Submitted:
25 August 2025
Posted:
27 August 2025
You are already at the latest version
Abstract
Keywords:
1. Introduction
2. Materials and Methods
2.1. Fish and Maintenance
2.2. Plant Extract Preparation and Experimental Design
2.3. Nonspecific Immune Response
2.4. Specific Immune Response
2.5. Disease Resistance
2.6. GC-MS Analysis
2.7. In Silico Evaluation of Bioavailability of the Phytoconstituents
2.8. Statistical Analysis
3. Results
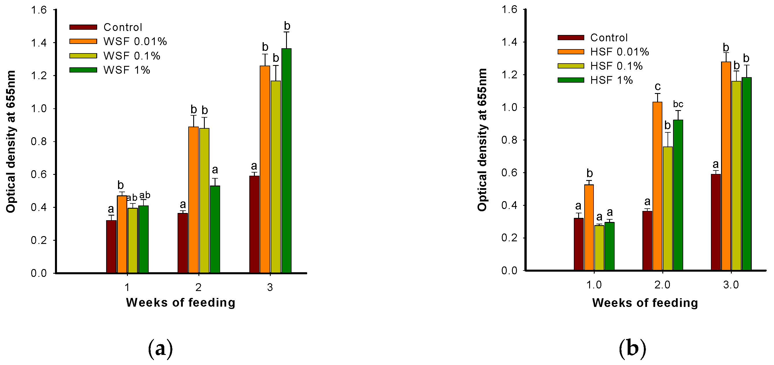
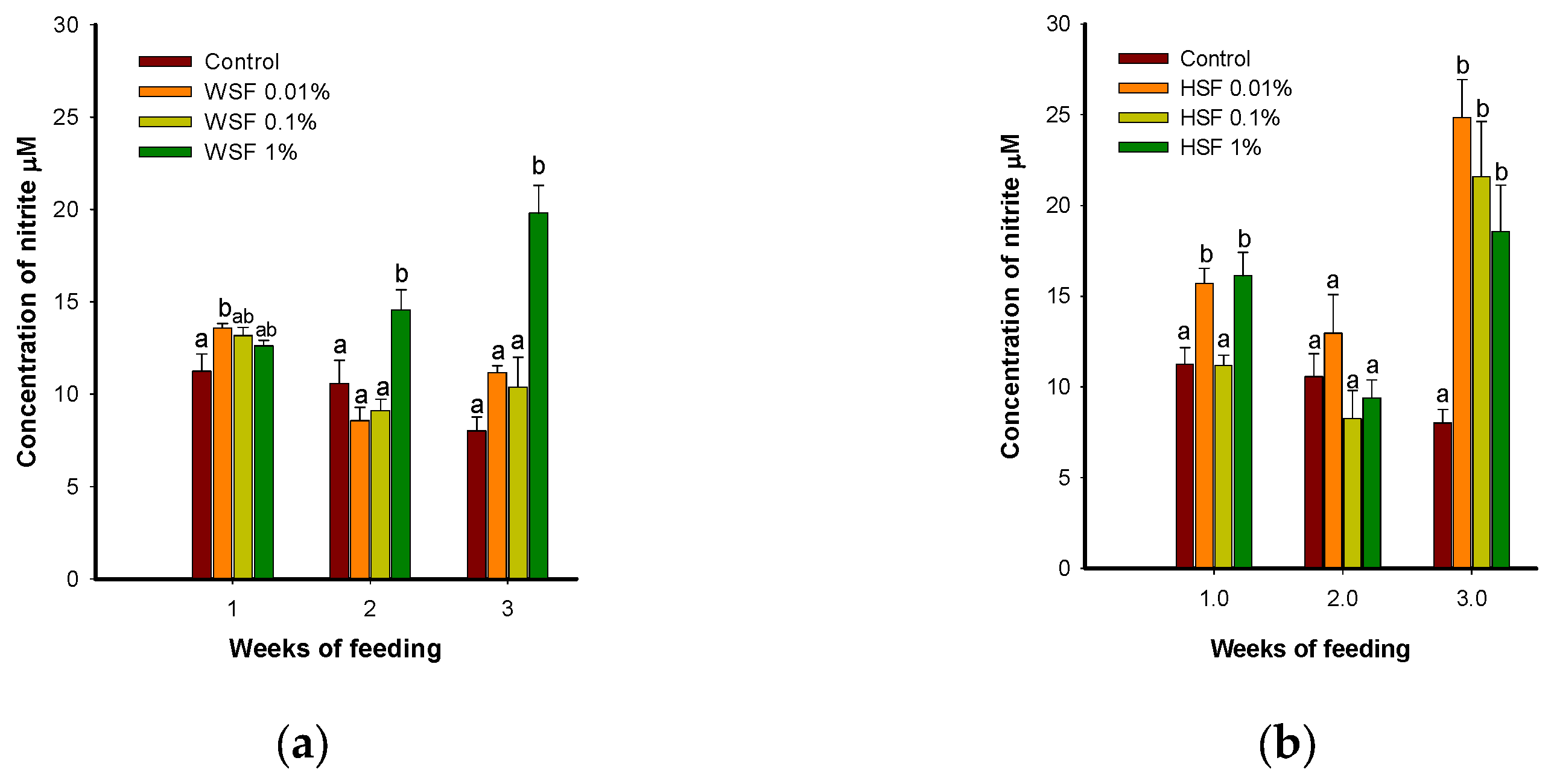
3.1. Nonspecific Immune Response
3.1.1. Globulin Level
3.1.2. Lysozyme Activity
3.1.3. Antiprotease Activity
3.1.4. Reactive Oxygen Species (ROS) Production in PBL
3.1.5. Reactive Nitrogen Intermediate (RNI) Production in PBL
3.1.6. MPO Activity in PBL
3.2. Specific Immune Response
3.3. Disease Resistance
3.4. GC-MS Analysis
3.5. In Silico Evaluation of Bioavailability of the Phytoconstituents
4. Discussion
5. Conclusions
Author Contributions
Funding
Informed Consent Statement
Data Availability Statement
Acknowledgments
Conflicts of Interest
References
- FAO Blue Transformation - Roadmap 2022–2030: A Vision for FAO’s Work on Aquatic Food Systems; Rome, 2022.
- Robertsen, B. Modulation of the Non-Specific Defence of Fish by Structurally Conserved Microbial Polymers. Fish Shellfish Immunol 1999, 9, 269–290. [Google Scholar] [CrossRef]
- Raa, J.; Rorstad, G.; Engstad, R.; Robertsen, B. The Use of Immunostimulants to Increase Resistance of Aquatic Organisms to Microbial Infections. In Proceedings of the Diseases in Asian aquaculture; Shariff, I.M., Subasinghe, R.P., Arthus, J.R., Eds.; Asian Fisheries Society, 1992; pp. 39–50. [Google Scholar]
- Subramani, P.A.S.; Priyadarshini Kalaivani; Balasubramanian Ramalakshmi; Divya Gnaneswari, M.; Ganesh Kumar Devasree; Rajendran Priyatharsini; Alexander Catherine; Michael, R. Dinakaran Current Status and Recent Advancements with Immunostimulants in Aquaculture. In Immunomodulators in Aquaculture and Fish Health; Elumalai, P., Soltani, M., Lakshmi, S., Eds.; CRC Press: Boca Raton, 2023 ISBN 9781003361183.
- Abareethan, M.; Sathiyapriya, R.; Pavithra, M.E.; Parvathy, S.; Thirumalaisamy, R.; Selvankumar, T.; Chinnathambi, A.; Almoallim, H.S. Biogenic Silver Nanoparticles from Solanum Trilobatum Leaf Extract and Assessing Their Antioxidant and Antimicrobial Potential. Chemical Physics Impact 2024, 9, 100771. [Google Scholar] [CrossRef]
- Pandurangan, A.; Khosa, R.L.; Hemalatha, S. Anti-Inflammatory Activity of an Alkaloid from Solanum Trilobatum on Acute and Chronic Inflammation Models. Nat Prod Res 2011, 25, 1132–1141. [Google Scholar] [CrossRef]
- Sini, H.; Devi, K.S. Antioxidant Activities of the Chloroform Extract of Solanum Trilobatum. Pharm Biol 2004, 42, 462–466. [Google Scholar] [CrossRef]
- Govindan, S.; Viswanathan, S.; Vijayasekaran, V.; Alagappan, R. A Pilot Study on the Clinical Efficacy of Solanum Xanthocarpum and Solanum Trilobatum in Bronchial Asthma. J Ethnopharmacol 1999, 66, 205–210. [Google Scholar] [CrossRef]
- Divyagnaneswari, M.; Christybapita, D.; Michael, R.D. Enhancement of Nonspecific Immunity and Disease Resistance in Oreochromis Mossambicus by Solanum Trilobatum Leaf Fractions. Fish Shellfish Immunol 2007, 23, 249–259. [Google Scholar] [CrossRef] [PubMed]
- Parasuraman Aiya Subramani; Vinnie Cheeran; Ganesh Munuswamy Ramanujam; Venkata Ramireddy Narala Clinical Trials of Curcumin, Camptothecin, Astaxanthin and Biochanin. In Natural Products in clinical trials; Atta-ur-Rahman, Anjum Shazia, Hesham El-Seedi, Eds.; Bentham Science Publishers, UAE, 2018; Vol. I.
- Roskoski, R. Properties of FDA-Approved Small Molecule Protein Kinase Inhibitors. Pharmacol Res 2019, 144, 19–50. [Google Scholar] [CrossRef] [PubMed]
- R. Dinakaran Michael; Srinivas, S.D.; Sailendri, K.; Muthukkaruppan, V.R. A Rapid Method for Repetitive Bleeding in Fish. Indian Journal of Experimental Biology 1994, 32, 838–839. [Google Scholar]
- Lowry, O.H.; Rosebrough, N.J.; Farr, A.L.; Randall, R.J. Protein Measurement with the Folin Phenol Reagent. J Biol Chem 1951, 193, 265–275. [Google Scholar] [CrossRef]
- Doumas, B.T.; Ard Watson, W.; Biggs, H.G. Albumin Standards and the Measurement of Serum Albumin with Bromcresol Green. Clinica Chimica Acta 1971, 31, 87–96. [Google Scholar] [CrossRef]
- Hutchinson, T.H.; Manning, M.J. Seasonal Trends in Serum Lysozyme Activity and Total Protein Concentration in Dab (Limanda Limanda L.) Sampled from Lyme Bay, U.K. Fish Shellfish Immunol 1996, 6, 473–482. [Google Scholar] [CrossRef]
- Bowden, T.J.; Butler, R.; Bricknell, I.R.; Ellis, A.E. Serum Trypsin-Inhibitory Activity in Five Species of Farmed Fish. Fish Shellfish Immunol 1997, 7, 377–385. [Google Scholar] [CrossRef]
- Zuo, X.; Woo, P.T.K. Natural Anti-Proteases in Rainbow Trout, Oncorhynchus Mykiss and Brook Charr, Salvelinus Fontinalis and the in Vitro Neutralization of Fish A2-Macroglobulin by the Metalloprotease from the Pathogenic Haemoflagellate, Cryptobia Salmositica. Parasitology 1997, 114, 375–382. [Google Scholar] [CrossRef]
- Secombes, C.J. Isolation of Salmonid Macrophages and Analysis of Their Killing Activity. In Techniques in fish Immunology; J.S. Stolen, T.C. Fletcher, D.P. Anderson, B.S. Robertson, W.B. van Muiswinkel, Eds.; SOS Publications: New Jersey., 1990; Vol. I, pp. 137–154.
- Green, L.C.; Wagner, D.A.; Glogowski, J.; Skipper, P.L.; Wishnok, J.S.; Tannenbaum, S.R. Analysis of Nitrate, Nitrite, and [15N] Nitrate in Biological Fluids. Anal Biochem 1982, 126, 131–138. [Google Scholar] [CrossRef]
- Palić, D.; Andreasen, C.B.; Menzel, B.W.; Roth, J.A. A Rapid, Direct Assay to Measure Degranulation of Primary Granules in Neutrophils from Kidney of Fathead Minnow (Pimephales Promelas Rafinesque, 1820). Fish Shellfish Immunol 2005, 19, 217–227. [Google Scholar] [CrossRef] [PubMed]
- Karunasagar, I.; Ali, A.; Otta, S.K.; Karunasagar, I. Immunization with Bacterial Antigens: Infections with Motile Aeromonads. Dev Biol Stand 1997, 90, 135–141. [Google Scholar] [PubMed]
- Binuramesh, C.; Prabakaran, M.; Steinhagen, D.; Michael, R.D. Effect of Sex Ratio on the Immune System of Oreochromis Mossambicus (Peters). Brain Behav Immun 2006, 20, 300–308. [Google Scholar] [CrossRef]
- Ellis, A.E. General Principles of Fish Vaccination. In Fish Vaccination; Academic Press: London, 1988; pp. 1–19. [Google Scholar]
- Sharma, R.K.; Bibi, S.; Chopra, H.; Khan, M.S.; Aggarwal, N.; Singh, I.; Ahmad, S.U.; Hasan, M.M.; Moustafa, M.; Al-Shehri, M.; et al. In Silico and In Vitro Screening Constituents of Eclipta Alba Leaf Extract to Reveal Antimicrobial Potential. Evidence-Based Complementary and Alternative Medicine 2022, 2022, 1–14. [Google Scholar] [CrossRef] [PubMed]
- Christybapita, D.; Divya Gnaneswari, M.; Sharma, S.; Michael, R.D.; Subramani, P.A. In Silico Insights into the Molecular Mechanisms of Eclipta Alba Leaf Fractions Enhancing Nonspecific Immune Mechanisms and Resistance to Aeromonas Hydrophila in Oreochromis Mossambicus (Peters). Aquac Rep 2025, 42, 102774. [Google Scholar] [CrossRef]
- Kim, S.; Chen, J.; Cheng, T.; Gindulyte, A.; He, J.; He, S.; Li, Q.; Shoemaker, B.A.; Thiessen, P.A.; Yu, B.; et al. PubChem 2025 Update. Nucleic Acids Res 2025, 53, D1516–D1525. [Google Scholar] [CrossRef]
- Faheem, M.; Hoseinifar, S.H.; Firouzbakhsh, F. Medicinal Plants in Tilapia Aquaculture. In; 2023; pp. 161–200.
- Zhang, X.; Sun, Z.; Wang, Y.; Cao, Y.; Wang, G.; Cao, F. Enhancement of Growth, Antioxidative Status, Nonspecific Immunity, and Disease Resistance in Gibel Carp (Carassius Auratus) in Response to Dietary Flos Populi Extract. Fish Physiol Biochem 2022, 48, 67–83. [Google Scholar] [CrossRef] [PubMed]
- Mbokane, E.M.; Moyo, N.A.G. A Systematic Review and Meta-Analysis of the Potential Effect of Medicinal Plants on Innate Immunity of Selected Freshwater Fish Species: Its Implications for Fish Farming in Southern Africa. Aquaculture International 2024, 32, 315–335. [Google Scholar] [CrossRef]
- Wiegertjes, G.F.; Stet, RenéJ.M.; Parmentier, H.K.; van Muiswinkel, W.B. Immunogenetics of Disease Resistance in Fish: A Comparative Approach. Dev Comp Immunol 1996, 20, 365–381. [CrossRef]
- Vasudeva Rao, Y.; Das, B.K.; Jyotyrmayee, P.; Chakrabarti, R. Effect of Achyranthes Aspera on the Immunity and Survival of Labeo Rohita Infected with Aeromonas Hydrophila. Fish Shellfish Immunol 2006, 20, 263–273. [Google Scholar] [CrossRef]
- Sivaram, V.; Babu, M.M.; Immanuel, G.; Murugadass, S.; Citarasu, T.; Marian, M.P. Growth and Immune Response of Juvenile Greasy Groupers (Epinephelus Tauvina) Fed with Herbal Antibacterial Active Principle Supplemented Diets against Vibrio Harveyi Infections. Aquaculture 2004, 237, 9–20. [Google Scholar] [CrossRef]
- Yin, G.; Jeney, G.; Racz, T.; Xu, P.; Jun, X.; Jeney, Z. Effect of Two Chinese Herbs (Astragalus Radix and Scutellaria Radix) on Non-Specific Immune Response of Tilapia, Oreochromis Niloticus. Aquaculture 2006, 253, 39–47. [Google Scholar] [CrossRef]
- Sahu, S.; Das, B.K.; Mishra, B.K.; Pradhan, J.; Sarangi, N. Effect of Allium Sativum on the Immunity and Survival of Labeo Rohita Infected with Aeromonas Hydrophila. Journal of Applied Ichthyology 2007, 23, 80–86. [Google Scholar] [CrossRef]
- Sarder, M.R.I.; Thompson, K.D.; Penman, D.J.; McAndrew, B.J. Immune Responses of Nile Tilapia (Oreochromis Niloticus L.) Clones: I. Non-Specific Responses. Dev Comp Immunol 2001, 25, 37–46. [Google Scholar] [CrossRef] [PubMed]
- Engstad, R.E.; Robertsen, B.; Frivold, E. Yeast Glucan Induces Increase in Lysozyme and Complement-Mediated Haemolytic Activity in Atlantic Salmon Blood. Fish Shellfish Immunol 1992, 2, 287–297. [Google Scholar] [CrossRef]
- Ellis, A.E. Innate Host Defense Mechanisms of Fish against Viruses and Bacteria. Dev Comp Immunol 2001, 25, 827–839. [Google Scholar] [CrossRef]
- Rao, Y.V.; Chakrabarti, R. Stimulation of Immunity in Indian Major Carp Catla Catla with Herbal Feed Ingredients. Fish Shellfish Immunol 2005, 18, 327–334. [Google Scholar] [CrossRef]
- Thompson, I.; Choubert, G.; Houlihan, D.F.; Secombes, C.J. The Effect of Dietary Vitamin A and Astaxanthin on the Immunocompetence of Rainbow Trout. Aquaculture 1995, 133, 91–102. [Google Scholar] [CrossRef]
- Olivier, G.; Evelyn, T.P.T.; Lallier, R. Immunity to Aeromonas Salmonicida in Coho Salmon (Oncorhynchus Kisutch) Induced by Modified Freund’s Complete Adjuvant: Its Non-Specific Nature and the Probable Role of Macrophages in the Phenomenon. Dev Comp Immunol 1985, 9, 419–432. [Google Scholar] [CrossRef]
- Jang, S.I.; Marsden, M.J.; Kim, Y.G.; Choi, M.S.; Secombes, C.J. The Effect of Glycyrrhizin on Rainbow Trout, Oncorhynchus Mykiss (Walbaum), Leucocyte Responses. J Fish Dis 1995, 18, 307–315. [Google Scholar] [CrossRef]
- Peddie, S.; Zou, J.; Secombes, C.J. Immunostimulation in the Rainbow Trout (Oncorhynchus Mykiss) Following Intraperitoneal Administration of Ergosan. Vet Immunol Immunopathol 2002, 86, 101–113. [Google Scholar] [CrossRef] [PubMed]
- Dügenci, S.K.; Arda, N.; Candan, A. Some Medicinal Plants as Immunostimulant for Fish. J Ethnopharmacol 2003, 88, 99–106. [Google Scholar] [CrossRef]
- Paray, B.A.; Hoseini, S.M.; Hoseinifar, S.H.; Van Doan, H. Effects of Dietary Oak (Quercus Castaneifolia) Leaf Extract on Growth, Antioxidant, and Immune Characteristics and Responses to Crowding Stress in Common Carp (Cyprinus Carpio). Aquaculture 2020, 524, 735276. [Google Scholar] [CrossRef]
- Siwicki, A.K.; Anderson, D.P.; Rumsey, G.L. Dietary Intake of Immunostimulants by Rainbow Trout Affects Non-Specific Immunity and Protection against Furunculosis. Vet Immunol Immunopathol 1994, 41, 125–139. [Google Scholar] [CrossRef] [PubMed]
- Ortuño, J.; Cuesta, A.; Rodrı́guez, A.; Esteban, M.A.; Meseguer, J. Oral Administration of Yeast, Saccharomyces Cerevisiae, Enhances the Cellular Innate Immune Response of Gilthead Seabream (Sparus Aurata L.). Vet Immunol Immunopathol 2002, 85, 41–50. [Google Scholar] [CrossRef] [PubMed]
- Anderson, D.P. Immunostimulants, Adjuvants, and Vaccine Carriers in Fish: Applications to Aquaculture. Annu Rev Fish Dis 1992, 2, 281–307. [Google Scholar] [CrossRef]
- Sudhakaran, D.S.; Srirekha, P.; Devasree, L.D.; Premsingh, S.; Michael, R.D. Immunostimulatory Effect of Tinospora Cordifolia Miers Leaf Extract in Oreochromis Mossambicus. Indian J Exp Biol 2006, 44, 726–732. [Google Scholar]
- Venkatalakshmi, S.; Michael, R.D. Immunostimulation by Leaf Extract of Ocimum Sanctum Linn. in Oreochromis Mossambicus (Peters). Journal of Aquaculture in the Tropics 2001, 16, 1–10. [Google Scholar]
- Logambal, S.M.; Michael, R.D. Azadirachtin - an Immunostimulant for Oreochromis Mossambicus (Peters). Journal of Aquaculture in the Tropics 2001, 16, 339–347. [Google Scholar]
- Abutbul, S.; Golan-Goldhirsh, A.; Barazani, O.; Zilberg, D. Use of Rosmarinus Officinalis as a Treatment against Streptococcus Iniae in Tilapia (Oreochromis Sp.). Aquaculture 2004, 238, 97–105. [Google Scholar] [CrossRef]
- Citarasu, T.; Venkatramalingam, K.; Micheal Babu, M.; Raja Jeya Sekar, R.; Petermarian, M. Influence of the Antibacterial Herbs, Solanum Trilobatum, Andrographis Paniculata and Psoralea Corylifolia on the Survival, Growth and Bacterial Load of Penaeus Monodon Post Larvae. Aquaculture International 2003, 11, 581–595. [Google Scholar] [CrossRef]
- Devasree, L.D.; Binuramesh, C.; Michael, R.D. Immunostimulatory Effect of Water Soluble Fraction of Nyctanthes Arbortristis Leaves on the Immune Response in Oreochromis Mossambicus (Peters). Aquac Res 2014, 45, 1581–1590. [Google Scholar] [CrossRef]
- Alexander, C.P.; John Wesly Kirubakaran, C.; Michael, R.D. Water Soluble Fraction of Tinospora Cordifolia Leaves Enhanced the Non-Specific Immune Mechanisms and Disease Resistance in Oreochromis Mossambicus. Fish Shellfish Immunol 2010, 29, 765–772. [Google Scholar] [CrossRef] [PubMed]
- Harikrishnan, R.; Balasundaram, C.; Bhuvaneswari, R. Restorative Effect of Azadirachta Indica Aqueous Leaf Extract Dip Treatment on Haematological Parameter Changes in Cyprinus Carpio (L.) Experimentally Infected with Aphanomyces Invadans Fungus. Journal of Applied Ichthyology 2005, 21, 410–413. [Google Scholar] [CrossRef]
- Companjen, A.R.; Florack, D.E.A.; Slootweg, T.; Borst, J.W.; Rombout, J.H.W.M. Improved Uptake of Plant-Derived LTB-Linked Proteins in Carp Gut and Induction of Specific Humoral Immune Responses upon Infeed Delivery. Fish Shellfish Immunol 2006, 21, 251–260. [Google Scholar] [CrossRef]
- Bouic, P.J.D. The Role of Phytosterols and Phytosterolins in Immune Modulation: A Review of the Past 10 Years. Curr Opin Clin Nutr Metab Care 2001, 4, 471–475. [Google Scholar] [CrossRef]
- Lacaille-Dubois, M.-A.; Hanquet, B.; Cui, Z.-H.; Lou, Z.-C.; Wagner, H. A New Biologically Active Acylated Triterpene Saponin from Silene f Ortunei. J Nat Prod 1999, 62, 133–136. [Google Scholar] [CrossRef]
- Baldissera, M.D.; Souza, C.F.; Velho, M.C.; Bassotto, V.A.; Ourique, A.F.; Da Silva, A.S.; Baldisserotto, B. Nanospheres as a Technological Alternative to Suppress Hepatic Cellular Damage and Impaired Bioenergetics Caused by Nerolidol in Nile Tilapia (Oreochromis Niloticus). Naunyn Schmiedebergs Arch Pharmacol 2020, 393, 751–759. [Google Scholar] [CrossRef] [PubMed]










| Fractions | Dose | 1 week | 2 weeks | 3 weeks |
|---|---|---|---|---|
| WSF | 0.01% | 4.17 | 25.00 | 20.00 |
| 0.1% | 4.17 | 4.17 | 8.00 | |
| 1% | 20.83 | 4.17 | 12.00 | |
| HSF | 0.01% | 20.83 | 20.83 | 28.00 |
| 0.1% | 12.50 | 54.17 | 32.00 | |
| 1% | 4.17 | 8.33 | 24.00 |
| Chemical Class | Retention Time | Area | Area % | Compound Name | Molecular Formula | Molecular Weight, g/mol | N Violations |
|---|---|---|---|---|---|---|---|
| Alcohol | 22.207 | 103451 | 0.59 | 1,3-Propanediol, dodecyl ethyl ether | C17H36O2 | 272 | 1 |
| Alkanes | 12.338 | 703424 | 4.05 | Nonane, 3-methyl-5-propyl- | C13H28 | 184 | 1 |
| 19.053 | 188710 | 1.09 | 2-methylhexacosane | C27H56 | 380 | 1 | |
| 14.097 | 118161 | 0.68 | Heptadecane, 3-methyl- | C18H38 | 254 | 1 | |
| Alkylbenzene | 15.765 | 636438 | 3.66 | Benzenepropanoic acid, 3,5-bis(1,1-dimethylethyl)-4-hydro | C18H28O3 | 292 | 1 |
| Benzenoids | 7.449 | 6997607 | 40.24 | Azulene | C10H8 | 128 | 0 |
| Carbohydrate | 18.189 | 48125 | 0.28 | Carbonic acid, eicosyl vinyl ester | C23H44O3 | 368 | 1 |
| Diterpene | 17.473 | 273775 | 1.57 | Phytol | C20H40O | 296 | 1 |
| 14.793 | 127124 | 0.73 | Neophytadiene | C20H38 | 278 | 1 | |
| 18.342 | 66102 | 0.38 | Phytol, acetate | C22H42O2 | 338 | 1 | |
| Ergostane steroids | 26.509 | 684277 | 3.94 | Ergost-5-en-3-ol, (3.β.,24r)- | C28H48O | 400 | 1 |
| Fatty acid methyl ester | 22.462 | 181667 | 1.04 | Tricosanoic acid, methyl ester | C24H48O2 | 368 | 1 |
| Fatty Alcohol | 20.733 | 180506 | 1.04 | 1-hexacosanol | C26H54O | 382 | 1 |
| 17.3 | 161875 | 0.93 | 6,11-hexadecadien-1-ol | C16H30O | 238 | 1 | |
| Fattyacids esters | 17.349 | 155442 | 0.89 | Methyl Stearate | C19H36O2 | 296 | 1 |
| 17.574 | 67628 | 0.39 | Octadecanoic acid, methyl ester | C19H38O2 | 298 | 1 | |
| Hydrocarbon | 10.196 | 1247832 | 7.18 | 1-chlorohexadecane | C16H33Cl | 260 | 1 |
| Long chain fatty alcohol | 30.253 | 162922 | 0.94 | 1,2-nonadecanediol | C19H40O2 | 300 | 1 |
| Macrocyclin diterpene alcohol | 29.191 | 196398 | 1.13 | Thunbergol | C20H34O | 290 | 1 |
| Pentracyclic triterpenoid | 28.395 | 429331 | 2.47 | 9,19-Cyclolanost-24-en-3-ol, (3.β.)- | C30H50O | 426 | 1 |
| Phytosterol | 27.424 | 1959571 | 11.27 | γ-sitosterol | C29H50O | 414 | 1 |
| 26.749 | 1210014 | 6.96 | Stigmasta-5,23-dien-3-ol, (3.β.)- | C29H48O | 412 | 1 | |
| 25.533 | 156360 | 0.9 | Cholest-5-en-3-ol (3.β)- | C27H46O | 386 | 1 | |
| Quinone and hydroquinone lipids | 25.436 | 151482 | 0.87 | Vitamin E | C29H50O2 | 430 | 1 |
| Sesquiterpenoids | 16.382 | 79887 | 0.46 | Heptadecane, 2,6,10,15-tetramethyl- | C21H44 | 296 | 1 |
| Sesterterpenoids | 23.279 | 67717 | 0.39 | α-tocospiro b | C29H50O4 | 462 | 1 |
| Triterpene | 23.039 | 256270 | 1.47 | Squalene | C30H50 | 410 | 1 |
| 25.225 | 325188 | 1.87 | 24-Norursa-3,12-diene | C29H46 | 394 | 1 |
| Chemical Class | Retention Time | Area | Area % | Compound Name | Molecular Formula | Molecular Weight, g/mol | N Violations |
|---|---|---|---|---|---|---|---|
| Carboxylic ester | 8.134 | 83253 | 0.47 | 4-tert-butylcyclohexyl acetate | C12H22O2 | 198 | 0 |
| Diterpene | 14.715 | 156057 | 0.89 | Neophytadiene | C20H38 | 278 | 1 |
| 15.822 | 113913 | 0.65 | Biformene | C20H32 | 272 | 1 | |
| 17.387 | 1146616 | 6.54 | Abieta-7,13-diene | C20H32 | 272 | 1 | |
| 17.823 | 192602 | 1.10 | Verticiol | C20H34O | 290 | 1 | |
| 17.888 | 656202 | 3.74 | Agathadiol | C20H34O2 | 306 | 0 | |
| 17.972 | 93879 | 0.54 | Neoabietadiene | C20H32 | 272 | 1 | |
| 18.375 | 156065 | 0.89 | Isodextropimaraldehyde | C20H30O | 286 | 1 | |
| 18.630 | 64779 | 0.37 | Palustrinal | C20H30O | 286 | 1 | |
| 18.755 | 172913 | 0.99 | Levopimarate | C21H32O2 | 316 | 1 | |
| 18.953 | 86383 | 0.49 | Abieta-8,11,13-trien-18-a | C20H28O | 284 | 1 | |
| 19.317 | 1296637 | 7.39 | Abietinol | C20H32O | 288 | 1 | |
| 19.924 | 113206 | 0.65 | Neo abietal | C20H30O | 286 | 1 | |
| Ergostane steroids | 26.549 | 85471 | 0.49 | Ergost-5-en-3-ol, (3.β.,24r)- | C28H48O | 400 | 1 |
| Fatty acids | 22.477 | 212007 | 1.21 | Galaxolide | C14H26O4 | 258 | 0 |
| 16.674 | 166324 | 0.95 | Tetradecanedioic acid, 3-oxo-, dimethyl ester | C16H28O5 | 300 | 0 | |
| Fatty acid ester | 17.334 | 162807 | 0.93 | 9-octadecenoic acid, methyl ester | C19H36O2 | 296 | 1 |
| 17.562 | 152150 | 0.87 | Methyl stearate | C19H38O2 | 298 | 1 | |
| 15.693 | 1029561 | 5.87 | Hexadecanoic acid, methyl ester | C17H34O2 | 270 | 1 | |
| Fatty alcohol | 14.820 | 30242 | 0.17 | 1-tetradecanol | C14H30O | 214 | 1 |
| Organic hetero tricyclic | 14.883 | 279538 | 1.59 | Hexamethyl-pyranoindane | C18H26O | 258 | 1 |
| Phytosterol | 25.240 | 256252 | 1.46 | Stigmast-5-en-3-ol, (3.β.)- | C29H50O | 414 | 1 |
| 26.801 | 190485 | 1.09 | Stigmasterol | C29H48O | 412 | 1 | |
| 27.474 | 299140 | 1.71 | γ-sitosterol | C29H50O | 414 | 1 | |
| Polycyclic aromatic hydrocarbons | 7.360 | 378839 | 2.16 | Azulene | C10H8 | 128 | 0 |
| PUFA | 17.288 | 128833 | 0.73 | Verticillol | C18H32O2 | 280 | 1 |
| Sesquiterpene | 9.534 | 170825 | 0.97 | Β -elemene | C15H24 | 204 | 1 |
| 8.776 | 100393 | 0.57 | Cyclohexene, 4-ethenyl-4-methyl-3-(1-methylethenyl)-1-(1 | C15H24 | 204 | 1 | |
| 9.729 | 140414 | 0.80 | Cyperene | C15H24 | 204 | 0 | |
| 10.053 | 580731 | 3.31 | Germacrene b | C15H24 | 204 | 1 | |
| 10.767 | 217949 | 1.24 | Germacrene d | C15H24 | 204 | 1 | |
| 10.974 | 488025 | 2.78 | Cedrelanol | C15H26O | 222 | 0 | |
| 11.263 | 41022 | 0.23 | Cubebol | C15H26O | 222 | 0 | |
| 11.962 | 6051885 | 34.51 | Germacrene d-4-ol | C15H26O | 222 | 0 | |
| 13.393 | 347188 | 1.98 | Shyobunol | C15H26O | 222 | 1 | |
| 14.253 | 86532 | 0.49 | Abietinal | C15H26O | 222 | 0 | |
| 18.557 | 55406 | 0.32 | 10,11-dihydroxy-3,7,11-trimethyl-2,6-dodecadienyl acetate | C17H30O4 | 298 | 0 | |
| Steroid | 13.979 | 599432 | 3.42 | Ergostane-5,25-diol | C39H76O6Si3 | 724 | 2 |
| Tetralins | 14.990 | 191432 | 1.09 | Tonalid | C18H26O | 258 | |
| Triterpenoid | 16.499 | 136199 | 0.78 | Manool oxide | C20H34O | 290 | 1 |
| 14.190 | 78086 | 0.45 | 7-dimethyl(chloromethyl)silyloxytridecane | C16H35ClOSi | 306 | 1 | |
| 21.061 | 323290 | 1.84 | Bis(2-ethylhexyl) phthalate | C24H38O4 | 390 |
Disclaimer/Publisher’s Note: The statements, opinions and data contained in all publications are solely those of the individual author(s) and contributor(s) and not of MDPI and/or the editor(s). MDPI and/or the editor(s) disclaim responsibility for any injury to people or property resulting from any ideas, methods, instructions or products referred to in the content. |
© 2025 by the authors. Licensee MDPI, Basel, Switzerland. This article is an open access article distributed under the terms and conditions of the Creative Commons Attribution (CC BY) license (http://creativecommons.org/licenses/by/4.0/).