Submitted:
23 July 2025
Posted:
23 July 2025
You are already at the latest version
Abstract

Keywords:
1. Introduction
2. Results and Discussion
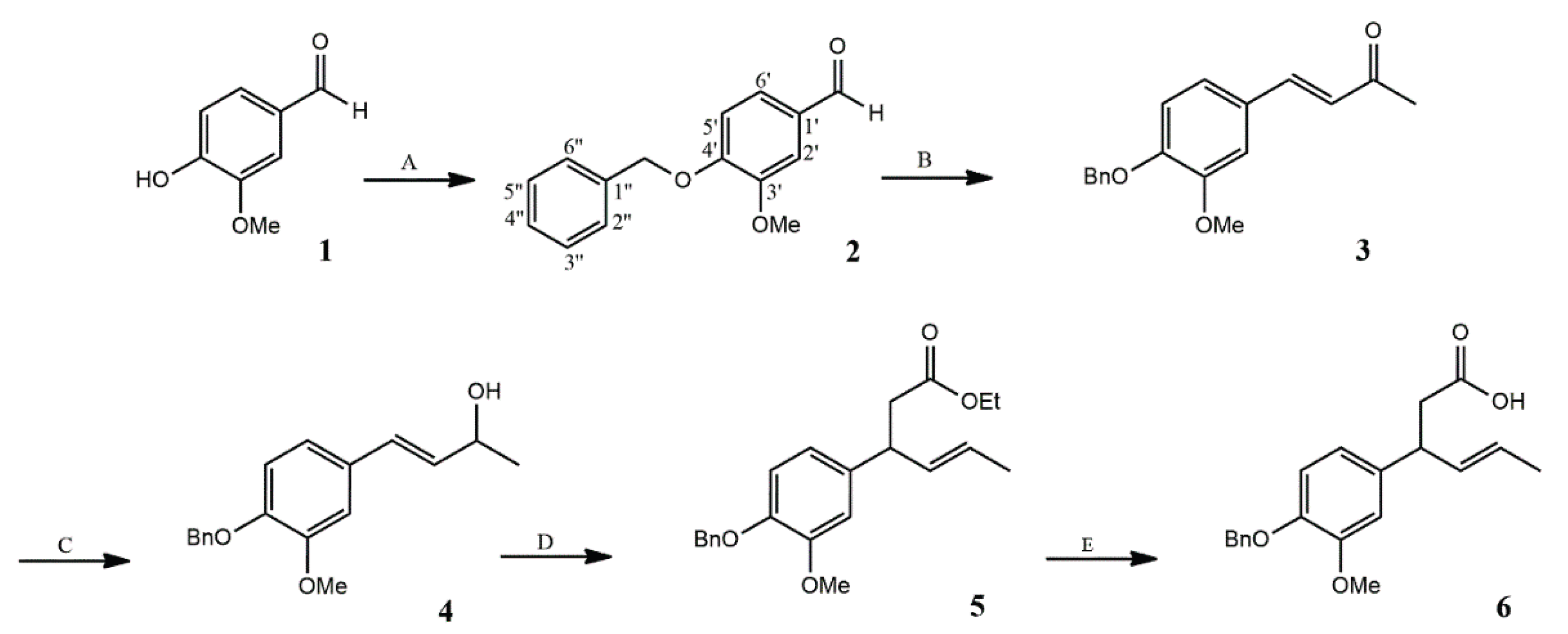
2.1. Synthesis of Vanillin-Derived Halolactones
2.1.1. Synthesis of α,β-Unsaturated Carboxylic Acid 6
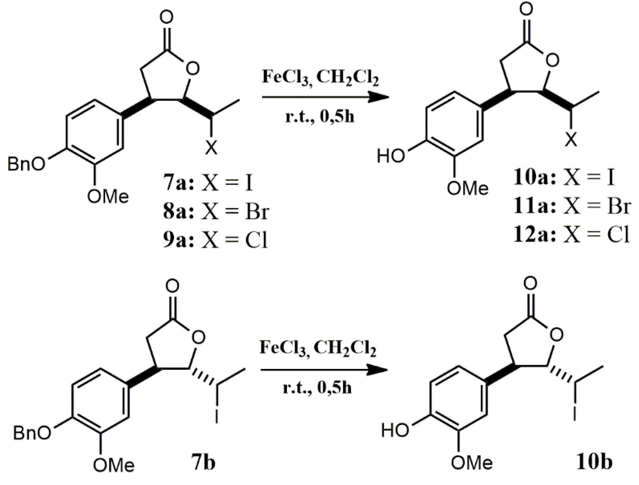
2.1.2. Halolactonizations of γ,δ-unsaturated Carboxylic Acid 6
2.1.3. Benzyl Deprotection of Halolactones 7a-c, 8a,b, 9a,b
2.2. Antiproliferative Activity
2.3. Cytotoxicity Toward Red Blood Cells (RBCs)
3. Materials and Methods
2.3. Chemicals
3.2. Analysis and Purification
3.3. Preparation of Benzylvanillin (2)
3.4. Preparation of Ketone 3 via Claisen–Schmidt Condensation
3.5. Preparation of Allylic Alcohol 4
3.6. Preparation of Ester 5 by Johnson-Claisen Rearrangement
3.7. Preparation of Acid 6
3.8. Preparation of Iodolactones 7a-c
3.8.1. Cis-4-(4'-benzyloxy-3'-methoxyphenyl)-5-(1-iodoethyl)dihydrofuran-2-one (7a)
3.8.2. Trans-4-(4'-benzyloxy-3'-methoxyphenyl)-5-(1-iodoethyl)dihydrofuran-2-one (7b)
3.8.3. 4-r-(4'-Benzyloxy-3'-methoxyphenyl)-5-t-iodo-6-c-methyltetrahydropyran-2-one (7c)
3.9. Preparation of Bromolactones 8a,b
3.9.1. Cis-4-(4'-benzyloxy-3'-methoxyphenyl)-5-(1-bromoethyl)dihydrofuran-2-one (8a)
3.9.2. 4-r-(4'-Benzyloxy-3'-methoxyphenyl)-5-t-bromo-6-c-methyltetrahydropyran-2-one (8b)
3.10. Preparation of Chlorolactones 9a,b
3.10.1. Cis-4-(4'-benzyloxy-3'-methoxyphenyl)-5-(1-chloroethyl)dihydrofuran-2-one (9a)
3.10.2. 4-r-(4'-Benzyloxy-3'-methoxyphenyl)-5-t-chloro-6-c-methyltetrahydropyran-2-one (9b)
3.11. General Procedure for Benzyl Deprotection of Halolactones 7a-c, 8a,b and 9a,b
3.11.1. Cis-4-(4'-hydroxy-3'-methoxyphenyl)-5-(1-iodoethyl)dihydrofuran-2-one (10a)
3.11.2. Trans-4-(4'-hydroxy-3'-methoxyphenyl)-5-(1-iodoethyl)dihydrofuran-2-one (10b)
3.11.3. Cis-5-(1-bromoethyl)-4-(4'-hydroxy-3'-methoxyphenyl)dihydrofuran-2-one (11a)
3.11.4. Cis-5-(1-chloroethyl)-4-(4'-hydroxy-3'-methoxyphenyl)dihydrofuran-2-one (12a)
3.11.5. 5-t-Chloro-4-r-(4'-hydroxy-3'-methoxyphenyl)-6-c-methyltetrahydropyran-2-one (12b)
3.12. Antiproliferative Activity
3.12.1. Chemicals for Biological Tests
3.12.2. Cell Lines and Cell Cultures
3.12.3. MTT Assay
3.13. Cytototoxicity Toward Red Blood Cells (RBCs)
4. Conclusions
Supplementary Materials
Author Contributions
Funding
Institutional Review Board Statement
Informed Consent Statement
Data Availability Statement
Acknowledgments
Conflicts of Interest
References
- Sartori, S.K.; Diaz, M.A.N.; Diaz-Muñoz, G. Lactones: Classification, Synthesis, Biological Activities, and Industrial Applications. Tetrahedron 2021, 84, 132001. [Google Scholar] [CrossRef]
- Fortuna, A.M.; de Riscala, E.C.; Catalan, C.A.N.; Gedris, T.E.; Herz, W. Sesquiterpene Lactones from Centaurea Tweediei. Biochem Syst Ecol 2001, 29, 967–971. [Google Scholar] [CrossRef] [PubMed]
- Sokovic, M.; Ciric, A.; Glamoclija, J.; Skaltsa, H. Biological Activities of Sesquiterpene Lactones Isolated from the Genus Centaurea L. (Asteraceae). Curr Pharm Des 2017, 23, 2767–2786. [Google Scholar] [CrossRef]
- Kumar, P.; Wallis, M.; Zhou, X.; Li, F.; Holland, D.C.; Reddell, P.; Münch, G.; Raju, R. Triplinones A-H: Anti-Inflammatory Arylalkenyl α,β-Unsaturated-δ-Lactones Isolated from the Leaves of Australian Rainforest Plant Cryptocarya Triplinervis (Lauraceae). J Nat Prod 2024, 87, 1817–1825. [Google Scholar] [CrossRef]
- Lohray, B.B.; Venkateswarlu, S. Intramolecular SN2 Ring Opening of a Cyclic Sulfate: Synthesis of Erythro-(−)-6-Acetoxy-5-Hexadecanolide—a Major Component of Mosquito Oviposition Attractant Pheromone. Tetrahedron: Asymmeto’ 1997, 8, 633–638. [Google Scholar] [CrossRef]
- McGlacken, G.P.; Fairlamb, I.J.S. 2-Pyrone Natural Products and Mimetics: Isolation, Characterisation and Biological Activity. Nat Prod Rep 2005, 22, 369–385. [Google Scholar] [CrossRef]
- Zhang, L.; An, R.; Wang, J.; Sun, N.; Zhang, S.; Hu, J.; Kuai, J. Exploring Novel Bioactive Compounds from Marine Microbes. Curr Opin Microbiol 2005, 8, 276–281. [Google Scholar] [CrossRef]
- Karthikeyan, A.; Joseph, A.; Nair, B.G. Promising Bioactive Compounds from the Marine Environment and Their Potential Effects on Various Diseases. Journal of Genetic Engineering and Biotechnology 2022, 20, 1–38. [Google Scholar] [CrossRef]
- Lee, K.-H.; Ibuka, T.; Wu, R.-Y.; Geissman, T.A. Structure–Antimicrobial Activity Relationships among the Sesquiterpene Lactones and Related Compounds. Phytochemistry 1977, 16, 1177–1181. [Google Scholar] [CrossRef]
- Kudumela, R.G.; Mazimba, O.; Masoko, P. Isolation and Characterisation of Sesquiterpene Lactones from Schkuhria Pinnata and Their Antibacterial and Anti-Inflammatory Activities. South African Journal of Botany 2019, 126, 340–344. [Google Scholar] [CrossRef]
- Kowalczyk, P.; Gawdzik, B.; Trzepizur, D.; Szymczak, M.; Skiba, G.; Raj, S.; Kramkowski, K.; Lizut, R.; Ostaszewski, R. δ-Lactones—A New Class of Compounds That Are Toxic to E. Coli K12 and R2–R4 Strains. Materials 2021, 14, 2956. [Google Scholar] [CrossRef]
- Koszelewski, D.; Borys, F.; Brodzka, A.; Ostaszewski, R. Synthesis of Enantiomerically Pure 5,6-Dihydropyran-2-Ones via Chemoenzymatic Sequential DKR-RCM Reaction. European J Org Chem 2019, 2019, 1653–1658. [Google Scholar] [CrossRef]
- Paço, A.; Brás, T.; Santos, J.O.; Sampaio, P.; Gomes, A.C.; Duarte, M.F. Anti-Inflammatory and Immunoregulatory Action of Sesquiterpene Lactones. Molecules 2022, 27, 1142. [Google Scholar] [CrossRef]
- Dancewicz, K.; Szumny, A.; Wawrzeńczyk, C.; Gabryś, B. Repellent and Antifeedant Activities of Citral-Derived Lactones against the Peach Potato Aphid. Int J Mol Sci 2020, 21, 8029. [Google Scholar] [CrossRef] [PubMed]
- Fraga, B.M.; Díaz, C.E.; Bailén, M.; González-Coloma, A. Sesquiterpene Lactones from Artemisia Absinthium. Biotransformation and Rearrangement of the Insect Antifeedant 3α-Hydroxypelenolide. Plants 2021, 10, 891. [Google Scholar] [CrossRef] [PubMed]
- Szczepanik, M.; Dams, I.; Wawrzeńczyk, C. Feeding Deterrent Activity of Terpenoid Lactones with the p-Menthane System Against the Colorado Potato Beetle (Coleoptera: Chrysomelidae). Environ Entomol 2005, 34, 1433–1440. [Google Scholar] [CrossRef]
- Silva, L.C.; Tauhata, S.B.F.; Baeza, L.C.; Oliveira, C.M.A.; Kato, L.; Borges, C.L.; Soares, C.M.A.; Pereira, M. Argentilactone Molecular Targets in Paracoccidioides Brasiliensis Identified by Chemoproteomics. Antimicrob Agents Chemother 2018, 62, e00737–18. [Google Scholar] [CrossRef] [PubMed]
- Kaur, R.; Sharma, P.; Bhardwaj, U.; Kaur, R. Dehydrocostus Lactone: A Comprehensive Review on Its Isolation, Chemical Transformations, and Pharmacological Potential. Discover Chemistry 2025, 2, 131. [Google Scholar] [CrossRef]
- Zhi, X.Y.; Zhang, Y.; Li, Y.F.; Liu, Y.; Niu, W.P.; Li, Y.; Zhang, C.R.; Cao, H.; Hao, X.J.; Yang, C. Discovery of Natural Sesquiterpene Lactone 1-O-Acetylbritannilactone Analogues Bearing Oxadiazole, Triazole, or Imidazole Scaffolds for the Development of New Fungicidal Candidates. J Agric Food Chem 2023, 71, 11680–11691. [Google Scholar] [CrossRef]
- Rasul, A.; Parveen, S.; Ma, T. Costunolide: A Novel Anti-Cancer Sesquiterpene Lactone. Bangladesh J Pharmacol 2012, 7, 6–13. [Google Scholar] [CrossRef]
- Kim, D.Y.; Choi, B.Y. Costunolide—A Bioactive Sesquiterpene Lactone with Diverse Therapeutic Potential. Int J Mol Sci 2019, 20, 2926. [Google Scholar] [CrossRef]
- Wzorek, A.; Kwiatkowska, M.; Hodorowicz, M.; Kalwat, K.; Arabski, M.; Płoszaj, P.; Gonciarz, W.; Omelaniuk, A.; Gmiter, D.; Kaca, W.; et al. Syntheses, Structures and Biological Activities of New Pyridinyl Lactones. J Mol Struct 2025, 1319. [Google Scholar] [CrossRef]
- Kim, Y.; Sengupta, S.; Sim, T. Natural and Synthetic Lactones Possessing Antitumor Activities. Int J Mol Sci 2021, 22, 1052. [Google Scholar] [CrossRef]
- Kamizela, A.; Gawdzik, B.; Urbaniak, M.; Lechowicz, Ł.; Białońska, A.; Kutniewska, S.E.; Gonciarz, W.; Chmiela, M. New γ-Halo-δ-Lactones and δ-Hydroxy-γ-Lactones with Strong Cytotoxic Activity. Molecules 2019, 24, 1875. [Google Scholar] [CrossRef] [PubMed]
- Kamizela, A.; Gawdzik, B.; Urbaniak, M.; Lechowicz, Ł.; Białońska, A.; Gonciarz, W.; Chmiela, M. Synthesis, Characterization, Cytotoxicity, and Antibacterial Properties of Trans-γ-Halo-δ-Lactones. ChemistryOpen 2018, 7, 543–550. [Google Scholar] [CrossRef] [PubMed]
- Mereyala, H.B.; Joe, M. Cytotoxic Activity of Styryl Lactones and Their Derivatives. Curr Med Chem Anticancer Agents 2001, 1, 293–300. [Google Scholar] [CrossRef] [PubMed]
- Albrecht, A.; Koszuk, J.F.; Modranka, J.; Różalski, M.; Krajewska, U.; Janecka, A.; Studzian, K.; Janecki, T. Synthesis and Cytotoxic Activity of γ-Aryl Substituted α-Alkylidene-γ-Lactones and α-Alkylidene-γ-Lactams. Bioorg Med Chem 2008, 16, 4872–4882. [Google Scholar] [CrossRef]
- Park, S.; Kim, S.; Shin, D. Arylnaphthalene Lactones: Structures and Pharmacological Potentials. Phytochemistry Reviews 2021, 20, 1033–1054. [Google Scholar] [CrossRef]
- Nguyen, T.K.; Thi Tran, L.T.; Truong Tan, T.; Pham, P.T.V.; Nguyen, L.T.K.; Nguyen, H.T.; Ho, D.V.; Tran, M.H. Isolation, Structural Elucidation, and Cytotoxic Activity Investigation of Novel Styryl-Lactone Derivatives from Goniothalamus Elegans: In Vitro and in Silico Studies. RSC Adv 2023, 13, 17587–17594. [Google Scholar] [CrossRef]
- Wzorek, A.; Gawdzik, B.; GŁadkowski, W.; Urbaniak, M.; Barańska, A.; Malińska, M.; Woźniak, K.; Kempinska, K.; Wietrzyk, J. Synthesis, Characterization and Antiproliferative Activity of β-Aryl-δ-Iodo-γ-Lactones. J Mol Struct 2013, 1047, 160–168. [Google Scholar] [CrossRef]
- Gładkowski, W.; Skrobiszewski, A.; Mazur, M.; Siepka, M.; Pawlak, A.; Obmińska-Mrukowicz, B.; Białońska, A.; Poradowski, D.; Drynda, A.; Urbaniak, M. Synthesis and Anticancer Activity of Novel Halolactones with β-Aryl Substituents from Simple Aromatic Aldehydes. Tetrahedron 2013, 69, 10414–10423. [Google Scholar] [CrossRef]
- Gładkowski, W.; Skrobiszewski, A.; Mazur, M.; Gliszczyńska, A.; Czarnecka, M.; Pawlak, A.; Obmińska-Mrukowicz, B.; Maciejewska, G.; Białońska, A. Chiral δ-Iodo-γ-Lactones Derived from Cuminaldehyde, 2,5-Dimethylbenzaldehyde and Piperonal: Chemoenzymatic Synthesis and Antiproliferative Activity. Tetrahedron Asymmetry 2016, 27, 227–237. [Google Scholar] [CrossRef]
- Gładkowski, W.; Włoch, A.; Pawlak, A.; Sysak, A.; Białońska, A.; Mazur, M.; Mituła, P.; Maciejewska, G.; Obmińska-Mrukowicz, B.; Kleszczyńska, H. Preparation of Enantiomeric β-(2’,5’-Dimethylphenyl) Bromolactones, Their Antiproliferative Activity and Effect on Biological Membranes. Molecules 2018, 23, 3035. [Google Scholar] [CrossRef] [PubMed]
- Pawlak, A.; Gładkowski, W.; Mazur, M.; Henklewska, M.; Obmińska-Mrukowicz, B.; Rapak, A. Optically Active Stereoisomers of 5-(1-Iodoethyl)-4-(4′-Isopropylphenyl)Dihydrofuran-2-One: The Effect of the Configuration of Stereocenters on Apoptosis Induction in Canine Cancer Cell Lines. Chem Biol Interact 2017, 261, 18–26. [Google Scholar] [CrossRef] [PubMed]
- Pawlak, A.; Gładkowski, W.; Kutkowska, J.; Mazur, M.; Obmińska-Mrukowicz, B.; Rapak, A. Enantiomeric Trans β-Aryl-δ-Iodo-γ-Lactones Derived from 2,5-Dimethylbenzaldehyde Induce Apoptosis in Canine Lymphoma Cell Lines by Downregulation of Anti-Apoptotic Bcl-2 Family Members Bcl-xL and Bcl-2. Bioorg Med Chem Lett 2018, 28, 1171–1177. [Google Scholar] [CrossRef]
- Włoch, A.; Sengupta, P.; Szulc, N.; Kral, T.; Pawlak, A.; Henklewska, M.; Pruchnik, H.; Sykora, J.; Hof, M.; Gładkowski, W. Biophysical and Molecular Interactions of Enantiomeric Piperonal-Derived Trans β-Aryl-δ-Iodo-γ-Lactones with Cancer Cell Membranes, Protein and DNA: Implications for Anticancer Activity. Int J Biol Macromol 2025, 303, 140476. [Google Scholar] [CrossRef]
- Włoch, A.; Stygar, D.; Bahri, F.; Bażanów, B.; Kuropka, P.; Chełmecka, E.; Pruchnik, H.; Gładkowski, W. Antiproliferative, Antimicrobial and Antiviral Activity of β-Aryl-δ-Iodo-γ-Lactones, Their Effect on Cellular Oxidative Stress Markers and Biological Membranes. Biomolecules 2020, 10, 1594. [Google Scholar] [CrossRef]
- Olatunde, A.; Mohammed, A.; Ibrahim, M.A.; Tajuddeen, N.; Shuaibu, M.N. Vanillin: A Food Additive with Multiple Biological Activities. European Journal of Medicinal Chemistry Reports 2022, 5. [Google Scholar] [CrossRef]
- Kafali, M.; Finos, M.A.; Tsoupras, A. Vanillin and Its Derivatives: A Critical Review of Their Anti-Inflammatory, Anti-Infective, Wound-Healing, Neuroprotective, and Anti-Cancer Health-Promoting Benefits. Nutraceuticals 2024, 4, 522–561. [Google Scholar] [CrossRef]
- Arya, S.S.; Rookes, J.E.; Cahill, D.M.; Lenka, S.K. Vanillin: A Review on the Therapeutic Prospects of a Popular Flavouring Molecule. Advances in Traditional Medicine 2021, 21, 415–431. [Google Scholar] [CrossRef]
- Yousuf, M.; Shamsi, A.; Queen, A.; Shahbaaz, M.; Khan, P.; Hussain, A.; Alajmi, M.F.; Rizwanul Haque, Q.M.; Imtaiyaz Hassan, M. Targeting Cyclin-Dependent Kinase 6 by Vanillin Inhibits Proliferation of Breast and Lung Cancer Cells: Combined Computational and Biochemical Studies. J Cell Biochem 2021, 122, 897–910. [Google Scholar] [CrossRef] [PubMed]
- Liang, J.A.; Wu, S.L.; Lo, H.Y.; Hsiang, C.Y.; Ho, T.Y. Vanillin Inhibits Matrix Metalloproteinase-9 Expression through down-Regulation of Nuclear Factor-ΚB Signaling Pathway in Human Hepatocellular Carcinoma Cells. Mol Pharmacol 2009, 75, 151–157. [Google Scholar] [CrossRef] [PubMed]
- Ho, K.L.; Yazan, L.S.; Ismail, N.; Ismail, M. Apoptosis and Cell Cycle Arrest of Human Colorectal Cancer Cell Line HT-29 Induced by Vanillin. Cancer Epidemiol 2009, 33, 155–160. [Google Scholar] [CrossRef] [PubMed]
- Srinual, S.; Chanvorachote, P.; Pongrakhananon, V. Suppression of Cancer Stem-like Phenotypes in NCI-H460 Lung Cancer Cells by Vanillin through an Akt-Dependent Pathway. Int J Oncol 2017, 50, 1341–1351. [Google Scholar] [CrossRef]
- Park, E.J.; Lee, Y.M.; Oh, T.I.; Kim, B.M.; Lim, B.O.; Lim, J.H. Vanillin Suppresses Cell Motility by Inhibiting STAT3-Mediated HIF-1α MRNA Expression in Malignant Melanoma Cells. Int J Mol Sci 2017, 18, 532. [Google Scholar] [CrossRef]
- Gendron, D. Vanillin: A Promising Biosourced Building Block for the Preparation of Various Heterocycles.
- Chem 2022, 10, 949355. [CrossRef]
- Yıldırım, M.; Ünver, H.; Necip, A.; Çimentepe, M. Design, Synthesis, and Biological Evaluation of Novel Vanillin-Derived Hydrazone Compounds with Antimicrobial, Anticancer, and Enzyme Inhibition Activities, along with Molecular Structure and Drug-Likeness Assessment. Biochem Biophys Res Commun 2025, 775, 152173. [Google Scholar] [CrossRef]
- Scipioni, M.; Kay, G.; Megson, I.L.; Kong Thoo Lin, P. Synthesis of Novel Vanillin Derivatives: Novel Multi-Targeted Scaffold Ligands against Alzheimer’s Disease. Medchemcomm 2019, 10, 764–777. [Google Scholar] [CrossRef]
- Li, Z.H.; Liu, H.M.; Fan, Z.Y.; Pang, W.; Cheng, L.P. Design, Synthesis and Evaluation of Vanillin Derivatives as Dual-Target Inhibitors for the Treatment of Alzheimer’s Disease. Bioorg Med Chem 2025, 129, 118296. [Google Scholar] [CrossRef]
- Carrasco-Gomez, R.; Keppner-Witter, S.; Hieke, M.; Lange, L.; Schneider, G.; Schubert-Zsilavecz, M.; Proschak, E.; Spänkuch, B. Vanillin-Derived Antiproliferative Compounds Influence Plk1 Activity. Bioorg Med Chem Lett 2014, 24, 5063–5069. [Google Scholar] [CrossRef]
- Li, Y.; Manickam, G.; Ghoshal, A.; Subramaniam, P. More Efficient Palladium Catalyst for Hydrogenolysis of Benzyl Groups. Synth Commun 2006, 36, 925–928. [Google Scholar] [CrossRef]
- Lanthier, C.; Payan, H.; Liparulo, I.; Hatat, B.; Lecoutey, C.; Since, M.; Davis, A.; Bergamini, C.; Claeysen, S.; Dallemagne, P.; et al. Novel Multi Target-Directed Ligands Targeting 5-HT4 Receptors with in Cellulo Antioxidant Properties as Promising Leads in Alzheimer’s Disease. Eur J Med Chem 2019, 182, 111596. [Google Scholar] [CrossRef]
- Gadhiya, S.; Madapa, S.; Kurtzman, T.; Alberts, I.L.; Ramsey, S.; Pillarsetty, N.K.; Kalidindi, T.; Harding, W.W. Tetrahydroprotoberberine Alkaloids with Dopamine and σ Receptor Affinity. Bioorg Med Chem 2016, 24, 2060–2071. [Google Scholar] [CrossRef] [PubMed]
- Adinolfi, M.; Barone, G.; Guariniello, L.; Iadonisi, A. Facile Cleavage of Carbohydrate Benzyl Ethers and Benzylidene Acetals Using the NaBrO3/Na2S2O4 Reagent under Two-Phase Conditions. Tetrahedron Lett 1999, 40, 8439–8441. [Google Scholar] [CrossRef]
- Rodebaugh, R.; Debenham, J.S.; Fraser-Reid, B. Debenzylation of Complex Oligosaccharides Using Ferric Chloride. Tetrahedron Lett 1996, 37, 5477–5478. [Google Scholar] [CrossRef]
- Giri, R.S.; Roy, S.; Dolai, G.; Manne, S.R.; Mandal, B. FeCl3-Mediated Boc Deprotection: Mild Facile Boc-Chemistry in Solution and on Resin. ChemistrySelect 2020, 5, 2050–2056. [Google Scholar] [CrossRef]
- Gładkowski, W.; Siepka, M.; Żarowska, B.; Białońska, A.; Gawdzik, B.; Urbaniak, M.; Wawrzeńczyk, C. Chalcone-Derived Lactones: Synthesis, Whole-Cell Biotransformation, and Evaluation of Their Antibacterial and Antifungal Activity. Molecules 2023, 28, 3800. [Google Scholar] [CrossRef]
- Schrittwieser, J.H.; Resch, V.; Wallner, S.; Lienhart, W.D.; Sattler, J.H.; Resch, J.; MacHeroux, P.; Kroutil, W. Biocatalytic Organic Synthesis of Optically Pure (S)-Scoulerine and Berbine and Benzylisoquinoline Alkaloids. Journal of Organic Chemistry 2011, 76, 6703–6714. [Google Scholar] [CrossRef]
- Krishnamurty, H.G.; Ghosh, S. Synthesis of Dihydrocurcumin. Indian J Chem 1986, 25B, 411–412. [Google Scholar]
- Pawlak, A.; Ziolo, E.; Kutkowska, J.; Blazejczyk, A.; Wietrzyk, J.; Krupa, A.; Hildebrand, W.; Dziegiel, P.; Dzimira, S.; Obminska-Mrukowicz, B.; et al. A Novel Canine B-Cell Leukaemia Cell Line. Establishment, Characterisation and Sensitivity to Chemotherapeutics. Vet Comp Oncol 2017, 15, 1218–1231. [Google Scholar] [CrossRef]
- Rütgen, B.C.; Hammer, S.E.; Gerner, W.; Christian, M.; de Arespacochaga, A.G.; Willmann, M.; Kleiter, M.; Schwendenwein, I.; Saalmüller, A. Establishment and Characterization of a Novel Canine B-Cell Line Derived from a Spontaneously Occurring Diffuse Large Cell Lymphoma. Leuk Res 2010, 34, 932–938. [Google Scholar] [CrossRef]
- Villarroel, A.; Duff, A.; Hu, T. DMSO Inhibits Human Cancer Cells and Downregulates the Expression of Cdk2 and Cyclin A. The FASEB Journal 2020, 34, 03158–1. [Google Scholar] [CrossRef]
- Pruchnik, H.; Włoch, A.; Bonarska-Kujawa, D.; Kleszczyńska, H. An In Vitro Study of the Effect of Cytotoxic Triorganotin Dimethylaminophenylazobenzoate Complexes on Red Blood Cells. Journal of Membrane Biology 2018, 251, 735–745. [Google Scholar] [CrossRef]






| Compound | IC50 [µg/mL] | ||||
|---|---|---|---|---|---|
| CLBL-1 | CLB70 | T-24 | CaCo-2 | NIH/3T3 | |
| 1 | 72.44±9.371 | 72.79±2.28 | 48.46±13.16 | >100 | >100 |
| 10a | 73.55±8.82 | 69.65±13.69 | 98.06±10.42 | >100 | >100 |
| 10b | 46.26±4.07 | 71.48±7.47 | 63.42±6.16 | >100 | >100 |
| 11a | 63.18±1.60 | 76.17±5.30 | >100 | 76.40±9.99 | >100 |
| 12a | 76.67±11.47 | 75.21±6.25 | >100 | 88.05±4.37 | >100 |
| 12b | 85.72±15.72 | 71.17±11.64 | >100 | 72.54±19.76 | >100 |
| 24 h | ||||||||
|---|---|---|---|---|---|---|---|---|
| [µM] | Vanillin (1) | 10a | 10b | 11a | 12a | 12b | DMSO | Control |
| 6.25 | 8.05±0.151 | 7.70±0.07 | 7.61±0.13 | 8.50±0.15 | 8.10±0.0 | 7.34±0.06 | 7.92±0.07 | 7.65±0.44 |
| 12.50 | 7.47±0.15 | 7.83±0.51 | 7.87±0.07 | 8.10±0,15 | 7.52±0.32 | 7.47±0.06 | ||
| 25 | 7.25±0.13 | 7.95±0.13 | 7.74±0.48 | 7.78±0.33 | 7.43±0.48 | 7.83±0.06 | ||
| 50 | 7.16±0.60 | 7.30±0.19 | 8.45±0.07 | 7.83±0.07 | 7.78±0.13 | 7.96±0.80 | ||
| 100 | 7.87±0.26 | 7.70±0.51 | 7.92±0.15 | 8.05±0.07 | 8.41±0.07 | 7.87±0.06 | ||
| 200 | 8.01±0.13 | 8.41±0.07 | 8.50±0.19 | 8.99±0.69 | 7.70±0.26 | 8.01±0.06 | ||
| 72 h | ||||||||
| 6.25 | 9.10±0.15 | 9.22±0.15 | 9.65±0.15 | 9.09±0.09 | 9.06±0.46 | 8.77±0.15 | 9.58±0.79 | 9.26±0.93 |
| 12.50 | 9.21±0.31 | 9.38±0.09 | 8.94±0.57 | 9.25±0.38 | 8.98±0.00 | 9.04±0.69 | ||
| 25 | 9.21±0.15 | 9.43±0.30 | 9.17±0.15 | 8.99±0.01 | 9.74±0.53 | 9.59±0.52 | ||
| 50 | 9.54±0.40 | 8.86±0.17 | 9.75±0.40 | 9.87±0.01 | 9.03±0.09 | 9.08±0.09 | ||
| 100 | 9.42±0.23 | 9.26±0.38 | 9.66±0.65 | 9.16±0.09 | 8.71±0.17 | 9.15±0.09 | ||
| 200 | 10.22±0.15 | 9.92±0.35 | 11.00±0.90 | 10.34±1.20 | 9.67±0.80 | 10.52±0.75 | ||
Disclaimer/Publisher’s Note: The statements, opinions and data contained in all publications are solely those of the individual author(s) and contributor(s) and not of MDPI and/or the editor(s). MDPI and/or the editor(s) disclaim responsibility for any injury to people or property resulting from any ideas, methods, instructions or products referred to in the content. |
© 2025 by the authors. Licensee MDPI, Basel, Switzerland. This article is an open access article distributed under the terms and conditions of the Creative Commons Attribution (CC BY) license (http://creativecommons.org/licenses/by/4.0/).