Submitted:
04 July 2025
Posted:
07 July 2025
You are already at the latest version
Abstract
Keywords:
1. Introduction
2. Real-Time Data Acquisition
3. Data Preprocessing
4. Neural Network Architecture
5. MMMnet Training Workflow and Model Development
6. Performance Evaluation and Validation of MMMnet
7. Conclusions
Author Contributions
Funding
Disclaimer
Institutional Review Board Statement
Informed Consent Statement
Data Availability Statement
Conflicts of Interest
References
- Rafiq, T.; Kritz, A.H.; Weiland, J.; Pankin, A.Y.; Luo, L. Physics basis of Multi-Mode anomalous transport module. Physics of Plasmas 2013, 20, 032506. [Google Scholar] [CrossRef]
- Rafiq, T.; Wang, Z.; Morosohk, S.; Schuster, E.; Weiland, J.; Choi, W.; Kim, H.T. Validating the Multi-Mode Model’s Ability to Reproduce Diverse Tokamak Scenarios. Plasma 2023, 6, 435–458. [Google Scholar] [CrossRef]
- Rafiq, T.; Wilson, C.; Clauser, C.; Schuster, E.; Weiland, J.; Anderson, J.; Kaye, S.; Pankin, A.; LeBlanc, B.; Bell, R. Predictive modeling of NSTX discharges with the updated Multi-Mode anomalous transport module. Nuclear Fusion 2024, 64, 076024. [Google Scholar] [CrossRef]
- Staebler, G.M.; Kinsey, J.E.; Waltz, R.E. A theory-based transport model with comprehensive physics. Physics of Plasmas 2007, 14, 055909. [Google Scholar] [CrossRef]
- Pankin, A.; McCune, D.; Andre, R.; Bateman, G.; Kritz, A. The tokamak Monte Carlo fast ion module NUBEAM in the National Transport Code Collaboration library. Computer Physics Communications 2004, 159, 157–184. [Google Scholar] [CrossRef]
- Harvey, R.W.; McCoy, M.G. The CQL3D Fokker–Planck Code. In Proceedings of the Proceedings of the IAEA Technical Committee Meeting on Advances in Simulation and Modeling of Thermonuclear Plasmas, Montreal, Canada, 1992; pp. 489–526.
- Snyder, P.B.; Groebner, R.J.; Leonard, A.W.; Osborne, T.H.; Wilson, H.R. Development and validation of a predictive model for the pedestal height. Physics of Plasmas 2009, 16, 056118. [Google Scholar] [CrossRef]
- Leard, B.R.; Paruchuri, S.T.; Rafiq, T.; Schuster, E. Fast model-based scenario optimization in NSTX-U enabled by analytic gradient computation. Fusion Engineering and Design 2023, 192, 113606. [Google Scholar] [CrossRef]
- Leard, B.; Wang, Z.; Morosohk, S.; Rafiq, T.; Schuster, E. Fast Neural-Network Surrogate Model of the Updated Multi-Mode Anomalous Transport Module for NSTX-U. IEEE Transactions on Plasma Science 2024, 52, 4126–4132. [Google Scholar] [CrossRef]
- Morosohk, S.; Pajares, A.; Rafiq, T.; Schuster, E. Neural network model of the multi-mode anomalous transport module for accelerated transport simulations. Nuclear Fusion 2021, 61, 106040. [Google Scholar] [CrossRef]
- Boyer, M.; Kaye, S.; Erickson, K. Real-time capable modeling of neutral beam injection on NSTX-U using neural networks. Nuclear Fusion 2019, 59, 056008. [Google Scholar] [CrossRef]
- Morosohk, S.M.; Boyer, M.D.; Schuster, E. Accelerated version of NUBEAM capabilities in DIII-D using neural networks. Fusion Engineering and Design 2021, 163, 112125. [Google Scholar] [CrossRef]
- Wang, Z.; Morosohk, S.; Rafiq, T.; Schuster, E.; Boyer, M.; Choi, W. Neural network model of neutral beam injection in the EAST tokamak to enable fast transport simulations. Fusion Engineering and Design 2023, 191, 113514. [Google Scholar] [CrossRef]
- Wallace, G.; Bai, Z.; Sadre, R.; Perciano, T.; Bertelli, N.; Shiraiwa, S.; Bethel, E.; Wright, J. Towards fast and accurate predictions of radio frequency power deposition and current profile via data-driven modelling: applications to lower hybrid current drive. Journal of Plasma Physics 2022, 88, 895880401. [Google Scholar] [CrossRef]
- Meneghini, O.; Smith, S.; Snyder, P.; Staebler, G.; Candy, J.; Belli, E.; Lao, L.; Kostuk, M.; Luce, T.; Luda, T.; et al. Self-consistent core-pedestal transport simulations with neural network accelerated models. Nuclear Fusion 2017, 57, 086034. [Google Scholar] [CrossRef]
- Rafiq, T.; Wilson, C.; Luo, L.; Weiland, J.; Schuster, E.; Pankin, A.Y.; Guttenfelder, W.; Kaye, S. Electron temperature gradient driven transport model for tokamak plasmas. Physics of Plasmas 2022, 29, 092503. [Google Scholar] [CrossRef]
- Rafiq, T.; Weiland, J.; Kritz, A.H.; Luo, L.; Pankin, A.Y. Microtearing modes in tokamak discharges. Physics of Plasmas 2016, 23, 062507. [Google Scholar] [CrossRef]
- Rafiq, T.; Bateman, G.; Kritz, A.H.; Pankin, A.Y. Development of drift-resistive-inertial ballooning transport model for tokamak edge plasmas. Physics of Plasmas 2010, 17, 082511. [Google Scholar] [CrossRef]
- Pankin, A.; Breslau, J.; Gorelenkova, M.; Andre, R.; Grierson, B.; Sachdev, J.; Goliyad, M.; Perumpilly, G. TRANSP integrated modeling code for interpretive and predictive analysis of tokamak plasmas. arXiv preprint arXiv:2406.07781, arXiv:2406.07781 2024.
- Chang, C.S.; Hinton, F.L. Effect of impurity particles on the finite-aspect ratio neoclassical ion thermal conductivity in a tokamak. The Physics of Fluids 1986, 29, 3314–3316. [Google Scholar] [CrossRef]
- Kritz, A.; Hsuan, H.; Goldfinger, R.; Batchelor, D. Ray Tracing Study of Electron Cyclotron Heating in Toroidal Geometry. In Heating in Toroidal Plasmas 1982; Gormezano, C.; Leotta, G.; Sindoni, E., Eds.; Pergamon, 1982; pp. 707–723. [CrossRef]
- Mori, Y.; Kuroda, M.; Makino, N. Nonlinear principal component analysis and its applications; Springer, 2016.
- Pang, B.; Nijkamp, E.; Wu, Y.N. Deep Learning With TensorFlow: A Review. Journal of Educational and Behavioral Statistics 2020, 45, 227–248. [Google Scholar] [CrossRef]






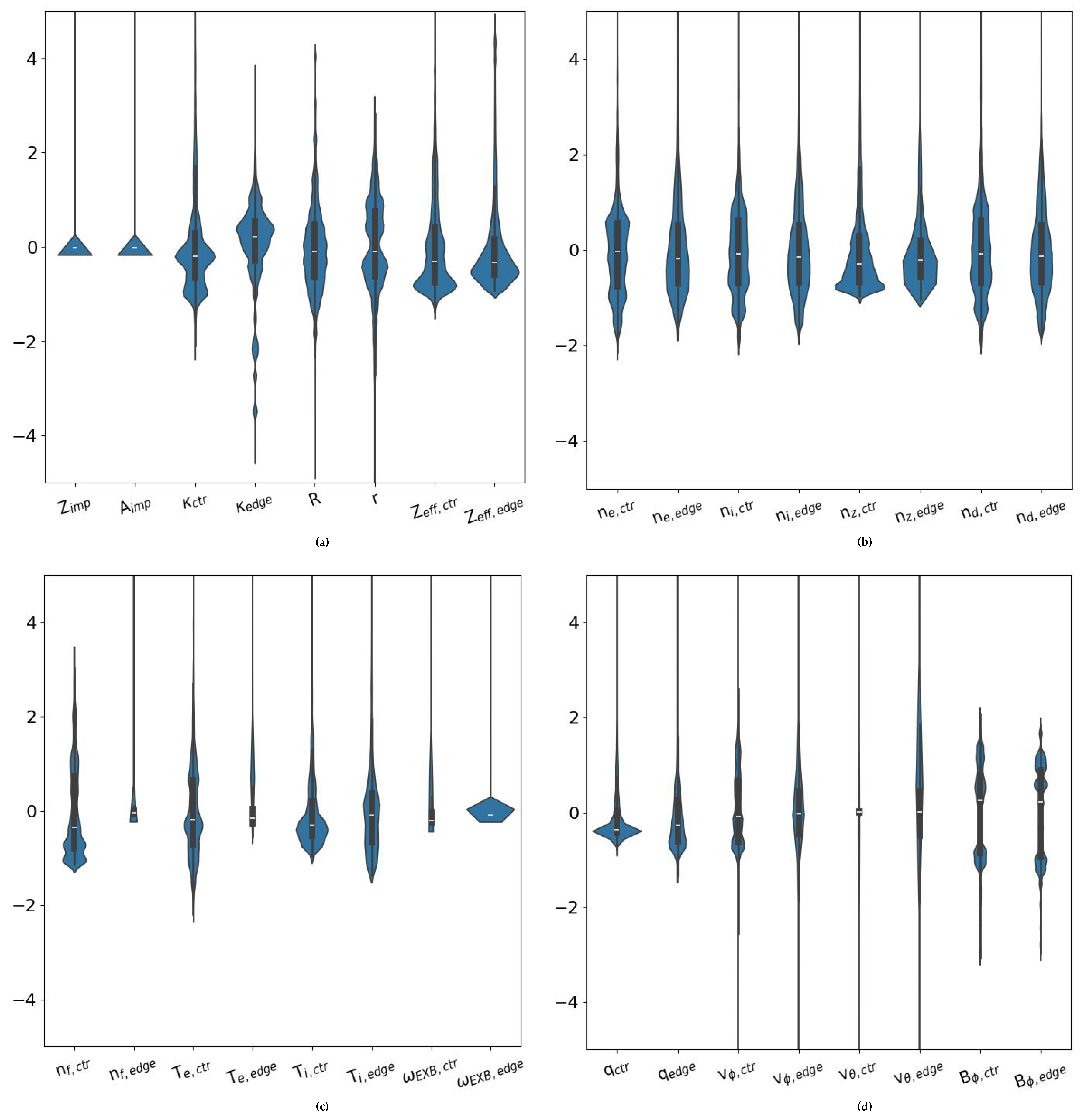
| Symbol | Description | Units | |
|---|---|---|---|
| Inputs | Average charge of impurities | ||
| Average mass of impurities | amu | ||
| Elongation | |||
| R | Major radius | m | |
| r | Minor radius | m | |
| Mean effective charge | |||
| Electron density | |||
| Ion density | |||
| Impurity density | |||
| Deuterium Ion density | |||
| Fast Ion density | |||
| Electron temperature | keV | ||
| Ion temperature | keV | ||
| shear | |||
| Safety factor profile | |||
| Toroidal velocity | m | ||
| Poloidal velocity | m | ||
| Toroidal magnetic field | T | ||
| Outputs | Electron thermal diffusivity | ||
| Ion thermal diffusivity | |||
| Toroidal momentum diffusivity | |||
| Poloidal momentum diffusivity | |||
| Electron particle diffusivity | |||
| Impurity particle diffusivity |
| Hidden layers | 4 |
|---|---|
| Nodes per hidden layer | 125 |
| Maximum epochs | 100 |
| Batch size | 200 |
| Activation func. (hidden layers) | ReLU |
| Activation func. (output layer) | Linear |
| Learning rate | Adaptive |
| Solver | Adam |
| Loss function | Mean squared error |
| Metric | Mean squared error |
| Output | : Training | : Testing | Comp. Time (ms) |
|---|---|---|---|
| 0.977 | 0.972 | 0.15 | |
| 0.975 | 0.966 | 0.06 | |
| 0.964 | 0.956 | 0.08 | |
| 0.951 | 0.946 | 0.08 | |
| 0.826 | 0.812 | 0.13 | |
| 0.823 | 0.803 | 0.15 |
Disclaimer/Publisher’s Note: The statements, opinions and data contained in all publications are solely those of the individual author(s) and contributor(s) and not of MDPI and/or the editor(s). MDPI and/or the editor(s) disclaim responsibility for any injury to people or property resulting from any ideas, methods, instructions or products referred to in the content. |
© 2025 by the authors. Licensee MDPI, Basel, Switzerland. This article is an open access article distributed under the terms and conditions of the Creative Commons Attribution (CC BY) license (http://creativecommons.org/licenses/by/4.0/).