Submitted:
09 July 2025
Posted:
10 July 2025
You are already at the latest version
Abstract
Keywords:
1. Introduction
2. Materials and Methods
2.1. Sample Collection and Dataset Description
2.2. Pathologist Selection and Manual TIL Assessment
2.3. Interobserver Agreement and Consensus Review.
3. Results
3.1. Interobserver Agreement Using Continuous Scores
3.2. Interobserver Agreement Using Categorical Scores
4. Discussion
4.1. Interobserver Agreement and Consensus Review for Manual TILs Assessment
4.2. Agreement Across Categorical Cutoffs
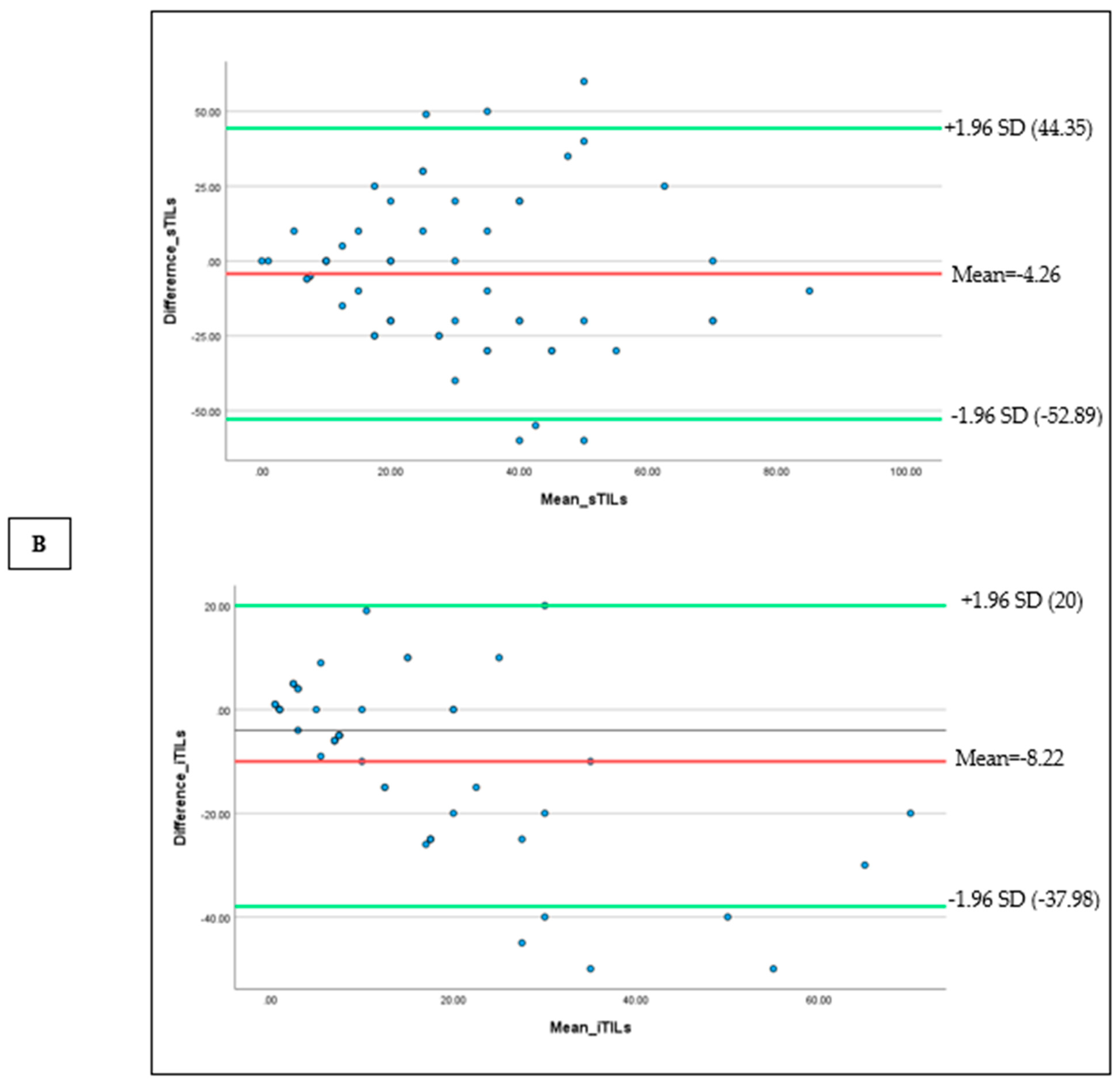
4.3. Assessment of Scoring Agreement Using Bland–Altman Analysis
4.4. Heatmap Visualization of Scoring Discrepancies Across TIL Density Levels
4.5. Impact of Consensus Review on Scoring Consistency
4.6. Contributing Factors to Interobserver Discrepancies
4.7. Limitations and Future Directions
5. Conclusions
Author Contributions
Funding
Institutional Review Board Statement
Informed Consent Statement
Data Availability Statement
Acknowledgments
Conflicts of Interest
Abbreviations
| TIL | Tumour-Infiltrating Lymphocyte |
| TNBC | Triple-negative breast cancer |
| TIL-WG | International TILs Working Group |
| H&E | Haematoxylin & Eosin |
| ICC | Intraclass correlation coefficient (ICC) |
| AI | Artificial Intelligence |
| sTIL | Stromal TIL |
| HER-2 | Human Epidermal Growth Factor Receptor 2 |
| ROI | Region of interest |
| iTIL | Intratumoural TIL |
| HCTM | Hospital Canselor Tuanku Muhriz |
| FFPE | Formalin fixed paraffin- embedded |
| IHC | Immunohistochemistry |
| ER | Oestrogen receptor |
| PR | Progesterone receptor |
| FSIH | Fluorescence in situ hybridization |
| DDISH | Dual-colour dual hapten in situ hybridization |
| CNN | Convolutional neural network |
| FCN | Fully convolutional network |
| mTIL | Manual TIL |
| aTIL | Automated TIL |
| HALO | High-throughput analytics for learning and optimization |
References
- Badraoui R, Rebai T, Elkahoui S, Alreshidi M, Veettil VN, Noumi E, et al. Allium subhirsutum L. As a potential source of antioxidant and anticancer bioactive molecules: Hr-lcms phytochemical profiling, in vitro and in vivo pharmacological study. Antioxidants. 2020, 9, 1–22.
- Yanchuan Zhang, Qinghua Li, Jie Lan, Guojing Xie, Guangjie Zhang, Junhao Cui, Ping Leng YW. Triple-negative breast cancer molecular subtypes and potential detection targets for biological therapy indications. Carcinogenesis. 2025, 46.
- Lotfinejad P, Jafarabadi MA, Shadbad MA, Kazemi T, Pashazadeh F, Shotorbani SS, et al. Prognostic role and clinical significance of tumor-infiltrating lymphocyte (TIL) and programmed death ligand 1 (PD-L1) Expression in Triple-Negative Breast Cancer (TNBC): A systematic review and meta-analysis study. Diagnostics. 2020, 10, 1–13.
- Thagaard J, Stovgaard ES, Vognsen LG, Hauberg S, Dahl A, Ebstrup T, et al. Automated quantification of sTIL density with H&E-based digital image analysis has prognostic potential in triple-negative breast cancers. Cancers (Basel). 2021 Jun 2;13(12).
- Krijgsman D, Van Leeuwen MB, Van Der Ven J, Almeida V, Vlutters R, Halter D, et al. Quantitative whole slide assessment of tumor-infiltrating CD8-positive lymphocytes in ER-positive breast cancer in relation to clinical outcome. IEEE J Biomed Health Inform. 2021, 25, 381–92.
- Bhattarai S, Saini G, Li H, Seth G, Fisher TB, Janssen EAM, et al. Predicting neoadjuvant treatment response in triple-negative breast cancer using machine learning. Diagnostics. 2024, 14, 1–13.
- Fisher TB, Saini G, Rekha TS, Krishnamurthy J, Bhattarai S, Callagy G, et al. Digital image analysis and machine learning-assisted prediction of neoadjuvant chemotherapy response in triple-negative breast cancer. Breast Cancer Research. 2024, 26, 1–13. [CrossRef]
- Salgado R, Denkert C, Demaria S, Sirtaine N, Klauschen F, Pruneri G, et al. The evaluation of tumor-infiltrating lymphocytes (TILS) in breast cancer: Recommendations by an International TILS Working Group 2014. Vol. 26, Annals of Oncology. Oxford University Press; 2015. p. 259–71.
- Wu R, Oshi M, Asaoka M, Yan L, Benesch MGK, Khoury T, et al. Intratumoral tumor infiltrating lymphocytes (TILs) are associated with cell proliferation and better survival but not always with chemotherapy response in breast cancer. Ann Surg. 2023, 278, 587–97.
- Balic M, Thomssen C, Würstlein R, Gnant M, Harbeck N. St. Gallen/Vienna 2019: A brief summary of the consensus discussion on the optimal primary breast cancer treatment. Breast Care. 2019, 14, 103–10.
- Azar, Kazemi., Masoumeh, Gharib., Nema, Mohamadian, Roshan., Shirin, Taraz, Jamshidi., Fabian, Stögbauer., Saeid, Eslami., Peter, J. Schüffler. Assessment of the tumor–stroma ratio and tumor-infiltrating lymphocytes in colorectal cancer: inter-observer agreement evaluation. Diagnostics. 2023.
- Frances Reznitsky, J. D. Jensen, A. Knoop AL. Inter-observer agreement of tumor infiltrating lymphocytes in primary HER2-positive breast cancer and correlation between tissue microarray and full tumor-sections. Acta Pathologica, Microbiologica et Immunologica Scandinavica (APMIS). 2022. [Google Scholar]
- Fatmagül, Kuşku, Çabuk., Fatma, Aktepe., Fatma, Nilgun, Kapucuoglu., Ipek, Coban., Dauren, Sarsenov., Vahit O. Interobserver reproducibility of tumor-infiltrating lymphocyte evaluations in breast cancer. Indian Journal of Pathology & Microbiology. Indian J Pathol Microbiol. 2018.
- Khoury T, Peng X, Yan L, Wang D, Nagrale V. Tumor-infiltrating lymphocytes in breast cancer: Evaluating interobserver variability, heterogeneity, and fidelity of scoring core biopsies. Am J Clin Pathol. 2018, 150, 441–50.
- Van Bockstal MR, Cooks M, Nederlof I, Brinkhuis M, Dutman A, Koopmans M, et al. Interobserver agreement of pd-l1/sp142 immunohistochemistry and tumor-infiltrating lymphocytes (Tils) in distant metastases of triple-negative breast cancer: A proof-of-concept study. a report on behalf of the international immuno-oncology biomarker worki. Cancers (Basel). 2021, 13, 1–20.
- Altinay S, Arnould L, Bletard N, Colpaert C, Dedeurwaerdere F, Dessauvagie B, et al. HHS Public Access. 2021, 33, 354–66.
- Cserni B, Kilmartin D, O’Loughlin M, Andreu X, Bagó-Horváth Z, Bianchi S, et al. ONEST (Observers Needed to Evaluate Subjective Tests) analysis of stromal tumour-infiltrating lymphocytes (sTILs) in breast cancer and its limitations. Cancers (Basel). 2023, 15.
- Capar A, Ekinci DA, Ertano M, Niazi MKK, Balaban EB, Aloglu I, et al. An interpretable framework for inter-observer agreement measurements in TILs scoring on histopathological breast images: A proof-of-principle study. PLoS One [Internet]. 2024, 19, 1–21. [CrossRef]
- Dano H, Altinay S, Arnould L, Bletard N, Colpaert C, Dedeurwaerdere F, et al. Interobserver variability in upfront dichotomous histopathological assessment of ductal carcinoma in situ of the breast: the DCISion study. Modern Pathology. 2020, 33, 354–66.
- Kilmartin D, O’Loughlin M, Andreu X, Bagó-Horváth Z, Bianchi S, Chmielik E, et al. Intra-tumour heterogeneity is one of the main sources of inter-observer variation in scoring stromal tumour infiltrating lymphocytes in triple negative breast cancer. Cancers (Basel). 2021, 13, 1–16.
- Choi S, Cho SI, Jung W, Lee T, Choi SJ, Song S, et al. Deep learning model improves tumor-infiltrating lymphocyte evaluation and therapeutic response prediction in breast cancer. NPJ Breast Cancer. 2023, 9, 1–13.
- Jeppe Thagaard 1 2, Glenn Broeckx 3 4, David B Page 5, Chowdhury Arif Jahangir 6, Sara Verbandt 7, Zuzana Kos 8, Rajarsi Gupta 9, Reena Khiroya 10, Khalid Abduljabbar 11, Gabriela Acosta Haab 12, Balazs Acs 13 14, Guray Akturk 15, Jonas S Almeida 16, Isab ESS 22 152. Pitfalls in machine learning-based assessment of tumor-infiltrating lymphocytes in breast cancer: A report of the International Immuno-Oncology Biomarker Working Group on Breast Cancer. J Pathol. 2023, 260, 498–513.
- Locy H, Verhulst S, Cools W, Waelput W, Brock S, Cras L, et al. Assessing tumor-infiltrating lymphocytes in breast cancer: a proposal for combining immunohistochemistry and gene expression analysis to refine scoring. Front Immunol. 2022, 13, 1–13.
- Arian Arab, Victor Garcia, Seyed Mostafa Kahaki, Nicholas Petrick, Brandon D. Gallas WC. Assessment of machine learning algorithms for TILs scoring using whole slide images: comparison with pathologists. Digital and Computational Pathology. 2024.
- Allison KH, Hammond MEH, Dowsett M, McKernin SE, Carey LA, Fitzgibbons PL, et al. Estrogen and progesterone receptor testing in breast cancer: ASCO/CAP guideline update. Journal of Clinical Oncology. 2020, 38, 1346–66.
- Landis JR, Koch GG. Landis amd Koch1977_agreement of categorical data. Biometrics. 1977, 33, 159–74.
- Koo TK, Li MY. A guideline of selecting and reporting intraclass correlation coefficients for reliability research. J Chiropr Med 2016, 15, 155–63. [CrossRef]
- Fatmagül, Kuşku, Çabuk., Fatma, Aktepe., Fatma, Nilgun, Kapucuoglu., Ipek, Coban., Dauren, Sarsenov., Vahit O. Interobserver reproducibility of tumor-infiltrating lymphocyte evaluations in breast cancer. Indian Journal of Pathology & Microbiology. Indian J Pathol Microbiol. 2018.
- Swisher SK, Wu Y, Castaneda CA, Lyons GR, Yang F, Tapia C, et al. Interobserver agreement between pathologists assessing tumor-infiltrating lymphocytes (TILs) in breast cancer using methodology proposed by the International TILs Working Group. Ann Surg Oncol. 2016, 23, 2242–8.
- Baharun NB, Adam A, Zailani MAH, Rajpoot NM, Xu Q, Zin RRM. Automated scoring methods for quantitative interpretation of Tumour infiltrating lymphocytes (TILs) in breast cancer: a systematic review. BMC Cancer [Internet]. 2024, 24, 1202. [CrossRef]
- Heindl A, Sestak I, Naidoo K, Cuzick J, Dowsett M, Yuan Y. Relevance of spatial heterogeneity of immune infiltration for predicting risk of recurrence after endocrine therapy of ER+ breast cancer. J Natl Cancer Inst. 2018 Feb 1;110(2):166–75.
- Amgad M, Sarkar A, Srinivas C, Redman R, Ratra S, Bechert CJ, et al. Joint region and nucleus segmentation for characterization of tumor infiltrating lymphocytes in breast cancer. In SPIE-Intl Soc Optical Eng; 2019. p. 20.
- Swiderska-Chadaj Z, Pinckaers H, van Rijthoven M, Balkenhol M, Melnikova M, Geessink O, et al. Learning to detect lymphocytes in immunohistochemistry with deep learning. Med Image Anal [Internet]. 2019; 58:101547. Available from. [CrossRef]
- Entenberg D, Oktay MH, D’alfonso T, Ginter PS, Robinson BD, Xue X, et al. Validation of an automated quantitative digital pathology approach for scoring TMEM, a prognostic biomarker for metastasis. Cancers (Basel). 2020, 12.
- Yosofvand M, Khan SY, Dhakal R, Nejat A, Moustaid-Moussa N, Rahman RL, et al. Automated detection and scoring of tumor-infiltrating lymphocytes in breast cancer histopathology slides. Cancers (Basel). 2023, 15.
- Choi S, Cho SI, Jung W, Lee T, Choi SJ, Song S, et al. Deep learning model improves tumor-infiltrating lymphocyte evaluation and therapeutic response prediction in breast cancer. NPJ Breast Cancer. 2023, 9, 1–13.
- Rong R, Sheng H, Jin KW, Wu F, Luo D, Wen Z, et al. A deep learning approach for histology-based nucleus segmentation and tumor microenvironment characterization. Mod Pathol [Internet]. 2023, 36, 100196. [CrossRef]
- Makhlouf S, Wahab N, Toss M, Ibrahim A, Lashen AG, Atallah NM, et al. Evaluation of tumour infiltrating lymphocytes in luminal breast cancer using artificial intelligence. Br J Cancer. 2023;(September).
- Jahan S, Al-saigul AM, Abdelgadir MH. Tumor-infiltrating lymphocyte scoring in neoadjuvant-treated breast cancer. Cancers (Basel). 2024, 16.
- Eunkyung Han, Hye Yeon Choi, Hyun Jung Kwon, Yul Ri Chung, Hee-Chul Shin, Eun-Kyu Kim, Koung Jin Suh, Se Hyun Kim JHK& SYP. Characterization of tumor-infiltrating lymphocytes and their spatial distribution in triple-negative breast cancer. Breast Cancer Research. 2024.
- Danielle, J. Fassler 1,†, Luke A. Torre-Healy 1,† RG 1, 2 AMH, 1 SK, 2 SCVA, 1 YZ, 1 TK, et al. Spatial characterization of tumor-infiltrating lymphocytes and breast cancer progression. Cancers (Basel). 2022. [Google Scholar]
- Kilmartin D, O’Loughlin M, Andreu X, Bagó-Horváth Z, Bianchi S, Chmielik E, et al. Intra-tumour heterogeneity is one of the main sources of inter-observer variation in scoring stromal tumour infiltrating lymphocytes in triple negative breast cancer. Cancers (Basel). 2021, 13, 1–16.
- Xu Q, Adam A, Abdullah A, Bariyah N. A Review of Advanced Deep Learning Methods of Multi-target segmentation for breast cancer WSIs. IEEE Access. 2025, 13, 76016–37.
- Xu Q, Adam A, Abdullah A, Bariyah N. Advanced deep learning approaches in detection technologies for comprehensive breast cancer assessment based on WSIs: A systematic literature review. Diagnostics. 2025, 15, 1–24.



| Cut-off system | TILs classification | |
|---|---|---|
| Low TILs | High TILs | |
| Cut off value 1 | ≤10% | >10% |
| Cut off value 2 | ≤20% | >20% |
| Cut off value 3 | ≤30% | >30% |
| Cut off value 4 | ≤40% | >40% |
| Cut off value 5 | ≤50% | >50% |
| Reliability measure | sTILs ICC (95% CI) | iTILs ICC (95% CI) |
|---|---|---|
| ICC (agreement) | 0.57 | 0.70 |
| ICC (consistency) | 0.58 | 0.75 |
| Cut-off (%) | sTILs (κ) | iTILs (κ) |
|---|---|---|
| 10 | 0.40* | 0.43* |
| 20 | 0.29 | 0.31 |
| 30 | 0.13 | 0.25 |
| 40 | 0.16 | 0.48* |
| 50 | 0.34 | 0.38 |
| Reliability measure | sTILs ICC (95% CI) | iTILs ICC (95% CI) |
|---|---|---|
| ICC (agreement) | 0.70 | 0.81 |
| ICC (consistency) | 0.81 | 0.84 |
| Cut-off (%) | sTILs | iTILs | Interpretation | ||||
|---|---|---|---|---|---|---|---|
| P1 vs P3 (κ) | P2 vs P3 (κ) | Average (κ) | P1 vs P3 (κ) | P2 vs P3 (κ) | Average (κ) | ||
| 10 | 0.50 | 0.36 | 0.43 | 0.48 | 0.50 | 0.49 | Fair agreement |
| 20 | 0.44 | 0.35 | 0.40 | 0.62 | 0.27 | 0.45 | Fair agreement |
| 30 | 0.50 | 0.25 | 0.40 | 0.64 | 0.47 | 0.56 | Fair agreement |
| 40 | 0.50 | 0.50 | 0.50 | 0.65 | 0.64 | 0.65 | Fair agreement |
| 50 | 0.65 | 0.68 | 0.67* | 1.0 | 0.48 | 0.74* | Substantial agreement |
Disclaimer/Publisher’s Note: The statements, opinions and data contained in all publications are solely those of the individual author(s) and contributor(s) and not of MDPI and/or the editor(s). MDPI and/or the editor(s) disclaim responsibility for any injury to people or property resulting from any ideas, methods, instructions or products referred to in the content. |
© 2025 by the authors. Licensee MDPI, Basel, Switzerland. This article is an open access article distributed under the terms and conditions of the Creative Commons Attribution (CC BY) license (http://creativecommons.org/licenses/by/4.0/).