Submitted:
01 September 2025
Posted:
02 September 2025
You are already at the latest version
Abstract
Keywords:
1. Introduction
2. Background
- Objective 1: Map out the regional associations between London’s sport clubs and expressive crimes.
- Objective 2: Explore crime changes pre- and para- major football events held in selected case study stadiums both spatially and temporally.
- Objective 3: Investigate the driving mechanism for such changes with case study.
3. Materials and Methods
4. Results
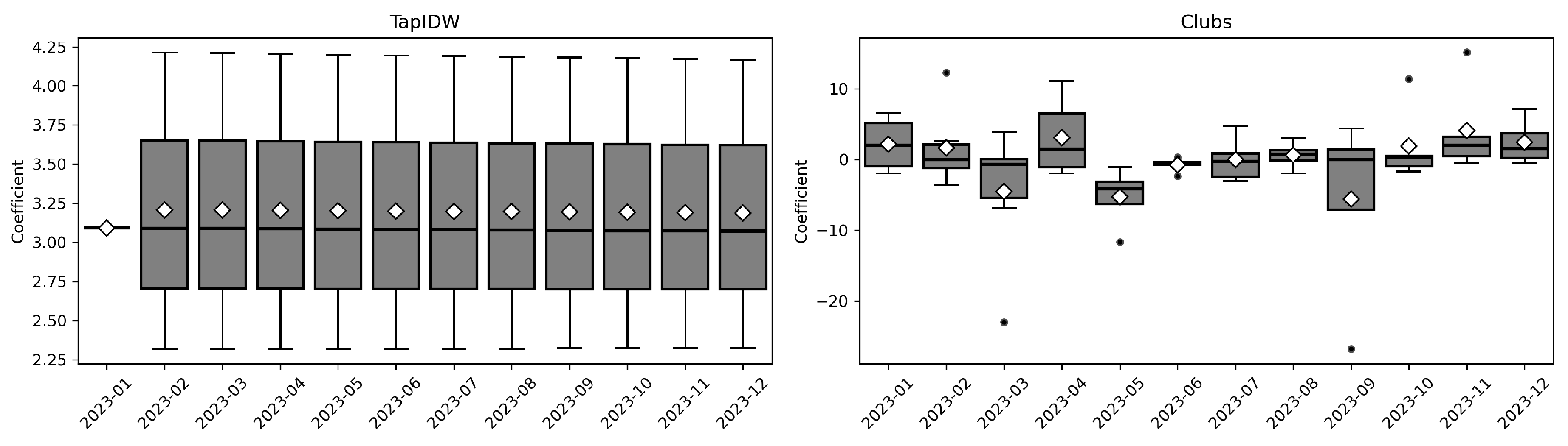
4.1. Sport Clubs & Expressive Crimes in London
4.2. Case Study: Stadium Events & Disproportionate Crime Changes


4.3. Driving Mechanism
5. Discussion
6. Conclusions
Author Contributions
Funding
Institutional Review Board Statement
Informed Consent Statement
Data Availability Statement
Acknowledgments
Conflicts of Interest
Abbreviations
| STL | Seasonal Trend decomposition using Losse |
| GTWR | Geographically Temporal Weighted Regression |
| DID | Difference-in-difference |
References
- Allen, G., Wong, H. 2025. Knife crime statistics: England and Wales. https://researchbriefings.files.parliament.uk/documents/SN04304/SN04304.pdf.(accessed on 28 April, 2025).
- Andres, L., Fabel, M. and Rainer, H. How much violence does football hooliganism cause? Journal of Public Economics, 2023, 225: 104970. [CrossRef]
- Bruner, M. W., McLaren, C. D., Sutcliffe, J. T., Gardner, L. A., Lubans, D. R., Smith, J. J., and Vella, S. A. The effect of sport-based interventions on positive youth development: a systematic review and meta-analysis. International Review of Sport and Exercise Psychology, 2021, 16 (1): 368–395. [CrossRef]
- Card, D. and Dahl, G.B. Family Violence and Football: The Effect of Unexpected Emotional Cues on Violent Behavior*, The Quarterly Journal of Economics, 2011, 126(1): 103–143. [CrossRef]
- Cohen, L.E. and Felson, M. Social Change and Crime Rate Trends: A Routine Activity Approach. American Sociological Review, 1979, 44: 588-608. [CrossRef]
- College of Policing. 2023. Sports programmes designed to prevent crime and reduce reoffending. https://www.college.police.uk/research/crime-reduction-toolkit/sports-programmes-designed-prevent-crime-and-reduce-reoffending. (accessed on 18 April, 2025).
- Reinhard Haudenhuyse, John Hayton, Dan Parnell, Kirsten Verkooijen and Pascal Delheye. Boundary Spanning in Sport for Development: Opening Transdisciplinary and Intersectoral Perspectives.Social Inclusion, 2020, 8(3): 123-128. [CrossRef]
- Kurland J, Tilley N, and Johnson S. Football pollution: an investigation of spatial and temporal patterns of crime in and around stadia in England. Security Journal, 2017, 31 (10): 665–684.
- Jugl, I., Bender, D. and Lösel, F. Do Sports Programs Prevent Crime and Reduce Reoffending? A Systematic Review and Meta-Analysis on the Effectiveness of Sports Programs. Journal of Quantitative Criminology, 2023, 39: 333–384. [CrossRef]
- Lösel F, Farrington DP. Direct protective and buffering protective factors in the development of youth violence. Am J Prev Med, 2012, 43(2): 8-23. [CrossRef]
- Mayor of London. 2025. Mayor announces new £1m sports investment featuring holiday activities for young people at greatest risk of violence. https://www.london.gov.uk/mayor-announces-new-ps1m-sports-investment-featuring-holiday-activities-young-people-greatest-risk. (accessed on 18 April, 2025).
- Morgan, H., Parker, A., and Marturano, N., T. Evoking hope in marginalised youth populations through non-formal education: critical pedagogy in sports-based interventions. British Journal of Sociology of Education, 2021, 42: 307–32. [CrossRef]
- Olivier Marie. Police and thieves in the stadium: measuring the (multiple) effects of football matches on crime. Journal of the Royal Statistical Society. Series A (Statistics in Society), 2016, 179 (1): 273-292.
- Office for National Statistics. 2025. Crime in England and Wales: year ending June 2023. https://www.ons.gov.uk/peoplepopulationandcommunity/crimeandjustice/bulletins/crimeinenglandandwales/yearendingjune2023. (accessed on April 28, 2025).
- Rees, D. I. and Schnepel, K. T. 2009. College Football Games and Crime. Journal of Sports Economics, 10(1), 68-87. [CrossRef]
- Shields, D. L., Funk, C. D., and Bredemeier, B. L. Relationships among moral and contesting variables and prosocial and antisocial behavior in sport. Journal of Moral Education, 2018, 47(1): 17-33. [CrossRef]
- Spruit A, van der Put C, van Vugt E, Stams GJ. Predictors of intervention success in a sports based program for adolescents at risk of juvenile Delinquency. International Journal of Offender Therapy Comparative Criminology, 2018, 62(6): 1535–1555. [CrossRef]








Disclaimer/Publisher’s Note: The statements, opinions and data contained in all publications are solely those of the individual author(s) and contributor(s) and not of MDPI and/or the editor(s). MDPI and/or the editor(s) disclaim responsibility for any injury to people or property resulting from any ideas, methods, instructions or products referred to in the content. |
© 2025 by the authors. Licensee MDPI, Basel, Switzerland. This article is an open access article distributed under the terms and conditions of the Creative Commons Attribution (CC BY) license (http://creativecommons.org/licenses/by/4.0/).