamine, propane-1,3-diamine, butane-1,4-diamine, N-methyl-1,3-propanediamine, N-ethyl-1,3-propanediamine, N-butyl-1,3-propanediamine, and 2,2-dimethyl-1,3-propanediamine, were obtained commercially and distilled prior to use. Aqueous Me2NH, LiNTf2, NaDCA, LiOTf and dry solvents were used as obtained commercially. NEtMeH was prepared by a modification of methods described by Lucier and Wawzonek [16]. 1H and 13C{1H} NMR spectra were recorded using either an Agilent MR 400 or a JEOL ECZ400S NMR spectrophotometer at 400 and 100 MHz, respectively, with tetramethylsilane as an internal standard. Mass spectra were recorded using a maXis 3G UHR-Qq-TOF mass spectrometer (Bruker Daltonik GmbH, Bremen, Germany); this was coupled to a Dionex Ultimate 3000LC system (Thermo Fisher). For the positive ion mode, 5 µL of sample was injected into a flow of 50-50 water (0.5% formic acid): acetonitrile at 0.2 mL/min to the mass spectrometer. Microanalyses were performed by Campbell Microanalytical Laboratory, Dunedin. DSC was performed on a Perkin Elmer DSC 8000 and calibrated with indium (156.60 °C) and cyclohexane (–87.0 and 6.5 °C): Samples of mass 5–10 mg were sealed in a vented aluminium pan and placed in the furnace with a 50 mL min–1 nitrogen stream; the temperature was raised at 10 °C min–1. TGA data were collected on dried samples using a TA Instruments SDT Q600 at 1 °C min–1 and 10 °C min–1. Viscosities were measured using an Anton-Paar MCR 302 Rheometer CP25 cone and plate measuring system. A CP 25 cone was used for the highly viscous samples. Viscosities were measured over the temperature range 20 to 90 ℃. Temperature was controlled through a water connector attached to the base unit. All sample measurements were performed using the rheocompass software. The instrument was set to zero gap and the sample was placed to the centre of the 50 mm cone. Measurements were repeated three times. The accuracy of the viscosity measurements was ±1.0% of full-scale range. Conductivities were measured using an EDT direct-ion conductivity cell. The instrument was calibrated with 0.1 mol L–1 KCl solution. Miscibility studies were carried out by taking 0.5 mL of sample and adding step-wise 10 × 0.05 mL of solvent followed by 9 × 0.5 mL of solvent. After each addition of solvent, the sample was mixed and allowed to equilibrate at 25 °C to determine whether the sample was miscible or immiscible.
Prior to physicochemical measurements, samples were azeotrope dried using either isopropanol or ethanol (typically, 3 × 50 mL solvent for < 10 mL sample followed by placing under vacuum overnight) to a water content of less than 350 mg·L−1. The presence of even small amounts of water is well known to affect property measurements. Most significantly, viscosities are reduced by the presence of water, so these measurements should be considered as a lower limit of their true values.

2.2. X-Ray Crystallography

A Rigaku Supernova, Dual Cu/Mo, Atlas diffractometer was used for the studies. Suitable single crystals were selected and mounted on a nylon loop immersed in perfluorinated oil. The crystal was kept at 120 K during data analysis. The SHELXT software were used for solving structure and SHELXL were used for structure refinement using Least Square minimization.

2.3. Syntheses of Allyldiamidinium and Diamidinium Salts

N-Methyl-N-[1,3,3-tris(dimethylamino)-2-propenylidene]methanaminium chloride ([1a]Cl): C3Cl5H (6.91 mL, 49 mmol) was added dropwise to a stirred solution of Me2NH (40% water) (44 g, 392 mmol) at 0 °C for an hour. The solution was stirred overnight at ambient temperature to give a product mixture of [1a]+, [C3(NMe2)3)]+ (in a 1:4 ratio) and [Me2NH2]+. After removing the solvent, the mixture was dissolved in acetonitrile:toluene (2:1) and kept in the freezer overnight to crystallize out the ammonium salts. [C3(NMe2)3)]Cl was removed by acidification with aqueous HCl and extraction with CHCl3. The solvent from the remaining solution was removed in vacuo, dissolved in acetone, and kept in a freezer to crystallize colorless crystals of [(Me2N)2CCHC(NMe2)2]Cl.2CHCl3 (2.44 g, 10%) [17]. EI-MS: Found m/z 213.2075 (M+); Calcd: 213.2074 (M+).
N-Ethyl-N-[1,3,3-tris(ethylmethylamino)-2-propenylidene]methanaminium chloride ([1b]Cl): C3Cl5H (4.312 g, 20.14 mmol) was dissolved in dichloromethane (150 mL) and cooled to 0 °C. Triethylamine (16.49 g, 163 mmol) and N-ethylmethylamine (6.024 g, 102 mmol) were added dropwise and the solution was then stirred overnight at ambient temperature. The reaction mixture was heated to reflux 5 h before removing the dichloromethane and excess amine in vacuo. Acetone 150 mL was added to the solution, the precipitated ammonium salt was filtered off, and acetone was removed in vacuo. Distilled water (50 mL) was added to the product and the pH adjusted to 9–10.5 by adding aqueous NaOH. The product was washed using diethylether (3 × 100 mL) to remove the excess amine and the solution was neutralized with HCl(aq). The closed-ring product was extracted with chloroform. The aqueous layer was acidified to pH 1–2 and the expected product extracted with dichloromethane. The removal of dichloromethane in vacuo yielded a dark red viscous liquid (4.8 g, 78.0%). 1H NMR (CDCl3, 400 MHz): δ 3.63 (s, 1H, CCHC), 3.29 (m, 8H, NCH2CH3), 2.97 (s, 12H, NCH3), 1.77 is H2O, 1.23 (t, 3JHH = 7.2 Hz, 12H, NCH2CH3). 13C{1H} NMR (CDCl3, 100 MHz): 169.32 (CCHC), 48.22 (NCH2CH3), 38.13 (NCH2CH3), 13.36 (NCH3). EI MS: Found m/z 269.2708 (100%, M+), calcd 269.2705 (100%, M+).
N-Ethyl-N-[1,3,3-tris(ethylmethylamino)-2-propenylidene]methanaminium bis(trifluoromethanesulfonyl)amide ([1b]NTf2): [1b]Cl (1.701 g, 5.58 mmol) was stirred with LiNTf2 (9.801 g, 34.13 mmol) in 100 mL of water for 1 hour. The product was extracted using diethyl ether (3 × 75 mL), the organic layer was washed with water (3 × 100 mL), and the solvent was removed in vacuo to yield a dark-orange liquid (1.5 g, 88.23%). 1H NMR (CDCl3, 400 MHz): δ 3.62 (s, 1H, CCHC), 3.24 (m, 8H, NCH2CH3), 2.91 (s, 12H, NCH3), 1.56 is H2O, 1.22 (t, 3JHH = 7.2 Hz, 12H, NCH2CH3). 13C{1H} NMR (CDCl3, 100 MHz): 169.51 (CCHC), 120.84 (q, 3JCF = 324 Hz, CF3), 48.18 (NCH2CH3), 37.85 (NCH2CH3), 13.15 (NCH3). EI MS: Found m/z 269.2708 (100%, M+), calcd 269.2705 (100%, M+). Microanalysis: calcd for C17H33F6N5O4S2 C, 37.15, H 6.05, N 12.74%; found C 37.30, H 6.05, N 12.56%.
N-Ethyl-N-[1,3,3-tris(ethylmethylamino)-2-propenylidene]methanaminium dicyanamide ([1b]DCA): [1b]Cl (1.46 g, 4.79 mmol) was stirred with NaDCA (0.854 g, 9.59 mmol) in distilled water (100 mL) for 4 hours. The product was extracted with dichloromethane (3 × 50 mL). The organic layer was washed with water (3 × 50 mL) and the solvent was removed in vacuo to give yellow liquid (0.956 g, 59.5%). 1H NMR (500 MHz, CDCl3): δ 3.62 (s, 1H, CCHC), 3.42 (q, 3JHH = 7.0 Hz, 8H, NCH2CH3), 3.14 (s, 12H, NCH3), 1.29 (t, 3JHH = 7.0 Hz, 12H, NCH2CH3). 13C{1H} NMR (100 MHz, CDCl3): δ 169.53 (CCHC), 50.33 (NCH3), 39.38 (NCH2CH3), 38.07 (CCHC), 13.17 (NCH2CH3). EI MS: Found m/z 269.2712 (M+), calcd 269.2705 (M+). Microanalysis: calcd for C17H33N7: C, 60.86, H 9.91, N 29.23%, found C 59.87, H 10.15, N 29.09%.
N-Ethyl-N-[1,3,3-tris(ethylmethylamino)-2-propenylidene]methanaminium trifluoromethanesulfonate ([1b]OTf): [1b]Cl (2.38 g, 7.81 mmol) was dissolved in 100 mL of distilled water. LiCF3SO3 (8.53 g, 54.67 mmol) was added to the solution and stirred for 1 hour. The product was extracted with dichloromethane (3 × 75 mL), washed with water (5 × 100 mL) and the organic layer was dried in vacuo to yield a yellow solid (2.14 g, 65.4%). 1H NMR (DMSO, 400 MHz): δ 3.64 (s, 1H, CCHC), 3.17 (q, 3JHH = 7.2 Hz, 8H, NCH2CH3), 3.16 is H2O, 2.84 (s, 12H, NCH3), 1.13 (t, 3JHH = 7.2 Hz, 12H, NCH2CH3). 13C{1H} NMR (DMSO, 100 MHz): 169.20 (CCHC), 47.89 (NCH2CH3), 37.86 (NCH2CH3), 13.38 (NCH3). EI MS: Found m/z 269.2708 (100%, M+), calcd 269.2705 (100%, M+). Microanalysis: Calcd for C16H33N4O3SF3: C, 45.51; H, 7.80; N, 13.27%. Found: C, 44.49; H, 7.83; N, 12.29%.
N,N′-[1,3-Bis(t-butylamino)-1,3-propanediylidene]bis[t-butanaminium] chloride ([2cH]Cl2): n-butylamine (4.57 g, 62.48 mmol) was added dropwise to a stirred solution of C3Cl5H (3.34 g, 15.62 mmol) in dichloromethane (150 mL) at 0 °C and the reaction stirred overnight followed by reflux for 5 h. After removing the dichloromethane in vacuo, the mixture was dissolved in aqueous NaOH and washed using diethyl ether (4 × 75 mL) to remove excess amine. The solvent was then removed in vacuo, and the mixture was dissolved in ethanol and filtered to remove NaCl. Removal of ethanol gives a brown viscous liquid (1.57 g, 25.3%). Characterization was consistent with previous work [10]. Anal. calcd for C19H43N4O0.5Cl2: C 56.12, H 10.65, N 13.78%; found C 55.65, H 10.72, N 13.82%.
N,N′-[1,3-Bis(t-butylamino)-1,3-propanediylidene]bis[t-butanaminium] bis(trifluoromethanesulfonyl)amide ([2cH][NTf2]2): [2cH]Cl2 (2.15 g, 5.41 mmol) was stirred with LiNTf2 (4.99 g, 17.4 mmol) in 100 mL water. The product was extracted using the diethyl ether (3 × 75 mL). The organic layer was collected and washed using water (4 × 50 mL) and the product dried in vacuo to yield a dark brown viscous liquid (3.00 g, 62.5%). 1H, 13C NMR and MS are similar to [C3H2(NHBu)4]Cl2 however, typical additional peaks for NTf2 were seen in the 13C{1H} NMR. Anal. calcd for C23H42N6O8F12S4: C 31.15, H 4.77, N 9.48%, found C 31.86, H 4.91, N 9.26%.
2-[(1-methyl-2-imidazolidinylidene)methyl]-4,5-dihydro-1-methyl-1H-imidazolium chloride ([3a]Cl): C3Cl5H (4.309 g, 20.11 mmol) was stirred with dichloromethane (100 mL) and cooled to 0 °C. N-methylethylendiamine (5.96 g, 80.40 mmol) was added dropwise to the ice-cold mixture and stirred for 2 h. Removed the precipitated salt and removed the solvent. Dilute NaOH was added and then washed using diethyl ether. The aqueous layer was neutralized and the product extracted using dichloromethane (3 × 75 mL). The solvent was removed and the product dried in vacuo to yield a light-yellow solid (2.32 g, 53.3%). 1H NMR (CDCl3, 400 MHz): 8.79 (s, 2H, NH), 3.70 (t, 3JHH = 8 Hz, 4H, NCH2CH2), 3.66 (s, 1H, CCHC), 3.51 (t, 3JHH = 8 Hz, 4H, NCH2CH2), 2.85 (s, 6H, NCH3). 13C NMR (CDCl3, 100 MHz): 161.85 (CCHC), 55.72 (CCHC), 50.52 (NCH2CH2), 42.04 (NCH2CH2), 32.99 (NCH3). EI MS m/z found 181.1479 (100%, M+); calcd 181.1453 (100%, M+).
2-[(1-methyl-2-imidazolidinylidene)methyl]-4,5-dihydro-1-methyl-1H-imidazolium bis(trifluoromethanesulfonylamide)amide ([3a]NTf2): [3a]Cl (2.32 g, 10.71 mmol) was stirred with LiNTf2 (4.22 g, 14.7 mmol) in 100 mL water. The product was extracted using the diethyl ether (3 × 75 mL). The organic layer was washed with water (3 × 100 mL) and the product is dried in vacuo to yield a brown solid (2.28 g, 46.1%). 1H NMR (CDCl3, 400 MHz): δ 6.09 (s, 2H, NH), 3.72 (s, 1H, CCHC), 3.68 (t, 3JHH = 8 Hz, 4H, NCH2CH2), 3.59 (t, 3JHH = 8 Hz, 4H, NCH2CH2), 2.90 (s, 6H, NCH3). 13C{1H} NMR (CDCl3, 100 MHz): 163.54 (CCHC), 119.84 (q, 3JCF = 324 Hz, CF3), 55.98 (CCHC), 50.74 (NCH2CH2), 42.12 (NCH2CH2), 32.92 (NCH3). EI-MS: Found m/z 181.1457 (M+); calcd 181.1448 (M+). Microanalysis: calcd for C11H17F6N5O4S2: C, 28.63, H 3.71, N 15.18%; found C 28.43, H 3.67, N 14.96%.
2-[(1-methyl-2-imidazolidinylidene)methyl]-4,5-dihydro-1-methyl-1H-imidazolium dicyanamide ([3a]DCA): [3a]Cl (1.14 g, 5.26 mmol) was stirred with NaDCA (0.622 g, 6.99 mmol) in distilled water (50 mL) for 4 h. The product was extracted with dichloromethane (4 × 75 mL). The organic layer was washed with water (3 × 50 mL) and the solvent was removed in vacuo to give a light-yellow oil (0.753 g, 57.9%). 1H NMR (CDCl3, 400 MHz): δ 7.98 (s, 2H, NH), 3.70 (t, 3JHH = 7.5 Hz, 4H, NCH2CH2), 3.68 (s, 1H, CCHC), 3.55 (t, 3JHH = 7.5 Hz, 4H, NCH2CH2), 2.88 (s, 6H, NCH3). 13C{1H} NMR (400 MHz, CDCl3): δ 161.85 (CHCC), 50.55 (CCHC), 50.52 (NCH2CH2), 42.10 (NCH2CH2), 32.98 (NCH3). EI-MS: Found m/z 181.1446 (M+), calcd 181.1448 (M+). Microanalysis: calcd for C11H17N7: C 53.42, H 6.93, N 39.65%; found C 52.26, H 7.27, N 39.72%.
2-[(1-methyl-2-imidazolidinylidene)methyl]-4,5-dihydro-1-methyl-1H-imidazolium trifluoromethanesulfonate ([3a]OTf): [3a]Cl (3.073 g, 14.18 mmol) was stirred with LiCF3SO3 (3.043 g, 19.50 mmol) in 100 mL water. The product was extracted using the diethyl ether (3 × 75 mL). The organic layer was washed with water (3 × 100mL) and the product dried in vacuo to yield a brown solid (1.374 g, 29.3%). 1H NMR (CDCl3, 400 MHz): δ 7.01 (s, 2H, NH), 3.70 (t, 3JHH = 8 Hz, 4H, NCH2CH2), 3.67 (s, 1H, CCHC), 3.55 (t, 3JHH = 8 Hz, 4H, NCH2CH2), 2.88 (s, 6H, NCH3). 13C{1H} NMR (CDCl3, 400 MHz): 161.54 (CCHC), 119.84 (q, 3JCF = 324 Hz, CF3), 55.98 (CCHC), 50.76 (NCH2CH2), 42.13 (NCH2CH2), 32.94 (NCH3). EI MS: Found m/z 181.1457 (M+), calcd 181.1448 (M+). Microanalysis: calcd for C10H17F3N4O3S: C, 36.36, H 5.19, N 16.96%; found C 36.09, H 5.11, N 16.96%.
2-[(1,3-diethyl-2-imidazolidinylidene)methyl]-4,5-dihydro-1,3-diethyl-1H-imidazolium chloride ([3b]Cl): N,N’-diethylethylenediamine (2.16 g, 18.66 mmol) and triethylamine (1.94 mL, 13.98 mmol) were added dropwise to C3HCl5 (1.04 g, 4.85 mmol) in chloroform at 0 °C and the reaction stirred overnight under an inert atmosphere. The precipitated salt was filtered off and excess solvent was removed in vacuo. The product was dissolved in slightly basic water (50 mL) and the product was washed with diethyl ether (4 × 75 mL). The aqueous layer was neutralized and extracted the product using the chloroform (4 × 50 mL). The solvent was removed in vacuo. The crude product was dissolved in chloroform/ethanol (1:3) and passed through a silica column. The product was collected and the solvent removed to give a yellow liquid (0.861 g, 59.0%). 1H NMR (400 MHz, CDCl3): δ 3.67 (s, 8H, NCH2CH2), 3.49 (s, 1H, CCHC), 3.20 (q, 3JHH = 7.2 Hz, 8H, NCH2CH3), 1.14 (t, 3JHH = 7.2 Hz, 12H NCH2CH3). 13C {1H} NMR (400 MHz, CDCl3): δ 163.27 (CHCC), 52.71 (CCHC), 46.67 (NCH2CH2), 43.04 (NCH2CH3), 11.93 (NCH2CH3). EI-MS: Found m/z 265.2383 (M+), calcd 265.2392 (M+).
2-[(1,3-diethyl-2-imidazolidinylidene)methyl]-4,5-dihydro-1,3-diethyl-1H-imidazolium bis(trifluoromethanesulfonyl)amide ([3b]NTf2): [3b]Cl (0.221 g, 0.735 mmol) was stirred with LiNTf2 (0.337 g, 1.17 mmol) in distilled water (50 mL) for 4 hours. The product was extracted with dichloromethane (4 × 75 mL). The organic layer was washed with water (3 × 50 mL) and the solvent was removed in vacuo to give a light-yellow oil (0.212 g, 52.9%). 1H NMR (400 MHz, CDCl3): δ 3.60 (s, 8H, NCH2CH2), 3.49 (s, 1H, CCHC), 3.20 (q, 3JHH = 7.2 Hz, 8H, NCH2CH3), 1.15 (t, 3JHH = 7.2 Hz, 12H, NCH2CH3). 13C {1H} NMR (400 MHz, CDCl3): δ 163.39 (CHCC), 120.04 (q, 1JCF = 321.6 Hz, CF3), 52.70 (CCHC), 46.40 (NCH2CH2), 42.98 (NCH2CH3), 11.75 (NCH2CH3). EI MS: Found m/z 265.2445 (M+), calcd 265.2392 (M+). Microanalysis: calcd for C17H29F6N5O4S2: C 37.43, H 5.36, N 12.84%; found C 36.87, H 5.35, N 13.09%.
2-[(1,3-diethyl-2-imidazolidinylidene)methyl]-4,5-dihydro-1,3-diethyl-1H-imidazolium dicyanamide ([3b]DCA): [3b]Cl (0.371 g, 1.23 mmol) was stirred with NaDCA (0.175 g, 1.97 mmol) in distilled water (50 mL) for 4 h. The product was extracted with dichloromethane (4 × 75 mL). The organic layer was washed with water (3 × 50 mL) and the solvent was removed in vacuo to give a light-yellow oil (0.261 g, 64.0%). 1H NMR (400 MHz, CDCl3): δ 3.65 (s, 8H, NCH2CH2), 3.56 (s, 1H, CCHC), 3.26 (q, 3JHH = 7.2 Hz, 8H, NCH2CH3), 1.19 (t, 3JHH = 7.2 Hz, 12H, NCH2CH3). 13C {1H} NMR (400 MHz, CDCl3): δ 163.43 (CHCC), 120.06 (CN), 52.87 (CCHC), 46.52 (NCH2CH2), 43.09 (NCH2CH3), 11.92 (NCH2CH3). EI MS: Found m/z 265.2424 (M+), calcd 265.2392 (M+). Microanalysis: calcd for C17H29N7: C 61.60, H 8.82, N 29.58%; found C 60.94, H 8.60, N 28.80%.
2-[(1,3-diethyl-2-imidazolidinylidene)methyl]-4,5-dihydro-1,3-diethyl-1H-imidazolium trifluoromethanesulfonate ([3b]OTf): [3b]Cl (0.27 g, 0.898 mmol) was stirred with LiOTf (0.22 g, 1.41 mmol) in distilled water (50 mL) for 4 h. The product was extracted with dichloromethane (4 × 75 mL). The organic layer was washed with water (3 × 50 mL) and the solvent was removed in vacuo to give a yellow solid (0.259 g, 69.6%). 1H NMR (400 MHz, CDCl3): δ 3.64 (s, 8H, NCH2CH2), 3.51 (s, 1H, CCHC), 3.21 (q, 3JHH = 7.2 Hz, 8H, NCH2CH3), 1.16 (t, 3JHH = 7.2 Hz, 12H, NCH2CH3). 13C {1H} NMR (400 MHz, CDCl3): δ 163.36 (CHCC), 121.04 (q, 1JCF = 322.6 Hz, CF3), 52.69 (CCHC), 46.47 (NCH2CH2), 43.00 (NCH2CH3), 11.83 (NCH2CH3). EI-MS: Found m/z 265.2397 (M+); Calcd: 265.2392 (M+). Microanalysis: calcd for C16H29F3N4O3S: C 46.36, H 7.05, N 13.52%; found C 45.57, H 7.06, N 13.70%.
2,2′-Methylenebis [3,4,5,6-tetrahydropyrimidinium] chloride ([4H]Cl2): Propane-1,3-diamine (2.22 g, 30.01 mmol) was added dropwise to C3Cl5H (1.60 g, 7.503 mmol) in CH2Cl2 (150 mL) at 0 °C and the reaction stirred for 1 hour. After filtering off the precipitated salt, the solution was washed using distilled water (3 × 75 mL). The CH2Cl2 was removed to yield a highly-hygroscopic light-orange solid (1.14 g, 71%). 1H NMR (CDCl3, 400 MHz): 11.17 (s, NH, 4H), 4.36 (s, 2H, CCH2C), 3.51 (t, 3JHH = 4 Hz, 8H, NCH2CH2CH2), 2.16 is H2O, 2.00 (q, JHH = 4 Hz, 4H, NCH2CH2CH2). 13C NMR (CDCl3, 100 MHz): 156.90 (CCHC), 39.14 (HNCH2CH2CH2NH), 38.13 (CCH2C), 32.48 (HNCH2CH2CH2NH), 17.79 (HNCH2CH2CH2NH). ES+ m/z found: 91.0766 (100%, M2+). Calcd. 91.0760 (100%, M2+).
2,2′-Methylenebis[3,4,5,6-tetrahydropyrimidinium] bis(trifluoromethanesulfonyl)amide ([4H][NTf2]2): [4H]Cl2 (0.66 g, 2.6 mmol) was stirred with AgNO3 (0.445 g, 2.6 mmol) in 100 mL of distilled water. The precipitated AgCl was removed and LiNTf2 was added (1.16 g, 4.04 mmol). The solution was stirred for 2 h. The product was extracted using diethyl ether (4 × 75 mL) and washed with distilled water (4 × 50 mL) to remove excess salt. The organic layer was dried to yield a brown solid (1.30 g, 67%). 1H NMR (CDCl3, 400 MHz): 11.16 (s, NH, 4H), 4.36 (s, 2H, CCH2C), 3.51 (t, 3JHH = 4 Hz, 8H, NCH2CH2CH2), 2.00 (m, 4H, NCH2CH2CH2).13C NMR (CDCl3): 156.90 (CCHC), 39.14 (HNCH2CH2CH2NH), 38.4 (CCH2C), 32.48 (HNCH2CH2CH2NH), 17.79 (HNCH2CH2CH2NH). ES+ m/z found: 91.0772 (100%, M2+). Calcd. 91.0760 (100%, M2+). Microanalysis: calcd for C13H18F12N6O8S4: C, 21.03, H 2.44, N 11.32%; found C 21.12, H 2.30, N 11.45%.
2,2′-Methylenebis[3,4,5,6-tetrahydropyrimidinium] dicyanamide ([4H][DCA]2): [4H]Cl2 (1.98 g, 7.82 mmol) was stirred with AgNO3 (1.32 g, 7.82 mmol) in 100 mL of distilled water. The precipitated AgCl was removed and NaDCA (0.905 g, 10.16 mmol) was added. The solution was stirred for 4 h and the product was extracted with chloroform (4 × 75 mL). The solvent was removed in vacuo to yield an orange liquid (1.67 g, 68%). 1H NMR (400 MHz, CDCl3): δ 11.08 (s, 4H, NH), 4.33 (s, 2H, CCH2C), 3.51 (m, 8H, NCH2CH2CH2), 2.00 (m, 4H, NCH2CH2CH2).13C{1H} NMR (100 MHz, DMSO): δ 157.03 (CCH2C), 39.27 (NCH2CH2CH2), 32.52 (CCH2C), 17.81 (NCH2CH2CH2). EI MS: Found m/z 91.0755 (M2+); Calcd: 91.0760 (M2+). Microanalysis: calcd for C13H18N10: C, 49.67, H 5.77, N 44.56%; found C 47.45, H 6.30, N 44.40%.
2,2′-Methylenebis[3,4,5,6-tetrahydropyrimidinium] trifluoromethylsulfonate ([4H][OTf]2): [4H]Cl2 (1.89 g, 7.46 mmol) was stirred with AgNO3 (1.28 g, 7.46 mmol) in 100 mL of distilled water. The precipitated AgCl was filtered off and LiOTf (1.51 g, 9.68 mmol) was added. The solution was stirred for 4 h and the product was extracted using chloroform (4 × 75 mL). The solvent was removed in vacuo to give an orange solid (0.974 g, 42%). 1H NMR (400 MHz, DMSO): δ 9.91 (s, 4H, NH), 3.75 (s, 2H, CCH2C), 3.31 (m, 8H, NCH2CH2CH2), 1.83 (m, 4H, NCH2CH2CH2).13C{1H} NMR (100 MHz, DMSO): δ 156.41 (CCHC), 121.15, 39.04 (NCH2CH2CH2), 35.09 (NCH2CH2CH2), 17.51 (NCH2CH2CH2). EI MS: Found m/z 91.0764 (M2+); Calcd: 91.0760 (M2+). Microanalysis: calcd for C11H18F6N4O6S2: C, 27.50, H 3.78, N 11.66%; found C 26.60, H 3.30, N 11.45%.
2,2′-Methylenebis[3,4,5,6-tetrahydro-1-methylpyrimidinium] chloride ([4aH]Cl2): N-methyl-1,3-propanediamine (1.30 g, 14.8 mmol) was added dropwise to C3HCl5 (0.99 g, 4.62 mmol) in chloroform (150 mL) at 0 ℃ and the reaction stirred overnight under an inert atmosphere. The precipitated salt was filtered off and the solvent was removed in vacuo. The product was dissolved in distilled water and washed several times with diethyl ether to remove unreacted amine. The product was extracted with chloroform and the organic layer washed with distilled water (4 × 50 mL). The solvent was removed in vacuo to yield a yellow solid (1.1 g, 85%). 1H NMR (400 MHz, CDCl3): δ 11.31 (s, 2H, NH), 4.60 (s, 2H, CCH2C), 3.67 (t, 3JHH = 6.0 Hz, 4H, NCH2CH2CH2), 3.60 (t, 3JHH = 5.5 Hz, 4H, NCH2CH2CH2), 3.37 (s, 6H, NCH3), 2.11 (m, 4H, NCH2CH2CH2). 13C{1H} NMR (100 MHz, CDCl3): δ 156.71 (CCH2C), 49.63 (NCH2CH2CH2), 40.47 (NCH2CH2CH2), 38.92 (NCH3), 33.35 (CCH2C), 18.92 (NCH2CH2CH2). EI-MS: Found m/z 105.0917 (M2+); Calcd: 105.0917 (M2+).
2,2′-Methylenebis[3,4,5,6-tetrahydro-1-methylpyrimidinium] bis(trifluoromethanesulfonyl)amide ([4aH][NTf2]2): [4aH]Cl2 (0.984 g, 3.50 mmol) was stirred with LiNTf2 (1.27 g, 4.42 mmol) in 100 mL of distilled water. The product was extracted with chloroform (4 × 75 mL) and washed with distilled water (3 × 50 mL). The solvent was removed in vacuo to yield a yellow solid (1.47 g, 86.3%). 1H NMR (400 MHz, DMSO): δ 9.46 (s, 2H, NH), 4.04 (s, 2H, CCH2C), 3.45 (t, 3JHH = 6.0 Hz, 4H, NCH2CH2CH2), 3.09 (s, 6H, NCH3), 1.92 (m, 4H, NCH2CH2CH2). 13C{1H} NMR (100 MHz, CDCl3): δ 156.20 (CCH2C), 119.92 (q, 1JCF = 324 Hz, CF3), 49.15 (NCH2CH2CH2), 38.97 (NCH2CH2CH2), 34.29 (NCH2CH2CH2), 33.47 (CCH2C), 19.68 (NCH3). EI MS: Found m/z 105.0916 (M2+); Calcd: 105.0915 (M2+). Microanalysis: calcd for C15H22F12N6O8S4: C, 23.38, H 2.88, N 10.91%; found C 24.58, H 2.28, N 10.44%.
2,2′-Methylenebis[3,4,5,6-tetrahydro-1-methylpyrimidinium] dicyanamide ([4aH][DCA]2): [4aH]Cl2 (0.984 g, 3.50 mmol) was stirred with NaDCA (0.498 g, 5.60 mmol) in 100 mL of distilled water. The product was extracted with chloroform and ethanol mixture (4 × 75 mL). Then, washed with distilled water (3 × 50 mL) and the solvent was removed in vacuo to yield a brown liquid (0.784, 82%). 1H NMR (400 MHz, DMSO): δ 10.22 (s, 2H, NH), 4.65 (s, 2H, CCH2C), 3.99 (t, 3JHH = 6.0 Hz, 4H, NCH2CH2CH2), 3.83 (t, 3JHH = 6.0 Hz, 4H, NCH2CH2CH2) overlapping with water peak, 3.63 (s, 6H, NCH3), 2.45 (m, 4H, NCH2CH2 CH2). 13C{1H} NMR (100 MHz, DMSO): δ 156.20 (CCH2C), 49.15 (NCH2CH2CH2), 38.97 (NCH2CH2CH2), 34.22 (NCH2CH2CH2), 33.47 (CCH2C), 19.68 (NCH3). EI MS: Found m/z 105.0912 (M2+); Calcd: 105.0915 (M2+). Microanalysis: calcd for C15H22N10: C, 52.62, H 6.48, N 40.91%; found C 52.36, H 7.32, N 39.30%.
2,2′-Methylenebis[3,4,5,6-tetrahydro-1-methylpyrimidinium] triflate ([4aH][OTf]2): [4aH]Cl2 (0.794 g, 2.81 mmol) was stirred with LiOTf (0.571 g, 3.65 mmol) in 100 mL of distilled water. The product was extracted with chloroform (4 × 75 mL) and washed with distilled water (3 × 50 mL). The solvent was removed in vacuo to yield a yellow solid (0.975 g, 65%). 1H NMR (400 MHz, DMSO): δ 9.46 (s, 2H, NH), 4.04 (s, 2H, CCH2C), 3.45 (t, 3JHH = 6.0 Hz, 4H, NCH2CH2CH2), 3.09 (s, 6H, NCH3), 1.92 (m, 4H, NCH2CH2CH2). 13C{1H} NMR (100 MHz, CDCl3): δ 156.20 (CCH2C), 119.92 (q, 1JCF = 324 Hz, CF3), 49.15 (NCH2CH2CH2), 38.97 (NCH2CH2CH2), 34.29 (NCH2CH2CH2), 33.47 (CCH2C), 19.68 (NCH3). EI MS: Found m/z 105.0916 (M2+); Calcd: 105.0915 (M2+). Microanalysis: calcd for C15H26F6N4O6S2: C, 33.58, H 4.88, N 10.44%; found C 32.69, H 4.45, N 10.40%.
2,2′-Methylenebis[3,4,5,6-tetrahydro-1-ethylpyrimidinium] chloride ([4bH]Cl2): N-ethyl-1,3-propanediamine (3.85 mL, 31.17 mmol) was added dropwise to C3Cl5H (1.67 g, 7.79 mmol) in chloroform (150 mL) at 0 °C and the reaction stirred overnight under an inert atmosphere. The solvent was removed in vacuo after filtering the precipitated salt. The product was dissolved in distilled water and washed several times with diethyl ether to remove unreacted amine. The product was extracted using chloroform and the organic layer was washed with distilled water (4 × 50 mL). The solvent was removed in vacuo to yield a brown solid (1.4 g, 84%). 1H NMR (400 MHz, CD3CN): δ 10.25 (s, 2H, NH), 4.30 (s, 2H, CCH2C), 3.48 (t, 3JHH = 6.0 Hz, 8H, NCH2CH2CH2) (overlapping with CH2 in ethyl group), 3.54 (t, 3JHH = 7.8 Hz, NCH2CH2CH2), 2.10 (m, 4H, NCH2CH2CH2), 1.12 (t, 3JHH = 7.3 Hz, 6H, NCH2CH3). 13C{1H} NMR (100 MHz, CD3CN): δ 155.43 (CCH2C), 52.83 (NCH2CH2CH2), 47.23 (NCH2CH2CH2), 29.27 (CCH2C), 20.03 (NCH2CH3), 13.84 (NCH2CH3). EI-MS: Found m/z 119.1072 (M2+); Calcd: 119.1073 (M2+).
2,2′-Methylenebis[3,4,5,6-tetrahydro-1-ethylpyrimidinium] bis(trifluoromethanesulfonyl)amide ([4bH][NTf2]2): [4bH]Cl2 (1.46 g, 5.63 mmol) was stirred with LiNTf2 (2.51 g, 8.74 mmol) in 100 mL of distilled water. The product was extracted with dichloromethane (4 × 75 mL) and washed with distilled water (3 × 50 mL). The solvent was removed in vacuo to yield a white solid (1.29 g, 88%). 1H NMR (400 MHz, DMSO): δ 9.48 (s, 2H, NH), 4.12 (s, 2H, CCH2C), 3.53 (t, 3JHH = 6.0 Hz, 8H, NCH2CH2CH2) (overlapping with CH2 in ethyl group), 3.54 (t, 3JHH = 7.8 Hz, NCH2CH2CH2), 1.85 (m, 4H, NCH2CH2CH2), 1.12 (t, 3JHH = 7.3 Hz, 6H, NCH2CH3). 13C{1H} NMR (100 MHz, CD3CN): δ 155.75 (CCH2C), 119.92 (q, 1JCF = 324 Hz, CF3), 52.22 (NCH2CH2CH2), 46.87 (NCH2CH2CH2), 33.56 (CCH2C), 29.29 (NCH2CH3), 18.52 (NCH2CH2CH2), 14.18 (NCH2CH3). EI MS: Found m/z 119.1072 (M2+); calcd 119.1073 (M2+). Microanalysis: calcd for C17H26F12N6O8S4: C, 25.57, H 3.28, N 10.52%; found C 25.52, H 3.26, N 10.50%.
2,2′-Methylenebis[3,4,5,6-tetrahydro-1-ethylpyrimidinium] dicyanamide ([4bH][DCA]2): [4bH]Cl2 (1.34 g, 4.33 mmol) was stirred with NaDCA (0.698 g, 7.84 mmol) in 100 mL of distilled water. The product was extracted with chloroform and ethanol mixture (4 × 75 mL) and then washed with distilled water (3 × 50 mL). The solvent was removed in vacuo to yield a white solid (1.08 g, 74%). 1H NMR (400 MHz, DMSO): δ 10.25 (s, 2H, NH), 4.30 (s, 2H, CCH2C), 3.48 (t, 3JHH = 6.0 Hz, 8H, NCH2CH2CH2) (overlapping with CH2 in ethyl group), 3.54 (t, 3JHH = 7.8 Hz, NCH2CH2CH2), 2.10 (m, 4H, NCH2CH2CH2), 1.12 (t, 3JHH = 7.3 Hz, 6H, NCH2CH3). 13C{1H} NMR (100 MHz, CD3CN): δ 155.43 (CCH2C), 52.83 (NCH2CH2CH2), 47.23 (NCH2CH2CH2), 29.27 (CCH2C), 20.03 (NCH2CH3), 13.84 (NCH2CH3). EI-MS: Found m/z 119.1072 (M2+); calcd 119.1073 (M2+). Microanalysis: calcd for C17H26N10: C, 55.12, H 7.07, N 37.81%; found C 53.78, H 7.25, N 37.56%.
2,2′-Methylenebis[3,4,5,6-tetrahydro-1-ethylpyrimidinium] trifluoromethylsulfonate ([4bH][OTf]2): [4bH]Cl2 (1.73 g, 6.32 mmol) was stirred with LiOTf (1.57 g, 10.06 mmol) in 100 mL of distilled water. The product was extracted with chloroform and ethanol mixture (4 × 75 mL) and washed with distilled water (3 × 50 mL). The solvent was removed in vacuo to yield a brown solid (1.21 g, 45%). 1H NMR (400 MHz, DMSO): δ 10.25 (s, 2H, NH), 4.30 (s, 2H, CCH2C), 3.48 (t, 3JHH = 6.0 Hz, 8H, NCH2CH2CH2) (overlapping with CH2 in ethyl group), 3.54 (t, 3JHH = 7.8 Hz, NCH2CH2CH2), 2.10 (m, 4H, NCH2CH2CH2), 1.12 (t, 3JHH = 7.3 Hz, 6H, NCH2CH3). 13C{1H} NMR (100 MHz, CD3CN): δ 155.75 (CCH2C), 119.92 (q, 1JCF = 324 Hz, CF3), 52.22 (NCH2CH2CH2), 46.87 (NCH2CH2CH2), 33.56 (CCH2C), 29.29 (NCH2CH3), 18.52 (NCH2CH2CH2), 14.18 (NCH2CH3). EI MS: Found m/z 119.1072 (M2+); calcd: 119.1073 (M2+). Microanalysis: calcd for C15H26F6N4O6S2: C, 33.58, H 4.88, N 10.44%; found C 33.46, H 4.56, N 10.40%.
2,2′-Methylenebis[3,4,5,6-tetrahydro-1-butylpyrimidinium] chloride ([4cH]Cl2): N-butyl-1,3-propanediamine (4.56 mL, 28.7 mmol) was added dropwise to C3HCl5 (1.50 g, 7.00 mmol) in chloroform (150 mL) at 0 °C and the reaction stirred overnight under an inert atmosphere. The solvent was removed in vacuo after filtering the precipitated salt. The product was dissolved in distilled water and washed several times with diethyl ether to remove unreacted amine. The product was extracted using chloroform and the organic layer was washed with distilled water (4 × 50 mL). The solvent was removed in vacuo to yield a brown solid (1.2 g, 47%). 1H NMR (400 MHz, CDCl3): δ 11.30 (s, 2H, NH), 4.47 (s, 2H, CCH2C), 3.67 (t, 3JHH = 6.0 Hz, 4H, NCH2CH2CH2), 3.63 (m, 4H, HNCH2), 3.54 (t, 3JHH = 7.8 Hz, NCH2CH2CH2), 2.10 (m, 4H, NCH2CH2CH2), 1.65 (m, 4H, NCH2CH2CH2CH3), 1.37 (m, 4H, NCH2CH2CH2CH3), 0.97 (t, 3JHH = 7.3 Hz, 6H, NCH2CH2CH2CH3). 13C{1H} NMR (100 MHz, CDCl3): δ 155.43 (CCH2C), 52.83 (NCH2CH2CH2), 47.23 (NCH2CH2CH2), 39.27 (NCH2CH2CH2CH3), 29.27 (CCH2C), 20.03 (NCH2CH2CH2CH3), 18.82 (NCH2CH2CH2CH3), 13.84 (NCH2CH2CH2CH3). EI MS: Found m/z 147.1388 (M2+); Calcd 147.1386 (M2+).
2,2′-Methylenebis[3,4,5,6-tetrahydro-1-butylpyrimidinium] bis(trifluoromethanesulfonyl)amide ([4cH][NTf2]2): [4cH]Cl2 (1.67 g, 4.56 mmol) was stirred with LiNTf2 (1.99 g, 6.93 mmol) in 100 mL of distilled water. The product was extracted with dichloromethane (4 × 75 mL) and washed with distilled water (3 × 50 mL). The solvent was removed in vacuo to yield a white solid (1.35 g, 46%). 1H NMR (400 MHz, DMSO): δ 9.44 (s, 2H, NH), 4.04 (s, 2H, CCH2C), 3.49 (t, 3JHH = 5.5 Hz, 4H, NCH2CH2CH2), 3.36 (t, 3JHH = 7.3 Hz, NCH2CH2CH2), 1.92 (m, 4H, NCH2CH2CH2), 1.54 (m, 4H, NCH2CH2CH2CH3), 1.26 (m, 4H, NCH2CH2CH2CH3), 0.89 (t, 3JHH = 7.32 Hz, 6H, NCH2CH2CH2CH3). 13C{1H} NMR (100 MHz, CDCl3): δ 155.73 (CCH2C), 119.92 (q, 1JCF = 324 Hz, CF3), 52.28 (NCH2CH2CH2), 46.95 (NCH2CH2CH2), 33.66 (NCH2CH2CH2CH3), 29.33 (CCH2C), 19.69 (NCH2CH2CH2CH3), 18.53 (NCH2CH2CH2CH3), 14.16 (NCH2CH2CH2CH3). EI MS: Found m/z 147.1383 (M2+); Calcd 147.1386 (M2+). Microanalysis: calcd for C21H34F12N6O8S4: C, 29.51, H 4.01, N 9.83%; found C 30.44, H 4.10, N 10.03%.
2,2′-Methylenebis[3,4,5,6-tetrahydro-1-butylpyrimidinium] dicyanamide ([4cH][DCA]2): [4cH]Cl2 (1.67 g, 4.56 mmol) was stirred with NaDCA (1.99 g, 22.35 mmol) in 100 mL of distilled water. The product was extracted with chloroform and ethanol mixture (4 × 75 mL). Then, washed with distilled water (3 × 50 mL). The solvent was removed in vacuo to yield a white solid (1.35 g, 69.4%). 1H NMR (400 MHz, DMSO): δ 9.44 (s, 2H, NH), 4.04 (s, 2H, CCH2C), 3.48 (t, 3JHH = 5.5 Hz, 4H, NCH2CH2CH2), 3.35 (t, 3JHH = 7.3 Hz, NCH2CH2CH2) 3.30 (s, H2O), 1.92 (m, 4H, NCH2CH2CH2), 1.54 (m, 4H, NCH2CH2CH2CH3), 1.27 (m, 4H, NCH2CH2CH2CH3), 0.89 (t, 3JHH = 7.32 Hz, 6H, NCH2CH2CH2CH3).13C{1H} NMR (100 MHz, CDCl3): δ 155.75 (CCH2C), 119.92 (s, CN), 52.22 (NCH2CH2CH2), 46.87 (NCH2CH2CH2), 33.56 (CCH2C), 29.29 (NCH2CH2CH2CH3), 19.71 (NCH2CH2CH2CH3), 18.52 (NCH2CH2CH2),14.18 (NCH2CH2CH2CH3). EI MS: Found m/z 147.1383 (M2+); Calcd: 147.1386 (M2+). Microanalysis: calcd for C21H34N10: C, 59.13, H 8.03, N 32.84%. Calc found C 58.99, H 8.98, N 32.58%.
2,2′-Methylenebis[3,4,5,6-tetrahydro-1-butylpyrimidinium] trifluoromethylsulfonate ([4cH][OTf]2): [4cH]Cl2 (1.67 g, 4.56 mmol) was stirred with LiOTf (1.26 g, 8.08 mmol) in 100 mL of distilled water. The product was extracted with chloroform and ethanol mixture (4 × 75 mL) and washed with distilled water (3 × 50 mL). The solvent was removed in vacuo to yield a brown solid (1.47 g, 61%).1H NMR (400 MHz, DMSO): δ 9.89 (s, 2H, NH), 4.16 (s, 2H, CCH2C), 3.49 (t, 3JHH = 5.5 Hz, 4H, NCH2CH2CH2), 3.32 (t, 3JHH = 7.3 Hz, NCH2CH2CH2) 3.30 (s, H2O ), 1.91 (m, 4H, NCH2CH2CH2), 1.54 (m, 4H, NCH2CH2CH2CH3), 1.27 (m, 4H, NCH2CH2CH2CH3), 0.87 (t, 3JHH = 7.32 Hz, 6H, NCH2CH2CH2CH3). 13C{1H} NMR (100 MHz, CDCl3): δ 155.75 (CCH2C), 119.92 (q, 1JCF = 324 Hz, CF3), 52.22 (NCH2CH2CH2), 46.87 (NCH2CH2CH2), 33.56 (CCH2C), 29.29 (NCH2CH2CH2CH3), 19.71 (NCH2CH2CH2CH3), 18.52 (NCH2CH2CH2), 14.18 (NCH2CH2CH2CH3). EI-MS: Found m/z 147.1384 (M2+) Calcd 147.1386 (M2+). Microanalysis: calcd for C19H34F6N4O6S2: C, 38.51, H 5.78, N 9.45%; found C 38.94, H 5.67, N 10.05%.
2,2′-Methylenebis[4,5,6,7-tetrahydrodiazepinium] chloride ([5H]Cl2): 1,4-Butanediamine (2.92 g, 33.12 mmol) was added dropwise to C3Cl5H (1.77 g, 8.26 mmol) in dichloromethane (150 mL) at 0 °C and the solution stirred for one hour. After filtering the precipitated salt and removing the solvent, the residual salt was removed by dissolving in dichloromethane (100 mL) and washing with water (4 × 50 mL). Removal of dichloromethane in vacuo yielded a light-yellow solid (1.56 g, 67.2%). The solid was recrystallized using a vapour diffusion technique to give colourless crystals. 1H NMR (CDCl3, 400 MHz): 11.05 (s, NH, 4H), 4.24 (s, CCH2C, 2H), 3.65 (m, NCH2CH2CH2CH2, 8H) 2.04 (m, NCH2CH2CH2CH2, 8H). 13C NMR (CDCl3, 100 MHz): 161.13 (CCHC), 44.14 (NCH2CH2CH2CH2), 35.73 (CCH2C), 26.16 (NCH2CH2CH2CH2). ES+ m/z: found 105.0921 (100%, M2+). Calcd. 105.0916 (100%, M2+).
2,2′-Methylenebis[4,5,6,7-tetrahydrodiazepinium] bis(trifluoromethanesulfonyl)amide ([5H][NTf2]2): [5H]Cl2 (1.608 g, 5.72 mmol) was stirred with AgNO3 (0.971 g, 5.72 mmol) in distilled water (100 mL). The precipitated AgCl was removed and LiNTf2 (2.55 g, 8.88 mmol) added. The solution was stirred for 2 h. The product was extracted with diethyl ether (4 × 75 mL) and washed with distilled water (4 × 50 mL) to remove excess salt. The organic layer was dried to yield a red solid (1.12 g, 32.7%). 1H NMR (DMSO, 400 MHz): 9.43 (s, NH, 4H), 3.59 (s, CCH2C, 2H), 3.30 is H2O, 3.51 (m, NCH2CH2CH2CH2, 8H), 1.92 (m, NCH2CH2CH2CH2, 8H). 13C NMR (DMSO, 100 MHz): 161.13 (CCHC), 35.73 (CCH2C), 44.14 (NCH2CH2CH2CH2), 26.16 (NCH2CH2CH2CH). ES+ m/z found: 105.0919 (100%, M2+). Calcd 105.0916 (100%, M2+). Microanalysis: calcd for C15H22F12N6O8S4: C, 23.38, H 2.88, N 10.91%; found C 23.28, H 2.28, N 10.44%.
2,2′-Methylenebis[3,4,5,6,7,8-hexahydrodiazocinium] chloride ([6H]Cl2): 1,5-pentanediamine (2.86 g, 28.0 mmol) was added dropwise to C3HCl5 (1.50 g, 7.00 mmol) in chloroform (150 mL) at 0 °C and the reaction stirred overnight under an inert atmosphere. The precipitated salt was filtered and the solvent was removed in vacuo. The product was dissolved in distilled water and washed several times with diethyl ether to remove unreacted amine. The product was extracted with chloroform and the organic layer washed with distilled water (4 × 50 mL). The solvent was removed in vacuo to yield a yellow solid (1.31 g, 60.5%). 1H NMR (400 MHz, CDCl3): δ 11.00 (s, 4H, NH), 4.29 (s, 2H, CCH2C), 3.73 (q, JHH = 6.4 Hz, 8H, NCH2(CH2)3CH2), 1.98 (m, 8H, N(CH2)2(CH2)2CH2), 1.65 (m, 4H, N(CH2)2(CH2)2CH2). 13C{1H} NMR (100 MHz, CDCl3): δ 160.21 (CCH2C), 42.13 (NCH2(CH2)3CH2), 36.63 (CCH2C), 29.48 (N(CH2)2(CH2)2CH2), 20.27 (N(CH2)2(CH2)2CH2). EI-MS: Found m/z 119.1073 (M2+); Calcd 119.1073 (M2+). Td at 10 °C/min = 330 °C.
2,2′-Methylenebis[3,4,5,6-tetrahydro-5,5-dimethylpyrimidinium] chloride ([7H]Cl2): 2,2-Dimethyl-1,3-propanediamine (8.21 g, 80.4 mmol) was added dropwise to C3Cl5H (4.30 g, 20.10 mmol) in dichloromethane (150 mL) at 0 ℃ and the reaction stirred for one hour. After filtering the precipitated salt and removing the solvents, the residual salt was removed by dissolving in dichloromethane (100 mL) and washing with water (4 × 50 mL). Removal of dichloromethane in vacuo yielded a light-yellow liquid which solidified overnight (2.41 g, 56%). 1H NMR (CDCl3, 400 MHz): 11.24 (s, NH, 4H), 4.44 (s, CCH2C, 1H), 3.15 (s, NCH2C(CH3)2CH2, 8H), 1.05 (s, CH3, 12H). 13C NMR (CDCl3, 100 MHz): 156.37 (CCH2C), 50.41 (NCH2 CH2), 49.49 (CCH2C), 25.49 (C(CH3)2), 24.17 (C(CH3)2. ES+ m/z: found 119.1070 (100 %, M2+); calcd 119.1073 (100 %, M2+).
2,2′-Methylenebis[3,4,5,6-tetrahydro-5,5-dimethylpyrimidinium] bis(trifluoromethanesulfonyl)amide ([7H][NTf2]2): [7H]Cl2 (1.08 g, 3.49 mmol) was stirred with AgNO3 (0.592 g, 3.49 mmol) in distilled water (100 mL). The precipitated AgCl was removed and LiNTf2 (1.53 g, 5.33 mmol) was added. The solution was stirred for 2 h. The product was extracted using diethyl ether (4 × 75 mL) and washed with distilled water (4 × 50 mL) to remove excess salt. The organic layer was dried to yield a brown solid (1.968 g, 71.0%). 1H NMR (CDCl3, 400 MHz): 9.79 (s, NH, 4H), 3.72 (s, CCH2C, 2H), 3.04 (s, NCH2C(CH3)2CH2, 8H), 0.96 (s, CCH3, 12H). 13C NMR (CDCl3, 100 MHz): 156.37 (CCH2C), 50.41 (NCH2C(CH3)2CH2), 49.49 (CCH2C), 25.49 (C(CH3)2), 24.17 (C(CH3)2). ES+ m/z found: 119.1076 (100%, M2+), calcd 119.1073 (100%, M2+). Microanalysis: calcd for C17H26F12N6O8S4: C 25.57, H 3.28, N 10.52%; found C 25.50, H 3.26, N 10.51%.
2,2′-Methylenebis[3,4,5,6-tetrahydro-5,5-dimethylpyrimidinium] dicyanamide ([7H][DCA]2): [7H]Cl2 (2.41 g, 7.79 mmol) was stirred with AgNO3 (1.32 g, 7.79 mmol) in 100 mL of distilled water. The precipitated AgCl was removed and NaDCA (1.17 g, 10.27 mmol) was added. The solution was stirred for 4 h and the product was extracted with chloroform (4 × 75 mL). The solvent was removed in vacuo to yield an orange liquid (1.23 g, 51%). 1H NMR (400 MHz, CDCl3): δ 8.22 (s, 4H, NH), 4.34 (s, 2H, CCH2C), 3.15 (s, 8H, NCH2C(CH3)2CH2), 1.05 (s, 12H, CCH3). 13C{1H} NMR (100 MHz, CDCl3): δ 156.58 (CCH2C), 50.49 (NCH2C(CH3)2CH2), 49.45 (CCH2C), 25.49 (C(CH3)2), 24.21 (C(CH3)2). EI MS: Found m/z 119.1074 (M2+); Calcd: 119.1073 (M2+). Microanalysis: calcd for C17H26N10: C 55.12, H 7.07, N 37.81%; found C 54.57, H 7.08, N 37.16%.
2,2′-Methylenebis[3,4,5,6-tetrahydro-5,5-dimethylpyrimidinium] trifluoromethanesulfonate ([7H][OTf]2): [7H]Cl2 (2.33 g, 7.53 mmol) was stirred with AgNO3 (1.27 g, 7.53 mmol) in 100 mL of distilled water. The precipitated AgCl was removed and LiOTf (1.94 g, 12.4 mmol) was added. The solution was stirred for 4 h and the product was extracted with chloroform (4 × 75 mL). The solvent was removed in vacuo to yield an orange solid (1.56 g, 47%). 1H NMR (400 MHz, CDCl3): δ 10.96 (s, 4H, NH), 4.29 (s, 2H, CCH2C), 3.15 (s, 8H, NCH2C(CH3)2CH2), 1.04 (s, 12H, CCH3). 13C{1H} NMR (100 MHz, CDCl3): δ 156.58 (CCH2C), 50.49 (NCH2C(CH3)2CH2), 49.45 (CCH2C), 25.49 (C(CH3)2), 24.21 (C(CH3)2). EI MS: Found m/z 119.1072 (M2+); Calcd: 119.1073 (M2+). Microanalysis: calcd for C15H26F6N4O6S2: C, 33.58, H 4.88, N 10.44%; found C 32.69, H 4.45, N 10.40%.

3. Results and Discussion

3.1. Synthesis

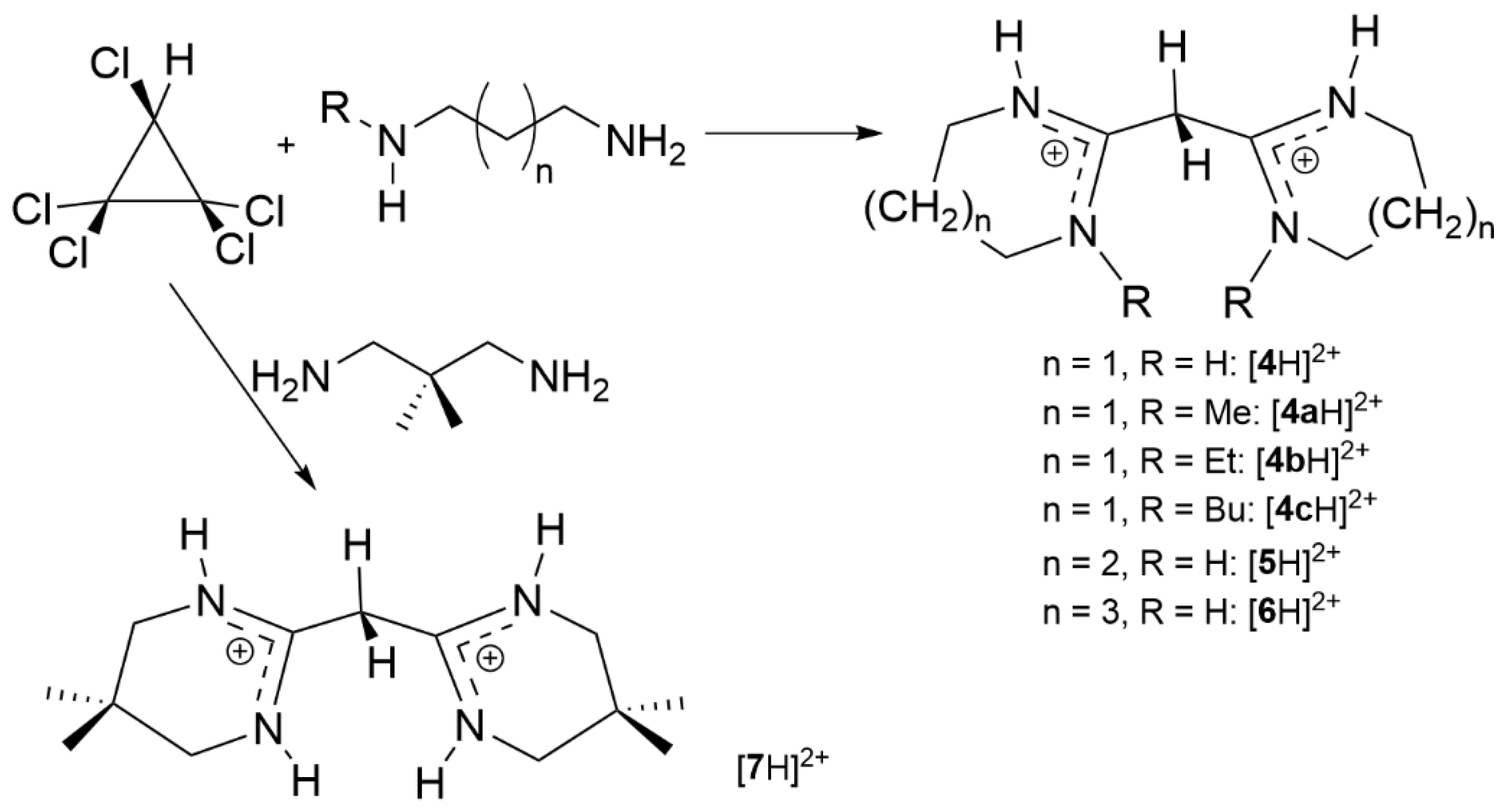
During our earlier work on TAC salts as ionic liquids, we had observed the formation of significant amounts of the allyldiamidiniums [1a]Cl and [1b]Cl during the syntheses of [C3(NMe2)3]Cl and [C3(NEtMe)3]Cl, respectively, via ES-MS of the crude product (Scheme 5) [3]. These species are easily separated from the TAC salts as they are much more soluble in aqueous acid (as the diamidinium dications) than the TAC salts. Reaction of C3Cl5H with longer chain secondary amines with one methyl group RNMeH (R = Pr, allyl, CH2CH2OMe) also show the formation of allyldiamidiniums ([1ce]+), but in lower amounts, so these were not able to be isolated in reasonable yields. Single crystals of the salt [1a]Cl were isolated as a chloroform solvate, and the solid-state structure is reported below. On the other hand, [1b]Cl is a viscous liquid at ambient temperature, so we prepared additional ionic liquids of [1b]+ with the bistriflamide (NTf2), dicyanamide (DCA) and triflate (OTf) anions by metathesis with LiNTf2, NaDCA and LiOTf, respectively. Unfortunately, steric factors appear to limit the viability of a direct reaction of C3Cl4 or C3Cl5H with secondary amines as a general route to allyldiamidinium ILs, since secondary amines with no methyl groups only form TAC salts upon reaction with C3Cl4. Species [2c]+, had been reported by Surman as the diamindinium dichloride, but not isolated [10], was isolated by us as an ionic liquid chloride salt in the diamidinium form [2cH]Cl2 and similarly converted to the bistriflamide diamidinium salt [2cH][NTf2]2.
We decided to further investigate Surman’s report on the use of diamines to synthesise allyldiamidiniums. We prepared two cations with the ethylene backbone: one asymmetric, with a Me group on one N atom and H on the other ([3a]+); and one symmetric, with an ethyl group on each N atom ([3b]+) (Scheme 6). The use of non-alkylated ethylenediamine generates a complex product mixture according to its ES-MS, probably due to the formation of oligomeric species. Salts [3a]Cl and [3b]Cl were also converted to the NTf2, DCA and OTf salts.
Surman also reported the addition of 1,3-diaminopropane to give the bicyclic diamidinium, a bis(tetrahydropyrimidinium), with four NH groups, [4H]2+ [10]. Along with this species, we prepared analogues with two NH groups and two alkylated (Me, Et and Bu) N atoms ([4aH]2+, [4bH]2+, and [4cH]2+, respectively), as well as an analogue with an alkylated backbone from 1,3-diamino-2,2-dimethylpropane ([7H]2+) (Scheme 7). The NTf2, DCA and OTf salts were prepared for [4H]2+, [4acH]2+ and [7H]2+. Larger ring analogues were also prepared from 1,4-diaminobutane ([5H]2+) and 1,5-diaminopentane ([6H]2+) which give the bis(tetrahydrodiazapinium) salt [5H]Cl2 and the bis(hexahydrodiazocinium) salt [6H]Cl2, respectively. The former of which was also converted to the bistriflamide salt.
It should be noted that in some cases the chloride salt was isolated as the allyldiamidinium and in other cases as the diamidinium. Significantly, [1b]Cl was isolated as the allyldiamidinium, despite being extracted with CH2Cl2 from an aqueous solution at pH 1–2. On the other hand, [2cH]Cl2 was obtained as the diamidinium, despite being isolated by extraction from a basic aqueous solution. There are several factors in play here: most importantly, the pKa of the diamidinium species, and the distribution coefficients of the diamidinium and allyldiamidinium between the aqueous and organic layers. It might be expected that the dications would have less preference for the organic layer, however, NH–Cl hydrogen bonding is very strong and some of these species are able to strongly chelate the chloride ions, as evidenced by difficulties experienced when carrying out the subsequent anion metathesis (addition of AgNO3 is required to remove the chloride). Notably, the solid-state structures of [4H]Cl2, [5H]Cl2 and [6H]Cl2 display non-solvated bis-chelated dichloride diamidinium structures (Section 3.5). These bis-chelated structures not only stabilize the diamidinium species, but also give neutral clusters that would be expected to have improved solubility in polar organic solvents. Thus, all of the salts with four NH groups were obtained as the diamidiniums, whereas all of the salts with no NH groups were obtained as the allyldiamidiniums. In the cases of salts with two NH groups, salts [4acH]Cl2 were obtained as the diamidinium, whereas [3a]Cl was obtained as the allyldiamidinium.

3.2. Thermal Properties

Thermal decomposition represents the upper limit for the liquid state of an ionic liquid. It is conventionally determined by thermal gravimetric analysis (TGA) at a heating rate of 1 or 10 K/min, and we have used 10 K/min here which provides useful comparisons with other ILs. Decomposition does begin at lower temperatures, and isothermal studies would be required if information on practical operating temperatures were required more precisely. TGA and DSC data are summarized in Table 1.
For the allyldiamidinium series of salts (Figure 1a), we can consider the effect of different anions (generally this is consistent with the nucleophilicity of the anion), the effect of N alkylation ([3a]+ versus [3b]+), and the effect of amidinium ring formation ([1b]+ versus [3b]+). For the three cations for which we have TGA results for all of Cl, DCA, OTf and NTf2 ([1b]+, [3a]+ and [3b]+), the chlorides have the lowest Td (average of 277 °C), followed by DCA (335 °C) and OTf and NTf2 which have similar average Td values (405 °C and 409 °C, respectively). This is pretty much in line with expectations. The effect of N alkylation is variable when comparing [3a]+ and [3b]+. In TAC salts, alkylation significantly increases Td,[3] whereas for these salts with the NTf2 anion, Td decreases with alkylation, and triflate is approximately the same. For chloride and DCA it increases. We presume that this is due to increased steric crowding upon alkylation which may favor different decomposition routes depending on the nucleophilicity of the anion. Amidinium ring formation, on the other hand, unambiguously provides increased stabilization; all four salts of [3b]+ are significantly more stable than the salts of [1b]+ (average Td values are 385 and 315 °C, respectively). These two cations have a difference of only four H atoms.
For the diamidinium series of salts studied here (Figure 1b), we can also consider the effect of different anions as well as the effect of increasing the alkyl chain length on the N atoms ([4aH]2+–[4cH]2+), the effect of N alkylation ([4H]2+ versus [4aH]2+–[4cH]2+), the effect of ring size ([4H]2+–[6H]2+), and the effect of amidinium ring formation ([2cH]2+ versus [4H]2+). Again, the NTf2 and OTf salts are similar on average (399 °C versus 403 °C, respectively), although there may be up to a 30 °C difference for some cations. The dicyanamide salts are again consistently lower in stability (341 °C on average). Interestingly, the chloride salts are similar to the dicyanamide salts in this case. Thus, broadly speaking, the Td values for the allyldiamidinium and diamidinium salts are similar for the NTf2, OTf and DCA salts, whereas the diamidinium chloride salts are more stable than the allyldiamidinium chloride salts. We expect that the reason for the extra stability of the diamidinium chloride salts is the strongly-chelated NH–Cl hydrogen bonding discussed in the synthesis section (and exhibited in the solid-state structures discussed later) which would reduce the nucleophilicity of the chloride ions.
In trisdialkylaminocyclopropenium (TDAC) salts, it was found that Td is constant with alkyl chain length, except for those that have multiple Me groups; those have lower stabilities [3]. In the case of the diamidiniums here, there is no such obvious trend as each anion shows different behavior from [4aH]2+–[4cH]2+ (see Figure 1b). Similarly, like the allyldiamidiniums and unlike the TAC salts, N alkylation does not give an obvious increase in stability when comparing [4H]2+ to [4aH]2+–[4cH]2+, although in these cases there are still two NH groups present on the cation, rather than four. In the case of ring size, [4H]2+ has six-membered rings in which five of the atoms are coplanar due to the sp2 hybridization of the three amidinium CN2 atoms, leaving the sixth atom out of the plane so that each atom can reasonably well adopt its preferred geometry. With [5H]2+, however, the seven-membered ring is significantly strained and the sp2 hybridized atoms can no longer adopt ideal 120° angles (see the solid-state structure below). Thus, Td for [5H][NTf2]2 is significantly lower than for [4H][NTf2]2 (368 °C versus 408 °C, respectively), while [5H]Cl2 is slightly lower than for [4H]Cl2 (309 °C versus 329 °C, respectively). On the other hand, [6H]Cl2 is much less distorted and consequently its Td (330 °C) is similar to that of [4H]Cl2. Chelation of the chlorides may have some impact on Td by reducing the chloride nucleophilicity and thus increasing the stability of the salt. As with ring formation in the allyldiamidinium salts, ring formation in the diamidinium salts dramatically increases stability with the chloride and bistriflamide salts of [4H]2+ having Td values 75 to 90 °C higher than the corresponding salts of [2cH]2+.
The melting point (Tm) represents the lower limit of the liquid range for an ionic liquid. Unfortunately, we were often unable to determine this for the low-melting salts as highly viscous liquids are frequently slow to crystallize and often do not crystallize during a DSC scan; this can limit the observation of a solid-liquid transition. Also, many of the chloride salts are highly hygroscopic making the determination of a reliable value for Tm very difficult. The Tm depends on a large variety of factors, including the strength of the intermolecular forces, the packing efficiency, conformational flexibility and symmetry, and so are generally difficult to predict accurately, although comparisons between similar species are more reliable.
The allyldiamidinium chloride salt [1a]Cl has a very high Tm of 201 °C due to strong electrostatic interactions with the small chloride ion and an a relatively inflexible cation. In contrast, [1b]Cl has four -NEtMe groups which can rotate to generate a wide variety of conformers, as well as having four flexible ethyl groups. Thus, the triflate has a Tm of 55 °C whereas the chloride, bistriflamide and dicyanamide salts are liquid at ambient temperature. [3a]+ salts would be expected to have higher Tm than salts of [3b]+ due to the potential for hydrogen bonding from the two NH groups as well as the lack of conformational flexibility of the two methyl groups compared to the four ethyl groups in [3b]+. Thus, Tm for the bistriflamide and triflate salts is higher for [3a]+ than [3b]+.
The diamidinium [2cH]Cl2 has a Tm of 49.5 °C. Although it has strong hydrogen bonding between the chloride ions and the four NH groups, the four -NHBu amino groups provide much conformational flexibility and low symmetry. Consequently, the Tm for [2cH][NTf2]2 is much lower at –43.8 °C as this has much weaker hydrogen bonding. On the other hand, although [4H][NTf2]2 also has four NH bonds like [2cH][NTf2]2, the six-membered rings have much less conformational flexibility, so its Tm is much higher at 96.5 °C. Compared to [4H]2+, the cations [4aH]2+ and [4bH]2+ have fewer NH groups (two versus four), greater conformational flexibility and lower symmetry, thus whereas Tm for the bistriflamide and triflate salts of [4H]2+ is > 95 °C, it is less than 20 °C for the salts of [4aH]2+ and [4bH]2+. Somewhat surprisingly, Tm for the salts of [4cH]2+ are all > 120 °C. Presumably this is due to the addition of eight methylene groups compared to [4bH]2+, which increases the dispersion forces.
Compared to [4H]2+, increasing the ring size ([5H]2+) or adding methyl groups to the ring ([7H]2+) has very little effect on Tm (for the bistriflamide salts, Tm = 96.5 °C versus 106.9 °C and 97.4 °C, respectively).

3.3. Viscosity and Conductivity

Two of the key properties for an ionic liquid in terms of its potential applications are viscosity and conductivity. Viscosity is important for processes such as flow, stirring, mixing and reagent diffusion, it also affects the conductivity which is an important property for electrochemical applications. Viscosity and data were collected at 20–90 °C where possible and data at 20 and 50 °C are given in Table 2, with the complete data provided in the Supporting Information (SI). Conductivity data was also collected for diamidinium ILs at 20–90 °C where possible.
For the allyldiamidinium salts, we obtained data for only the non-protic cations [1b]+ and [3b]+, which have very similar molecular weights for the cations of 269.45 and 265.42 g/mol, respectively (Figure 2a). Hydrogen bonding with the protic cations significantly increases the viscosity and we were unable to measure this for the protic allyldiamidiniums. Interestingly, the viscosity for the salts of [1b]+ are significantly greater than for the corresponding salts of [3b]+, and the viscosity of the bistriflamide salt of [1b]+ is significantly greater than that of its dicyanamide salt. Cation [1b]+ has greater conformational flexibility than [3b]+ which has two five-membered rings. It’s not clear why this gives high viscosity ILs for [1b]+. Compared to TDAC salts, however, even the viscosities of [3b]+ are relatively high: [C3(NEt2)2(NBuMe)]+, which has a similar Mr of 266.45 g/mol, has a viscosity for the NTf2 salt of 106.2 cP at 20 °C and 73.7 cP for the DCA salt (compared to 161 and 145 cP, respectively, for the corresponding salts of [3b]+). TDAC cations are well-known to have weak interactions with their anions and their viscosities are typically less than for other IL cations of similar size [3].
The viscosities of the diamidinium salts we measured here (for ILs of [4H]2+, [4aH]2+ and [7H]2+) are significantly higher than for the allyldiamidinium salts (Figure 2). This is largely due to hydrogen bonding with their protic NH groups, but also their higher charge. The DCA salts of these cations all have viscosities greater than 40,000 cP at 20 °C while [4aH][OTf]2 has a viscosity of 6170 cP. The viscosity of [4H][DCA]2 drops much more slowly than the other ILs. It has a similar viscosity to [4aH][DCA]2 at 20 °C and is much less than that of [7H][DCA]2. At 50 °C, however, it is much greater than both of those ILs. [4H]2+ and [7H]2+ both have four NH groups and would be expected to have greater viscosities than [4aH]2+ with two NH groups. The viscosity data were fit to the Arrhenius (η = A·exp(Ea/RT)), Vogel-Fulcher-Tammann (VFT) (η = η0·exp(B/(TT0))) and Litovitz (ln(η) = A + B*106K3/T3) equations. Some samples were well-fitted by Arrhenius plots ([1b]Cl, [1b]DCA, [3b]NTf2, and [4H][DCA]2), which can happen for short temperature ranges. In those cases, the VFT parameters we obtained were found to have very high B (and D) and low T0 values. These parameters are given in the SI. The Litovitz plots (Figure 2c and Figure 2d) are generally straight, with a few of them showing a slight convex curvature.
The conductivity of ionic liquids is one of their defining characteristics, and it is the primary reason for the significant interest in their battery and other electrochemical applications. Understanding the mechanisms by which conductivity occurs in ILs, therefore, is especially important. Primarily, conductivity is inversely dependent on the viscosity, as espoused by Walden’s rule: log(Λ /S·cm2·mol–1) = k·log(η–1 /P–1), where k is a constant. One way then to investigate aspects of conductivity is via a Walden plot of log(Λ /S·cm2·mol–1) versus log(η–1 /P–1) over a range of temperatures [18,19]. It is generally claimed that “ideally” (systems in which the cation and anion are independent) this plot gives a straight line of slope 1, and the ideal line is through the diagonal and is represented by aqueous 1 M KCl. In reality, aqueous KCl does not appear exactly on the diagonal, is dependent on the concentration, and has a slope of about 0.87. Nonetheless, the diagonal line does make a useful reference point for making comparisons between different ionic liquids. Deviations from the diagonal are measured by the Walden parameter ΔW, the difference between the diagonal and the line for the IL. Most commonly, ILs produce lines that lie below the diagonal, i.e., the conductivity is less than expected for a given viscosity. The reduction in conductivity is often attributed to the formation of non-conductive neutral ion-pairs, or weakly conductive ion clusters [19,20]. Angell described ILs that fall just below the diagonal line, with 0 < ΔW < 1, as “good ionic liquids” and those with ΔW > 1 as “poor ionic liquids”. These systems, with ΔW > 0, are also described as “subionic”. ILs that appear above the diagonal (ΔW < 0), with greater than expected conductivity, have been described as “superionic”. The enhanced conductivity has been attributed to Grötthus type of mechanisms, as may be found for protic ILs with labile protons. Harris has argued that deviations on the Walden plot do not necessarily relate to ion association and report that molten salts such as LiCl, CaCl2, ZnCl2 and LiClO3 are “superionic” on a Walden plot despite evidence that these salts conduct via ion migration in an electric field, as well as strong evidence that ZnCl2, for example, forms strong “ion pairs/clusters” in the form of complexes such as [ZnCl4]2– [21,22,23,24]. Although the viscosity-conductivity relationship has been extensively investigated for mono-cationic ILs, there are very few papers that report both viscosity and conductivity studies for ILs with dications: Lall-Ramnarine et al. reported a Walden product (k = Λ·η) of 0.95 P·S·cm2/mol for the diammonium bistrifamide [(EtOC2H4Me2N)2C6H12][NTf2]2, 1.09 for the diimidazolium [(MeIm)2C6H12][NTf2]2, and 4.37 for the mixed ammonium-imidazolium [Me3N(CH2)5ImMe][NTf2]2 [25,26]; Luo and coworkers reported that two bisimidazolium imidazolates [(MeIm)2(CH2)n][Im]2 (n = 2, 4) fall below the diagonal on a Walden plot, but above two mono-imidazolium imidazolates [27]; and Moosavi similarly reported that the bisimidazolium bistriflamides [(MeIm)2(CH2)n][NTf2]2 (n = 3, 5) fall below the diagonal, but above the analogous mono-imidiazolium bistriflamides [28]. In a related system, Ikeda reported viscosity and conductivity data at 25 °C for several tetraimidazolium tetracationic ILs of the general type [(RIm(R’)4C]4+ and tetrapyrrolidinium tetracationic [(MePy(CH2CH2O)2CH2)4C]4+ ILs with bistriflamide and [N(SO2F)2] anions, however, there was no analysis of the Walden parameters [29,30]. Note that equivalent conductivity is used for these systems to reflect the fact that the cation carries a 2+ (or 4+) charge.
Given the small number of studies on dicationic ILs, we decided to investigate the conductivity of the diamidinium ILs between 20 and 90 °C. The conductivity data (Figure 3) were fit to the Arrhenius (σ = A·exp(–Ea/RT)), Vogel-Fulcher-Tammann (VFT) (σ = σ·exp(–B/(TT0))), and Litovitz (ln(κ) = A + B*106K3/T3) equations. These parameters are given in the SI. The Litovitz plots are generally linear, however those of [4H][DCA]2 and [7H][DCA]2 show significant curvature at lower temperatures (approximately < 30 °C), but are otherwise linear above 30 °C. These may have been near their crystallization points; however, their melting points were not observed. In line with its lower viscosity, the triflate IL has the highest conductivity.
In order to produce a Walden plot, we required the densities to calculate the molar conductivities. Unfortunately, we were unable to measure the densities, so we used estimated densities based on DCA and triflate ILs of similar molecular weights. Full details are provided in the SI, but it is worth noting here that the densities of the dicationic ILs [bis(mim)C4]Im2 and [bis(mim)C4][NTf2]2 are greater than the densities of their monocationic analogues [Emim]Im and [Emim]NTf2 by 0.066 to 0.074 g/cm3 [27,28,31] which is a consequence of bond formation between two cations. Any errors in the density estimates have no significant impact on the logarithmic Walden plot.
The Walden plots for these compounds are given in Figure 4. The data below 40 °C for [4H][DCA]2 and [7H]DCA]2 is excluded. To our great surprise, these dicationic ILs appear above the diagonal, so they can be classified as “superionic”. Using the data for the linear plots, the average values of ΔW (Table 3) range from –0.13 to –0.47. Although the slope for [7H][DCA]2 is abnormally high at 1.17, the other three are typical for an IL and range from 0.68 to 1.01.
Naturally concerned that we had made some sort of error, we took a closer look at the previous reports on dicationic ILs. We found that Luo had plotted on the viscosity axis using the units Pa–1·s–1 rather than P–1, and this is an order of magnitude different. We also observed that the mono-imidazolium imidazolate ions have a surprisingly large ΔW of about 1 on their plot. Moosavi used correct units (10–1·Pa·s)–1, but appears to be out by two orders of magnitude—their plot shows [C2mim]NTf2 and [C4mim]NTf2 with ΔW values of about 2, when they should certainly be much less than 1. Figure 5a provides the Walden plots generated using the raw data from the papers of Luo and Moosavi and shows that these dicationic ILs also in fact appear in or near the superionic region. The imidazolate ILs have ΔW values (Table 3) of –0.23 and –0.31, and the bistriflamides are near the ideal line (ΔW = –0.04 and +0.02). Additionally, Figure 5b provides the Walden plot for dicationic ILs reported by Lall-Ramnarine et al. for data at 25 °C as well as for tetracationic ILs reported by Ikeda for data at 25 °C, and these are combined with the 30 °C data from Luo and Moosavi [25,26,27,28,29,30]. Remarkably, all of these fall into the same superionic region on the Walden plot, with a few sitting very close to the diagonal, and also in the same region that we observed for the diamidinium ILs. The average ΔW for these 16 ILs is –0.21.
The similarity of our results with those reported by four other groups, along with the previous reports on molten salts by Harris, would likely rule out errors due to say impurities or measurement artifacts. Grötthus-like mechanisms would also appear to be unlikely. Although the diamidiniums described here have the ability to act as Brønsted acids, and the diimidazoliums may also be stronger acids than the monoimidazoliums, that would not so easily explain the superionicity of the diammonium ILs or the molten salts. More likely is that it is due to some combination of ion (like and unlike) correlations (and anti-correlations). As for whether these are “superionic” ILs, that depends on what is meant by “superionic”. In terms of the Walden plot, they are superionic in the sense that their conductivities are greater for their viscosities compared to other ILs that do not have special Grøtthus-like mechanisms of conductivity. If superionic is interpreted to mean that there is a conductivity mechanism that increases the conductivity beyond what would be expected for simple diffusion, then they are probably not superionic. However, the Walden plot does not directly interrogate the conductivity mechanism, so, in a practical sense, the former understanding of what is meant by superionic (high conductivity relative to its viscosity) is perhaps most useful, even though it says nothing necessarily about either the conductivity mechanism or the degree of ionicity.

3.4. Miscibility and Solubility

Understanding the miscibility and solubility of an ionic liquid is important for its use in an application. These properties were investigated at 25 °C in a variety of solvents (Table 4). For the non-polar solvents ethylacetate, diethylether, toluene and hexane, all of the salts for either insoluble or immiscible except for the partially soluble [3a]NTf2 allyldiamidinium in ethylacetate and the diamidiniums [7H]NTf2, [4bH][OTf]2 and [7H][DCA]2 salts in that solvent. It’s not clear why that occurs. On the other hand, all of the salts are miscible/soluble in methanol and CH2Cl2, except for partially-soluble [4H]OTf in methanol. The properties in water are more variable, with the chloride salts being soluble/miscible and the NTf2 salts being insoluble/immiscible. Of the triflates, the monocationic allyldiamidiniums are all insoluble whereas some of the smaller dicationic diamidiniums, [4H][OTf]2, [4aH][OTf]2 and [4bH][OTf]2 are partially soluble/miscible. The dicyanamide salts are all soluble or miscible to some degree, since this anion is generally more hydrophilic.

3.5. X-Ray Crystallography

The salts [1a]Cl.2CHCl3, [3b]OTf, [4H]Cl2, [5H]Cl2 and [6H]Cl2 were characterized by single-crystal X-ray diffraction. Crystallographic data, as well as tables of bond distances and angles, are provided in the SI. [1a]Cl was isolated as a dichloroform solvate in the monoclinic space group C2/c. The chloride and [1a]+ cation sit on crystallographic C2 axes. Two asymmetric units (one formula unit) with the atomic labelling scheme are shown in Figure 6a. The chloride solvate species is not quite linear, with a C7–Cl–C7’ angle of 148.57(10)°. Unlike the other allyldiamidinium salts that have been reported previously, this cation has equivalent amidinium moieties, so the delocalization is equal on both sides. The equivalent C–C bond distances of 1.405(2) Å are typical for a C–C bond order of 1.5 and lie between the two C–C bond distances for the other reported examples, except for [(Me2N)2CCHC(NH-t-Bu)2]Cl.H2O.Me2CO [15], which has very similar, but slightly longer, distances (1.411(2) and 1.407(2) Å). Steric crowding between the C3 methyl groups prevents planarity of the allyldiamidinium (Figure 6b). Most of this is relieved by rotation about the C1–C2, C2–N1 and C2–N2 bonds, thus the twist angles between the various adjacent planes (C2-C1-C2’, C1-C2-N1-N2, C2-N1-C3-C4 and C2-N2-C5-C6) are very similar (between 27–29°), and most of the atoms are trigonal planar (for C1, C2 and N1, the sum of angles > 359.7°). However, N2 is slightly pyramidal, with a sum of angles of 356.2°. This has no significant structural effect as the C2–N distances are essentially the same at 1.352(3) and 1.358(2) Å, which are slightly longer than the C–N bond distances in pyridine (1.337 Å) as the C–N bond order should be less than 1.5. The N–Me distances average 1.46 Å. Oeser reported the structure of this cation as the perchlorate salt in 1974; the structure is essentially the same, with C–C distances were reported to be 1.41 and 1.42 Å and the C–N distances were found to be 1.33–1.37 Å [32].
[3b]Otf was isolated in the triclinic space group P–1 with one cation and one anion in the asymmetric unit (Figure 7a). The constrained five-membered rings are both planar along with the central C1 atom. However, steric interactions between the N2 and N3 ethyl groups force these to have a twist angle with respect to each other of 47.83(6)° (Figure 7b). Additionally, the ethyl groups are bent out of the plane by 21.79(11)° for the N2 ethyl and 21.48(9)° for the N3 ethyl. Interestingly, the ethyl groups on the other side of the rings are bent in the opposite direction, despite there being no obvious steric interactions; by 12.36(11)° for the N1 ethyl and 17.54(9)° for the N4 ethyl. Presumably this is a consequence of the π delocalization through the allyl atoms. N1 is the most planar N atom, it also has the shortest N–Callyl distance (1.345(2) versus 1.352(2)–1.359(2) Å – including the related distances in [1a]Cl), presumably due to more efficient π-bonding overlap with C3. The allyl C–C distances are also essentially the same as in [1a]Cl: 1.400(2) and 1.402(2) Å versus 1.405(2) Å.
Both [1a]+ and [3b]+ cations are more symmetric than most previously-reported allyldiamidiniums. Do et al. drew the cation [(Me2N)2CCHC(NHtBu)2]+ as having a localized non-charged bis(dimethylamino) group and a delocalized bis(t-butylamino)amidinium cationic group, analogous to the asymmetric resonance structure shown in Scheme 2b, but described it as a highly delocalized system since the C–C distances are essentially the same: 1.411(2) and 1.407(2) Å, and the N–C distances fall in the range 1.348–1.366 Å [15]. Clyburne and coworkers reported a structure of the same salt, but with different solvate molecules [14]. The C–C distances in this case are slightly different (1.4165(12) and 1.4017(12) Å), but otherwise the structures are very similar. Clyburne also reported an adamantyl analogue [(Me2N)2CCHC(NHAdm)2][PF6] (Adm = adamantyl) which has quite different C–C distances of 1.418(3) and 1.394(3) Å as well as different C–N distances (1.358(4) and 1.369(3) Å for C–NMe2 and 1.344(3) and 1.341(3) Å for C–NAdm2), which are consistent with an asymmetric resonance structure. There appears to be no significant conformational difference between the two amidinium ends that would explain this asymmetry. On the other hand, the structure of [2d]NO3, reported by Taylor and coworkers, is significantly asymmetric due to an intramolecular NH–N hydrogen bond that causes the hydrogen bond acceptor N atom to have a pyramidal coordination geometry [9]. The pyramidal N–Callyl distance is consequently long (1.409(5) Å versus 1.335(6) – 1.345(5) Å for the other N–Callyl distances) and the corresponding C–C distance is much shorter than the other: 1.376(5) Å versus 1.417(5) Å.
The solid-state structure of [4H]Cl2 was found to pack in the orthorhombic space group Pbcn with half of the cation and one anion in the asymmetric unit (Figure 8a). A C2 axis passes through the central C atom, C2. Five of the atoms in each six-membered ring are in the same plane, with one out of the plane to give an envelope-like conformation for the rings (Figure 8b). Each chloride is chelated by two NH groups, one from each amidinium. The hydrogen-bonding parameters are provided in the SI. As expected, the bonds to the methylene groups are consistent with single bonds, whereas the amidinium N–C bonds are consistent with a bond order of 1.5 (1.311(2) and 1.3154(19) Å) and are slightly shorter than in the allyldiamidiniums above which have a formal bond order of 1.25.
Salt [5H]Cl2 forms in the monoclinic space group P21/n with two dications and four chlorides in the asymmetric unit (Figure 9a). The two dications adopt the same conformational arrangement in which one seven-membered ring has a twisted envelope-like conformation and the other has a distorted twist conformation (Figure 9b). The twist in each ring arises because the methylene groups attached to the amidinium CN2 atoms lie out of the CN2 plane. In the twisted envelope (top right and bottom left of Figure 7b), the N2–C2 vector forms an angle of 9.61(10)° with the amidinium plane (C1-C2-N1-N2) whereas the N1–C7 vector forms an angle of –12.31(10)°. In the distorted twist ring (top left and bottom right of Figure 7b), the N4–C8 vector has an angle of 18.4(1)° to the amidinium plane (C1-C3-N3-N4), whereas the N3–C11 vector forms an angle of 18.0(1)°. There are similar twists in the other dication.
As with [4H]2+, the amidinium C–N bond distances are short; they lie in the range 1.3107(16) to 1.3173(17) Å. Again also, each chloride is chelated by two NH groups, one from each amidinium.
Salt [6H]Cl2 forms in the monoclinic space group I2/a with half of a cation and one chloride in the asymmetric unit (Figure 10a). There is a C2 axis through the central methylene carbon. The amidinium groups are approximately planar with one CH2–N vector forming a 2.2(3)° angle with the CN2 plane while the other methylene forms an angle of 9.0(3)°. The 8-membered ring adopts a chair-like conformation (Figure 10b). The amidinium group is relatively planar with a C1-C2-N3-C4 torsion angle of 177.22(10)°, a C1-C2-N9-C8 torsion angle of 168.12(10)°, and a sum of angles at C2 of 359.99°. Bond distances are similar to those of [4H]Cl2 and [5H]Cl2.
While there are many examples of solid-state structures of amidinium salts, as well as diamidinium salts, relatively few of the diamidinium salts have a methylene bridge connecting the central amidinium C atoms. Taylor and coworkers reported the structure of [2dH][GaCl4]2 [9,11] and Clyburne reported [((Me2N)(NHTol)C)2CH2]Cl2.CH2Cl2.2H2O [14]. Both salts have approximately planar CN2 amidinium groups with C–N distances ranging from 1.296(16) to 1.335(16) Å, which is similar to the analogous structures reported here. Although the [((Me2N)(NHTol)C)2CH2]Cl2 salt has two NH groups and two chloride ions, the chloride ions are not chelated by the dications. One chloride forms an alternating water-chloride hydrogen-bonding chain whereas the other chloride forms hydrogen bonds to two different dications, thus forming a chain of alternating dications and chloride ions. The two chains are linked by chloride-water-chloride hydrogen-bonding bridges. Schwesinger [33] and Kemnitz [34] reported diamidinium dications which are linked by both methylene bridges at the central amidinium C atoms as well as by an ethylene bridge between N atoms. These are analogous to what would be [3aH]2+, but with a C–C bond between the Me groups.

4. Conclusions

Reaction of pentachlorocyclopropane (or tetrachliorocyclopropene) with primary amines, small secondary amines with at least one methyl group, or alkylated ethylenediamines allowed us to isolate a series of allyldiamidinium chloride salts. Some of these were converted to ionic liquids by using appropriate counterions. Longer-chain diamines were found to produce diamidinium chloride salts (the conjugate acid of an allyldiamidinium), and this allowed us to prepare a series of dicationic ILs. Thermal stabilities of the cyclic salts were found to be much higher than the acyclic analogues, with the stabilities of the bistriflamide and triflate salts being very high, up to 440 °C for some examples of both cyclic allyldiamidiniums and diamidiniums. The viscosities of five allyldiamidinium ILs were determined, with the cyclic ethyl-alkylated cation [3b]+ giving the lowest viscosities (145 cP at 20 °C for the DCA salt). Of the four diamidinium ILs, the triflate salt of [4aH]2+ has the lowest viscosity (6170 cP at 20 °C), whereas the three DCA ILs were found to have much higher viscosities (> 45,000 cP). Unfortunately, most of the triflate salts are solids at ambient temperature.
The conductivities of the four diamidinium ILs were also measured, with the triflate salt naturally having the highest conductivity (0.336 mS/cm at 20 °C). Walden plots remarkably showed these ILs to be “superionic”, and a closer look at previously reported dicationic (and tetracationic) ILs similarly found those to also be “superionic”. This apparent superionicity is not attributed to any special conductivity mechanism, but rather it is likely to be an ion-correlation effect. Nonetheless, it can certainly be said that their conductivities are higher (for their viscosities) than typical monocationic ILs.
Essentially all of the salts investigated here were found to be insoluble or immiscible with ethylacetate, diethylether, hexane and toluene at 25 °C, but soluble or miscible with methanol and dichloromethane. Water is a more complex co-solvent with the chloride and DCA salts of the allyldiamidinium cations being soluble/miscible but the bistriflamide and triflate salts being insoluble/immiscible. Again, for the diamidiniums, the chloride salts are miscible/soluble and the bistriflamide salts are immiscible/insoluble, however, the triflate and DCA salts generally show partial solubility/miscibility.
Solid-state structures show the allyldiamidinium cations to be significantly distorted (both the allyl and amidinium moieties) from their ideal planar structures due to steric interactions between amino alkyl groups. Nonetheless, there is still significant electron delocalization through the allyldiamidinium system, as evidenced by the various bond distances. This steric interaction is avoided in the diamidinium structures, and so the amidinium groups are now essentially planar (however, they have lost some delocalization compared to the allyldiamidiniums).
Conventional protic ionic liquids form a neutral conjugate base upon transfer of a proton which therefore gives a liquid that is not entirely composed of ions, and thus, under some definitions, is no longer an ionic liquid. In contrast, transfer of a proton from a diamidinium dication leaves a conjugate base that is still a cation. Thus, the allyldiamidinium-diamidinium system has the potential to provide a Brønsted acid-base pair that remains as an ionic liquid throughout the proton transfer process. Note that transfer from a diamidinium to a mono-anion would give a neutral conjugate acid of the anion, however, transfer to an allyldiamidinium would not. It is anticipated that this system could provide particular benefits to applications requiring proton transfer. Further work is also required to more fully understand the superionicity of multicationic ILs.

Supplementary Materials

The following supporting information can be downloaded at the website of this paper posted on Preprints.org, Complete viscosity and conductivity data along with VFT, Litovitz and Arrhenius fitting parameters; Crystallographic data, bond distances and angles, and hydrogen bonding parameters for [1a]Cl.2CHCl3, [3b]OTf, [4H]Cl2, [5H]Cl2 and [6H]Cl2. Crystallographic data is available in CIF format: CCDC 2485075–2485079.

Author Contributions

Conceptualization, O.C.; formal analysis, O.C. and S.A.; investigation, S.A. and R.Y.; resources, O.C.; data curation, O.C.; writing—original draft preparation, O.C.; writing—review and editing, O.C., S.A. and R.Y.; visualization, O.C.; supervision, O.C.; project administration, O.C. All authors have read and agreed to the published version of the manuscript.

Funding

This research received no external funding.

Data Availability Statement

The original contributions presented in this study are included in the article/supplementary material. Further inquiries can be directed to the corresponding author(s).

Acknowledgments

Prof. Ken Harris (UNSW) for useful discussions on ionicity and related matters. Dr. Matthew I. J. Polson (Canterbury) is thanked for his assistance with the X-ray crystallography.

Conflicts of Interest

The authors declare no conflict of interest.

References

  1. MacFarlane, D.R.; Kar, M.; Pringle, J.M. Fundamentals of Ionic Liquids. In An Introduction to Ionic Liquids; Wiley-VCH Verlag GmbH & Co. KGaA, 2017, pp. 1−25.
  2. Curnow, O. J.; MacFarlane, D. R.; Walst, K. J. Triaminocyclopropenium salts as ionic liquids. Chem. Commun. 2011, 47, 10248. [Google Scholar] [CrossRef] [PubMed]
  3. Walst, K.J.; Yunis, R.; Bayley, P.M.; MacFarlane, D.R.; Ward, C.J.; Wang, R.; Curnow, O.J. Synthesis and physical properties of tris(dialkylamino)cyclopropenium bistriflamide ionic liquids. RSC Adv. 2015, 5, 39565–39579. [Google Scholar] [CrossRef]
  4. Curnow, O. J.; Polson, M. I. J.; Walst, K. J.; Yunis, R. Synthesis and physical properties of tris(dialkylamino)cyclopropenium dicyanamide ionic liquids. RSC Adv. 2018, 8, 28313. [Google Scholar] [CrossRef]
  5. Akhil, S.; Curnow, O.J.; Walst, K.J.; Wang, R.; Yunis, R. Anion Effects on Thermophysical and Thermochemical Properties of Triaminocyclopropenium-Based Ionic Liquids. J. Chem. Eng. Data 2022, 67, 3602–3615. [Google Scholar] [CrossRef]
  6. Yoshida, Z.; Tawara, Y. Aminocyclopropenium ion. J. Am. Chem. Soc. 1971, 93, 2573–2574. [Google Scholar] [CrossRef]
  7. a) Weiss, R.; Brenner, T.; Hampel, F.; Wolski, A. The Consequences of an Electrostatic “Forced Marriage” between Two Electron-Rich Particles: Strained Ion Pairs. Angew. Chem. Int. Ed. Engl. 1995, 34, 439; b) Weiss, R.; Schloter, K. Stable radical dications. Tetrahedron Lett. 1975, 3491; c) Abdelbassit, M.S.; Curnow, O.J.; Libowitzky, E.; Piltz, R.O.; Polson, M.I.J. A Discrete Chloride Monohydrate: A Solid-State Structural and Spectroscopic Characterization. J. Phys. Chem. A 2020, 124, 9244–9251. d) Sevov, C.S.; Samaroo, S.K.; Sanford, M.S. Cyclopropenium Salts as Cyclable, High-Potential Catholytes in Nonaqueous Media. Adv. Energy Mater. 2017, 7, 1602027. [CrossRef]
  8. Yoshida, Z.; Konishi, H.; Tawara, Y.; Nishikawa, K.; Ogoshi, H. Novel Alkaline hydrolysis of triaminocyclopropenium ion. New route to diaminocyclopropenone and diaminocyclopropenethione. Tetrahedron Lett. 1973, 28, 2619–2622. [Google Scholar] [CrossRef]
  9. Clark, G.R.; Rickard, C.E.F.; Surman, P.W.J.; Taylor, M.J. Structural and spectroscopic investigations of 1,1,3,3-tetrakis(alkylamino)allyl cations, methylene-bis(N,N’-dialkylformamidinium) dications and related formamidine derivatives. J. Chem. Soc., Faraday Trans. 1997, 93, 2503–2507. [Google Scholar] [CrossRef]
  10. Surman, P.W.J. Novel products from pentachlorocyclopropane: A synthetic and structural investigation. PhD thesis, University of Auckland, New Zealand, 1996.
  11. Taylor, M.J.; Surman, P.W.J.; Clark, G.R. Allyl, Amidinium and Cyclopropenyl Cations from the Reactions of Primary and Secondary Amines with Pentachlorocyclopropane. J. Chem. Soc., Chem. Commun. 1994, 2517–2518. [Google Scholar] [CrossRef]
  12. Viehe, H.G.; Janousek, Z.; Gompper, R.; Lach, D. Allenetetramine and dialkoxydiaminoallene. Angew. Chem. Int. Ed. 1973, 12, 566–567. [Google Scholar] [CrossRef]
  13. Janousek, Z.; Viehe, H.G. Condensation of dichloromethylenedimethylammonium chloride (“Phosgene immonium chloride”) with N,N-Diakylcarboxamides. Angew. Chem. Int. Ed. 1971, 10, 574–575. [Google Scholar] [CrossRef]
  14. Land, M.A.; Robertson, K.N.; Ylijoki, K.E.O.; Clyburne, J.A.C. Reactivity of 1,3-dichloro-1,3-bis(dimethylamino)propenium salts with primary amines. New J. Chem. 2021, 45, 13558–13570. [Google Scholar] [CrossRef]
  15. Do, D.C.H.; Keyser, A.; Protchenko, A.V.; Maitland, B.; Pernik, I.; Niu, H.; Kolychev, E.L.; Rit, A.; Vidovic, D.; Stasch, A.; Jones, C.; Aldridge, S. Highly Electron-Rich β-Diketiminato Systems: Synthesis and Coordination Chemistry of Amino-Functionalized “N-nacnac” Ligands. Chem. – Eur. J. 2017, 23, 5830–5841. [Google Scholar] [CrossRef] [PubMed]
  16. (a) Lucier, J.J.; Harris, D.A.; Korosec, S.P. N-Methylbutylamine. Org. Synth. 1964, 44, 72; (b) Wawzonek, S.; Mckillip, W.; Peterson, C. N-Methylethylamine. Org. Synth. 1964, 44, 75; (c) Yunis, R. Synthesis and Characterization of Amino Acid Ionic liquids and Low Symmetry Ionic Liquids Based on the Triaminocyclopropenium Cation. PhD Thesis, University of Canterbury, New Zealand, 2015.
  17. Janousek, Z.; Viehe, H.G. Immonium chemistry. 2. Condensation of dichloromethylenedimethylammonium chloride (“phosgene immonium chloride”) with N, N-dialkylcarboxamides. Angew. Chem. Int. Ed. Engl. 1971, 10, 574–5. [Google Scholar] [CrossRef]
  18. (a) Angell, C.A.; Imrie, C.T.; Ingram, M.D. From Simple Electrolyte Solutions through Polymer Electrolytes to Superionic Rubbers: Some Fundamental Considerations. Polym. Int. 1998, 47, 9–15; (b) Xu, W.; Cooper, E.I.; Angell, C.A. Ionic Liquids: Ion Mobilities, Glass Temperatures, and Fragilities. J. Phys. Chem. B 2003, 107, 6170–6178; (c) Yoshizawa, M.; Xu, W.; Angell, C.A. Ionic Liquids by Proton Transfer: Vapor Pressure, Conductivity and the Relevance of ΔpKa from Aqueous Solutions. J. Am. Chem. Soc. 2003, 125, 15411–15419. [CrossRef]
  19. Xu, W.; Angell, C.A. Solvent-Free Electrolytes with Aqueous Solution−Like Conductivities. Science 2003, 302, 422–425. [Google Scholar] [CrossRef]
  20. (a) Fraser, K.J.; Izgorodina, E.I.; Forsyth, M.; Scott, J.L.; MacFarlane, D.R. Liquids Intermediate between “Molecular” and “Ionic” Liquids: Liquid Ion Pairs? Chem. Commun. 2007, 3817–3819; (b) Philippi, F.; Rauber, D.; Zapp, J.; Hempelmann, R. Transport Properties and Ionicity of Phosphonium Ionic Liquids. Phys. Chem. Chem. Phys. 2017, 19, 23015–23023.
  21. Harris, K.R. On the Use of the Angell−Walden Equation To Determine the “Ionicity” of Molten Salts and Ionic Liquids. J. Phys. Chem. B 2019, 123, 7014–7023. [Google Scholar] [CrossRef]
  22. Harris, K.R. Can the Transport Properties of Molten Salts and Ionic Liquids Be Used To Determine Ion Association? J. Phys. Chem. B 2016, 120, 12135–12147. [Google Scholar] [CrossRef]
  23. Harris, K.R. Relations between the Fractional Stokes-Einstein and Nernst-Einstein Equations and Velocity Correlation Coefficients in Ionic Liquids and Molten Salts. J. Phys. Chem. B 2010, 114, 9572–9577. [Google Scholar] [CrossRef] [PubMed]
  24. Harris, K.R.; Kanakubo, M.; Tsuchihashi, N.; Ibuki, K.; Ueno, M. Effect of Pressure on the Transport Properties of Ionic Liquids: 1-Alkyl-3-methylimidazolium Salts. J. Phys. Chem. B 2008, 112, 9830–9840. [Google Scholar] [CrossRef]
  25. Lall-Ramnarine, S.I.; Fernandez, E.D.; Rodriguez, C.; Wei, S.; Dhiman, S.B.; Wishart, J.F. Transport Properties of Ionic Liquid Mixtures Containing Heterodications. ECS Transactions 2016, 75, 555–565. [Google Scholar] [CrossRef]
  26. Lall-Ramnarine, S.I.; Suarez, S.N.; Fernandez, E.D.; Rodriguez, C.; Wei, S.; Gobet, M.; Jayakody, J.R.P.; Dhiman, S.B.; Wishart, J.F. Exploring the Use of Ionic Liquid Mixtures to Enhance the Performance of Dicationic Ionic Liquids. J. Electrochem. Soc. 2017, 164, H5150–H5159. [Google Scholar] [CrossRef]
  27. Zhang, Y.; Li, T.; Wu, Z.; Yu, P.; Luo, Y. Synthesis and thermophysical properties of imidazolate-based ionic liquids: Influences of different cations and anions. J. Chem. Thermodynamics 2014, 74, 209–215. [Google Scholar] [CrossRef]
  28. Moosavi, M.; Khashei, F.; Sharifi, A.; Mirzaei. M. Transport Properties of Short Alkyl Chain Length Dicationic Ionic Liquids—The Effects of Alkyl Chain Length and Temperature. Ind. Eng. Chem. Res. 2016, 55, 9087–9099. [Google Scholar] [CrossRef]
  29. Ikeda, T. Facile Synthesis of Tetra-Branched Tetraimidazolium and Tetrapyrrolidinium Ionic Liquids. ACS Omega 2021, 6, 19623–19628. [Google Scholar] [CrossRef]
  30. Ikeda, T. Tetra-Branched Tetra-Cationic Ionic Liquids: Effects of Spacer and Tail Structure on Physical Properties. Bull. Chem. Soc. Jpn. 2020, 93, 1218–1225. [Google Scholar] [CrossRef]
  31. Fröba, A.P.; Kremer, H.; Leipertz, A. Density, Refractive Index, Interfacial Tension, and Viscosity of Ionic Liquids [EMIM][EtSO4], [EMIM][NTf2], [EMIM][N(CN)2], and [OMA][NTf2] in Dependence on Temperature at Atmospheric Pressure. J. Phys. Chem. B 2008, 112, 12420–12430. [Google Scholar] [CrossRef] [PubMed]
  32. Oeser, E. Crystal structure determination of 1,1,3,3-tetrakis(dimethylamino)allyl perchlorate by x-ray techniques. Chem. Ber. 1974, 107, 627–633. [Google Scholar] [CrossRef]
  33. Schwesinger, R. Tricyclic 2,4-Diaminovinamidines – Readily Accessible, Very Strong CHN Bases. Angew. Chem. Int. Ed. 1987, 26, 1164–1165. [Google Scholar]
  34. Feist, M.; Trojanov, S.; Kemnitz, E. The crystal structure of 2,4-diaminovinamidinium bis-tetrachloroferrate(III), (C9H16N4)[FeCl4]2. Z. Naturforsch. B, 1996, 51, 1137–1140. [Google Scholar] [CrossRef]
Scheme 1. Reactions of C3Cl4 (and C3Cl5H) with primary and secondary amines.
Scheme 1. Reactions of C3Cl4 (and C3Cl5H) with primary and secondary amines.
Preprints 175410 sch001
Scheme 2. (a) Acid-base relationships of diamidinium, allyldiamidinium and tetraaminoallene species with dialkylated amino groups; (b) resonance forms for the allyldiamidiniums (there are four equivalent structures for each type).
Scheme 2. (a) Acid-base relationships of diamidinium, allyldiamidinium and tetraaminoallene species with dialkylated amino groups; (b) resonance forms for the allyldiamidiniums (there are four equivalent structures for each type).
Preprints 175410 sch002
Scheme 3. Synthesis of allyldiamidiniums from [Cl2C=NMe2]+ [5,6].
Scheme 3. Synthesis of allyldiamidiniums from [Cl2C=NMe2]+ [5,6].
Preprints 175410 sch003
Scheme 4. Acid-base relationships of diamidinium species with protic amino groups.
Scheme 4. Acid-base relationships of diamidinium species with protic amino groups.
Preprints 175410 sch004
Scheme 5. Synthesis of allyldiamidinium chlorides.
Scheme 5. Synthesis of allyldiamidinium chlorides.
Preprints 175410 sch005
Scheme 6. Synthesis of allyldiamidinium chloride salts using ethylenediamines.
Scheme 6. Synthesis of allyldiamidinium chloride salts using ethylenediamines.
Preprints 175410 sch006
Scheme 7. Synthesis of diamidinium dichloride salts with larger rings.
Scheme 7. Synthesis of diamidinium dichloride salts with larger rings.
Preprints 175410 sch007
Figure 1. Onset decomposition temperatures at 10 K/min: (a) Allyldiamidinium salts; (b) Diamidinium salts.
Figure 1. Onset decomposition temperatures at 10 K/min: (a) Allyldiamidinium salts; (b) Diamidinium salts.
Preprints 175410 g001
Figure 2. Viscosity data: with VFT fits (a) allyldiamidinium salts, (b) diamidinium salts; and with Litovitz fits (c) allyldiamidinium salts, (d) diamidinium salts.
Figure 2. Viscosity data: with VFT fits (a) allyldiamidinium salts, (b) diamidinium salts; and with Litovitz fits (c) allyldiamidinium salts, (d) diamidinium salts.
Preprints 175410 g002
Figure 3. Conductivity data with (a) VFT fits and (b) Litovitz fits.
Figure 3. Conductivity data with (a) VFT fits and (b) Litovitz fits.
Preprints 175410 g003
Figure 4. Walden plot for the diamidinium ILs.
Figure 4. Walden plot for the diamidinium ILs.
Preprints 175410 g004
Figure 5. (a) Walden plot for diimidazolium imidazolate and bistriflamide ILs using data reported by Luo [27] and Moosavi [28], and (b) Walden plot for dicationic and tetracationic ILs using data reported at 25 or 30 °C [25,26,27,28,29,30].
Figure 5. (a) Walden plot for diimidazolium imidazolate and bistriflamide ILs using data reported by Luo [27] and Moosavi [28], and (b) Walden plot for dicationic and tetracationic ILs using data reported at 25 or 30 °C [25,26,27,28,29,30].
Preprints 175410 g005
Figure 6. (a) Labelled solid-state structure of one formula unit of [1a]Cl.2CHCl3; (b) Side view of the cation [1a]+.
Figure 6. (a) Labelled solid-state structure of one formula unit of [1a]Cl.2CHCl3; (b) Side view of the cation [1a]+.
Preprints 175410 g006
Figure 7. (a) Labelled solid-state structure of the asymmetric unit (= one formula unit) of [3b]OTf; (b) Side view of the cation [3b]+ through the planes of the five-membered rings.
Figure 7. (a) Labelled solid-state structure of the asymmetric unit (= one formula unit) of [3b]OTf; (b) Side view of the cation [3b]+ through the planes of the five-membered rings.
Preprints 175410 g007
Figure 8. (a) Labelled solid-state structure of [4H]Cl2; (b) Side view of [4H]Cl2 through the amidinium planes.
Figure 8. (a) Labelled solid-state structure of [4H]Cl2; (b) Side view of [4H]Cl2 through the amidinium planes.
Preprints 175410 g008
Figure 9. (a) Labelled solid-state structure of [5H]Cl2; (b) Side view of [5H]Cl2 through the amidinium planes.
Figure 9. (a) Labelled solid-state structure of [5H]Cl2; (b) Side view of [5H]Cl2 through the amidinium planes.
Preprints 175410 g009
Figure 10. (a) Labelled solid-state structure of [6H]Cl2; (b) Side view of [6H]Cl2 through the amidinium planes.
Figure 10. (a) Labelled solid-state structure of [6H]Cl2; (b) Side view of [6H]Cl2 through the amidinium planes.
Preprints 175410 g010
Table 1. Thermal properties for allyldiamidinium and diamidinium salts as determined by DSC and TGA at 10 K/min.
Table 1. Thermal properties for allyldiamidinium and diamidinium salts as determined by DSC and TGA at 10 K/min.
Salt Cation Mr Phase at RT Tg (°C) TS–S (°C) Tm (°C) Td (°C)
[1a]Cl 213.35 Solid 201 268
[1b]Cl 269.45 Liquid –58.7 240
[1b]NTf2 269.45 Liquid –74.3 365
[1b]DCA 269.45 Liquid –58.5 318
[1b]OTf 269.45 Solid –36.9 55.0 336
[2cH]Cl2 326.57 Solid 49.5 255
[2cH][NTf2]2 326.57 Liquid –60.2 –43.8 318
[3a]Cl 181.26 Solid 282
[3a]NTf2 181.26 Solid –45.7 –24.1 45.7 440
[3a]DCA 181.26 Liquid 317
[3a]OTf 181.26 Solid –45.1 20.8 78.5 438
[3b]Cl 265.42 Liquid 308
[3b]NTf2 265.42 Liquid –75.7 421
[3b]DCA 265.42 Liquid –33.6 369
[3b]OTf 265.42 Solid –62.8 –14.1 61.1 440
[4H]Cl2 182.27 Solid 329
[4H][NTf2]2 182.27 Solid 96.5 408
[4H][DCA]2 182.27 Liquid –13.5 342
[4H][OTf]2 182.27 Solid –70.8 30.4 98.5 430
[4aH]Cl2 210.32 Solid
[4aH][NTf2]2 210.32 Semi-solid –24.3 384
[4aH][DCA]2 210.32 Liquid –19.3 344
[4aH][OTf]2 210.32 Liquid –52.7 –0.4 13.8 389
[4bH]Cl2 238.38 Solid
[4bH][NTf2]2 238.38 Semi-solid –11.2 384
[4bH][DCA]2 238.38 Semi-solid –66.0 339
[4bH][OTf]2 238.38 Solid –59.3 0.5 18.9 357
[4cH]Cl2 294.48 Solid
[4cH][NTf2]2 294.48 Solid 121 425
[4cH][DCA]2 294.48 Solid 125 323
[4cH][OTf]2 294.48 Solid 139 439
[5H]Cl2 210.32 Solid 309
[5H][NTf2]2 210.32 Solid –45.0 34.3 106.9 368
[7H]Cl2 238.38 Solid 351
[7H][NTf2]2 238.38 Solid –11.4 97.4 426
[7H][DCA]2 238.38 Liquid –56.7 357
[7H][OTf]2 238.38 Solid –61.2 399
Table 2. Viscosity and conductivity data for allyldiamidinium and diamidinium ionic liquids at 20 and 50 °C.
Table 2. Viscosity and conductivity data for allyldiamidinium and diamidinium ionic liquids at 20 and 50 °C.
Ionic Liquid Viscosity at 20 °C (mPa·s) Viscosity at 50 °C (mPa·s) Conductivity at 20 °C (mS·cm–1) Conductivity at 50 °C (mS·cm–1)
[1b]Cl 1530 200
[1b]NTf2 21500 1560
[1b]DCA 1360 196
[3b]NTf2 161 49.8
[3b]DCA 145 22.7
[4H][DCA]2 45300 9570 0.0059 0.0894
[4aH][OTf]2 6170 790 0.336 1.137
[4aH][DCA]2 46100 2170 0.0057 0.214
[7H][DCA]2 80100 3950 0.0098 0.111
Table 3. Walden plot parameters for dicationic ionic liquids.
Table 3. Walden plot parameters for dicationic ionic liquids.
Ionic Liquid Data reference Average ΔW Slope R2
[4H][DCA]2 This work –0.36 1.01 0.983
[4aH][OTf]2 This work –0.47 0.68 0.994
[4aH][DCA]2 This work –0.13 0.94 0.991
[7H][DCA]2 This work –0.18 1.17 0.996
[Bis(mim)C2]Im2 27 –0.23 0.71 0.989
[Bis(mim)C4]Im2 27 –0.31 0.79 0.994
[Bis(mim)C3][NTf2]2 28 –0.04 0.83 0.997
[Bis(mim)C5][NTf2]2 28 +0.02 0.90 0.995
Table 4. Miscibility and solubility properties of allyldiamidinium and diamidinium salts at 25 °C.a.
Table 4. Miscibility and solubility properties of allyldiamidinium and diamidinium salts at 25 °C.a.
Salt Cation Mr Water Methanol CH2Cl2 Ethylacetate Diethylether, Hexane, toluene
[1b]Cl 269 Y Y Y N N
[3a]Cl 181 Y Y Y I I
[3b]Cl 265 Y Y Y N N
[4H]Cl2 182 Y Y Y I I
[5H]Cl2 210 Y Y Y I I
[6H]Cl2 238 Y Y Y I I
[1b]NTf2 269 N Y Y N N
[3a]NTf2 181 I Y Y P I
[3b]NTf2 265 N Y Y N N
[4H][NTf2]2 182 I Y Y I I
[4aH][NTf2]2 210 I Y Y I I
[4bH][NTf2]2 238 I Y Y I I
[4cH][NTf2]2 294 I Y Y I I
[5H][NTf2]2 210 I Y Y I I
[6H][NTf2]2 238 I Y Y P I
[1b]OTf 269 I Y Y I I
[3a]OTf 181 I Y Y I I
[3b]OTf 265 I Y Y I I
[4H][OTf]2 182 P P Y I I
[4aH][OTf]2 210 Y ≥ 25% IL Y Y N N
[4bH][OTf]2 238 P Y Y P I
[4cH][OTf]2 294 I Y Y I I
[6H][OTf]2 238 I Y Y I I
[1b]DCA 269 Y Y Y I I
[3b]DCA 265 Y Y Y I I
[4H][DCA]2 182 Y ≥ 70% IL Y Y N N
[4aH][DCA]2 210 Y ≥ 50% IL Y Y N N
[4bH][DCA]2 238 Y Y Y I I
[4cH][DCA]2 294 P Y Y I I
[7H][DCA]2 238 Y ≥ 40% IL Y Y Y ≥ 30% IL N
a I = insoluble, N = immiscible, Y = soluble/miscible, P = partially soluble.
Disclaimer/Publisher’s Note: The statements, opinions and data contained in all publications are solely those of the individual author(s) and contributor(s) and not of MDPI and/or the editor(s). MDPI and/or the editor(s) disclaim responsibility for any injury to people or property resulting from any ideas, methods, instructions or products referred to in the content.
Copyright: This open access article is published under a Creative Commons CC BY 4.0 license, which permit the free download, distribution, and reuse, provided that the author and preprint are cited in any reuse.
Prerpints.org logo

Preprints.org is a free preprint server supported by MDPI in Basel, Switzerland.

Subscribe

Disclaimer

Terms of Use

Privacy Policy

Privacy Settings

© 2026 MDPI (Basel, Switzerland) unless otherwise stated