Submitted:
29 May 2024
Posted:
30 May 2024
You are already at the latest version
Abstract
Keywords:
1. Introduction
2. The Height Function Method
2.1. The Continuous and Discrete Height Function
2.2. Symmetry Considerations for the Machine Learning Model
3. Neural Network Model
3.1. Data Generation
-
Set a seed for the random number generator to ensure reproducibility of the sequence of random numbers: we use the standard pseudo-random number generation routine available in the GNU libc library version 2.31 available in many Linux distributions.The quality of this distribution is somewhat limited but still adequate to generate the training data for machine learning [16].
- Generate sets of random values : we can assume that they all lay in the interval , or we can convert them to this interval when the generated numbers are integers in a given range.
- Set the curvature value: we set and determine the radius .
-
Set the position of the circle: we set the center to ,with and .
- Set the angle value: we set the angle to and determine the point P on the circumference.
- Locate the reference grid cell: we locate the reference cell that contains P and consider a square section of the grid around that cell.
- Compute the volume fractions: we compute the volume fractions around the reference cell in the square section and store the central block of values in a dataset.
-
Compute the height functions: we compute the HF around the reference cell in the square section and store the three central values in another dataset.The heights can be computed along both coordinate directions, i.e., for x and y. When this is possible, that is to say, three consecutive HF values are computed along each direction by adding two separate sets of training data to the dataset.
3.2. Treatment of Regular and Non-Regular Cases
3.3. Neural Network Definition and Training
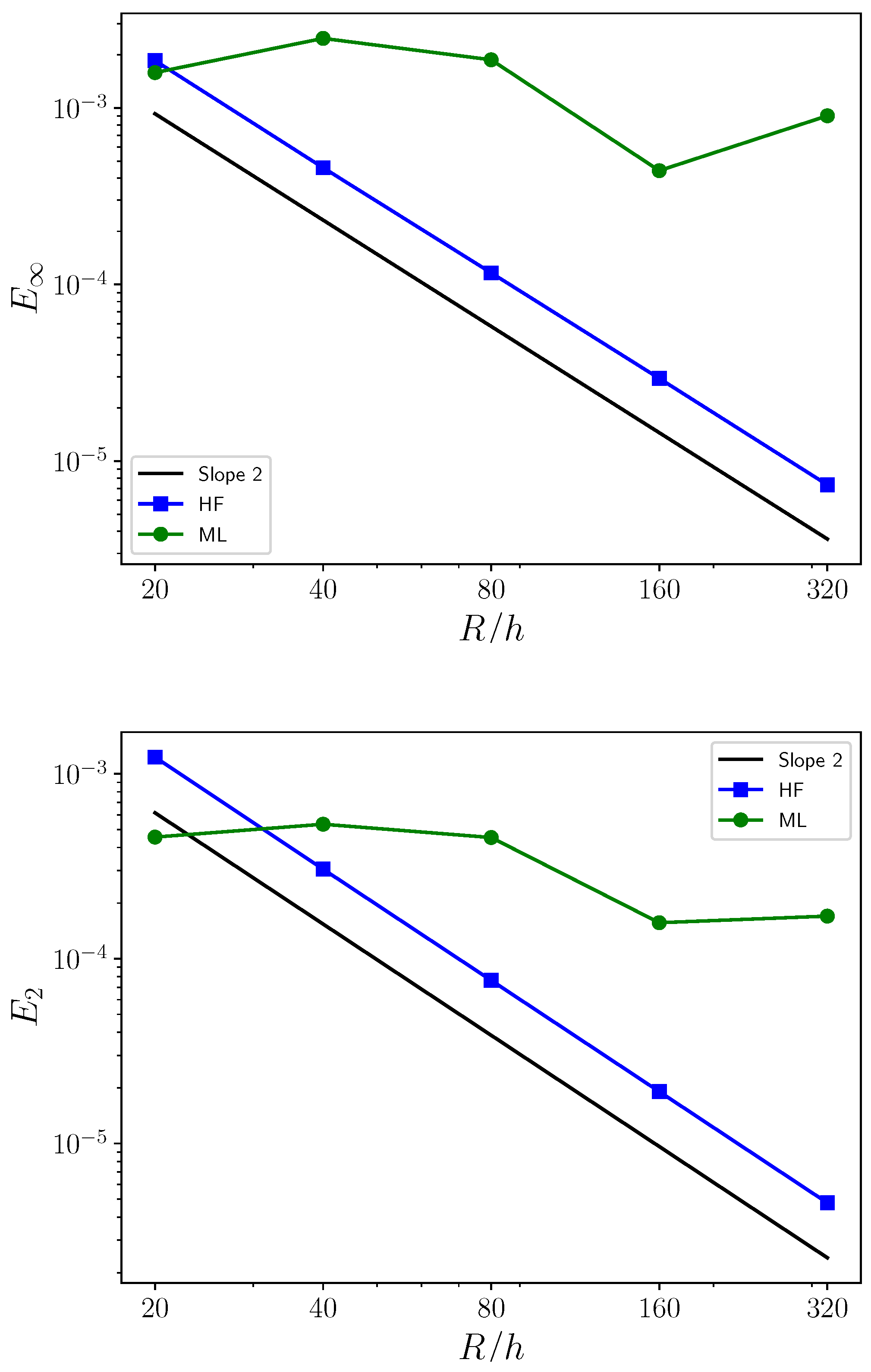
4. Results
5. Conclusions
Author Contributions
Funding
Data Availability Statement
Conflicts of Interest
References
- Brackbill, J.U.; Kothe, D.B.; Zemach, C. A continuum method for modeling surface tension. J. Comput. Phys. 1992, 100, 335–354. [Google Scholar] [CrossRef]
- Tryggvason, G.; Scardovelli, R.; Zaleski, S. Direct Numerical Simulations of Gas–Liquid Multiphase Flows; Cambridge University Press: Cambridge, UK, 2011. [Google Scholar]
- Hirt, C.W.; Nichols, B.D. Volume of Fluid (VOF) Method for the Dynamics of Free Boundaries. J. Comput. Phys. 1981, 39, 201–225. [Google Scholar] [CrossRef]
- Cummins, S.J.; Francois, M.M.; Kothe, D.B. Estimating curvature from volume fractions. Comput. Struct. 2005, 83, 425–434. [Google Scholar] [CrossRef]
- Bornia, G.; Cervone, A.; Manservisi, S.; Scardovelli, R.; Zaleski, S. On the properties and limitations of the height function method in two–dimensional Cartesian geometry. J. Comput. Phys. 2011, 230, 851–862. [Google Scholar] [CrossRef]
- Owkes, M.; Desjardins, O. A mesh-decoupled height function method for computing interface curvature. J. Comput. Phys. 2015, 281, 285–300. [Google Scholar] [CrossRef]
- Popinet, S. An accurate adaptive solver for surface–tension–driven interfacial flows. J. Comput. Phys. 2009, 228, 5838–5866. [Google Scholar] [CrossRef]
- Patel, H.V.; Kuipers, J.A.; Peters, E.A. Computing interface curvature from volume fractions: A hybrid approach. Comput. & Fluids 2018, 161, 74–88. [Google Scholar]
- Svyetlichnyy, D. Neural networks for determining the vector normal to the surface in CFD, LBM and CA applications. . Int. J. Numer. Methods Heat Fluid Flow 2018, 28, 1754–73. [Google Scholar] [CrossRef]
- Ataei, M.; Bussmann, M.; Shaayegan, V.; Costa, F.; Han, S.; Park, C.B. NPLIC: a machine learning approach to piecewise linear interface construction. Comput. & Fluids 2021, 223, 104950. [Google Scholar]
- Qi, Y.; Lu, J.; Scardovelli, R.; Zaleski, S.; Tryggvason, G. Computing curvature for volume of fluid methods using machine learning. J. Comput. Phys. 2019, 377, 155–161. [Google Scholar] [CrossRef]
- Patel, H.V.; Panda, A.; Kuipers, J.A.M.; Peters, E.A.J.F. Computing interface curvature from volume fractions: a machine learning approach. Comput. & Fluids 2019, 193, 104263. [Google Scholar]
- Buhendwa, A.B.; Bezgin, D.A.; Adams, N.A. Consistent and symmetry preserving data-driven interface reconstruction for the level-set method. J. Comput. Phys. 2022, 457, 111049. [Google Scholar] [CrossRef]
- Önder, A.; Liu, P.L.F. Deep learning of interfacial curvature: A symmetry-preserving approach for the volume of fluid method. J. Comput. Phys. 2023, 485, 112110. [Google Scholar] [CrossRef]
- Parker, B.J.; Youngs, D.L. Two and three dimensional Eulerian simulation of fluid flow with material interfaces. Technical Report 01/92, UK Atomic Weapons Establishment, 1992.
- Shacham, H.; Page, M.; Pfaff, B.; Goh, E.J.; Modadugu, N.; Boneh, D. On the effectiveness of address-space randomization. Proceedings of the 11th ACM conference on Computer and communications security, 2004, pp. 298–307.
- Chierici, A.; Chirco, L.; Chenadec, V.L.; R. Scardovelli, a.P.Y.; Zaleski, S. An optimized VOFI library to initialize the volume fraction field. Comput. Phys. Commun. 2022, 281, 108506. [Google Scholar] [CrossRef]
- Bnà, S.; Manservisi, S.; Scardovelli, R.; Yecko, P.; Zaleski, S. Vofi - A library to initialize the volume fraction scalar field. Comput. Phys. Commun. 2016, 200, 291–299. [Google Scholar] [CrossRef]
- Beale, M.H.; Hagan, M.T.; Demuth, H.B. Neural network toolbox. User’s Guide, MathWorks 2010, 2, 77–81. [Google Scholar]
- Roweis, S. Levenberg-marquardt optimization. Notes, University Of Toronto 1996, 52. [Google Scholar]
- Yan, Z.; Zhong, S.; Lin, L.; Cui, Z. Adaptive Levenberg–Marquardt algorithm: A new optimization strategy for Levenberg–Marquardt neural networks. Mathematics 2021, 9, 2176. [Google Scholar] [CrossRef]









Disclaimer/Publisher’s Note: The statements, opinions and data contained in all publications are solely those of the individual author(s) and contributor(s) and not of MDPI and/or the editor(s). MDPI and/or the editor(s) disclaim responsibility for any injury to people or property resulting from any ideas, methods, instructions or products referred to in the content. |
© 2024 by the authors. Licensee MDPI, Basel, Switzerland. This article is an open access article distributed under the terms and conditions of the Creative Commons Attribution (CC BY) license (http://creativecommons.org/licenses/by/4.0/).