Submitted:
09 July 2025
Posted:
10 July 2025
You are already at the latest version
Abstract

Keywords:
1. Introduction
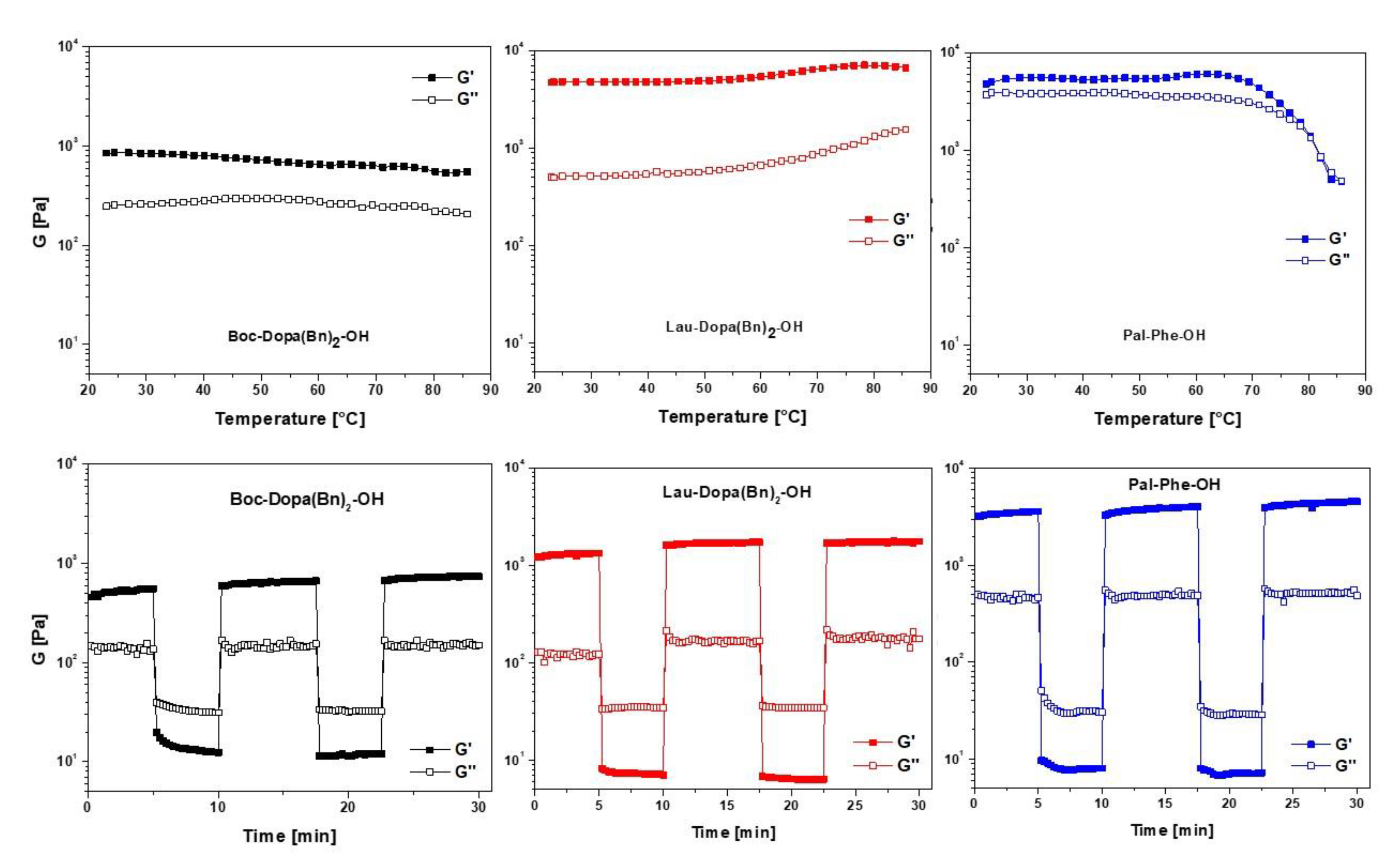
2. Results
3. Materials and Methods
4. Conclusions
Supplementary Materials
Author Contributions
Funding
Data Availability Statement
Conflicts of Interest
Abbreviations
| Ac-Val | acetyl-L-valine |
| Phe | Phenylalanine |
| Dopa | 3,4-dihydroxyphenylalanine |
| Lau | lauroyl |
| Pal | palmitoyl |
| LMWGs | Low molecular weight gelators |
| GdL | glucono-δ-lactone |
| Boc | tert-butyloxycarbonyl |
| SEM | Scanning Electron Microscope |
| NMR | Nuclear Magnetic Resonance |
| LA | Lactic Acid |
| XRPD | X ray powder diffraction |
| ATR-IR | Attenuated total reflection infrared spectroscopy |
References
- Abraham, B.L.; Toriki, E.S.; Tucker, N.J.; Nilsson, B.L. Electrostatic Interactions Regulate the Release of Small Molecules from Supramolecular Hydrogels. J Mater Chem B 2020, 8, 6366–6377. [Google Scholar] [CrossRef] [PubMed]
- Gaohua, L.; Miao, X.; Dou, L. Crosstalk of Physiological PH and Chemical PKa under the Umbrella of Physiologically Based Pharmacokinetic Modeling of Drug Absorption, Distribution, Metabolism, Excretion, and Toxicity. Expert Opin Drug Metab Toxicol 2021, 17, 1103–1124. [Google Scholar] [CrossRef] [PubMed]
- Fallingborg, J. Intraluminal PH of the Human Gastrointestinal Tract. Dan Med Bull 1999, 46, 183–196. [Google Scholar] [PubMed]
- Bogdanov, A.; Bogdanov, A.; Chubenko, V.; Volkov, N.; Moiseenko, F.; Moiseyenko, V. Tumor Acidity: From Hallmark of Cancer to Target of Treatment. Front Oncol 2022, 12, 979154. [Google Scholar] [CrossRef] [PubMed]
- Bae, J.H.; Kim, H.S. A PH-Responsive Protein Assembly through Clustering of a Charge-Tunable Single Amino Acid Repeat. ACS Appl Mater Interfaces 2024, 16, 47100–47109. [Google Scholar] [CrossRef] [PubMed]
- Harrison, T.D.; Ragogna, P.J.; Gillies, E.R. Phosphonium Hydrogels for Controlled Release of Ionic Cargo. Chemical Communications 2018, 54, 11164–11167. [Google Scholar] [CrossRef] [PubMed]
- Giuri, D.; Cenciarelli, F.; Tomasini, C. Low-Molecular-Weight Gels from Amino Acid and Peptide Derivatives for Controlled Release and Delivery. Journal of Peptide Science 2024, 30, e3643. [Google Scholar] [CrossRef] [PubMed]
- Mahmood, T.; Sarfraz, R.M.; Mahmood, A.; Salem-Bekhit, M.M.; Ijaz, H.; Zaman, M.; Akram, M.R.; Taha, E.I.; Sahu, R.K.; Benguerba, Y. Preparation, In Vitro Characterization, and Evaluation of Polymeric PH-Responsive Hydrogels for Controlled Drug Release. ACS Omega 2024, 9, 10498–10516. [Google Scholar] [CrossRef] [PubMed]
- Awhida, S.; Draper, E.R.; McDonald, T.O.; Adams, D.J. Probing Gelation Ability for a Library of Dipeptide Gelators. J Colloid Interface Sci 2015, 455, 24–31. [Google Scholar] [CrossRef] [PubMed]
- Das, T.; Häring, M.; Haldar, D.; Díaz Díaz, D. Phenylalanine and Derivatives as Versatile Low-Molecular-Weight Gelators: Design, Structure and Tailored Function. Biomater Sci 2018, 6, 38–59. [Google Scholar] [CrossRef] [PubMed]
- Podder, D.; Chowdhury, S.R.; Nandi, S.K.; Haldar, D. Tripeptide Based Super-Organogelators: Structure and Function. New Journal of Chemistry 2019, 43, 3743–3749. [Google Scholar] [CrossRef]
- Ravarino, P.; Domenico, N. Di; Barbalinardo, M.; Faccio, D.; Falini, G.; Giuri, D.; Tomasini, C. Fluorine Effect in the Gelation Ability of Low Molecular. Gels 2022, 8, 10.3390. [Google Scholar] [CrossRef] [PubMed]
- Morris, K.L.; Chen, L.; Rodger, A.; Adams, D.J.; Serpell, L.C. Structural Determinants in a Library of Low Molecular Weight Gelators. Soft Matter 2015, 11, 1174–1181. [Google Scholar] [CrossRef] [PubMed]
- Cravotto, G.; Cintas, P. Molecular Self-Assembly and Patterning Induced by Sound Waves. The Case of Gelation. Chem Soc Rev 2009, 38, 2684–2697. [Google Scholar] [CrossRef] [PubMed]
- Mahler, A.; Reches, M.; Rechter, M.; Cohen, S.; Gazit, E. Rigid, Self-Assembled Hydrogel Composed of a Modified Aromatic Dipeptide. Advanced Materials 2006, 18, 1365–1370. [Google Scholar] [CrossRef]
- Chen, L.; McDonald, T.O.; Adams, D.J. Salt-Induced Hydrogels from Functionalised-Dipeptides. RSC Adv 2013, 3, 8714–8720. [Google Scholar] [CrossRef]
- Adams, D.J.; Butler, M.F.; Frith, W.J.; Kirkland, M.; Mullen, L.; Sanderson, P. A New Method for Maintaining Homogeneity during Liquid-Hydrogel Transitions Using Low Molecular Weight Hydrogelators. Soft Matter 2009, 5, 1856–1862. [Google Scholar] [CrossRef]
- Yang, Z.; Liang, G.; Xu, B. Enzymatic Hydrogelation of Small Molecules. Acc Chem Res 2008, 41, 315–326. [Google Scholar] [CrossRef] [PubMed]
- Maeda, H. Anion-Responsive Supramolecular Gels. Chemistry - A European Journal 2008, 14, 11274–11282. [Google Scholar] [CrossRef] [PubMed]
- Tang, C.; Smith, A.M.; Collins, R.F.; Ulijn, R. V.; Saiani, A. Fmoc-Diphenylalanine Self-ASsembly Mechanism Induces Apparent PK a Shifts. Langmuir 2009, 25, 9447–9453. [Google Scholar] [CrossRef] [PubMed]
- Rizwan, M.; Yahya, R.; Hassan, A.; Yar, M.; Azzahari, A.D.; Selvanathan, V.; Sonsudin, F.; Abouloula, C.N. PH Sensitive Hydrogels in Drug Delivery: Brief History, Properties, Swelling, and Release Mechanism, Material Selection and Applications. Polymers (Basel) 2017, 9, 137. [Google Scholar] [CrossRef] [PubMed]
- Mahmood, T.; Sarfraz, R.M.; Mahmood, A.; Salem-Bekhit, M.M.; Ijaz, H.; Zaman, M.; Akram, M.R.; Taha, E.I.; Sahu, R.K.; Benguerba, Y. Preparation, In Vitro Characterization, and Evaluation of Polymeric PH-Responsive Hydrogels for Controlled Drug Release. ACS Omega 2024, 9, 10498–10516. [Google Scholar] [CrossRef] [PubMed]
- Chen, Y.; Li, X.; Bai, J.; Shi, F.; Xu, T.; Gong, Q.; Yang, Z. A Supramolecular Hydrogel for Spatial-Temporal Release of Auxin to Promote Plant Root Growth. Chemical Communications 2018, 54, 11721–11724. [Google Scholar] [CrossRef] [PubMed]
- Li, W. Supramolecular Nanofiber-Reinforced Puerarin Hydrogels as Drug Carriers with Synergistic Controlled Release and Antibacterial Properties. J Mater Sci 2020, 55, 6669–6677. [Google Scholar] [CrossRef]
- Chen, X.; Liu, Z. A PH-Responsive Hydrogel Based on a Tumor-Targeting Mesoporous Silica Nanocomposite for Sustained Cancer Labeling and Therapy. Macromol Rapid Commun 2016, 37, 1533–1539. [Google Scholar] [CrossRef] [PubMed]
- Kang, J.H.; Turabee, M.H.; Lee, D.S.; Kwon, Y.J.; Ko, Y.T. Temperature and PH-Responsive in Situ Hydrogels of Gelatin Derivatives to Prevent the Reoccurrence of Brain Tumor. Biomedicine and Pharmacotherapy 2021, 143. [Google Scholar] [CrossRef] [PubMed]
- Adams, D.J.; Butler, M.F.; Frith, W.J.; Kirkland, M.; Mullen, L.; Sanderson, P. A New Method for Maintaining Homogeneity during Liquid-Hydrogel Transitions Using Low Molecular Weight Hydrogelators. Soft Matter 2009, 5, 1856–1862. [Google Scholar] [CrossRef]
- Draper, E.R.; Mears, L.L.E.; Castilla, A.M.; King, S.M.; McDonald, T.O.; Akhtar, R.; Adams, D.J. Using the Hydrolysis of Anhydrides to Control Gel Properties and Homogeneity in PH-Triggered Gelation. RSC Adv 2015, 5, 95369–95378. [Google Scholar] [CrossRef]
- Sinthuvanich, C.; Nagy-Smith, K.J.; Walsh, S.T.R.; Schneider, J.P. Triggered Formation of Anionic Hydrogels from Self-Assembling Acidic Peptide Amphiphiles. Macromolecules 2017, 50, 5643–5651. [Google Scholar] [CrossRef]
- Zanna, N.; Merlettini, A.; Tomasini, C. Self-Healing Hydrogels Triggered by Amino Acids. Org. Chem. Front. 2016, 3, 1699–1704. [Google Scholar] [CrossRef]
- Shariati Pour, S.R.; Oddis, S.; Barbalinardo, M.; Ravarino, P.; Cavallini, M.; Fiori, J.; Giuri, D.; Tomasini, C. Delivery of Active Peptides by Self-Healing, Biocompatible and Supramolecular Hydrogels. Molecules 2023, 28, 2528. [Google Scholar] [CrossRef] [PubMed]
- Gaucher, A.; Dutot, L.; Barbeau, O.; Hamchaoui, W.; Wakselman, M.; Mazaleyrat, J.P. Synthesis of Terminally Protected (S)-Β3-H-DOPA by Arndt-Eistert Homologation: An Approach to Crowned β-Peptides. Tetrahedron Asymmetry 2005, 16, 857–864. [Google Scholar] [CrossRef]
- Giuri, D.; Jurković, L.; Fermani, S.; Kralj, D.; Falini, G.; Tomasini, C. Supramolecular Hydrogels with Properties Tunable by Calcium Ions: A Bio-Inspired Chemical System. ACS Appl Bio Mater 2019, 2, 5819–5828. [Google Scholar] [CrossRef] [PubMed]
- Cenciarelli, F.; Pieraccini, S.; Masiero, S.; Falini, G.; Giuri, D.; Tomasini, C. Experimental Correlation between Apparent PKa and Gelation Propensity in Amphiphilic Hydrogelators Derived from L-Dopa. Biomacromolecules 2024, 25, 5058–5067. [Google Scholar] [CrossRef] [PubMed]
- Cenciarelli, F.; Giuri, D.; Pieraccini, S.; Masiero, S.; D’Agostino, S.; Tomasini, C. Phenylalanine-Based Amphiphilic Self-Assembled Materials: Gels or Crystals? Chemistry - A European Journal 2025, 31, e202404586. [Google Scholar] [CrossRef] [PubMed]
- Schwaller, D.; Yilmazer, S.; Carvalho, A.; Collin, D.; Mésini, P.J. Impact of Polymorphism in Oleogels of N-Palmitoyl-l-Phenylalanine. Soft Matter 2023, 19, 4277–4285. [Google Scholar] [CrossRef] [PubMed]
- Di Filippo, M.F.; Giuri, D.; Marchiori, G.; Maglio, M.; Pagani, S.; Fini, M.; Tomasini, C.; Panzavolta, S. Self-Assembling of Fibers inside an Injectable Calcium Phosphate Bone Cement: A Feasibility Study. Mater Today Chem 2022, 24, 100991. [Google Scholar] [CrossRef]
- Mehra, R.R.; Tiwari, P.; Basu, A.; Duttkonar, A. In Search of Bioinspired Hydrogels from Amphiphilic Peptides: A Template for Nanoparticle Stabilization for the Sustained Release of Anticancer Drugs. New Journal of Chemistry 2019, 43, 11666–11678. [Google Scholar] [CrossRef]
- Escuder, B.; LLusar, M.; Miravet, J.F. Insight on the NMR Study of Supramolecular Gels and Its Application to Monitor Molecular Recognition on Self-Assembled Fibers. Journal of Organic Chemistry 2006, 71, 7747–7752. [Google Scholar] [CrossRef] [PubMed]
- Shapiro, Y.E. Structure and Dynamics of Hydrogels and Organogels: An NMR Spectroscopy Approach. Progress in Polymer Science (Oxford) 2011, 36, 1184–1253. [Google Scholar] [CrossRef]
- Wang, J.T.W.; Rodrigo, A.C.; Patterson, A.K.; Hawkins, K.; Aly, M.M.S.; Sun, J.; Al Jamal, K.T.; Smith, D.K. Enhanced Delivery of Neuroactive Drugs via Nasal Delivery with a Self-Healing Supramolecular Gel. Advanced Science 2021, 8. [Google Scholar] [CrossRef] [PubMed]
- Nikoumanesh, E.; Poling-Skutvik, R. The Effect of Thixotropy on the Yield Transition in Reversible, Colloidal Gels. Journal of Chemical Physics 2023, 159. [Google Scholar] [CrossRef] [PubMed]
- Ohsedo, Y.; Taniguchi, M.; Oono, M.; Saruhashi, K.; Watanabe, H. Long-Chain Alkylamide-Derived Oil Gels: Mixing Induced Onset of Thixotropy and Application in Sustained Drug Release. New Journal of Chemistry 2015, 39, 6482–6490. [Google Scholar] [CrossRef]
- Cenciarelli, F.; Pieraccini, S.; Masiero, S.; Falini, G.; Giuri, D.; Tomasini, C. Experimental Correlation between Apparent PKa and Gelation Propensity in Amphiphilic Hydrogelators Derived from L-Dopa. Biomacromolecules 2024, 25, 5058–5067. [Google Scholar] [CrossRef] [PubMed]
- Wende, R.C.; Seitz, A.; Niedek, D.; Schuler, S.M.M.; Hofmann, C.; Becker, J.; Schreiner, P.R. The Enantioselective Dakin–West Reaction. Angewandte Chemie 2016, 128, 2769–2773. [Google Scholar] [CrossRef]
- Flitcroft, C.E.; Jolliffe, K.A.; McErlean, C.S.P. Late-Stage, Stereoretentive, and Site-Selective Modification of Synthetic Peptides by Using Photoredox Catalysis. Chemistry - A European Journal 2023, 29. [Google Scholar] [CrossRef] [PubMed]







| Gelator | Trigger | Trigger equiv. | G’ (KPa) | G” (KPa) | pH |
|
A |
GdL | 1.3 | 18.14 ± 3.82 | 3.82 ± 1.44 | 4.39 ± 0.10 |
| LA | 1.3 | 6.21 ± 0.93 | 1.41 ± 0.19 | 5.06 ± 0.03 | |
| Ac-Val | 1.3 | 10.64 ± 2.73 | 2.03 ± 0.53 | 4.28 ± 0.12 | |
| 1.15 | 7.54 ± 0.43 | 1.59 ± 0.13 | 4.67 ± 0.09 | ||
| 1.00 | 3.02 ± 0.59 | 0.59 ± 0.11 | 5.40 ± 0.05 | ||
| 0.85 | 1.06 ± 0.15 | 0.22 ± 0.05 | 6.07 ± 0.06 | ||
| 0.70 | 0.45 ± 0.10 | 0.07 ± 0.05 | 6.62 ± 0.11 | ||
|
B |
GdL | 1.3 | 13.71 ± 1.28 | 1.18 ± 0.24 | 4.33 ± 0.04 |
| LA | 1.3 | 10.35 ± 2.46 | 1.22 ± 0.25 | 4.48 ± 0.17 | |
|
Ac-Val |
1.3 | 15.70 ± 1.01 | 1.79 ± 0.14 | 4.23 ± 0.05 | |
| 1.15 | 15.98 ± 1.06 | 1.44 ± 0.06 | 4.56 ± 0.13 | ||
| 1.00 | 9.48 ± 0.73 | 0.96 ± 0.06 | 5.18 ± 0.05 | ||
| 0.85 | 4.46 ± 0.30 | 0.42 ± 0.03 | 5.40 ± 0.04 | ||
| 0.70 | 3.26 ± 0.31 | 0.32 ± 0.03 | 6.57 ± 0.09 | ||
|
C |
GdL | 1.3 | 24.54 ± 3.22 | 5.44 ± 0.95 | 4.15 ± 0.03 |
| LA | 1.3 | 32.02 ± 1.96 | 6.89 ± 0.50 | 4.54 ± 0.05 | |
| Ac-Val | 1.3 | 32.87 ± 0.82 | 8.24 ± 0.26 | 4.09 ± 0.01 | |
| 1.15 | 32.97 ± 3.62 | 8.05 ± 0.73 | 4.40 ± 0.04 | ||
| 1.00 | 28.50 ± 2.83 | 5.68 ± 0.79 | 4.73 ± 0.03 | ||
| 0.85 | 11.71 ± 1.17 | 1.78 ± 0.14 | 5.36 ± 0.06 | ||
| 0.70 | 1.15 ± 0.41 | 0.17 ± 0.70 | 6.69 ± 0.10 |
Disclaimer/Publisher’s Note: The statements, opinions and data contained in all publications are solely those of the individual author(s) and contributor(s) and not of MDPI and/or the editor(s). MDPI and/or the editor(s) disclaim responsibility for any injury to people or property resulting from any ideas, methods, instructions or products referred to in the content. |
© 2025 by the authors. Licensee MDPI, Basel, Switzerland. This article is an open access article distributed under the terms and conditions of the Creative Commons Attribution (CC BY) license (http://creativecommons.org/licenses/by/4.0/).
