Submitted:
21 June 2025
Posted:
24 June 2025
You are already at the latest version
Abstract
Keywords:
1. Introduction
2. Materials and Methods
2.1. Plant and Nematode Materials
2.2. Total RNA Extraction
2.3. Cloning of the Full-Length CDS Sequence of the Chitin Synthase Gene
2.4. Sequence Alignment and Functional Analysis
2.5. Construction of the Gene Silencing Vector and Agrobacterium-Mediated Transformation of Tomato
2.6. Inoculation of T1 Generation Seedling with M. enterolobii
2.7. Histopathological Staining
2.8. Quantification of Pathological Parameters in Tomato 45 Days After Inoculation (dpi) with M. enterolobii
2.9. qRT-PCR Analysis of Chitin Synthase Gene Expression
2.10. Effect of Silencing the Chitin Synthase Gene on the M. enterolobii Transcriptome
3. Result
3.1. Cloning and Bioinformatics Analysis of the Chitin Synthase Gene
3.2. Construction of Gene Silencing Vectors
3.3. The Expression Levels of Chitin Synthase Genes After Gene Silencing
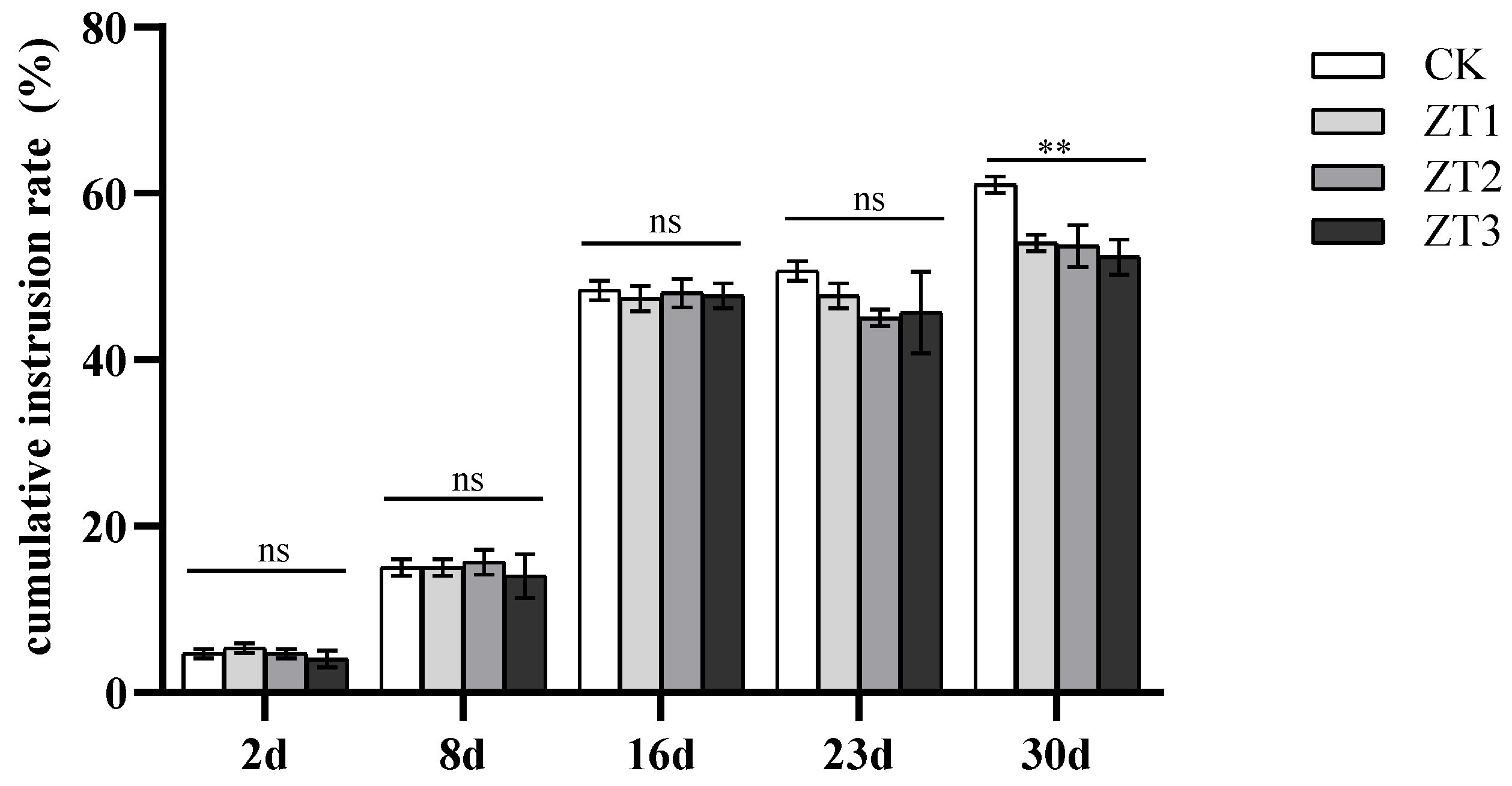
3.4. Impact of Me-chs-1 Silencing on Cumulative Infection Rate and Developmental Progression in M. enterolobii

3.5. Effects of Me-chs-1 Gene Silencing on the Pathogenicity of M. enterolobii
3.6. Differential Gene Expression and Functional Annotation
4. Discussion
5. Conclusions
Funding
Appendix 1. Full-Length Coding Sequence (CDS) of the Me-chs-1 Gene and Three Target Sequences for Silencing Vectors
Appendix 2. Primers for Vector Construction
| vector | Primers | Primer Sequence (5′-3′) |
| ZT1 | tatF+ | CAACTGGCATGAAACAAAAAATGAAATGACGC |
| tatF- | CAGGCAATTAAAACATCAAACAATAATTTGAAGTAATCATTGGGT | |
| tatR+ | GGGCCAATTAAAACATCAAACAATAATTTGAAGTAATCATTGGGT | |
| tatR- | CAACTGGCATGAAACAAAAAATGAAATGACGC | |
| ZT2 | tatF+ | CAACACACGTGTTCTTGTCAATACTCCTTA |
| tatF- | CAGGTGTAAGTATTGTCAGCTTGTAATTGACGATC | |
| tatR+ | GGGCTGTAAGTATTGTCAGCTTGTAATTGACGATC | |
| tatR- | TACAACACGTGTTCTTGTCAATACTCCTTA | |
| ZT3 | tatF+ | CAACACAATATTATGAATAAATACACAAAAACTGCTTC |
| tatF- | GGGCAGATGGCGTCCACCTTCG | |
| tatR+ | GGGCAGATGGCGTCCACCTTCG | |
| tatR- | TACAACAATATTATGAATAAATACACAAAAACTGCTTC | |
| LOOP | loop+ | CCTGCAGGTCTAGTTTTTCTC |
| loop- | GCCCGGGCTCTGTAACTAT |
References
- KARSSEN G. The plant parasitic nematode genus Meloidogyne Göldi, 1892 (Tylenchida) in Europe [M]. Brill, 2002.
- GOVERSE A, SMANT G. The activation and suppression of plant innate immunity by parasitic nematodes. Annual review of phytopathology, 2014, 52(1): 243-65. [CrossRef]
- JUNHAI N, YANGDONG G, HENG J. Progress in the Study of RNAi Mediated Plant Root-knot Nematodes Resistant Genetic Engineering. Genomics and Applied Biology, 2009, 28(1): 167-73.
- RUGANG C. Cloning and Identification of Root-Knot Nematode Resistance Genes in Tomato and Peppe [D]; Huazhong Agricultural University, 2006.
- XINDI W, YANQIU C, LEI C, et al. Research on the Control of Muskmelon Root-knot Nematodes by Returning Garlic Straw to the Field. China Fruit & Vegetable2024, 44(11): 67-70+82.
- DAOFENG D, LIFANG H, XIUHUI W. Rotation of resistant tomato and susceptible cucumber for control of root_knot nematode disease in greenhouses. Plant Protection, 2007, 33(1): 51-3.
- HANDOO Z, SKANTAR A, CARTA L, et al. Morphological and molecular characterization of a new root-knot nematode, Meloidogyne thailandica n. sp.(Nematoda: Meloidogynidae), parasitizing ginger (Zingiber sp.). Journal of Nematology, 2005, 37(3): 343.
- QING W, SONG L, FENGCHENG S, et al. A Preliminary Study on Reduced Resistibility of Tobacco Plants to Black Shank Fungus Caused by Root Knot Nematodes. Acta Agriculturae Boreali-Sinica, 1988, 3(2): 76-80. [CrossRef]
- LIANGHONG. C. Distribution and Identification of Root-Knot Nematodes in China. Modern Agricultural Science and Technology, 2024, (06): 58-61.
- CHANG L. Biological ControI of Vegetable Root—Knot Nematode . Anhui Agri.sci., 2009, 15(17): 137-9.
- HU YUJIN, FENG MIN, GUO WENXIU, et al. Overview of Integrated Control Techniques of Root-Knot Nematode Disease. Shandong Academy of Agricultural Sciences, 2019, 51(4): 149-56.
- JONES J T, HAEGEMAN A, DANCHIN E G, et al. Top 10 plant-parasitic nematodes in molecular plant pathology. Molecular plant pathology, 2013, 14(9): 946-61. [CrossRef]
- YANG B, EISENBACK J. Meloidogyne enterolobii n. sp.(Meloidogynidae), a root-knot nematode parasitizing pacara earpod tree in China. Journal of Nematology, 1983, 15(3): 381.
- WANG Y, WANG X Q, XIE Y, et al. First Report of Meloidogyne enterolobii on Hot Pepper in China. Plant Disease, 2015, 99(4): 557-. [CrossRef]
- SONG P, PENG D-L, LI Y-M, et al. Potential global distribution of the guava root-knot nematode Meloidogyne enterolobii under different climate change scenarios using MaxEnt ecological niche modeling. Journal of Integrative Agriculture, 2023, 22(7): 2138-50. [CrossRef]
- CHEN HUI, WANG HUIFANG, MIANCAI C. Research Progress of Meloidogyne enterolobii. GuiZhou Agricultural Science, 2016, 44(05): 51-5.
- BRITO J, STANLEY J, KAUR R, et al. Effects of the Mi-1, N and Tabasco genes on infection and reproduction of Meloidogyne mayaguensis on tomato and pepper genotypes. Journal of Nematology, 2007, 39(4): 327.
- KIEWNICK S, DESSIMOZ M, FRANCK L. Effects of the Mi-1 and the N root-knot nematode-resistance gene on infection and reproduction of Meloidogyne enterolobii on tomato and pepper cultivars. Journal of nematology, 2009, 41(2): 134.
- YE W, KOENNING S, ZHUO K, et al. First report of Meloidogyne enterolobii on cotton and soybean in North Carolina, United States. Plant Disease, 2013, 97(9): 1262-. [CrossRef]
- BERTHOU F, KOUASSI A, BOSSIS M, et al. Enhancing the resistance of the potato to southern root-knot nematodes by using Solanum sparsipilum germplasm. Euphytica, 2003, 132: 57-65. [CrossRef]
- ZHANG HUAIJUN, ZHAO ZHIXIANG, MIANCAI C. The effects of Meloidogyne enterolobii on the growth of seven tomato varieties. Hainan Academy of Agricultural Sciences, 2015, 36(4): 87-90.
- XUE-LIANG X, LIN-JUAN F, CAI-YUN W, et al. Main action mechanism of biocontrol microorganisms on plant pathogenic nematodes:A review. Journal of Southern Agriculture, 2023, 54(10): 2969-77.
- MITCHUM M G, HUSSEY R S, BAUM T J, et al. Nematode effector proteins: an emerging paradigm of parasitism. New Phytologist, 2013, 199(4): 879-94. [CrossRef]
- HEWEZI T, BAUM T J. Manipulation of plant cells by cyst and root-knot nematode effectors. Molecular plant-microbe Interactions, 2013, 26(1): 9-16.
- ZHANG Y, FOSTER J M, NELSON L S, et al. The chitin synthase genes chs-1 and chs-2 are essential for C. elegans development and responsible for chitin deposition in the eggshell and pharynx, respectively. Developmental biology, 2005, 285(2): 330-9. [CrossRef]
- MERZENDORFER H. Insect chitin synthases: a review . Journal of Comparative Physiology B, 2006, 176(1): 1-15.
- BIRD A F, MCCLURE M. The tylenchid (Nematoda) egg shell: structure, composition and permeability. Parasitology, 1976, 72(1): 19-28.
- BRYDON L, GOODAY G, CHAPPELL L, et al. Chitin in egg shells of Onchocerca gibsoni and Onchocerca volvulus. Molecular and biochemical parasitology, 1987, 25(3): 267-72. [CrossRef]
- MANSFIELD L, GAMBLE H, FETTERER R. Characterization of the eggshell of Haemonchus contortus--I. Structural components. Comparative Biochemistry and Physiology B, Comparative Biochemistry, 1992, 103(3): 681-6.
- EL HADRAMI A, ADAM L R, EL HADRAMI I, et al. Chitosan in plant protection. Marine drugs, 2010, 8(4): 968-87. [CrossRef]
- TANG B, WEI P, ZHAO L, et al. Knockdown of five trehalase genes using RNA interference regulates the gene expression of the chitin biosynthesis pathway in Tribolium castaneum. BMC biotechnology, 2016, 16(1): 1-14. [CrossRef]
- MANI V, REDDY C S, LEE S-K, et al. Chitin biosynthesis inhibition of Meloidogyne incognita by RNAi-mediated gene silencing increases resistance to transgenic tobacco plants. International Journal of Molecular Sciences, 2020, 21(18): 6626. [CrossRef]
- KONG L, SHI X, CHEN D, et al. Host-induced silencing of a nematode chitin synthase gene enhances resistance of soybeans to both pathogenic Heterodera glycines and Fusarium oxysporum. Plant Biotechnology Journal, 2022, 20(5): 809. [CrossRef]
- XIRUI1 Y, ZEWEN G, YING D, et al. Preliminary functional analysis of T106 gene specifically induced by Meloidogyne enterolobii in root-knot in tomato plants. ACTA PHYTOPATHOLOGICA SINICA, 2024, 54(05): 950-60.
- BYBD JR, DW KIRKPATRICK, T BARKER, et al. An improved technique for clearing and staining plant tissues for detection of nematodes. Journal of nematology, 1983, 15(1): 142.
- BAULCOMBE D C. RNA as a target and an initiator of post-transcriptional gene silencing in trangenic plants . Post-transcriptional control of gene expression in plants, 1996: 79-88. [CrossRef]
- FIRE A, XU S, MONTGOMERY M K, et al. Potent and specific genetic interference by double-stranded RNA in Caenorhabditis elegans. nature, 1998, 391(6669): 806-11. [CrossRef]
- DUTTA T K, BANAKAR P, RAO U. The status of RNAi-based transgenic research in plant nematology. Frontiers in Microbiology, 2015, 5: 760. [CrossRef]
- BHARATHI J K, ANANDAN R, BENJAMIN L K, et al. Recent trends and advances of RNA interference (RNAi) to improve agricultural crops and enhance their resilience to biotic and abiotic stresses. Plant Physiology and Biochemistry, 2023, 194: 600-18. [CrossRef]
- MANN S K, KASHYAP P L, SANGHERA G S, et al. RNA interference: an eco-friendly tool for plant disease management. Transgenic Plant J, 2008, 2(2): 110-26.
- LIE D-C, COLAMARINO S A, SONG H-J, et al. Wnt signalling regulates adult hippocampal neurogenesis. Nature, 2005, 437(7063): 1370-5. [CrossRef]
- NUSSE R, VARMUS H E. Wnt genes. Cell, 1992, 69(7): 1073-87.
- CHEN W, CAO P, LIU Y, et al. Structural basis for directional chitin biosynthesis. Nature, 2022, 610(7931): 402-8. [CrossRef]
- LI YING, CUI ZINING, HU JUN, et al. Studies on Chitin Synthase Inhibitors. Progress in chemistry, 2007, (04): 535-43.
- MINFENG W. Mechanism of Action and Applications of Benzoylurea Insecticides . Forest By-Products of China, 2023, (06): 89-91.







| Root galling percentage | Root galling index | Gall number |
Egg mass number | Eggs per mass | Total egg count | |
|---|---|---|---|---|---|---|
| CK | 46.02% | 3 | 67±7.41a | 17±5.31a | 402±18.98a | 5940±136.8a |
| ZT1 | 35.13% | 3 | 32±7.36b | 11±4.19ab | 236±36.5b | 1260±146.9b |
| ZT2 | 34.77% | 3 | 19±4.55b | 8±4.99ab | 209±42.21bc | 1320±213.4b |
| ZT3 | 30.72% | 3 | 16±7.26b | 3±1.25b | 151±36.55c | 1027±224.5b |
Disclaimer/Publisher’s Note: The statements, opinions and data contained in all publications are solely those of the individual author(s) and contributor(s) and not of MDPI and/or the editor(s). MDPI and/or the editor(s) disclaim responsibility for any injury to people or property resulting from any ideas, methods, instructions or products referred to in the content. |
© 2025 by the authors. Licensee MDPI, Basel, Switzerland. This article is an open access article distributed under the terms and conditions of the Creative Commons Attribution (CC BY) license (http://creativecommons.org/licenses/by/4.0/).