Submitted:
21 June 2025
Posted:
24 June 2025
You are already at the latest version
Abstract
Keywords:
1. Introduction
2. Methods
2.1. Overall Technical Roadmap
2.2. Sonar Search Performance Modeling Considering Wind Fields
2.2.1. Noise Level
2.2.2. Transmission Loss
2.3. Sixteen-Azimuth Path Planning Model
2.3.1. Discretized Azimuths
2.3.2. Inverse Distance Weighting (IDW) Interpolation
2.4. Path Optimization Based on GA
2.4.1. Objective Function and Constraints
2.4.2. Initial Population Creation
2.4.3. Fitness Calculation
2.4.4. Selection, Crossover and Mutation
2.4.5. Termination Condition Judgment
3. Results
3.1. Experimental Data and Areas
3.2. Sonar Search Performance
3.3. Path Planning Results
4. Discussion
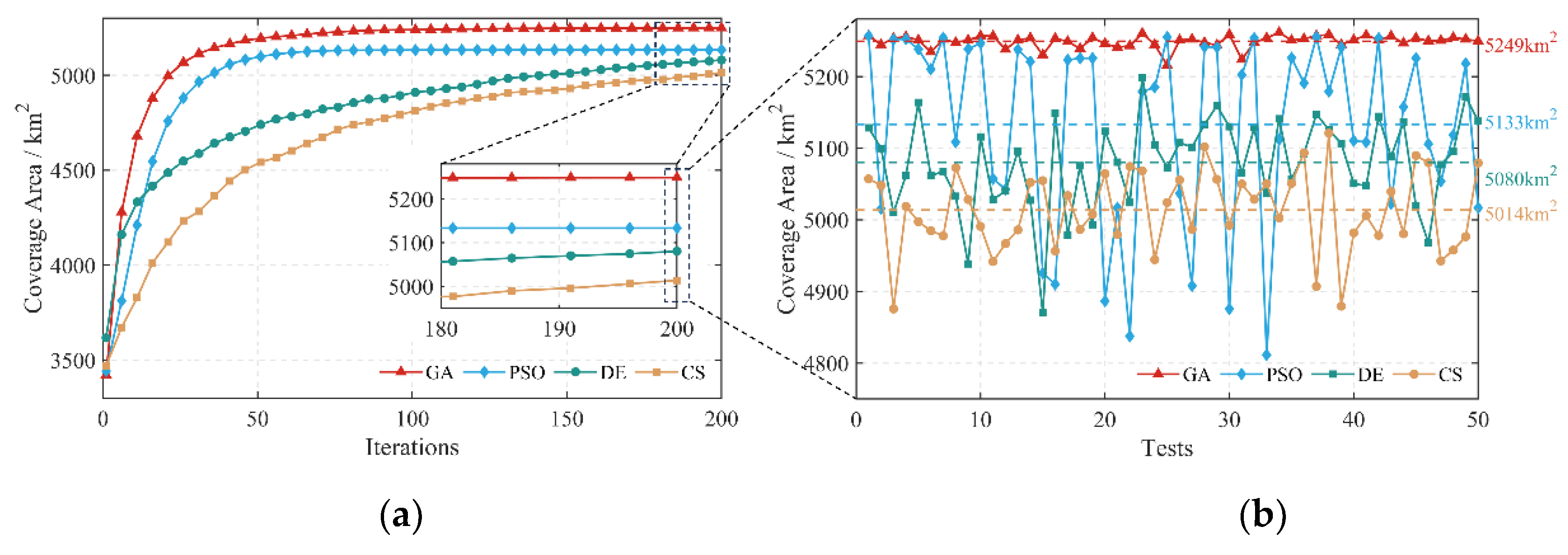
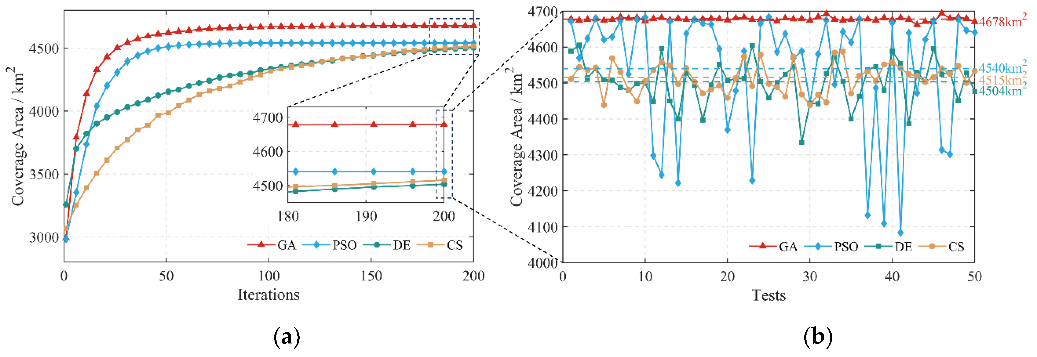
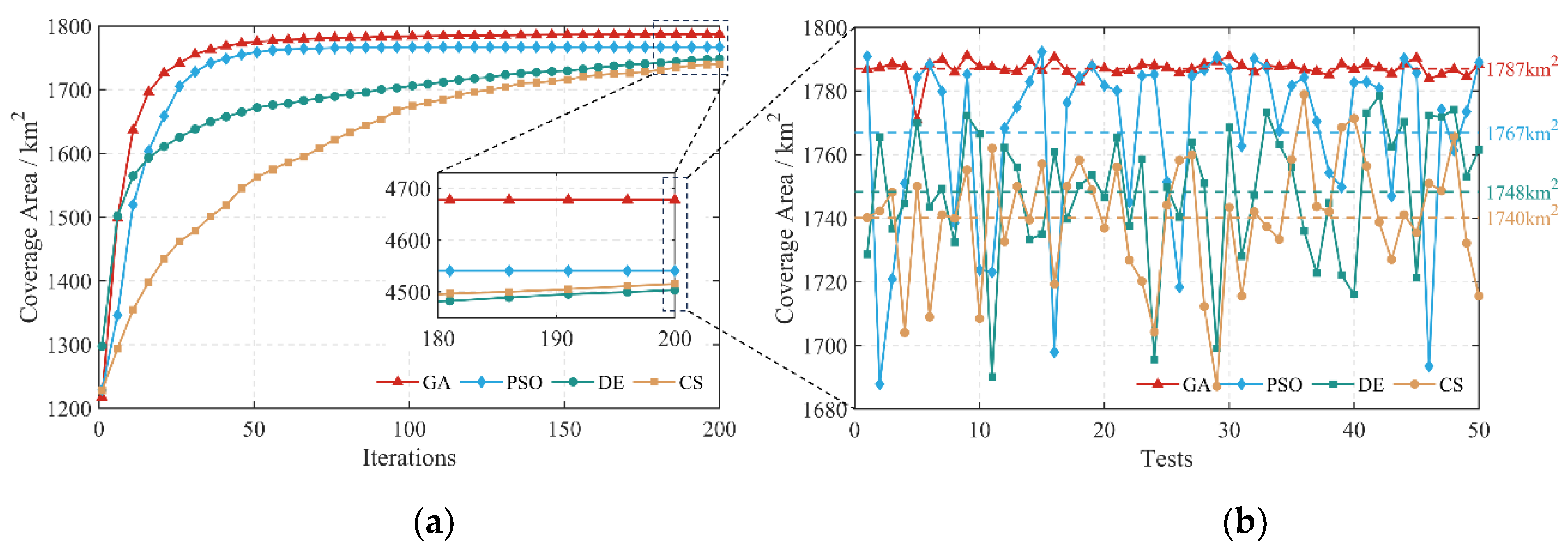
4.1. Convergence Curves and Optimization Effects
4.2. Optimization Time
4.3. Performance Analysis
5. Conclusions
- The dynamic changes of the acoustic environment driven by sea surface wind fields are first incorporated into the underwater target search path planning model, revealing the quantitative influence mechanism of wind-generated noise on the active sonar search distance;
- A sixteen-azimuth path planning model is proposed and optimized by GA, addressing the problem of maximizing the search range of surface search vessels in complex marine environments;
- Path planning based on in-situ marine data provides a highly adaptive path planning tool for underwater target search tasks, which is of engineering significance for improving underwater target search efficiency.
Author Contributions
Funding
Data Availability Statement
Acknowledgments
Conflicts of Interest
References
- Wang, Y.; Liu, W.; Liu, J. Cooperative USV-UAV marine search and rescue with visual navigation and reinforcement learning-based control. ISA Trans. 2023, 137, 222–235. [Google Scholar] [CrossRef] [PubMed]
- Wu, Y.; Low, K.H.; Lv, C. Cooperative Path Planning for Heterogeneous Unmanned Vehicles in a Search-and-Track Mission Aiming at an Underwater Target. IEEE Trans. Veh. Technol. 2020, 69, 6782–6787. [Google Scholar] [CrossRef]
- Niu, Y.L.; Mu, Y.; Zhang, K.; Zhang, J.J.; Yang, H.H.; Wang, Y.M. Path planning and search effectiveness of USV based on underwater target scattering model. J. Phys. Conf. Ser. 2023, 2478, 102035. [Google Scholar] [CrossRef]
- Li, Y.; Huang, Y.; Zou, Z.; Yu, Q.; Zhang, Z.; Sun, Q. Multi-AUV underwater static target search method based on consensus-based bundle algorithm and improved Glasius bio-inspired neural network. Inf. Sci. 2024, 673, 120684. [Google Scholar] [CrossRef]
- Bai, Z.; Pang, H.; He, Z.; Zhao, B.; Wang, T. Path Planning of Autonomous Mobile Robot in Comprehensive Unknown Environment Using Deep Reinforcement Learning. IEEE Internet Things J. 2024, 11, 22153–22166. [Google Scholar] [CrossRef]
- Qian, L.; Li, H.; Wang, H.; Hong, M.; Han, J. Underwater target search and placement strategies based on an improved hidden Markov model. Sci. Sin. Technol. 2025, 55, 520–539. [Google Scholar] [CrossRef]
- Cao, Z.; Fan, H.; Hu, X.; Chen, Y.; Kang, S. Complete Coverage Search for Multiple Autonomous Underwater Vehicles Based on Neuronal Activity Reassignment. IEEE Trans. Intell. Transp. Syst. 2025, 1–18. [Google Scholar] [CrossRef]
- Qi, B.; Li, Y.; Miao, H.; Chen, J.; Li, C. Research on Path Planning Method for Autonomous Underwater Vehicles Based on Improved Informed RRT. Xitong Fangzhen Xuebao / Journal of System Simulation 2025, 37, 245–256. [Google Scholar] [CrossRef]
- Yu, F.; Shang, H.; Zhu, Q.; Zhang, H.; Chen, Y. An efficient RRT-based motion planning algorithm for autonomous underwater vehicles under cylindrical sampling constraints. Auton. Robots 2023, 47, 281–297. [Google Scholar] [CrossRef]
- Gao, F.; Xu, F.; Li, Z.; Qin, J.; Zhang, Q. Acoustic propagation uncertainty in internal wave environments using an ocean-acoustic joint model. Chin. Phys. B 2023, 32, 34302. [Google Scholar] [CrossRef]
- Pierre-Antoine Dumont, F.A.Y.S. Modelling acoustic propagation in realistic ocean through a time-domain environment-resolving ocean model. The Journal of the Acoustical Society of America 2024, 156, 4099–4115. [Google Scholar] [CrossRef] [PubMed]
- Zheng, L.; Hu, T.; Zhu, J. Underwater Sonar Target Detection Based on Improved ScEMA-YOLOv8. IEEE Geosci. Remote Sens. Lett. 2024, 21, 1–5. [Google Scholar] [CrossRef]
- Liao, S.; Xiao, W.; Wang, Y. Optimization of route planning based on active towed array sonar for underwater search and rescue. Ocean Eng. 2025, 330, 121249. [Google Scholar] [CrossRef]
- Liu, B.; Huang, Y.; Chen, W. Principles of Underwater Acoustic, 3rd ed.; Science Press: Beijing, China, 2019; pp. 268–272. ISBN 978-7-03-063011-7. [Google Scholar]
- Wenz, G.M. Acoustic ambient noise in the ocean : speactra and source. J. Acoust. Soc. Am. 1962, 34, 1936–1956. [Google Scholar] [CrossRef]
- Hildebrand, J.A.; Frasier, K.E.; Baumann-Pickering, S.; Wiggins, S.M. An empirical model for wind-generated ocean noise. J. Acoust. Soc. Am. 2021, 149, 4516–4533. [Google Scholar] [CrossRef]
- Stockhausen, J.H. Measurement and modeling of the vertical directionality of wind-generated ocean ambient noise. J. Acoust. Soc. Am. 1981, 70, S65. [Google Scholar] [CrossRef]
- Yang, W.; Dongge, J.; Zhenglin, L.; Zhaohui, P.; Qingyu, L. Characterization and source level modeling revision of thewind-generated ambient noise in South China Sea. Chinese Journal of Acoustics 2020, 45, 655–663. [Google Scholar] [CrossRef]
- Abbas, A.A.M.; Mohideen, K.M.S.; Narayanaswamy, V. A passive sonar based underwater acoustic channel model for improved search and rescue operations in deep sea. International Journal of Electrical and Computer Engineering 2024, 14, 6148–6159. [Google Scholar] [CrossRef]
- Yu, C.; Gao, W.; Li, S.; Ge, Q. Detection model construction and performance analysis for target search and rescue via autonomous underwater vehicles. Kongzhi Yu Juece/Control and Decision 2025, 40, 170–179. [Google Scholar] [CrossRef]
- Freitas, E.B.A.; Albergamo, A.; Leite, M.; Leston, S.; Di Bella, G. Proceedings of the 1st International Conference - BeSafeBeeHoney (BEekeeping Products Valorization and Biomonitoring for the SAFEty of BEEs and HONEY). Bee World 2024, 101, 82–108. [Google Scholar] [CrossRef]
- Walkinshaw, H.M. Low-Frequency Spectrum of Deep Ocean Ambient Noise. J. Acoust. Soc. Am. 1960, 32, 1497. [Google Scholar] [CrossRef]
- Brown, M.G. A directional spectrum evolution model for wind-generated ocean noise. The Journal of the Acoustical So-ciety of America 2025, 157, 3245–3255. [Google Scholar] [CrossRef] [PubMed]
- Liao, S.; Xiao, W.; Wang, Y. Dynamic hybrid parallel computing of the Ray Model for solving underwater acoustic fields in vast sea. Sci. Rep. 2024, 14, 25385. [Google Scholar] [CrossRef] [PubMed]
- Oliveira, T.C.A.; Lin, Y.; Porter, M.B. Underwater Sound Propagation Modeling in a Complex Shallow Water Environment. Front. Mar. Sci. 2021, 8. [Google Scholar] [CrossRef]
- Frye, H.W.; Pugh, J.D. A New Equation for the Speed of Sound in Seawater. J. Acoust. Soc. Am. 1971, 50, 384–386. [Google Scholar] [CrossRef]
- Zhang, H.Z.H.; Lin, W.L.W.; Chen, A.C.A. Path Planning for the Mobile Robot: A Review. Symmetry-Basel 2018, 10, 450. [Google Scholar] [CrossRef]
- Yuhang, R.; Liang, Z. An adaptive evolutionary multi-objective estimation of distribution algorithm and its application to Multi-UAV path planning. IEEE Access 2023, 11, 1. [Google Scholar] [CrossRef]
- Harman, B.I.; Koseoglu, H.; Yigit, C.O.C.G. Performance evaluation of IDW, Kriging and multiquadric interpolation methods in producing noise mapping: A case study at the city of Isparta, Turkey. Appl. Acoust. 2016, 112, 147–157. [Google Scholar] [CrossRef]
- Nuo, L.; Xuanzhen, C.; Wei, L. Research on the Best Working Depth for Active Sonar in Shallow Sea. Audio Engineering 2023, 47, 38–41. [Google Scholar] [CrossRef]
- Lan, T.; Wang, Y.; Qiu, L.; Liu, G. Array shape estimation based on tug vehicle noise for towed linear array sonar during turning. Ocean Eng. 2024, 303, 117554. [Google Scholar] [CrossRef]














| Mission sea areas | GA | PSO | DE | CS |
| Sea area 1 | 70.05 | 61.26 | 148.11 | 152.36 |
| Sea area 2 | 66.70 | 68.64 | 178.84 | 198.97 |
| Sea area 3 | 65.92 | 66.73 | 123.08 | 127.46 |
| Mission sea areas | g | GA | PSO | DE | CS |
| Sea area 1 | 65% | 0.381 | 0.332 | 0.791 | 0.923 |
| 70% | 1.011 | 0.717 | 1.596 | 6.463 | |
| 75% | 1.341 | 1.063 | 3.192 | 12.948 | |
| 80% | 2.020 | 1.496 | 5.606 | 23.211 | |
| 85% | 3.042 | 2.196 | 16.401 | 40.134 | |
| 90% | 4.066 | 3.506 | 42.791 | 73.360 | |
| 95% | 7.177 | 6.817 | 118.733 | 178.301 | |
| Sea area 2 | 65% | 0.663 | 0.709 | 0.834 | 0.978 |
| 70% | 0.971 | 0.957 | 1.686 | 6.791 | |
| 75% | 1.290 | 1.409 | 3.394 | 16.549 | |
| 80% | 1.933 | 1.941 | 6.844 | 28.172 | |
| 85% | 2.916 | 2.786 | 22.163 | 46.098 | |
| 90% | 4.222 | 4.375 | 57.741 | 82.462 | |
| 95% | 7.517 | 9.172 | 146.598 | 154.811 | |
| Sea area 3 | 65% | 0.359 | 0.364 | 0.639 | 0.658 |
| 70% | 0.663 | 0.689 | 0.639 | 2.606 | |
| 75% | 0.969 | 0.812 | 1.287 | 6.529 | |
| 80% | 1.599 | 1.377 | 2.572 | 13.767 | |
| 85% | 2.234 | 1.713 | 4.550 | 27.078 | |
| 90% | 3.216 | 2.953 | 14.247 | 48.200 | |
| 95% | 5.507 | 5.374 | 65.999 | 84.462 |
Disclaimer/Publisher’s Note: The statements, opinions and data contained in all publications are solely those of the individual author(s) and contributor(s) and not of MDPI and/or the editor(s). MDPI and/or the editor(s) disclaim responsibility for any injury to people or property resulting from any ideas, methods, instructions or products referred to in the content. |
© 2025 by the authors. Licensee MDPI, Basel, Switzerland. This article is an open access article distributed under the terms and conditions of the Creative Commons Attribution (CC BY) license (http://creativecommons.org/licenses/by/4.0/).