Submitted:
16 June 2025
Posted:
17 June 2025
You are already at the latest version
Abstract
Keywords:
1. Introduction
2. Materials and Methods
2.1. Overview of the Experimental Site
2.2. Experimental Design

2.3. Measured Parameters
2.3.1. Photosynthetic Parameters Measurement
2.3.2. Leaf Area Index (LAI) Measurement
2.3.3. Yield Measurement
2.3.4. Land Equivalent Ratio (LER)
2.3.5. Yield Advantage
2.4. Data Analysis
3. Results
3.1. The Effect of Jujube-Cotton Intercropping on Cotton Leaf Area Index

3.2. The Effect of Jujube-Cotton Intercropping on Cotton Net Photosynthetic Rate

3.3. The Effect of Jujube-Cotton Intercropping on Cotton Stomatal Conductance

3.4. The Effect of Jujube-Cotton Intercropping on Cotton Intercellular CO2 Concentration

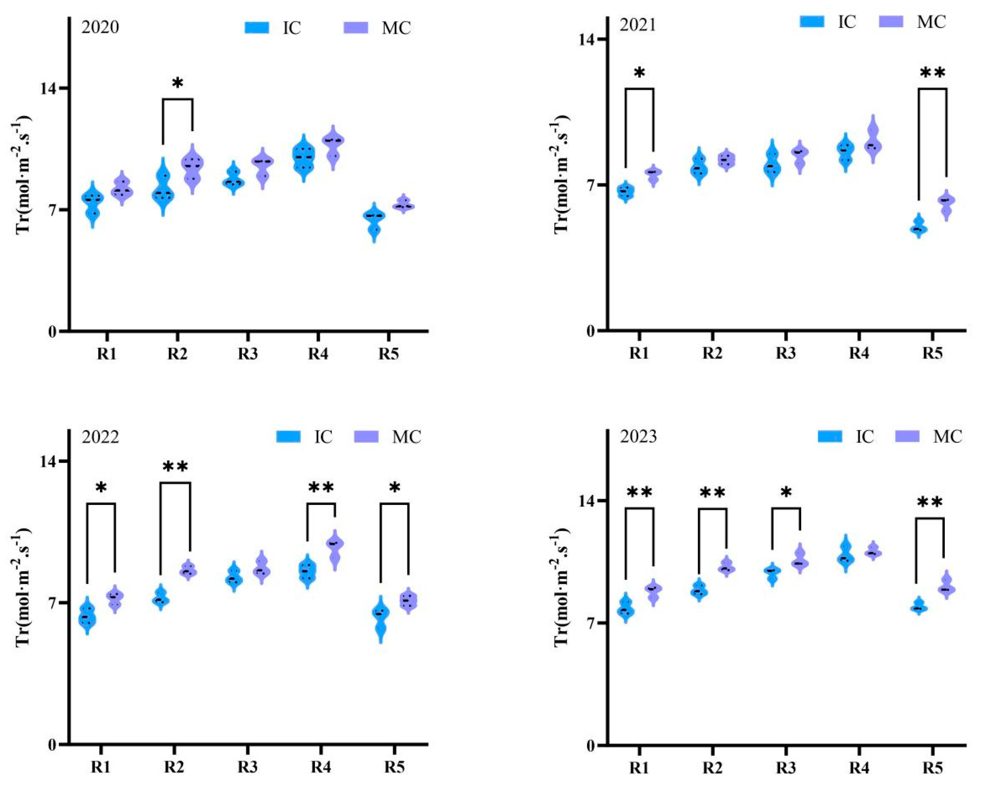
3.5. The Effect of Jujube-Cotton Intercropping on Cotton Transpiration Rate

3.6. The Effect of Jujube-Cotton Intercropping on Crop Yield and Land Equivalent Ratio
3.7. Economic Benefit Comparison of Different Planting Systems in Different Years
3.8. Correlation Analysis Between Cotton Yield and Photosynthetic Characteristics

4. Discussion
4.1. Impact on Cotton Yield Efficiency
| Year | Croppingpatterns | Cotton (kg/hm2) |
Jujube (kg/hm2) |
Total (kg/hm2) |
LER |
|---|---|---|---|---|---|
| 2020 | IC | 3451.3±194.9 b | 3235.1±167.8 b | 6686.4±352.1 b | 1.28±0.01 b |
| MJ | 5469.3±244.8 a | - | - | - | |
| MC | - | 4972.8±237.9 a | - | - | |
| 2021 | IC | 3338.5±155.6 b | 4110.3±156.8 b | 7448.8±309.6 a | 1.39±0.02 a |
| MJ | 5658.4±402.4 a | - | - | - | |
| MC | - | 5164.6±145.4 a | - | - | |
| 2022 | IC | 3301.5±270.2 b | 3125.1±202.8 b | 6426.6±463.8 c | 1.28±0.04 b |
| MJ | 5268.2±247.8 a | - | - | - | |
| MC | - | 4751.9±188.3 a | - | - | |
| 2023 | IC | 3641.2±169.6 b | 4132.1±200.3 b | 7773.3±368.9 a | 1.37±0.04 a |
| MJ | 5865.0±454.3 a | - | - | - | |
| MC | - | 5274.7±360.8 a | - | - | |
| F-value | C | ** | ** | ** | ** |
| Year | * | * | * | * | |
| C*Year | ** | ** | ** | ** |
| Year | Cropping patterns |
Total Income (Yuan/ha) |
Cost (Yuan/ha) |
net receipt (Yuan/ha) |
Yield·Advantage Percentage(%) |
|---|---|---|---|---|---|
| 2020 | IC | 46045.50 | 26844.99 | 19200.51 | 41.70 |
| MC | 37081.85 | 21372.04 | 15709.81 | 42.37 | |
| MJ | 34809.60 | 16152.68 | 18656.92 | 53.60 | |
| 2021 | IC | 54632.73 | 29952.31 | 24680.42 | 45.18 |
| MC | 36864.48 | 21679.3 | 15185.18 | 41.19 | |
| MJ | 41316.80 | 24671.21 | 16645.59 | 40.29 | |
| 2022 | IC | 40259.87 | 25877.67 | 14382.2 | 35.72 |
| MC | 34322.32 | 22230.24 | 12092.08 | 35.23 | |
| MJ | 28511.40 | 24479.31 | 4032.09 | 14.14 | |
| 2023 | IC | 67109.47 | 33999.54 | 33109.93 | 49.34 |
| MC | 38,210.48 | 21632.11 | 16578.37 | 43.39 | |
| MJ | 55,384.35 | 24731.14 | 30653.21 | 55.35 |
4.2. Relationship Between Photosynthetic Characteristics and Yield
5. Conclusions
Author Contributions
Funding
Data Availability Statement
Conflicts of Interest
References
- Wang, X.Y; Lei, S.; Liu, T.T.; Wei, W.W.; Zhang, S.; Li, L.H.; Zhang, W. Microclimate, yield, and income of a jujube–cotton agroforestry system in Xinjiang, China. Industrial Crops and Products 2022, 182, 114941. [Google Scholar] [CrossRef]
- Zhao, X.F.; Zhu, A.L.; Liu, X.H.; Li, H.Y.; Tao, H.Y.; Guo, X.X.; Liu, J.F. Current status, challenges, and opportunities for sustainable crop production in Xinjiang. iScience 2025, 28, 112114. [Google Scholar] [CrossRef] [PubMed]
- Li, X.R.; Yang, C.H.; Zhang, H.R.; Wang, P.P.; Tang, J.; Tian, Y.Q.; Zhang, Q. Identification of Abandoned Jujube Fields Using Multi-Temporal High-Resolution Imagery and Machine Learning. Remote Sensing 2021, 13, 801. [Google Scholar] [CrossRef]
- Li, L.S.; Zhao, L.L.; Ge, J.K.; Li, H.G.; Yang, P.W. Age- and Drought-Related Variation in Plant-Available Water of Rain-Fed Jujube Orchards on the Loess Plateau of China. Sustainability 2022, 14, 10998. [Google Scholar] [CrossRef]
- Li, N.; Lin, H.; Wang, T.X.; Li, Y.; Liu, Y.; Chen, X.G.; Hu, X.T. Impact of climate change on cotton growth and yields in Xinjiang, China. Field Crops Research 2020, 247, 107590. [Google Scholar] [CrossRef]
- Xi, H.; Shen, J.L.; Qu, Z.; Yang, D.Y.; Liu, S.M.; Nie, X.H.; Zhu, L.F. Effects of Long-term Cotton Continuous Cropping on Soil Microbiome. Scientific Reports 2019, 9, 18297. [Google Scholar] [CrossRef]
- Zhang, W.; Wang, B.J.; Gan, Y.W.; Duan, X.D.; Xu, W.L.; Li, L.H. Competitive interaction in jujube tree/cotton agroforestry system in Xinjiang province, northwestern China. Agroforestry Systems 2019, 93, 591–605. [Google Scholar] [CrossRef]
- Wang, J.B.; Chen, G.D.; Wang, P.J.; Cui, Z.J.; Wan, S.M.; Zhai, Y.L.; Li, T.T.; Zhao, Y.R. Optimizing Cotton Row Configuration in Jujube–Cotton Intercropping Systems Improves Their Productivity, Net Effects, and Sustainability. Agronomy 2024, 14, 1216. [Google Scholar] [CrossRef]
- Cao, N.; Chen, G.D.; Wang, S.; Li, H.Q.; Lin, J.; Hu, Q.; Wan, S.M. Optimizing plant density and nitrogen fertilization in jujube/cotton intercropping systems for sustainable yield and reduced greenhouse gas emissions. Field Crops Research 2025, 326, 109873. [Google Scholar] [CrossRef]
- Ai, P.G.; Ma, Y.J.; Hai, Y. Jujube is at a competitiveness disadvantage to cotton in intercropped system. Agronomy Journal 2021. [CrossRef]
- Li, T.T.; Wang, P.J.; Li, Y.F.; Li, L.; Kong, R.Y.; Fan, W.X.; Yin, W.; Fan, Z.L.; Wu, Q.Z.; Zhai, Y.L.; Chen, G.D.; Wan, S.M. Effects of Configuration Mode on the Light-Response Characteristics and Dry Matter Accumulation of Cotton under Jujube–Cotton Intercropping. Applied Sciences 2023, 13, 2427. [Google Scholar] [CrossRef]
- TjeerdJan Stomph, Dordas Christos, Baranger Alain, et al. Chapter One - Designing intercrops for high yield, yield stability and efficient use of resources: Are there principles? Academic Press 2020, 1–50. [Google Scholar]
- Ai, P.R.; Ma, Y.J.; Hai, Y. Influence of jujube/cotton intercropping on soil temperature and crop evapotranspiration in an arid area. Agricultural Water Management 2021, 256, 107118. [Google Scholar] [CrossRef]
- Yao, H.S.; Zhang, Y.L.; Yi, X.P.; Zou, W.Q.; Lei, Z.Y.; Sui, L.L.; Zhang, W.F. Characters in light-response curves of canopy photosynthetic use efficiency of light and N in responses to plant density in field-grown cotton. Field Crops Research 2017, 203, 192–200. [Google Scholar] [CrossRef]
- Zhai, M.H.; Wei, X.W.; Pan, Z.L.; Xu, Q.Q.; Qin, D.L.; Li, J.H.; Zhang, J.; Wang, L.Z.; Wang, K.F.; Duan, X.Y.; Zhang, Y.P.; et al. Optimizing plant density and canopy structure to improve light use efficiency and cotton productivity: Two years of field evidence from two locations. Industrial Crops and Products 2024, 222, 119946. [Google Scholar] [CrossRef]
- Pandey, S.; Kumar, S.; Nagar, P.K. Photosynthetic Performance of Ginkgo biloba L. Grown Under High and Low Irradiance. Photosynthetica 2003, 41, 505–511. [Google Scholar] [CrossRef]
- Mao, L.L.; Zhang, L.Z.; Zhao, X.H.; Liu, S.D.; van der Werf, W.; Zhang, S.P.; Huub, Spiertz.; Li, Z.H. Crop growth, light utilization and yield of relay intercropped cotton as affected by plant density and a plant growth regulator. Field Crops Research 2014, 155, 67–76. [Google Scholar] [CrossRef]
- Wang, H.D.; Wu, L.F.; Wang, X.K.; Zhang, S.H.; Cheng, M.H.; Feng, H.; Fan, J.L.; Zhang, F.C.; Xiang, Y.Z. Optimization of water and fertilizer management improves yield, water, nitrogen, phosphorus and potassium uptake and use efficiency of cotton under drip fertigation. Agricultural Water Management 2021, 245, 106662. [Google Scholar] [CrossRef]
- MAO, L.L.; Zhang, L.Z.; Zhang, S.P.; Evers, J.B.; van der Werf, W.; Wang, J.J.; Sun, H.Q.; Su, Z.C.; Spiertz, H. Resource use efficiency, ecological intensification and sustainability of intercropping systems. Journal of Integrative Agriculture 2015, 14, 1542–1550. [Google Scholar] [CrossRef]
- Muhammad-Ali Raza.; Feng, L.Y.; van der Werf Wopke.; Nasir Iqbal.; Muhammad Hayder Bin Khalid.; Yuan Kai Chen.; et al. Maize leaf-removal: A new agronomic approach to increase dry matter, flower number and seed-yield of soybean in maize soybean relay intercropping system. Scientific Reports 2019, 9, 13453.
- Yao, H.S.; Zhang, Y.L.; Yi, X.P.; Zhang, X.J.; Zhang, W.F. Cotton responds to different plant population densities by adjusting specific leaf area to optimize canopy photosynthetic use efficiency of light and nitrogen. Field Crops Research 2016, 188, 10–16. [Google Scholar] [CrossRef]
- Zhang, L.; van der Werf, W.; Bastiaans, L.; Zhang c, S.; Li a,B.; Spiertz, J.H.J.. Light interception and utilization in relay intercrops of wheat and cotton. Field Crops Research 2008, 107, 29–42. [CrossRef]
- Chen, Y.F.; Zhang, Z.S.; Wang, X.J.; Sun, S.; Zhang, Y.T.; Wang, S.; Yang, M.F.; Ji, F.; Ji, C.N.; Xiang, D.; Zha, T.S.; Zhang, L.H. Sap velocity, transpiration and water use efficiency of drip-irrigated cotton in response to chemical topping and row spacing. Agricultural Water Management 2022, 267, 107611. [Google Scholar] [CrossRef]
- Wang, X.J.; Cao, B.; Zou, J.; Xu, A.Y.; Feng, X.R. Intercropping Gramineae Herbage in Semiarid Jujube Cultivar ‘LingwuChangzao’ (Ziziphus jujuba Mill. cv. LingwuChangzao) Orchard Improves Productivity, Plant Nutritional Quality, and Soil Quality. Horticulturae.
- Raza, M.A.; Din, A.M.U.; Yasin, H.S.; Hina Gul.; Amjad Saeed.; Aqib Mehmood.; Sana Ur Rehman.; Zafar Iqbal.; et al. Yield gains and resource use advantages driven by legume choice and row ratio in cotton/legume intercropping under arid-irrigated conditions. Field Crops Research 2025, 324, 109789. [CrossRef]
- Raza, M.A.; Wang, Z.Q.; Yasin, H.S.; Hina Gul.; Ruijun Qin.; Sana Ur Rehman.; Aqib Mahmood.; Zafar Iqbal.; et al. Effect of crop combination on yield performance, nutrient uptake, and land use advantage of cereal/legume intercropping systems. Field Crops Research 2023, 304, 109144. [CrossRef]
- Wang, Q.; Han, S.; Zhang, L.Z.; Zhang D.S.; Wopke van der Werf.; Jochem B. Evers.; Sun, Z.C.; Zhang, S.P.. Density responses and spatial distribution of cotton yield and yield components in jujube (Zizyphus jujube)/cotton (Gossypium hirsutum) agroforestry. European Journal of Agronomy 2016, 79, 58–65. [CrossRef]
- Zhao, X.F.; Zhu, A.L.; Liu, X.H.; Li, H.Y.; Tao, H.Y.; Guo, X.X.; Liu, J.F. Current status, challenges, and opportunities for sustainable crop production in Xinjiang. iScience 2025, 28, 112114. [Google Scholar] [CrossRef]
- Lai, X.F.; Shen, Y.Y.; Wang, Z.K.; Ma, J.Y.; Yang, X.L.; Ma, L.S. Impact of precipitation variation on summer forage crop productivity and precipitation use efficiency in a semi-arid environment. European Journal of Agronomy 2022, 141, 126616. [Google Scholar] [CrossRef]
- Mollah, W.S.; Cook, I.M. Rainfall variability and agriculture in the semi-arid tropics—the Northern Territory, Australia. Agricultural and Forest Meteorology 1996, 79, 39–60. [Google Scholar] [CrossRef]
- Ling, Q.; Gao, X.D.; Zhao, X.N. ;Huang, J,; Li, H.C.; Li, L.S.; Sun, W.H.; Wu, P.T. Soil water effects of agroforestry in rainfed jujube (Ziziphus jujube Mill.) orchards on loess hillslopes in Northwest China. Agriculture, Ecosystems & Environment, 2017; 247, 343–351. [Google Scholar]
- Wang, X.Y.; Lei, S.; Liu, T.T.; Wei, W.W.; Zhang, S.; Li, L.H.; Zhang, W. Microclimate, yield, and income of a jujube–cotton agroforestry system in Xinjiang, China. Industrial Crops and Products 2022, 182, 114941. [Google Scholar] [CrossRef]
- Iram SHAFIQ.; HUSSAIN Sajad.; RAZA Muhammad-Ali.; Nasir IQBAL.; Muhammad Ahsan ASGHAR.et al. Crop photosynthetic response to light quality and light intensity. Journal of Integrative Agriculture 2021, 20, 4–23. [CrossRef]
- Zhang, D.S.; Zhang, L.Z.; Liu, J.G.; Han, S.; Wang, Q.; Jochem Evers.; Liu, J.; Wopke van der Werf.; Li, L.. Plant density affects light interception and yield in cotton grown as companion crop in young jujube plantations. Field Crops Research 2014, 169, 132–139. [CrossRef]
- Bai, W.; Sun, Z.X.; Zheng, J.M.; Du,G.J.; Feng, L.S.; Cai, Q.; Yang, N.; Feng, C.; Zhang, Z.; Zhang,L.Z. et al. Mixing trees and crops increases land and water use efficiencies in a semi-arid area. Agricultural Water Management 2016, 178, 281–290. [CrossRef]
- Wang, Q.; Zhang, D.S.; Zhang, L.Z.; Han,A. ; Wopke van der Werf.; Jochem B. Evers.; Su, Z.C.; Niels P.R. Anten. Spatial configuration drives complementary capture of light of the understory cotton in young jujube plantations. Field Crops Research 2017, 213, 21–28. [Google Scholar] [CrossRef]
- Wang, Q.R.; Chen, H.X. Han, Y.C.Xing, F.F.; Wang, Z.B.; Feng, L.; Wang, G.P.; Yang, B.F.;Lei, Y.P.; Xiong, S.W.; Li, X.F.; et al. Effect of Spatial-Temporal Light Competition on Cotton Yield and Yield Distribution. Agronomy 2021, 11, 2346. [Google Scholar] [CrossRef]
- Wang, X.Y.; Yang, T.; Shen, L.; Zhang, W.L.; Wan, S.M.; Zhang, W.; Li, L.H. Formation of factors influencing cotton yield in jujube–cotton intercropping systems in Xinjiang, China. Agroforestry Systems 2021, 95, 177–189. [Google Scholar] [CrossRef]
- Zhang, Z.; Qiu, S.; Thistlethwaite Rebecca.-J.; Yao, X.F.; Daniel.K.Y. Tan.; Wang, D.S.; Yang, G.Z. Optimizing nitrogen application methods and frequency to increase cotton yield in summer direct sown condition. Industrial Crops and Products 2024, 213, 118468. [CrossRef]
- Li, C.J.; Stomph Tjeerd-Jan.; Makowski David.; Wopke van der Werf. The productive performance of intercropping. Proceedings of the National Academy of Sciences 2023, 120, e2093081176.
Disclaimer/Publisher’s Note: The statements, opinions and data contained in all publications are solely those of the individual author(s) and contributor(s) and not of MDPI and/or the editor(s). MDPI and/or the editor(s) disclaim responsibility for any injury to people or property resulting from any ideas, methods, instructions or products referred to in the content. |
© 2025 by the authors. Licensee MDPI, Basel, Switzerland. This article is an open access article distributed under the terms and conditions of the Creative Commons Attribution (CC BY) license (https://creativecommons.org/licenses/by/4.0/).