Submitted:
03 September 2025
Posted:
04 September 2025
You are already at the latest version
Abstract
Keywords:
1. Introduction
2. Analytical Evaluation of the Wind Power Generation System
2.1. Wind Turbine Characteristics and Modeling


2.2. PMSG
2.3. Principle of a Vanadium Redox Battery
3. A SVR Approach for Wind Speed Estimation





4. Proposed FPNN with IPSO Control System
4.1. Fuzzy Probabilistic Neural Network (FPNN)

denotes the ith input to the input layer, and N indicates the Nth iteration. In this paper, the inputs of the FPNN are
and
, which represent the tracking error and its derivative, respectively.
is the output of the jth node corresponding to the ith input variable;
denotes the center of the Gaussian function at the jth node associated with the ith input variable, and
represents its corresponding width.
denotes the output of the kth node corresponding to the jth input variable;
is the center of the Gaussian function, and
is the base of the Gaussian function.
and
are the input of rule layer;
and
are set to one;
is the output of the rule layer.
4.2. Online Supervised Learning and Training Process









, is challenging due to the unknown dynamics of the control system. To address this issue, a delta adaptation law is employed, as described below [33]:
4.3. Convergence Analysis
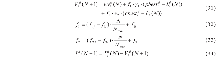
4.4. Adjustment of Learning Rates Using IPSO




5. Case Studies and Simulation Results

5.1. FPNN with IPSO Algorithm
5.2. TSK Fuzzy-Based Algorithm
5.3. PI Controller
5.4. Performance Comparison
6. Conclusion
Author Contributions
Funding
Data Availability Statement
Conflicts of Interest
References
- Klement, E.P.; Mesiar, R.; Pap, E. A universal integral as common frame for choquet and Sugeno integral. IEEE Trans. on Fuzzy Systems 2010, 18, 178–187. [Google Scholar] [CrossRef]
- Lee, C.S.; Wang, M.H.; Hagras, H. A type-2 fuzzy ontology and its application to personal diabetic-diet recommendation. IEEE Trans. on Fuzzy Systems 2010, 18, 374–395. [Google Scholar] [CrossRef]
- Lee, D.H.; Park, J.B.; Joo, Y.H. Improvement on nonquadratic stabilization of discrete-time Takagi-Sugeno fuzzy systems: multiple parameterization approach. IEEE Trans. on Fuzzy Systems 2010, 2, 425–429. [Google Scholar]
- Sutikno, T.; Subrata, A.C.; Elkhateb, A. Evaluation of Fuzzy Membership Function Effects for Maximum Power Point Tracking Technique of Photovoltaic System. IEEE Access 2021, 9, 109157–109165. [Google Scholar] [CrossRef]
- Han, H.; Sun, C.; Wu, X.; Yang, H.; Qiao, J. Self-Organizing Interval Type-2 Fuzzy Neural Network Using Information Aggregation Method. IEEE Trans. on Neural Networks and Learning Systems 2023, 34, 6428–6442. [Google Scholar] [CrossRef]
- Chen, B.S.; Wu, C.H. Robust optimal reference-tracking design method for stochastic synthetic biology systems: T-S fuzzy approach. IEEE Trans. on Fuzzy Systems 2010, 18, 1144–1159. [Google Scholar] [CrossRef]
- Parzen, E. On estimation of a probability density function and mode. Ann. Math. Statist. 1962, 33, 1065–1076. [Google Scholar] [CrossRef]
- Park, C.H.; Chang, J.H. Robust Localization Method Based on Non-Parametric Probability Density Estimation. IEEE Access 2023, 11, 61468–61480. [Google Scholar] [CrossRef]
- Amiridi, M.; Kargas, N.; Sidiropoulos, N.D. Low-Rank Characteristic Tensor Density Estimation Part I: Foundations. IEEE Trans. on Signal Processing 2022, 70, 2654–2668. [Google Scholar] [CrossRef]
- Erduman, A. A smart short-term solar power output prediction by artificial neural network. Electrical Engineering 2020, 102, 1441–1449. [Google Scholar] [CrossRef]
- Gao, J.; Xu, Z.; Zhang, Y. Integral Aggregations of Continuous Probabilistic Hesitant Fuzzy Sets. IEEE Trans. on Fuzzy Systems 2022, 30, 676–686. [Google Scholar] [CrossRef]
- Lin, F.; Ying, H. Modeling and Control of Probabilistic Fuzzy Discrete Event Systems. IEEE Trans. on Emerging Topics in Computational Intelligence 2022, 6, 399–408. [Google Scholar] [CrossRef]
- Shi, H.; Bi, L.; Yang, Z.; Fei, W. A Novel Control Framework of Brain-Controlled Vehicle Based on Fuzzy Logic and Model Predictive Control. IEEE Trans. on Intelligent Transportation Systems 2022, 23, 21777–21789. [Google Scholar] [CrossRef]
- Alzayed, M.; Farajpour, Y.; Chaoui, H. Simplified Current Sensorless Maximum Power Extraction for Wind Energy Conversion Systems. IEEE Access 2022, 10, 104686–104695. [Google Scholar] [CrossRef]
- Lima, Marcello Anderson F.B.; Carvalho, Paulo C.M.; Fernández-Ramírez, Luis M.; Braga, Arthur P.S. Improving solar forecasting using Deep Learning and Portfolio Theory Integration. Energy 2020, 195. [Google Scholar] [CrossRef]
- Dong, Z.; Li, Z.; Xu, Y.; Guo, X.; Ding, Z. Surrogate-Assisted Cooperation Control of Network-Connected Doubly Fed Induction Generator Wind Farm With Maximized Reactive Power Capacity. IEEE Trans. on Industrial Informatics 2022, 18, 197–206. [Google Scholar] [CrossRef]
- Akhter, M.N.; Mekhilef, S.; Mokhlis, H.; Almohaimeed, Z.M.; Muhammad, M.A.; Khairuddin, A.S.M.; Akram, R.; Hussain, M.M. An Hour-Ahead PV Power Forecasting Method Based on an RNN-LSTM Model for Three Different PV Plants. Energies 2022, 15, 2243. [Google Scholar] [CrossRef]
- Magdy, F.E.Z.; Hasanien, H.M.; Sabry, W.; Ullah, Z.; Alkuhayli, A.; Yakout, A.H. Mountain Gazelle Algorithm-Based Optimal Control Strategy for Improving LVRT Capability of Grid-Tied Wind Power Stations. IEEE Access 2023, 11, 129479–129492. [Google Scholar] [CrossRef]
- Meng, M.; Song, C. Daily Photovoltaic Power Generation Forecasting Model Based on Random Forest Algorithm for North China in Winter. Sustainability 2020, 12, 2247. [Google Scholar] [CrossRef]
- Putri, R.I.; Ronilaya, F.; Rifa'i, M.; Jasa, L.; Priyadi, A.; Mauridhi Hery, P. Sensorless Optimum Power Extraction for Small Scale Stand Alone Wind Turbine Based on Fuzzy Controller. 2nd International Conference on Applied Electromagnetic Technology (AEMT) 2018, 44–49. [Google Scholar]
- Morimoto, S.; Nakayama, H.; Sanada, M.; Takeda, Y. Sensorless output maximization control for variable-speed wind generation system using IPMSG. IEEE Trans. Ind. on Appl. 2005, 41, 60–67. [Google Scholar] [CrossRef]
- Khalid Hamad, Y.; Nasser Hussain, A.; Lafta, Y.N.; Al-Naji, A.; Chahl, J. Multi-Objective Optimization of Renewable Distributed Generation Placement and Sizing for Technical and Economic Benefits Improvement in Distribution System. IEEE Access 2024, 12, 164226–164247. [Google Scholar] [CrossRef]
- Yadav, L.K.; Verma, M.K.; Joshi, P. Novel Real Valued Improved Coral-Reef Optimization Algorithm for Optimal Integration of Classified Distributed Generators. IEEE Access 2022, 10, 80623–80638. [Google Scholar] [CrossRef]
- Babbar, Sana Mohsin; Lau, Chee Yong; Thang, Ka Fei. Long Term Solar Power Generation Prediction using Adaboost as a Hybrid of Linear and Non-linear Machine Learning Model. International Journal of Advanced Computer Science and Applications 2021, 12, 536–545. [Google Scholar] [CrossRef]
- Ruiz-Cruz, R.; Sanchez, E.N.; Ornelas-Tellez, F.; Loukianov, A.G. Particle Swarm Optimization for Discrete-Time Inverse Optimal Control of a Doubly Fed Induction Generator. IEEE Trans. Power Cybernetics 2013, 43, 1698–1709. [Google Scholar] [CrossRef]
- Li, C.N.; Li, Y.; Shao, Y.H. Large-Scale Structured Output Classification via Multiple Structured Support Vector Machine by Splitting. IEEE Trans. on Emerging Topics in Computational Intelligence 2024, 8, 2112–2124. [Google Scholar] [CrossRef]
- Wai, R.J.; Lin, C.Y.; Chang, Y.R. Novel maximum-power-extraction algorithm for PMSG wind generation system. IET Electr. Power Appl. 2007, 1, 275–283. [Google Scholar] [CrossRef]
- Shutari, H.; Ibrahim, T.; Nor, N.B.M.; Abdulrab, H.Q.A.; Saad, N.; Al-Tashi, Q. Coordination of Enhanced Control Schemes for Optimal Operation and Ancillary Services of Grid-Tied VSWT System. IEEE Access 2023, 11, 43520–43535. [Google Scholar] [CrossRef]
- Morozov, A.; et al. Optimal Flow Factor Determination in Vanadium Redox Flow Battery Control. IEEE Access 2024, 12, 19277–19284. [Google Scholar] [CrossRef]
- Zazoum, Bouchaib, Solar photovoltaic power prediction using different machine learning methods. Energy Reports 2022, 8, 19–25. [CrossRef]
- Qiu, X.; Crow, M.L.; Elmore, A.C. A Balance-of-Plant Vanadium Redox Battery System Model. IEEE Trans. Sustainable Energy 2015, 6, 557–564. [Google Scholar] [CrossRef]
- Cho, K.R.; Seok, J.K.; Lee, D.C. Mechanical parameter identification of servo systems using robust support vector regression. IEEE PESC Conf. 2004, 5, 3425–3430. [Google Scholar]
- Aghakashkooli, M.R.; Jovanovic, M.G. A Sensorless Parameter Independent Controller for Brushless Doubly-Fed Reluctance Wind Generators. IEEE 14th International Conference on Power Electronics and Drive Systems (PEDS) 2023, 1–6. [Google Scholar]
- Li, Y.; Yu, H. Three-phase induction motor operation trend prediction using support vector regression for condition-based maintenance. World Congress on intelligent control and automation (WCICA) 2006, 2, 7878–7881. [Google Scholar]
- Asaly, S.; Gottlieb, L.A.; Reuveni, Y. Using Support Vector Machine (SVM) and Ionospheric Total Electron Content (TEC) Data for Solar Flare Predictions. IEEE Journal of Selected Topics in Applied Earth Observations and Remote Sensing 2021, 14, 1469–1481. [Google Scholar] [CrossRef]
- Nejati, M.; Amjady, N. A New Solar Power Prediction Method Based on Feature Clustering and Hybrid-Classification-Regression Forecasting. in IEEE Transactions on Sustainable Energy 2022, 13, 1188–1198. [Google Scholar] [CrossRef]
- Chatrabgoun, O.; Daneshkhah, A.; Esmaeilbeigi, M.; Sohrabi Safa, N.; Alenezi, A.H.; Rahman, A. Predicting Primary Sequence-Based Protein-Protein Interactions Using a Mercer Series Representation of Nonlinear Support Vector Machine. IEEE Access 2022, 10, 124345–124354. [Google Scholar] [CrossRef]
- Cherkassky, V.; Miller, F. Learning from data concept theory and methods; John. Wiley: New York, 1998. [Google Scholar]
- Cheng, L.; Zang, H.; Wei, Z.; Ding, T.; Xu, R.; Sun, G. Short-term Solar Power Prediction Learning Directly from Satellite Images With Regions of Interest. in IEEE Transactions on Sustainable Energy 2022, 13, 629–639. [Google Scholar] [CrossRef]
- Mi, Y.; Liu, W.; Shi, Y.; Li, J. Semi-Supervised Concept Learning by Concept-Cognitive Learning and Concept Space. IEEE Trans. on Knowledge and Data Engineering 2022, 34, 5, 2429–2442. [Google Scholar] [CrossRef]
- Sheng, H.; Ray, B.; Chen, K.; Cheng, Y. Solar Power Forecasting Based on Domain Adaptive Learning. IEEE Access 2020, 8, 198580–198590. [Google Scholar] [CrossRef]
- Lin, F.J.; Wai, R.J.; Lee, C. C. Fuzzy neural network position controller for ultrasonic motor drive using push-pull DC-DC converter. IET Proc. Control Theory Appl. 1999, 146, 99–107. [Google Scholar] [CrossRef]
- Cheng, T.; Wu, J.; Wang, H.; Zheng, H. Dynamic Optimization of Rotor-Side PI Controller Parameters for Doubly-Fed Wind Turbines Based on Improved Recurrent Neural Networks Under Wind Speed Fluctuations. IEEE Access 2023, 11, 102713–102726. [Google Scholar] [CrossRef]
- Tu, S.; Rehman, O.U.; Rehman, S.U.; Ullah, S.; Waqas, M.; Zhu, R. A Novel Quantum Inspired Particle Swarm Optimization Algorithm for Electromagnetic Applications. IEEE Access 2020, 8, 21909–21916. [Google Scholar] [CrossRef]
- Varshney, S.; Srivastava, L.; Pandit, M. Optimal location and sizing of STATCOM for voltage security enhancement using PSO-TVAC. in Proc. IEEE Int. Conf. Power and Energy Systems 2011, 22–24. [Google Scholar]
- Nguyen, H.V.; et al. Determining Optimal Location and Sizing of STATCOM Based on PSO Algorithm and Designing Its Online ANFIS Controller for Power System Voltage Stability Enhancement. 5th International Conference on Green Technology and Sustainable Development (GTSD) 2020, 272–279. [Google Scholar]
- Munnu, M.K.; Choudhary, J. Optimal Placement and Sizing of Custom Power Devices using PSO and APSO Optimization in Radial Distribution Network. 5th International Conference on Energy, Power and Environment: Towards Flexible Green Energy Technologies (ICEPE), 2023; pp. 1–6. [Google Scholar]
- Mishra, Manohar; Byomakesha Dash, Pandit; Nayak, Janmenjoy; Naik, Bighnaraj; Kumar Swain, Subrat, Deep learning and wavelet transform integrated approach for short-term solar PV power prediction. Journal of the International Measurement Confederation 2020, 166, 15.
- Prasad, R.M.; Mulla, M.A. Rotor Position-Sensorless Algorithms for Direct Power Control of Rotor-Tied DFIG. IEEE Trans. on Power Electronics 2021, 36, 6213–6217. [Google Scholar] [CrossRef]







| Method | Average Power (Pm) (W) | Increasing power percentage (%) | Max. Power Coefficient (%) | Efficiency (%) |
| FPNN with IPSO method | 271 | 9.71 | 2.53 | 86.11 |
| TSK Fuzzy method | 259 | 4.85 | 9.33 | 76.97 |
| PI method | 247 | reference | 13.32 | 66.03 |
Disclaimer/Publisher’s Note: The statements, opinions and data contained in all publications are solely those of the individual author(s) and contributor(s) and not of MDPI and/or the editor(s). MDPI and/or the editor(s) disclaim responsibility for any injury to people or property resulting from any ideas, methods, instructions or products referred to in the content. |
© 2025 by the authors. Licensee MDPI, Basel, Switzerland. This article is an open access article distributed under the terms and conditions of the Creative Commons Attribution (CC BY) license (http://creativecommons.org/licenses/by/4.0/).
