Submitted:
17 July 2025
Posted:
17 July 2025
You are already at the latest version
Abstract
Keywords:
1. Introduction
2. Materials and Methodes
2.1. Coating Design
2.2. Physical Analysis
2.2.1. Weight Variation
2.2.2. Fruit Dimensions
2.2.3. Firmness
2.2.4. Color
2.3. Chemical Analysis
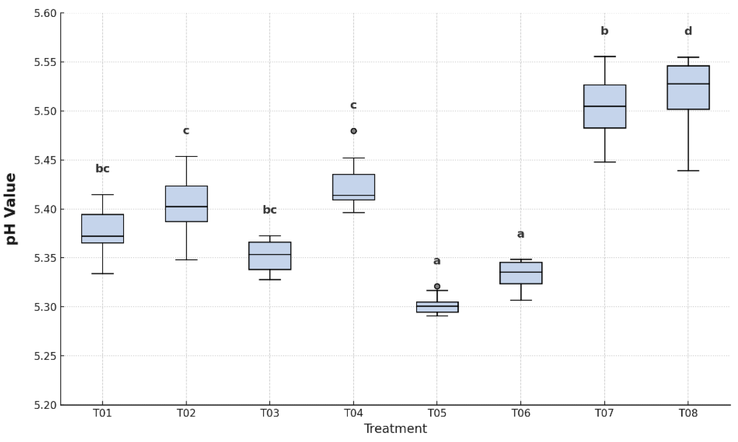
2.3.1. pH
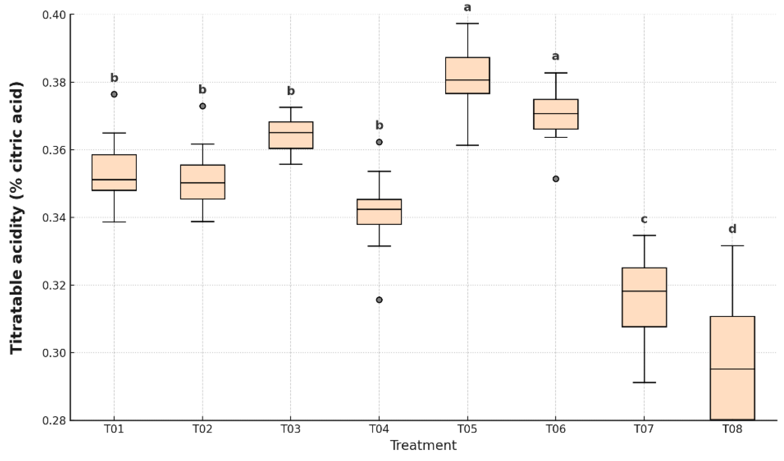
2.3.2. Titratable Acidity
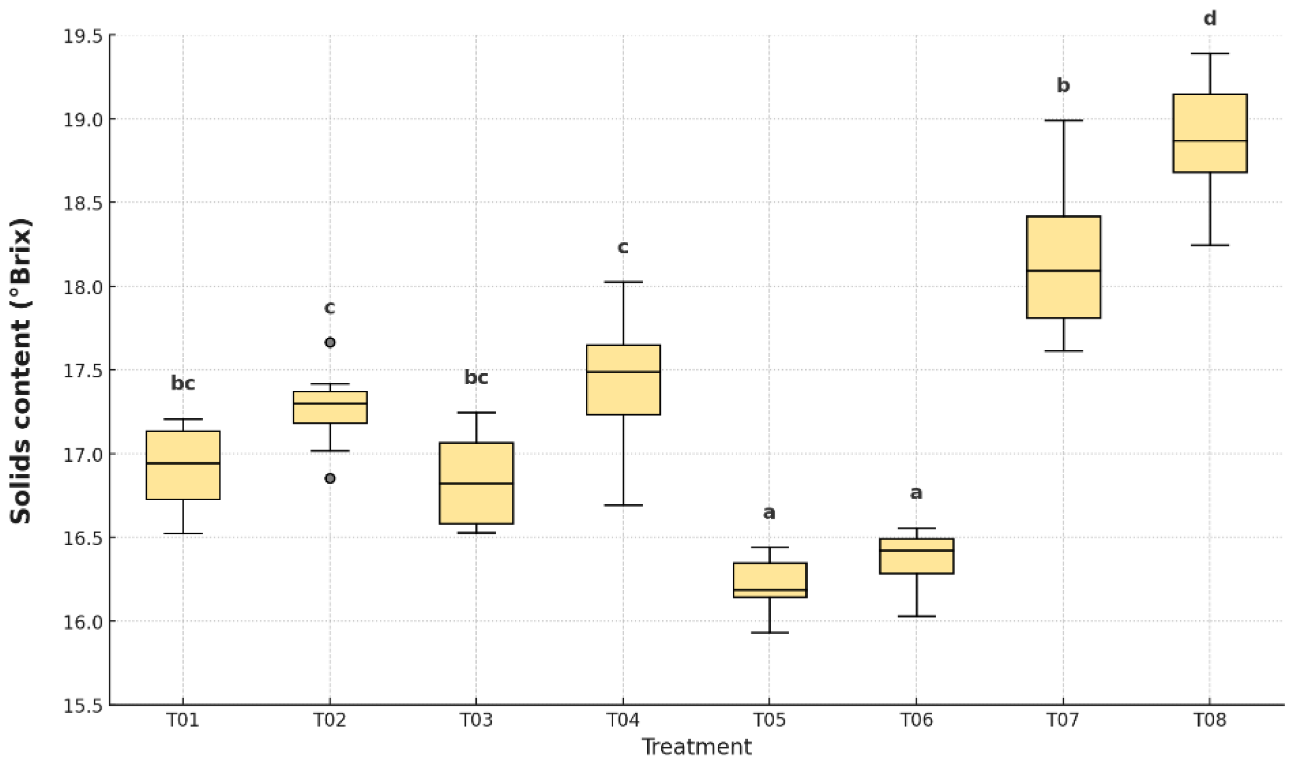
2.3.3. Soluble Solids
2.4. Respiration Rate
2.5. Microbiological Analysis
2.6. Sensory Evaluation
3. Results
3.1. Physical Analysis
3.1.1. Weight Variation
3.1.2. Fruit Dimensions
3.1.3. Firmness
3.1.4. Color Parameters
3.2. Chemical Analysis
3.2.1. pH
3.2.2. Titratable Acidity
3.2.3. Soluble Solids
3.3. Respiration Rate
3.4. Microbiological Quality
3.5. Sensory Evaluation
4. Discussion
4.1. Physical Analysis
4.1.1. Weight Variation
4.1.2. Fruit Dimensions
4.1.3. Firmness
4.1.4. Color Parameters
4.2. Chemical Analysis
4.2.1. pH
4.2.2. Titratable Acidity
4.2.3. Soluble Solids
4.3. Respiration Rate
4.4. Microbiological Quality
4.5. Sensory Evaluation
4.6. Statistical Analysis
5. Conclusions
Author Contributions
Funding
Institutional Review Board Statement
Informed Consent Statement
Data Availability Statement
Acknowledgments
Conflicts of Interest
References
- Capa Benítez LB, Alaña Castillo TP, Benítez Narváez RM. Importancia de la producción de banano orgánico. Caso: Provincia El Oro, Ecuador. Revista Universidad y Sociedad 2016;8:64–71.
- Agronomía C. Tecnología Poscosecha. Agronomía Costarricense 2005;29:207–9.
- Kabir J, Kore V, Tawade S. Application of Edible Coatings on Fruits and Vegetables. ResearchGate 2017;3.
- Ruiz Medina MD, Ruales J. Post-Harvest Alternatives in Banana Cultivation. Agronomy 2024;14:2109. [CrossRef]
- Palma RMM, Pérez AAF, Padilla MC. Recubrimientos comestibles para extender la vida de anaquel de productos hortofrutícolas. Ciencia Latina Revista Científica Multidisciplinar 2021;5:4605–25. [CrossRef]
- Akhtar M, Khan MR, Hussain S. Impact of edible coatings on the preservation of postharvest fruit quality. International Journal of Food Science and Technology 2020;55:3424–31. [CrossRef]
- Ruiz Medina MD, Quimbita Yupangui Y, Ruales J. Effect of a Protein–Polysaccharide Coating on the Physicochemical Properties of Banana (Musa paradisiaca) During Storage. Coatings 2025;15:812. [CrossRef]
- Moradinezhad F, Adiba A, Ranjbar A, Dorostkar M. Edible Coatings to Prolong the Shelf Life and Improve the Quality of Subtropical Fresh/Fresh-Cut Fruits: A Review. Horticulturae 2025;11:577. [CrossRef]
- Lin Y, Lin H, Fan Z, Wang H, Lin M, Chen Y, et al. Inhibitory effect of propyl gallate on pulp breakdown of longan fruit and its relationship with ROS metabolism. Postharvest Biology and Technology 2020;168:111272. [CrossRef]
- Castellanos DA, Algecira NA, Villota CP. Aspectos relevantes en el almacenamiento de banano en empaques con atmósferas modificadas. Revista Iberoamericana de Tecnología Postcosecha 2011;12:114–34.
- Vargas A, Valle H, González M. Efecto del color y de la densidad del polietileno de fundas para cubrir el racimo sobre dimensiones, presentación y calidad poscosecha de frutos de banano y plátano. Agronomía Costarricense 2010;34:269–85. [CrossRef]
- Peña-Baracaldo FJ, Chaparro HN, Orjuela-Matta HM, Romero-Guerrero G, Peña-Baracaldo FJ, Chaparro HN, et al. Respuesta en poscosecha de frutos de agraz (Vaccinium meridionale Swartz) a almacenamiento en dos tipos de plástico. Revista UDCA Actualidad & Divulgación Científica 2020;23. [CrossRef]
- Chiriboga J. Hacia una agricultura más sostenible: recubrimientos comestibles naturales para extender la vida útil de las frutas. VITSC 2025;2:18–32. [CrossRef]
- Ruiz Medina M, Ávila J, Ruales J. DISEÑO DE UN RECUBRIMIENTO COMESTIBLE BIOACTIVO PARA APLICARLO EN LA FRUTILLA (Fragaria vesca) COMO PROCESO DE POSTCOSECHA. Revista Iberoamericana de Tecnología Postcosecha 2016;17:276–87.
- Bello-Lara JE, Balois-Morales R, Universidad Autónoma de Nayarit, Juárez-López P, Alia-Tejacal I, Universidad Autónoma del Estado de Morelos, et al. Coatings based on starch and pectin from ‘Pear’ banana (Musa ABB), and chitosan applied to postharvest ‘Ataulfo’ mango fruit. Rchsh 2016;XXII:209–18. [CrossRef]
- Arce Ortiz KL, Ortega Villalba KJ, Ochoamartinez CI, Vélez Pasos C. Postharvest properties of banana gross michel coated with whey protein and chitosan. Vitae 2016;23:S749–53.
- Elsayed N, Hassan AA, Abdelaziz SM, Abdeldaym EA, Darwish OS. Effect of Whey Protein Edible Coating Incorporated with Mango Peel Extract on Postharvest Quality, Bioactive Compounds and Shelf Life of Broccoli. Horticulturae 2022;8:770. [CrossRef]
- Malmiri H, Osman A, Ping C, Abdul R. EFECTOS DE LOS RECUBRIMIENTOS SUPERFICIALES COMESTIBLES (CARBOXIMETILCELULOSA SÓDICA, CASEINATO SÓDICO Y GLICEROL) EN LA CALIDAD DE ALMACENAMIENTO DEL PLÁTANO BERANGAN (MUSA SAPIENTUM CV. BERANGAN) UTILIZANDO LA METODOLOGÍA DE SUPERFICIE DE RESPUESTA - JAFARIZADEH MALMIRI - 2012 - Revista de Procesamiento y Conservación de Alimentos - Biblioteca en Línea de Wiley 2011. [CrossRef]
- Sanchez-Tamayo M, Plaza-Dorado JL, Ochoa-Martínez C. Influence of Composite Edible Coating of Pectin, Glycerol, and Oregano Essential Oil on Postharvest Deterioration of Mango Fruit. Food Science & Nutrition 2024;12:10646–54. [CrossRef]
- Anjos IV dos, Melo SS de, Gilio TAS, Kreitlow JP, Neves SMA da S, AraÃojo KL, et al. Molecular Characterization of Isolates of Fusarium spp. Associated With Wilt in Capsicum spp. Journal of Agricultural Science 2024;11:519–519.
- Aquino-Martínez JG, Vázquez-García LM, Reyes-Reyes BG. Biocontrol in vitro e in vivo de Fusarium oxysporum Schlecht. f. sp. dianthi (Prill. y Delacr.) Snyder y Hans. con Hongos Antagonistas Nativos de la Zona Florícola de Villa Guerrero, Estado de México. Revista mexicana de fitopatología 2008;26:127–37.
- Ali A, Muhammad MTM, Sijam K, Siddiqui Y. Effect of chitosan coatings on the physicochemical characteristics of Eksotika II papaya (Carica papaya L.) fruit during cold storage. Food Chemistry 2011;118:620–6. [CrossRef]
- Barrera Necha LL, García Barrera LJ. Actividad antifúngica de aceites esenciales y sus compuestos sobre el crecimiento de Fusarium sp. aislado de papaya ( Carica papaya). Revista Científica UDO Agrícola 2008;8:33–41.
- Allagui MB, Moumni M, Romanazzi G. Antifungal Activity of Thirty Essential Oils to Control Pathogenic Fungi of Postharvest Decay. Antibiotics 2024;13:28. [CrossRef]
- Ruiz Medina MD, Ruales J. Essential Oils as an Antifungal Alternative to Control Several Species of Fungi Isolated from Musa paradisiaca: Part III. Microorganisms 2025;13:1663. [CrossRef]
- Abd Rashed A, Rathi D-NG, Ahmad Nasir NAH, Abd Rahman AZ. Antifungal Properties of Essential Oils and Their Compounds for Application in Skin Fungal Infections: Conventional and Nonconventional Approaches. Molecules 2021;26:1093. [CrossRef]
- Bakkali F, Averbeck S, Averbeck D, Idaomar M. Biological effects of essential oils—A review. Food and Chemical Toxicology 2008;46:446–75. [CrossRef]
- Martínez M, Gómez S. Antifungal properties of essential oils in fruit preservation. Food Research International 2020;127:108679. [CrossRef]
- Aboboreira M. Principales labores del cultivo de banano. Primera. Costa Rica: Finca Comercial; 1994.
- Galan V, Rangel A, Lopez J, Hernandez JBP, Sandoval J, Rocha HS. Propagación del banano: técnicas tradicionales, nuevas tecnologías e innovaciones. Rev Bras Frutic 2018;40. [CrossRef]
- Oms-Oliu G, Soliva-Fortuny R, Martín-Belloso O. Using polysaccharide-based edible coatings to maintain quality of fresh-cut Fuji apples. LWT - Food Science and Technology 2008;41:146–56. [CrossRef]
- Verma S, Giri S, Yadav S. Effect of polyethylene packaging on the storage of tropical fruits. Food Packaging and Shelf Life 2019;22:100422. [CrossRef]
- Zhao L, Wu J, Li J. Application of polysaccharide-based edible coatings for the preservation of fresh fruits. Food Hydrocolloids 2019;87:221–30. [CrossRef]
- Brackmann A, Steffens CA, Sestari I, Neuwald DA, Giehl RFH. Modified and controlled atmosphere storage of “Prata” banana with ethylene scrubbing. Ciênc Agrotec 2006;30:914–9. [CrossRef]
- Nischitha R, Shravya, Pooja DV, Mahesh S. (PDF) Impact of Edible Coating in Extending the Shelf life of Post-harvested Banana under Storage Condition. ResearchGate n.d. https://www.researchgate.net/publication/378011325_Impact_of_Edible_Coating_in_Extending_the_Shelf_life_of_Post-harvested_Banana_under_Storage_Condition (accessed May 26, 2025).
- Al-Dairi M, Pathare PB, Al-Yahyai R, Jayasuriya H, Al-Attabi Z. Postharvest quality, technologies, and strategies to reduce losses along the supply chain of banana: A review. Trends in Food Science & Technology 2023;134:177–91. [CrossRef]
- Aroca K, Regalado O, Acosta S. Estudio de la conservación de frutas en “Gamma IV” con la aplicación de un recubrimiento biodegradable-activo. Ecuador es Calidad 2018;5.
- Caicedo W, Vargas JC, Uvidia H, Samaniego E, Valle S, Flores L, et al. Physicochemical, biological and organoleptic indicators in banana silage (Musa sapientum) for pig feeding. Revista Cubana de Ciencia Agrícola 2017;51:85–92.
- Alzate Acevedo S, Díaz Carrillo ÁJ, Flórez-López E, Grande-Tovar CD. Recovery of Banana Waste-Loss from Production and Processing: A Contribution to a Circular Economy. Molecules 2021;26:5282. [CrossRef]
- Ruiz Medina MD, Ruales J. Essential Oils as an Antifungal Alternative to Control Several Species of Fungi Isolated of Musa paradisiaca: Part II 2025. [CrossRef]
- Lieu DM, Dang TTK, Nguyen HT. Protein and polysaccharide edible coatings: A promising approach for fruits preservation - recent advances. Food Chemistry: X 2025;27:102388. [CrossRef]
- Ruiz Medina MD, Ruales J. Essential Oils as an Antifungal Alternative for the Control of Various Species of Fungi Isolated from Musa paradisiaca: Part I 2025. [CrossRef]
- Fernández NM, Echeverria DC, Mosquera SA, Paz SP. ESTADO ACTUAL DEL USO DE RECUBRIMIENTOS COMESTIBLES EN FRUTAS Y HORTALIZAS. Biotecnología en el Sector Agropecuario y Agroindustrial 2017;15:134–41. [CrossRef]
- Villalta R, Pérez L, Guzmán M. Estimación de la pérdida de peso en frutos de banano (Musa AAA) empacado con destino al mercado europeo. CORBANA 2019;45:19–32.
- Ulloa L, Sáenz M, Castro J. Efecto del almacenamiento a diferentes temperaturas sobre el desarrollo de color externo y la calidad de frutos de piña cv. Dorada extra dulce 2015;39.
- Castellanos D, Algecira N. Modelling change in color and firmness of baby banana (Musa acuminata AA) in modified atmosphere packaging. Agronomía Colombiana 2012;30:84–94.
- Vásquez-Castillo W, Racines-Oliva M, Moncayo P, Viera W, Seraquive M, Vásquez-Castillo W, et al. Calidad del fruto y pérdidas poscosecha de banano orgánico Musa acuminata en el Ecuador. Enfoque UTE 2019;10:57–66. [CrossRef]
- Standardization IO for. ISO 11036:2017: Fruits and vegetables — Measurement of firmness 2017.
- Standardization IO for. ISO 11037:1997: Fruit and vegetable products — Determination of color 1997.
- International A. AOAC 981.12: pH of food. 15th ed. AOAC International: Official Methods of Analysis of AOAC International; 1981.
- International A. AOAC 942.15: Titratable acidity in fruits. 16th ed. AOAC International: Official Methods of Analysis of AOAC International; 1997.
- Davara PR, Patel NC. Assessment of post harvest losses in banana grown in Gujarat. Journal of Horticultural Sciences 2009;4:187–90. [CrossRef]
- International A. Official Methods of Analysis of AOAC International. 16th ed. Arlington, VA, USA: Association of Official Analytical Chemists; 1997.
- Ladino A, Valencia S. Estudio del manejo poscosecha del maíz tierno (Zea mays L.) procedente del cantón San Miguel de la provincia de Bolívar. Revista EPN 2014;33:1–11.
- Kandsamy P. Respiration rate of fruits and vegetables for modified atmosphere packaging: a mathematical approach. ResearchGate 2022. https://www.researchgate.net/publication/358532606_Respiration_rate_of_fruits_and_vegetables_for_modified_atmosphere_packaging_a_mathematical_approach (accessed July 16, 2025).
- Maturin L. Bacteriological Analytical Manual Chapter 3 Aerobic Plate Count 2018.
- Kemp SE, Hort J, Hollowood T. Descriptive Analysis in Sensory Evaluation. John Wiley & Sons; 2018.
- Lawless HT, Heymann H. Sensory Evaluation of Food: Principles and Practices. Springer Science & Business Media; 2010.
- ASTM E1871-10 - Standard Guide for Serving Protocol for Sensory Evaluation of Foods and Beverages. iTeh Standards n.d. https://standards.iteh.ai/catalog/standards/astm/06e76b44-4e1b-41ff-8ffc-cb1c938aded6/astm-e1871-10 (accessed July 16, 2025).
- Samarakoon KW, Thong PH, Jeewanthi RKC. Evaluation of antifungal activity of cassia and holy basil essential oils against postharvest banana pathogens. Chemical Papers 2020;74:3113–21. [CrossRef]
- Hwang S, Lee J. Effect of whey protein-based edible coatings on the shelf life of bananas. Food Chemistry 2016;210:120–5.
- Anaya-Esparza LM, Pérez-Larios A, Ruvalcaba-Gómez JM, Sánchez-Burgos JA, Romero-Toledo R, Montalvo-González E, et al. Funcionalización de los recubrimientos a base de quitosano para la conservación postcosecha de frutas y hortalizas. TIP Revista especializada en ciencias químico-biológicas 2020;23. [CrossRef]
- Uscocovich Á, Zambrano E, Proaño M, Díaz E, Bosquez A, Travez F. Influencia del recubrimiento con quitosano en la calidad física del banano en poscosecha 2023;7. [CrossRef]
- Nischita R, Shravya, Pooja D, Shetty M. (PDF) Impact of Edible Coating in Extending the Shelf life of Post-harvested Banana under Storage Condition. ResearchGate n.d. https://www.researchgate.net/publication/378011325_Impact_of_Edible_Coating_in_Extending_the_Shelf_life_of_Post-harvested_Banana_under_Storage_Condition (accessed July 16, 2025).
- Dávila M. RM, Cortés R. M, Gil G. JH. CAMBIOS FÍSICOS Y FISICOQUÍMICOS DURANTE EL ALMACENAMIENTO EN PLÁTANO IMPREGNADO AL VACÍO CON SOLUCIONES ANTIOXIDANTES. Biotecnología en el Sector Agropecuario y Agroindustrial 2016;14:125–34. [CrossRef]
- Dussán-Sarria S, Gaona-Acevedo AF, Hleap-Zapata JI. Efecto del Uso de Antioxidantes en Plátano Verde Dominico-Hartón (Musa AAB Simmonds) Cortado en Rodajas. Información Tecnológica 2017;28:03–10. [CrossRef]
- Dussán-Sarria S, Camacho-Tamayo JH, Álvarez-Herrera JG. Los cambios en atributos de calidad y comportamiento fisiológico de banano entero (Musa acuminata cv. ‘cavendish’) durante el almacenamiento comercial. Revista Brasileira de Ciências Agrárias 2024;19:e3469–e3469. [CrossRef]
- Fernández-Valdés D, García-Pereira A, Hernández-Gómez A, Monzón-Monrabal LL. Evaluación del daño mecánico producido por cargas estáticas de compresión en guayaba (Psidium guajaba L.) variedad enana roja EEA-123. Científica 2012;16:91–8.
- Alvarez LFA, Maya CFH, Troya ETT, Luzuriaga SAG. ESTUDIO DEL EFECTO DEL PARDEAMIENTO ENZIMÁTICO EN LA CALIDAD NUTRICIONAL DEL BANANO (musa paradisiaca l.). RECIENA n.d.;3:15–21. [CrossRef]
- García JC. Efecto del 1-Metilciclopropeno (1-MCP) en el comportamiento poscosecha de banano bocadillo (Musa acuminata AA, Simmonds) 2015.
- Singh G, Maurya S, de Lampasona MP, Catalan CAN. A comparison of chemical, antioxidant and antimicrobial studies of cinnamon leaf and bark volatile oils, oleoresins and their constituents. Food and Chemical Toxicology 2007;45:1650–61. [CrossRef]
- Borges CV, Amorim EP, Leonel M, Gomez 0Gomez HA, Santos TPR dos, Ledo CA da S, et al. Post-harvest physicochemical profile and bioactive compounds of 19 bananas and plantains genotypes. Bragantia 2018;78:284–96.













| Código | Descripción | Empresa |
| T01 | Banana with antifungal coating and low-density polyethylene (LDPE) | A |
| T02 | Banana with antifungal coating and high-density polyethylene (HDPE) | A |
| T03 | Banana with antifungal coating and low-density polyethylene (LDPE) | B |
| T04 | Banana with antifungal coating and high-density polyethylene (HDPE) | B |
| T05 | Banana with antifungal coating and low-density polyethylene (LDPE) | C |
| T06 | Banana with antifungal coating and high-density polyethylene (HDPE) | C |
| T07 | Control: Banana packed in plastic without coating | |
| T08 | Control: Banana without coating or packaging |
Disclaimer/Publisher’s Note: The statements, opinions and data contained in all publications are solely those of the individual author(s) and contributor(s) and not of MDPI and/or the editor(s). MDPI and/or the editor(s) disclaim responsibility for any injury to people or property resulting from any ideas, methods, instructions or products referred to in the content. |
© 2025 by the authors. Licensee MDPI, Basel, Switzerland. This article is an open access article distributed under the terms and conditions of the Creative Commons Attribution (CC BY) license (http://creativecommons.org/licenses/by/4.0/).