Submitted:
28 June 2025
Posted:
30 June 2025
You are already at the latest version
Abstract
Keywords:
1. Introduction
2. Materials and Methods
Composite Manufacturing Methodology
3. Results and Discussion
3.1. Rheological Analysis

3.2. Stress–Strain Behavior
3.3. Dynamic Mechanical Analysis
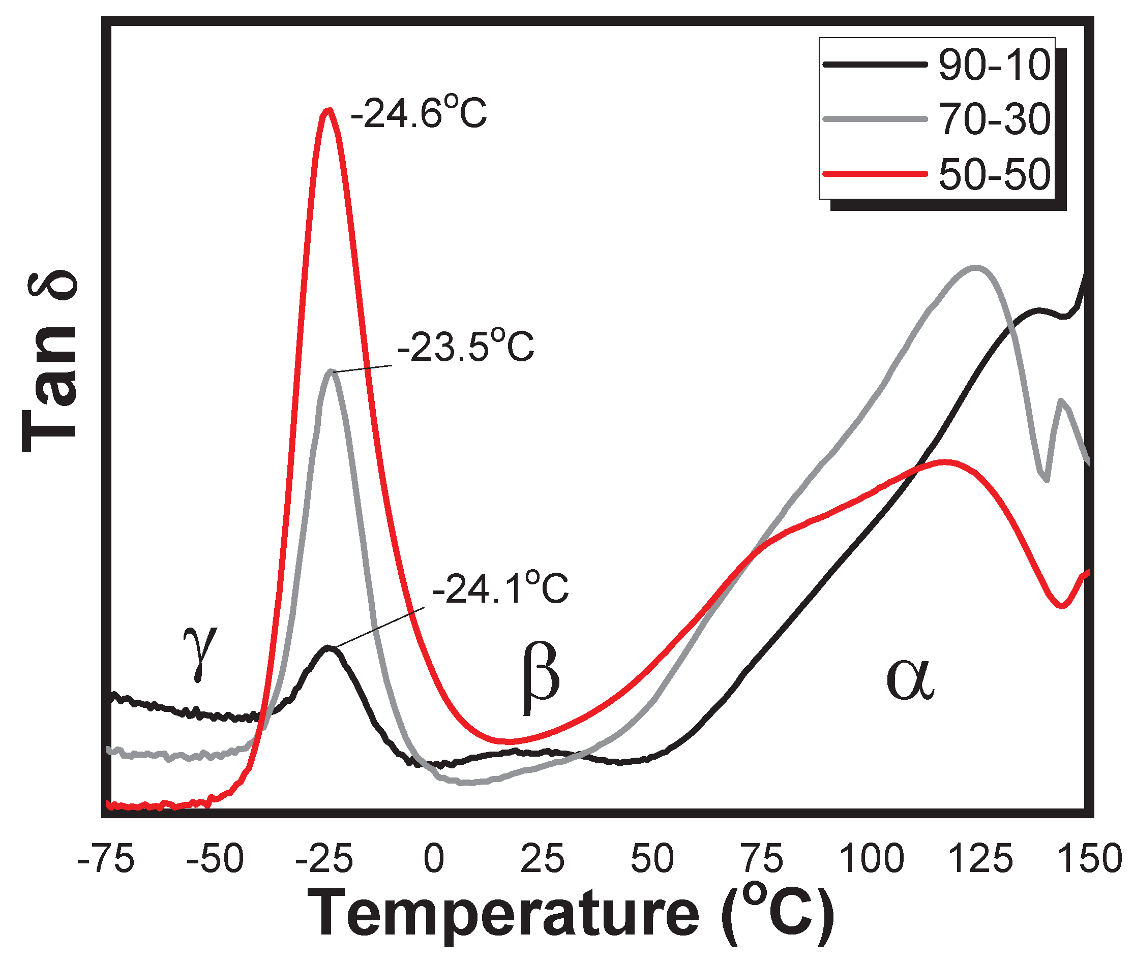
3.3.1. Tan δ Behavior

3.3.2. Storage Modulus

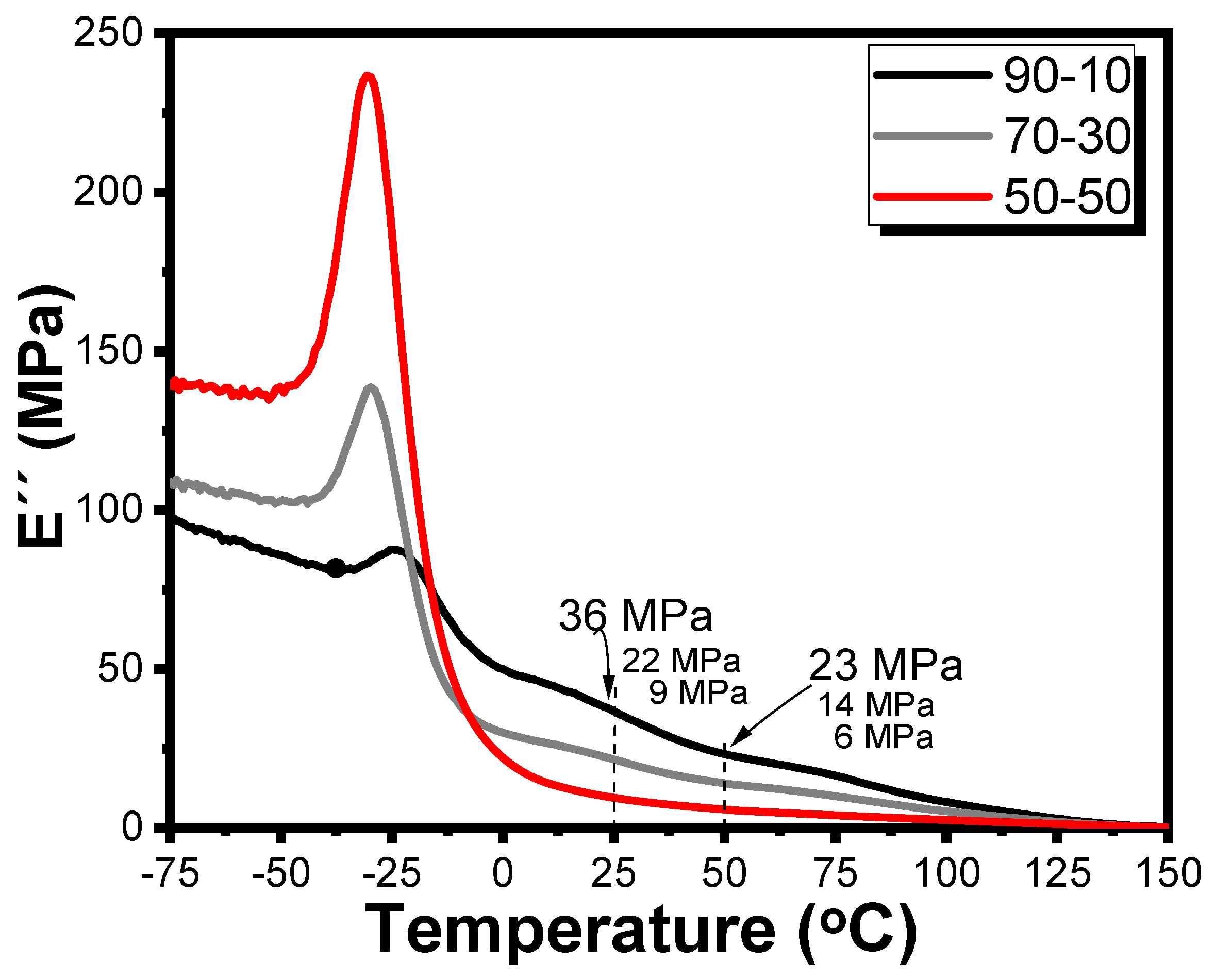
3.3.3. Loss Modulus

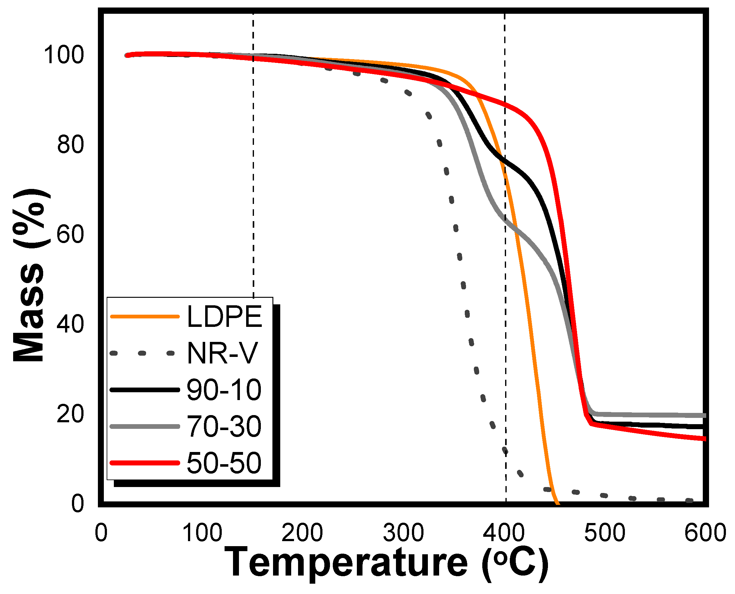
3.4. Thermogravimetry

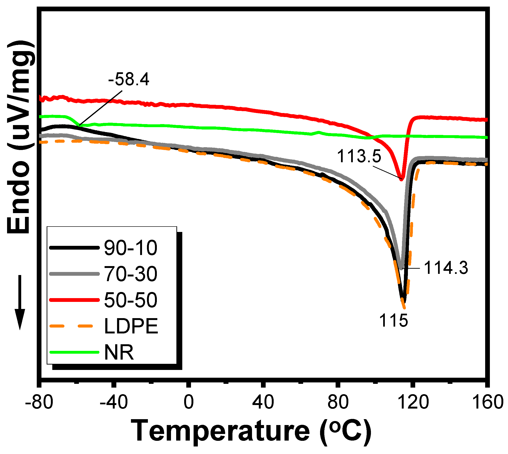
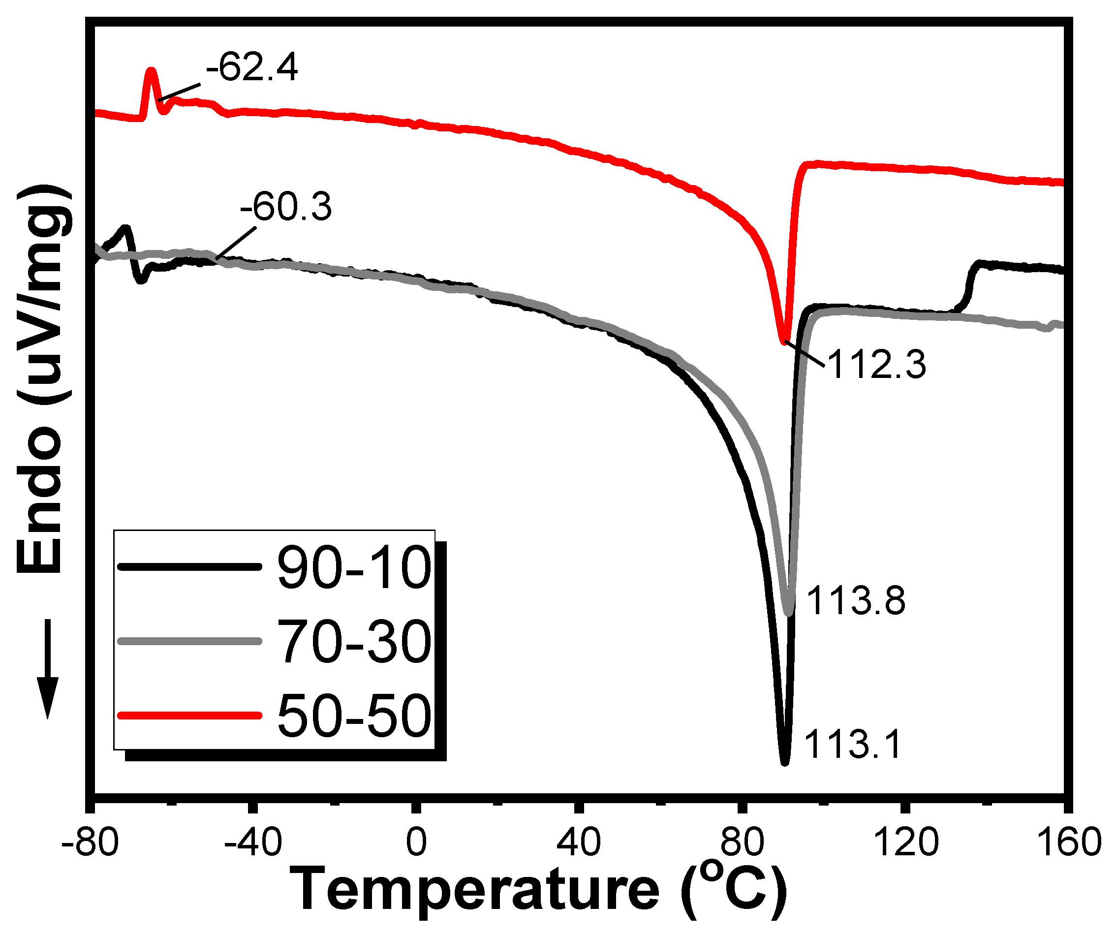
3.5. Differential Scanning Calorimetry
3.6. Fourier Transform Infrared Spectroscopy
3.7. Scanning Electron Microscopy
3.7.1. Vulcanized LDPE/NR Blend
3.7.2. Vulcanized LDPE /Masterbatch Blend
3.8. Comparison of the Tension and Deformation Properties of the LDPE/Masterbatch Blends with and Without Curing Agents
3.9. Hardness
3.10. Comparison of the Dynamic and Mechanical Analysis Results
3.10.1. Storage Modulus
3.10.2. Tan δ
4. Conclusions
Author Contributions
Funding
Acknowledgments
Conflicts of Interest
References
- Torres, G.B.; Dognani ,G.; Cabrera, F.C., et al. “Sustainable blends of LDPE/NR and sugarcane bagasse ashes with PE-g-MA thermomechanical relationships”. Revista Matéria, v. 24, n. 3, 2019. Doi. 10.1590/S1517-707620190003.0726.
- Françoise Berzin, Bruno Vergnes. Thermoplastic Natural Fiber Based Composites. Fiber Reinforced Composites Constituents, Compatibility, Perspectives, and Applications, 2021, 10.1016/B978-0-12-821090-1.00015-6.hal-03843581.
- Kirk-Othmer Encyclopedia of Chemical Technology. Copyright © 2022 John Wiley & Sons, Inc. All rights reserved. [CrossRef]
- R. Brown, Natural Fillers in Elastomeric Composites, 2nd ed., New York, NY: Wiley, 2018, pp. 68-73.
- Nursel Karakaya, Osman G. Ersoy, Mehmet A. Oral, Turgay Gonul, Veli Deniz. Effect of Different Fillers on Physical, Mechanical, and Optical Properties of Styrenic-Based Thermoplastic Elastomers. Polymer Engineering & Science · April 2010. [CrossRef]
- L. Zahir, T. Kida, R. Tanaka et al. Synthesis of thermoplastic elastomers with high biodegradability inSeawater. Polymer Degradation and Stability 184 (2021). DOI. 109467.
- P. Novak, "Reinforcement of polymers using bio-based materials," in Bio-based Composites: Materials and Processing, 1st ed., M. Peterson, Ed. Cambridge, MA: Elsevier, 2019, pp. 201-230.
- R. Lozada, E.; Gutiérrez Aguilar, C.M.; Jaramillo Carvalho, J.A.; Sánchez, J.C.; Barrera Torres, G. Vegetable Cellulose Fibers in Natural Rubber Composites. Polymers 2023, 15, 2914. [CrossRef]
- N. Patel and S. Kumar, "Performance evaluation of natural fiber-reinforced elastomers," Materials Today: Proceedings, vol. 34, pp. 56-61, Jan. 2023. [CrossRef]
- M. Thomas, "Biodegradable polymer composites: A sustainable future," Journal of Green Materials, vol. 19, no. 1, pp. 10-20, Jan. 2023. [CrossRef]
- D. F. Miller and H. Kim, "A study on the lifecycle analysis of bio-composite TPEs," Plastics Research Journal, vol. 29, no. 3, pp. 173-185, Mar. 2022. [CrossRef]
- P. Turner and E. Green, "Hemp fiber-reinforced TPEs for automotive applications," Automotive Materials Journal, vol. 39, no. 5, pp. 315-325, May 2021. [CrossRef]
- L. Zhang, "Reduction of vehicle weight using bio-based materials in automotive components," Journal of Sustainable Engineering, vol. 27, no. 8, pp. 523-530, Aug. 2020. [CrossRef]
- B. Singh and R. Patel, "The impact of bamboo fillers on the mechanical properties of thermoplastic elastomers," in Proc. Int. Conf. Adv. Green Polymers, Tokyo, Japan, 2021, pp. 98-105. [CrossRef]
- K. Wilson and M. Edwards, "Sustainable packaging materials: Natural fillers in TPE blends," Packaging Technology Today, vol. 45, no. 3, pp. 100-109, Mar. 2022. [CrossRef]
- R. Gomez, "Combating plastic pollution with biodegradable TPE composites," Environmental Polymer Chemistry, vol. 12, no. 6, pp. 301-312, June 2021. [CrossRef]
- P. Nguyen and S. Zhao, "Bio-based packaging for food applications: The role of natural fillers," Journal of Food Packaging, vol. 38, no. 9, pp. 801-809, Sept. 2023. [CrossRef]
- J. A. Garcia and L. Sanchez, "Reducing microplastic pollution with bio-filler-based polymers," Ocean Sustainability Review, vol. 8, no. 5, pp. 113-120, May 2023. [CrossRef]
- M. Johnson, "Wood flour in TPEs: A sustainable approach to food packaging," Sustainable Materials Science, vol. 17, no. 2, pp. 50-59, Feb. 2023. [CrossRef]
- K. Mathew, "Natural fiber-reinforced thermoplastic elastomers for green buildings," Journal of Building Materials, vol. 16, no. 7, pp. 890-899, July 2022. [CrossRef]
- H. Lee, "Coconut husk fillers for thermal insulation in eco-friendly buildings," Construction and Building Materials, vol. 55, pp. 603-610, Aug. 2021. [CrossRef]
- S. Patel and M. Kumar, "Weather-resistant TPE composites with natural fillers for infrastructure applications," Construction Technology Journal, vol. 44, no. 9, pp. 411-421, Sept. 2022. [CrossRef]
- Thompson, "Green building projects: The role of TPE composites," Sustainable Architecture Review, vol. 29, no. 10, pp. 215-221, Oct. 2021. [CrossRef]
- J. Walker and B. Lee, "Natural fiber-reinforced TPEs in consumer goods: Footwear and sporting applications," Consumer Goods Materials Journal, vol. 12, no. 4, pp. 173-180, Apr. 2022. [CrossRef]
- Y. Wang, "Natural textures in bio-filler-based TPEs for consumer products," Aesthetic Materials Engineering, vol. 4, no. 2, pp. 78-85, Feb. 2023. [CrossRef]
- R. Bell and A. Cooper, "Eco-friendly alternatives: Marketing bio-based products," Green Marketing Review, vol. 23, no. 1, pp. 112-120, Jan. 2022. [CrossRef]
- F. Gomez, "Environmental impact of biodegradable TPEs with natural fillers," Environmental Science and Technology, vol. 50, no. 11, pp. 1102-1110, Nov. 2021. [CrossRef]
- G. Luo and P. Chen, "Renewable resources in polymer composites: An overview of natural fillers," Journal of Renewable Materials, vol. 21, no. 6, pp. 601-609, June 2021. [CrossRef]
- J. Kim and H. Park, "The biodegradability of bio-based fillers in polymer composites," Journal of Environmental Polymer Deg-radation, vol. 14, no. 3, pp. 390-399, Mar. 2022. [CrossRef]
- M. S. Rana, "Biodegradable waste reduction through natural fillers in elastomeric composites," Waste Management Journal, vol. 39, no. 5, pp. 1020-1030, May 2022. [CrossRef]
- Mahmood and S. Chowdhury, "Energy consumption in bio-filler production: A comparison with synthetic fillers," Journal of Materials and Energy, vol. 48, no. 9, pp. 875-884, Sept. 2021. [CrossRef]
- N. Patel, "Hemp and flax as sustainable alternatives to synthetic fillers," Bio-Based Materials Review, vol. 9, no. 7, pp. 530-540, July 2020. [CrossRef]
- R. Zhang and T. Shen, "Carbon footprint analysis of natural fillers in polymer composites" Journal of Polymer Science, vol. 33, no. 2, pp. 153-162, Feb. 2021. [CrossRef]
- M. Diaz, "Utilizing agricultural by-products in TPE production," Agricultural Materials Journal, vol. 19, no. 1, pp. 98-106, Jan. 2023. [CrossRef]
- Y. Chen and G. Lin, “The role of carbon sequestration in bio-based filler production,” Environmental Materials Science, vol. 22, no. 4,pp. 402-411, Apr. 2022. [CrossRef]
- Patel, "Long-term carbon sequestration in TPE composites with bio-based fillers," Journal of Carbon Capture and Storage, vol. 15, no. 5, pp. 702-711, May 2023. [CrossRef]
- T. Nakamura, "Combating climate change with bio-filler-based elastomers," Climate and Materials Science, vol. 11, no. 3, pp. 215-223,Mar.2022. [CrossRef]
- F. Liu and M. Yang, "Improving compatibility between natural fillers and TPE matrices," Journal of Polymer Interfaces, vol. 29, no. 8, pp. 408-416, Aug. 2021. [CrossRef]
- K. Dawson and J. Rodriguez, "Surface treatment techniques for natural fiber reinforcement in TPEs," Polymer Treatment Journal, vol. 14, no. 9, pp. 1215-1223, Sept. 2021. [CrossRef]
- J. Singh, "Optimization of dispersion in bio-filler-based composites," Journal of Polymer Science, vol. 38, no. 12, pp. 905-913, Dec. 2022. [CrossRef]
- P. Gupta, "Challenges in scaling bio-filler-based TPE production," Journal of Industrial Polymers, vol. 30, no. 6, pp. 410-418, June 2022. [CrossRef]
- T. Howard, "Coupling agents for enhanced filler-matrix adhesion," Adhesion Science and Engineering, vol. 20, no. 2, pp. 195-203, Feb. 2023. [CrossRef]
- R. Cooper, "Supply chain considerations for natural filler production," Journal of Sustainable Sourcing, vol. 15, no. 10, pp. 500-511, Oct. 2022. [CrossRef]
- M. Zhang, "Agricultural yield variability and its impact on bio-based filler supply chains," Journal of Agri-Industrial Materials, vol. 13, no. 5, pp. 377-386, May 2021. [CrossRef]
- J. Wong, "Sustainable sourcing strategies for bio-filler materials," Sustainable Industry Review, vol. 18, no. 6, pp. 412-420, June 2022. [CrossRef]
- L. Nguyen, "Performance of bio-based fillers in high-demand applications," Journal of Industrial Materials Science, vol. 44, no. 11, pp. 1345-1353, Nov. 2021. [CrossRef]
- P. Garcia, "Reducing environmental impact through natural fillers in TPEs," Journal of Green Engineering, vol. 26, no. 3, pp. 225-233, Mar. 2023. [CrossRef]
- H. Liu, "The role of renewable materials in sustainable manufacturing," Renewable Materials Review, vol. 10, no. 8, pp. 655-663, Aug. 2022. [CrossRef]
- P. Singh, "Toward a circular economy: Thermoplastic elastomers with natural fillers," Circular Materials Science, vol. 16, no. 9, pp. 289-297, Sept. 2022. [CrossRef]
- P. Y. Wong, et al., "Microstructure and Mechanical Properties of NR/PP Thermoplastic Elastomers," IEEE Polymer Physics, vol. 18, no. 2, pp. 89-95, 2019.
- R. K. Gupta, et al., "Effect of Crosslinking on the Properties of TPEs," IEEE Rubber Chemistry and Technology, vol. 11, no. 2, pp. 143-149, 2017.
- M. H. Ismail, et al., "Thermal and Mechanical Properties of Natural Rubber/HDPE Thermoplastic Elastomer Blends," IEEE Transactions on Materials Science, vol. 62, no. 2, pp. 178-185, 2020.
- R. Azura, et al., "Properties of Natural Rubber/LDPE Composites," IEEE Polymer Journal, vol. 15, no. 1, pp. 45-52, 2019.
- H. Nguyen, et al., "Dynamic Vulcanization of NR/PP Blends for Automotive Applications," IEEE Automotive Engineering, vol. 8, no. 2, pp. 99-108, 2021.
- L. J. Xu, et al., "Impact Resistance of Thermoplastic Elastomers in Footwear Applications," IEEE Polymer Applications, vol. 28, no. 3, pp. 312-318, 2018.
- S. D. Kumar, et al., "TPEs in Packaging: Flexibility and Strength," IEEE Packaging Science, vol. 14, no. 4, pp. 125-131, 2020.
- M. A. Jafferson, et al., "Medical Applications of NR/PP Blends," IEEE Biomedical Materials, vol. 9, no. 1, pp. 58-63, 2019.
- T. L. Chan, et al., "Development of Biocompatible TPEs for Medical Devices," IEEE Healthcare Materials, vol. 11, no. 3, pp. 189-195, 2021.
- K. N. Goh, et al., "Processing and Properties of Recycled NR/PE Blends," IEEE Green Materials Science, vol. 10, no. 1, pp. 211-217, 2021.
- J. W. Chen, et al., "Recyclability of Thermoplastic Elastomers," IEEE Sustainable Materials Engineering, vol. 6, no. 2, pp. 67-72, 2020.
- L. Tan, et al., "Environmentally Friendly Elastomers: A Review," IEEE Environmental Engineering, vol. 7, no. 3, pp. 201-209, 2022.
- Barrera T. et al Potential Eco-friendly Application of Sugarcane Bagasse Ash in the Rubber Industry. Waste and Biomass Val-orization (2021) 12:4599–4613. doi.org/10.1007/s12649-020-01309-6.
- Standard Test Method for Rubber Property—Vulcanization Using Rotorless Cure Meters.American Society for Testing Materials (ASTM) (2010) D 5963 test method for rubber property—abrasion resistance rotary drum abrader.
- American Society for Testing Materials (ASTM) (2010) D 2240. Test method for rubber property—durometer hardness.
- Maiza dos S. Ozorio, E. Ap. P. dos Reis, S. R. Teixeira, F. S. Bellucci and A. E. Job. Sugarcane Bagasse Ash as a Reinforcing Filler in Thermoplastic Elastomers: Structural and Mechanical Characterizations. J. of App. Polym. Sci., No 132, pp. 1-7. 2015.
- S. R. Teixeira, A. E. de Souza, A. F. V. Peña, R. G. de Lima and A. G. Miguel. Use of charcoal and partially pirolysed biomaterial in fly ash to produce briquettes: Sugarcane Bagasse. Alternative Fuel.Cap. 8. Pp 184-190.Intech Open. 2011.
- R. Godoy de Lima and A. Gil Miguel. Use of Charcoal and Partially Pirolysed Biomaterial in Fly Ash to Produce Briquettes: Sugarcane Bagasse. www.Intechopen.com.pp. 189-194. 2011.
- Rheology and mechanical properties of polymers. FRED W. BILLMEYER, Jr. pp.301-329.texbook of polymer science, 3 ed.John Wiley and sons.1984.
- Agnes F. Martins, Leila L.Y. Visconte, Regina C.R. Nunes. Propriedades Reológicas e Dinâmicas de Composições Não-Vulcanizadas de Borracha Natural com Celulose Regenerada. Polímeros: Ciência e Tecnologia, vol. 12, nº 4, p. 295-300, 2002.
- S. Navarro Cassu E M. Isabel Felisberti. Comportamento Dinâmico-Mecânico e Relaxações Em Polímeros e Blendas Poliméricas. Quim. Nova, Vol. 28, No. 2, 255-263. 2005.
- J. Morshedian, P. Mohammad Hoseinpour, H. Azizi, R. Parvizzad. Effect of polymer structure and additives on silane grafting of polyethylene. express Polymer Letters Vol.3, No.2 pp. 105–115.2009.
- F. R. Passador, Galia J. Alzate R., Luiz A. Pessan. Thermoplastic Elastomers Based on Natural Rubber/Polypropylene Blends: Effect of Blend Ratios and Dynamic Vulcanization on Rheological, Thermal, Macromolecular Sc., Part B: Physics, 52:1142–1157, 2013.
- Ch. nakason And W. Kaewsakul. Influence of Oil Contents in Dynamically Cured Natural.
- Rubber and Polypropylene Blends. J. of Applied Polymer Science, Wiley Periodicals, Inc.V.115, 540–548. 2010.













| Material | phr |
|---|---|
| NR | 100.0 |
| Silanized SCBA treated with TESPT | 25 |
| ZnO | 3 |
| Stearic acid | 2 |
| *CBS | 1 |
| **TMTD | 2 |
| Sample | Rheometer speed (rpm) | Composition (%) | Torque LDPE(Nm) | Torque NR/Masterbatch (Nm) | Final torque (Nm) | Time to torque stabilization (Minutes) |
|---|---|---|---|---|---|---|
| Measurement time (min) | 1 | 2.5 | 5 | |||
| Pure LDPE/NR with curing agents | 40 | 90/10 | 15.2 | 13.4 | 8.4 | 3.4 |
| 70/30 | 9.5 | 13.4 | 7.4 | 3.4 | ||
| 50/50 | 5.2 | 11.5 | 4.4 | 2.9 | ||
| LDPE/masterbatch withcuring agents | 40 | 90/10 | 14.4 | 10.8 | 10.2 | 2.6 |
| 70/30 | 12.9 | 14.4 | 10.2 | 3.1 | ||
| 50/50 | 3.5 | 10.9 | 7.3 | 3.5 | ||
| NR | 40 | -------- | 14.7 | ------------ | 6.1 | 1.0 |
| LDPE | --------- | 21.6 | ------------ | 8.81 | 1.6 | |
| LDPE/masterbatch blend with no curing agents | 90/10 | 10.2 | 8.8 | 12.8 | 3.7 | |
| 70/30 | 9.2 | 8.7 | 9.4 | 1.9 | ||
| 50/50 | 8.5 | 8.6 | 9.4 | 1.3 | ||
| LDPE/masterbatchblendwith curing agents | 80 | 90/10 | 17.5 | 14.8 | 11.2 | 3.5 |
| 70/30 | 11.2 | 13.8 | 10.2 | 4.8 | ||
| 50/50 | 7.5 | 13.2 | 7.5 | 4.5 |
| Mixing speed (rpm) | Sample |
Composition (% mass) |
Stress (MPa) | Strain (%) |
|---|---|---|---|---|
| 40 | LDPE | 100 | 6.40 | 75 |
| LDPE/NR-v | 50/50 | 6.06 | 170 | |
| LDPE/NR-v | 70/30 | 5.30 | 13 | |
| LDPE/NR-v | 90/10 | 9.37 | 26 | |
| LDPE/masterbatch-v | 50/50 | 4.57 | 283 | |
| LDPE/masterbatch-v | 70/30 | 3.31 | 110 | |
| LDPE/masterbatch-v | 90/10 | 3.32 | 6,7 | |
| 80 | LDPE | 100 | 6.42 | 71.5 |
| LDPE/masterbatch | 50/50 | 5.85 | 326 | |
| LDPE/masterbatch | 70/30 | 3.74 | 55 | |
| LDPE/masterbatch-v | 50/50 | 4.40 | 21 |
| Haake rheometer (rpm) | Sample |
% |
1 | 2 | 3 | 4 |
5 |
Mean (± SD) |
|---|---|---|---|---|---|---|---|---|
| 40 | NR | 100 | 36 | 34 | 32 | 38 | 32 | 34.4 (±1.5) |
| LDPE | 100 | 88 | 92 | 90 | 90 | 92 | 90.4 (±0.5) | |
| LDPE/NR | 70/30 | 92 | 90 | 88 | 92 | 92 | 90.8 (±0.3) | |
| LDPE/masterbatch-v | 50/50 | 76 | 76 |
74 |
76 | 80 | 76.4(±1.2) | |
| LDPE/masterbatch-v | 70/30 | 94 | 86 | 90 | 92 | 90 | 90.4 (±0.9) | |
| LDPE/masterbatch-v | 90/10 | 94 | 88 | 94 | 90 | 94 | 92.0 (±0.7) | |
|
80 |
LDPE/masterbatch-v | 90/10 | 94 | 90 | 80 | 94 | 92 | 90 (±1.1) |
| LDPE/masterbatch-v | 70/30 | 88 | 92 | 94 | 94 | 94 | 92.4 (±0.8) | |
| LDPE/masterbatch-v | 50/50 | 80 | 80 | 80 | 74 | 74 | 77.6(±0.3) |
Disclaimer/Publisher’s Note: The statements, opinions and data contained in all publications are solely those of the individual author(s) and contributor(s) and not of MDPI and/or the editor(s). MDPI and/or the editor(s) disclaim responsibility for any injury to people or property resulting from any ideas, methods, instructions or products referred to in the content. |
© 2025 by the authors. Licensee MDPI, Basel, Switzerland. This article is an open access article distributed under the terms and conditions of the Creative Commons Attribution (CC BY) license (https://creativecommons.org/licenses/by/4.0/).