Submitted:
25 June 2025
Posted:
27 June 2025
You are already at the latest version
Abstract
Keywords:
1. Introduction
2. Information Dark Energy
2.1. Temperature Dependence
2.2. CPL ω0-ωa Parameters
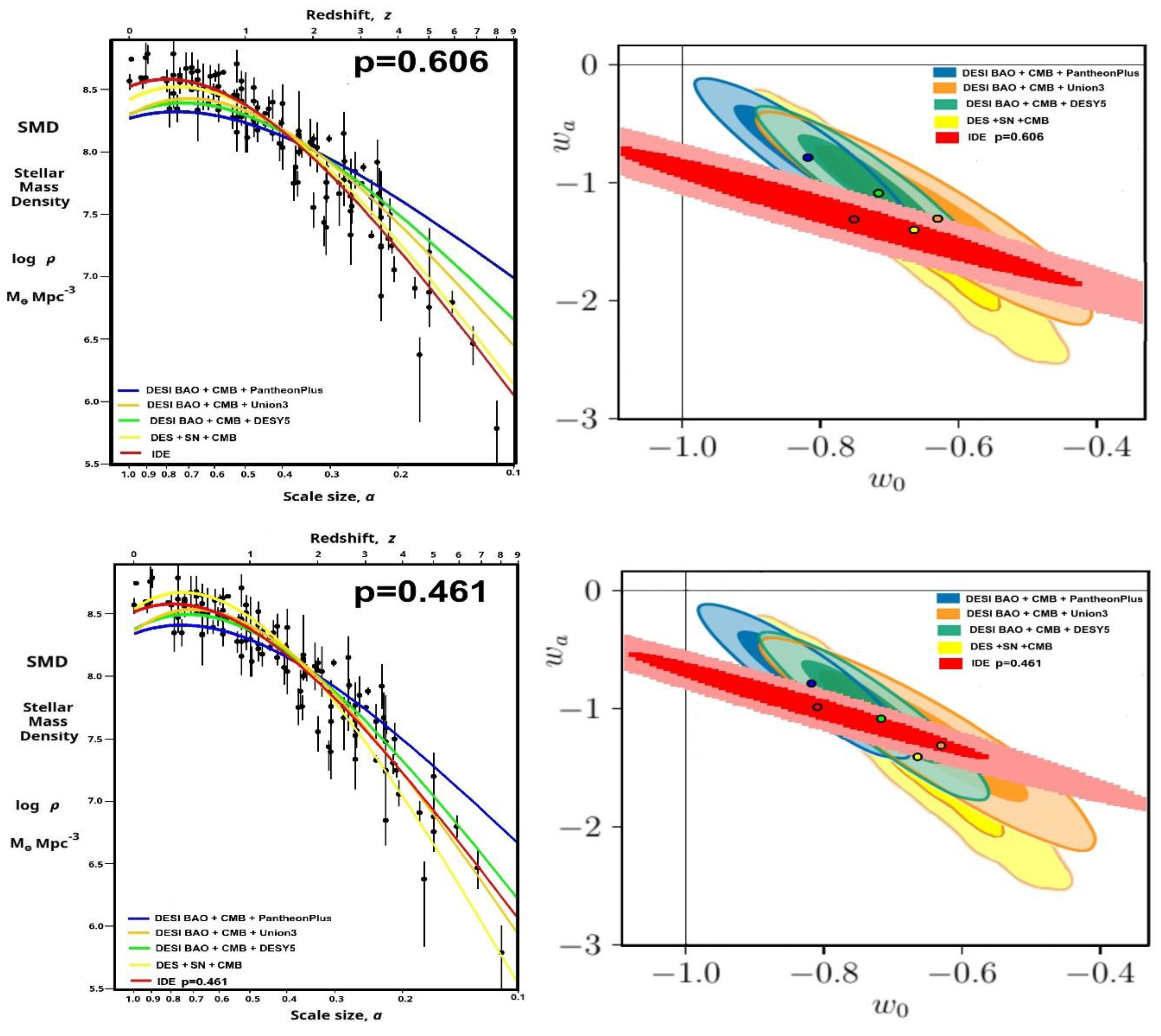
2.3. Predicted IDE in ω0 – ωa Space
3. Discussion
- Information/entropy estimates show that IDE can account for the value of the present dark energy density (see Figure 7 of [16]).
- As IDE fits the latest ω0 – ωa experiment data much better than Ʌ, then the Cosmological Constant problem could be resolved by assuming Ʌ=0, a more likely value [54].
- As the maximum star formation has only occurred recently (now?), this is the most likely time for intelligent beings to have evolved to live in the dark energy dominated epoch, effectively resolving the “Why now?” Cosmological Coincidence problem.
- As the information energy of matter is clumped in astrophysical structures at a similar energy density to matter, IDE may account for some dark matter attributed effects.
4. Summary
Funding
Institutional Review Board Statement
Data Availability Statement
Acknowledgments
Conflicts of Interest
References
- Landauer, R. Irreversibility and heat generation in the computing process. IBM J. Research and Development 1961, 3, 183–191. [Google Scholar] [CrossRef]
- Landauer, R. Information is physical. Physics Today 1991, 44, 23–29. [Google Scholar] [CrossRef]
- Toyabe, S.; Sagawa, T.; Ueda, M.; Muneyuki, E.; Sano, M. Experimental demonstration of information-to-energy conversion and validation of the generalized Jarzynski equality. Nature Physics 2010, 6, 988–992. [Google Scholar] [CrossRef]
- Berut, A.; Arakelyan, A.; Petrosyan, A.; Ciliberto, A.; Dillenschneider, R.; Lutz, E. Experimental verification of Landauer’s principle linking information and thermodynamics. Nature 2012, 483, 187–189. [Google Scholar] [CrossRef] [PubMed]
- Jun, Y.; Gavrilov, M.; Bechhoefer, J. High-PrecisionTest of Landauer’s Principle in a Feedback Trap. Phys.Rev. Let. 2014, 113. 190601-1 to -5. [Google Scholar] [CrossRef]
- Yan, L.I.; et al. Single Atom Demonstration of the Quantum Landauer Principle, Phys. Rev. Let. 2018, 120, 210601. [Google Scholar] [CrossRef]
- Leff, H.S.; Rex, A.F. Maxwell’s Demon 2; Institute of Physics Publishing, 1990; ISBN 0-7503-0759-5. [Google Scholar]
- Zeilinger, A. A Foundational Principle of Quantum Mechanics. Foundations of Physics 1999, 29, 631–643. [Google Scholar] [CrossRef]
- Gough, M.P.; Carozzi, T.; Buckley, A.M. On the similarity of Information Energy to Dark Energy. Physics Essays 2006, 19, 446–450. [Google Scholar] [CrossRef]
- Peebles, P.J.E. Principles of Physical Cosmology. Princeton University Press: Princeton NJ, USA, 1993; ISBN 978-0691209814. [Google Scholar]
- Gough, M.P. Information Equation of State. Entropy 2008, 10, 150–159. [Google Scholar] [CrossRef]
- Gough, M.P. Holographic Dark Information Energy. Entropy 2011, 13, 924–935. [Google Scholar] [CrossRef]
- Gough, M.P. Holographic Dark Information Energy: Predicted Dark Energy Measurement. Entropy 2013, 15, 1133–1149. [Google Scholar] [CrossRef]
- Gough, M.P. A Dynamic Dark Information Energy Consistent with Planck Data. Entropy 2014, 16, 1902–1916. [Google Scholar] [CrossRef]
- Gough, M.P. Information Dark Energy can Resolve the Hubble Tension and is Falsifiable by Experiment. Entropy 2022, 24, 385–399. [Google Scholar] [CrossRef]
- Gough, M.P. Evidence for a dark energy driven by star formation: Information Dark Energy. Entropy 2025, 27, 110. [Google Scholar] [CrossRef] [PubMed]
- DESI Collaboration. DESI 2024 VI: cosmological constraints from the measurements of baryon acoustic oscillations. Journal of Cosmology and Astroparticle Physics, 2025/02/21. [CrossRef]
- DES CollaboArration. Dark Energy Survey: implications for cosmological expansion models from the final DES Baryon Acoustic Oscillation and Supernova data. arXiv:2503.06712v1.9th March 2025. [Google Scholar] [CrossRef]
- Babyk, I.V.; McNamara, B.R. The Halo Mass-Temperature Relation for Clusters, Groups, and Galaxies. Astrophysical Journal 2023, 946, 54. [Google Scholar] [CrossRef]
- Li, C.; White, S.D.M. The distribution of stellar mass in the low-redshift universe. Mon. Not. R. Astron. Soc. 2009, 398, 2177–2187. [Google Scholar] [CrossRef]
- Gallazzi, A.; Brinchmann, J.; Charlot, S.; White, S.D.M. A census of metals and baryons in stars in the local universe. Mon. Not. R. Astron. Soc. 2008, 383, 1439–1458. [Google Scholar] [CrossRef]
- Moustakas, J.; et al. PRIMUS: constraints on star formation quenching and Galaxy merging and the evolution of the stellar mass function from z=0-1. Astrophys. J. 2013, 767, 50. [Google Scholar] [CrossRef]
- Bielby, R.; et al. The WIRCam Deep Survey. I. Counts, colours, and mass functions derived from near-infrared imaging in the CFHTLS deep fields. Astron. Astrophys. 2012, 545, A23. [Google Scholar] [CrossRef]
- Perez-Gonzalez, P.G.; et al. The stellar mass assembly of galaxies from z=0-4: analysis of a sample selected in the rest-frame near infrared with Spitzer. Astrophys. J. 2008, 675, 234–261. [Google Scholar] [CrossRef]
- Ilbert, O.; et al. Mass assembly in quiescent and star-forming Galaxies since z >4 from UltraVISTA. Astron.Astrophys. 2013, 556, A55. [Google Scholar] [CrossRef]
- Muzzin, A.; et al. The evolution of the stellar mass functions of star-forming and quiescent galaxies to z=4 from the COSMOS/UltraVISTA survey. Astrophys. J. 2013, 777, 18. [Google Scholar] [CrossRef]
- Arnouts, S.; et al. The SWIRE-VVDS-CFHTLS surveys: Stellar Assembly over the last 10Gyr. Astron. Astrophys. 2007, 476, 137–150. [Google Scholar] [CrossRef]
- Pozzetti, L.; et al. zCOSMOS -10k bright spectroscopic sample. The bimodality in the galaxy stellar mass function. Astron. Astrophys. 2010, 523, A13. [Google Scholar] [CrossRef]
- Kajisawa, M.; et al. MOIRCS deep survey IV evolution of galaxy stellar mass function back to z 3. Astrophys. J. 2009, 702, 1393–1412. [Google Scholar] [CrossRef]
- Marchesini, D.; van Dokkum, P.G.; Forster Schreiber, N.M.; Franx, M.; Labbe, I.; Wuyts, S. The evolution of the stellar mass function of galaxies from z=4 and the first comprehensive analysis of its uncertainties. Astrophys. J. 2009, 701, 1765–1769. [Google Scholar] [CrossRef]
- Reddy, N.A.; et al. GOODS-HERSCHEL measurements of the dust attenuation of typical star forming galaxies at high redshift. Astrophys. J. 2012, 744, 154. [Google Scholar] [CrossRef]
- Caputi, K.J.; Cirasuolo, M.; Jdunlop, J.S.; McLure, R.J.; Farrah, D.; Almaini, O. The stellar mass function of the most massive Galaxies at 3<z<5 in the UKIDSS Ultra Deep Survey. Mon. Not. R. Astron. Soc. 2011, 413, 162–176. [Google Scholar] [CrossRef]
- Gonzalez, V.; Labbe, I.; Bouwens, R.J.; Illingworth, G.; Frank, M.; Kriek, M. Evolution of galaxy stellar mass functions, mass densities, and mass-to light ratios from z 7 to z 4. Astrophys. J. 2011, 735, L34. [Google Scholar] [CrossRef]
- Lee, K.S.; et al. How do star-forming galaxies at z>3 assemble their masses? Astrophys. J. 2012, 752, 66. [Google Scholar] [CrossRef]
- Cole, S.; et al. The 2dF galaxy redshift survey. Mon. Not. R. Astron. Soc. 2001, 326, 255–273. [Google Scholar] [CrossRef]
- Dickinson, M.; Papovich, C.; Ferguson, H.C.; Budavari, T. The evolution of the global stellar mass density a 0 < z < 3. Astrophys. J. 2003, 587, 25–40. [Google Scholar] [CrossRef]
- Rudnick, G.; et al. The rest-frame optical luminosity density, colour, and stellar mass density of the universe from z = 0 to z = 3. Astrophys. J. 2003, 599, 847–864. [Google Scholar] [CrossRef]
- Brinchmann, J.; Ellis, R.S. The ma.ss assembly and star formation characteristics of field galaxies of known morphology. Astrophys. J. 2000, 536, L77–L80. [Google Scholar] [CrossRef]
- Elsner, F.; Feulner, G.; Hopp, U. The impact of Spitzer infrared data on stellar mass estimates. Astron. Astrophys. 2008, 477, 503–512. [Google Scholar] [CrossRef]
- Drory, N.; Salvato, M.; Gabasch, A.; Bender, R.; Hopp, U.; Feuler, G.; Pannella, M. The stellar mass function of galxies to z 5. Astrophys. J. 2005, 619, L131–L134. [Google Scholar] [CrossRef]
- Drory, N.; Alvarez, M. The contribution of star formation and merging to stellar mass buildup in galaxies. Astrophys.J. 2008, 680, 41–53. [Google Scholar] [CrossRef]
- Fontana, A.; et al. The assembly of massive galaxies from near Infrared observations of Hubble deep-field south. Astrophys. J. 2003, 594, L9–L12. [Google Scholar] [CrossRef]
- Fontana, A.; et al. The galaxy mass function up to z=4 in the GOODS-MUSIC sample. Astron. Astrophys. 2006, 459, 745–757. [Google Scholar] [CrossRef]
- Cohen, J.G. CALTECH faint galaxy redshift survey. Astrophys. J. 2002, 567, 672–701. [Google Scholar] [CrossRef]
- Conselice, C.J.; Blackburne, J.A.; Papovich, C. The luminosity, stellar mass, and number density evolution of field galaxies. Astrophys. J. 2005, 620, 564–583. [Google Scholar] [CrossRef]
- Borch, A.; et al. The stellar masses of 25000 galaxies at 0.2. Astron. Astrophys. 2006, 453, 869–881. [Google Scholar] [CrossRef]
- Madau, P.; Dickinson, M. Cosmic Star Formation History. Ann. Rev. Astron. Astrophys. 2014, 52, 415–486. [Google Scholar] [CrossRef]
- Yabe, K.; Ohta, K.; Iwata, I.; Sawicki, M.; Tamura, N.; Akiyama, M.; Aoki, K. The stellar populations of Lyman break galaxies at z~5. Astrophys. J. 2009, 693, 507. [Google Scholar] [CrossRef]
- Labbe, I.; Oesch, P.A.; Bouwens, R.J.; Illingworth, G.D.; Magee, D.; Gonzalez, V.; Carollo, C.M.; Franx, M.; Trenti, M.; van Dokkkum, P.G.; et al. The spectral energy distributions of z = 8 galaxies from the IRAC ultra deep fields. Astrophys. J. 2013, 777, L19. [Google Scholar] [CrossRef]
- Chevallier, M.; Polarski, D. Accelerating universes with scaling dark matter. Int. J. Mod. Phys. 2001, D. 10, 213–224. [Google Scholar] [CrossRef]
- Wilkins S., M.; Trentham, N.; Hopkins A., M. The evolution of stellar mass and the implied star formation history. MNRAS 2008, 385, 687. [Google Scholar] [CrossRef]
- Driver, S.P.; et al. GAMA/G10-COSMOS/3D-HST: the 0 < z < 5 cosmic star formation history, stellar-mass, and dust-mass densities. MNRAS 2018, 475, 2891 (D18). [Google Scholar] [CrossRef]
- Koushan, S.; Driver, S.P.; et al. GAMA/DEVILS: constraining the cosmic star formation history from improved measurements of the 0.3–2.2 μ m extragalactic background light. MNRAS 2021, 503, 2033–2052. [Google Scholar] [CrossRef]
- Weinberg, S. The cosmological constant problem. Rev. Mod. Phys. 1989, 61, 1–23. [Google Scholar] [CrossRef]
- Benevento, G.; Hu, W.; Raven, M. Can late dark energy raise the Hubble constant? Phys. Rev. D 2020, 101, 103517-1-7. [Google Scholar] [CrossRef]
- Keeley, R.; Joudaki, S.; Kaplinghat, M.; Kirkby, D. Implications of a transition in the dark energy equation of state for the H0 and σ8 tensions. J. Cosmol. Astropart. Phys. 2019, 12, 035. [Google Scholar] [CrossRef]
- Peracaula, J.S.; Gomez-Valent, A.; De Cruz Perez, J.; Moreno-Pulido, C. Running vacuum against the H0 and σ8 tensions. Exploring the Frontiers of Physics 2021, 134, 19001. [Google Scholar] [CrossRef]
- McGaugh, S.S.; Lelli, F.; Schombert, J.M. The Radial Acceleration Relation in Rotationally Supported Galaxies. Phys. Rev. Lett. 2016, 117. 201101-1 to -6. [Google Scholar] [CrossRef]
- Lelli, F.; McGaugh, S.S.; Schombert, J.M.; Pawlowski, M.S. One Law to Rule them all: the Radial Acceleration relation of Galaxies. Astrophys. J. 2017, 836, 152. [Google Scholar] [CrossRef]




| ω0 | ωa | plot | |
| DES: BAO+SN+CMB | -0.67±0.10 | -1.37±0.50 | |
| DESI: BAO+CMB+Union3 | -0.64±0.10 | -1.27±0.37 | |
| DESI: BAO+CMB+DESY5 | -0.73±0.07 | -1.05±0.29 | |
| DESI: BAO+CMB+Pantheon plus | -0.83±0.06 | -0.75±0.27 | |
| Best CPL fit to SMD(a) with p=0.606 | -0.76 | -1.29 | |
| Best CPL fit to SMD(a) with p=0.461 | -0.81 | -0.99 |
| R2 | ||
| p=0.606 | p=0.461 | |
| IDE: best CPL fit ( highest R2 ) | 0.953 | 0.953 |
| DES: BAO+SN+CMB | 0.947 | 0.912 |
| DESI: BAO+CMB+Union3 | 0.904 | 0.947 |
| DESI: BAO+CMB+DESY5 | 0.866 | 0.94 |
| DESI: BAO+CMB+Pantheon plus | 0.76 | 0.874 |
| Required dark side property | IDE | ɅCDM | Scalar fields/ Quintessence |
MOND | |
|---|---|---|---|---|---|
| 1 | Account for present dark energy density |
YES, order of magnitude, ~1070 J | NO, not by many orders |
Only by much fine tuning |
---- |
| 2 | Consistent with ω0 – ωa experiment data |
YES, good agreement |
NO, >3σ disagreement | Not specific -1<ω<+1 |
---- |
| 3 | Resolve Cosmological constant problem |
YES, Ʌ → 0 |
NO | Only by much fine tuning |
---- |
| 4 | Resolve Cosmological coincidence problem |
YES, naturally |
NO | Only by much fine tuning |
---- |
| 5 | Resolve H0 and σ8 tensions |
YES, probably |
NO | NO | ---- |
| 6 | Account for size of dark matter attributed effects |
YES, order of magnitude | NO, DM not detected yet | ---- | YES, sometimes |
| 7 | Account for location of DM attributed effects |
YES, coincident with baryons |
NO, not coincident |
---- | YES, coincident with baryons |
Disclaimer/Publisher’s Note: The statements, opinions and data contained in all publications are solely those of the individual author(s) and contributor(s) and not of MDPI and/or the editor(s). MDPI and/or the editor(s) disclaim responsibility for any injury to people or property resulting from any ideas, methods, instructions or products referred to in the content. |
© 2025 by the authors. Licensee MDPI, Basel, Switzerland. This article is an open access article distributed under the terms and conditions of the Creative Commons Attribution (CC BY) license (http://creativecommons.org/licenses/by/4.0/).
