Submitted:
11 June 2025
Posted:
12 June 2025
You are already at the latest version
Abstract
Keywords:
1. Introduction
2. Materials and Methods
3. Results and Discussions
4. Conclusions
Funding
Acknowledgments
Conflicts of Interest
Abbreviations
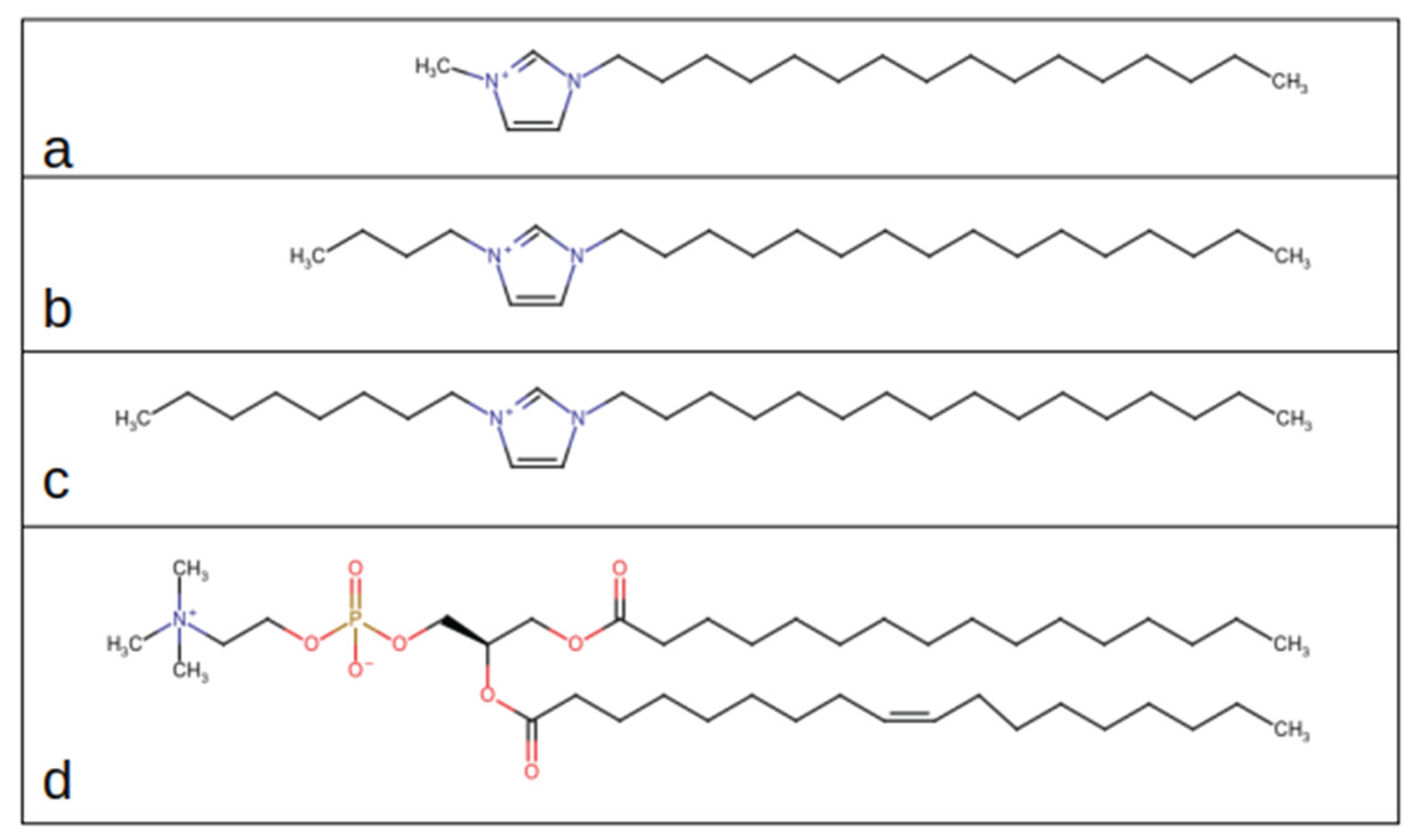
| IL’s | Ionic liquids |
| POPC | 1-palmitoyl-2-oleoyl-sn-glycero-3-phosphocholine |
| C16MIM | 1-Hexadecyl-3 -Methylimidazolium |
| C16BIM | 1-Hexadecyl-3 -Butylimidazolium |
| C168OIM | 1-Hexadecyl-3-Octylimidazolium |
| MD | Molecular dynamics |
| APL | Area per lipid |
| RDF | Radial pair distribution functions |
| NPT | Isothermal-isobaric ensemble |
| PME | Particle Mesh Ewald |
References
- Walden, Paul. “Molecular weights and electrical conductivity of several fused salts.” Bull. Acad. Imper. Sci.(St. Petersburg) 1800 (1914).
- Chum, Helena L., et al. “Electrochemical scrutiny of organometallic iron complexes and hexamethylbenzene in a room temperature molten salt.” Journal of the American Chemical Society 97.11 (1975): 3264-3265. [CrossRef]
- De Long, Hugh C. “Structure of 1-ethyl-3-methylimidazolium hexafluorophosphate: model for room temperature molten salts.” Journal of the Chemical Society, Chemical Communications 3 (1994): 299-300.
- Wilkes, John S., and Michael J. Zaworotko. “Air and water stable 1-ethyl-3-methylimidazolium based ionic liquids.” Journal of the Chemical Society, Chemical Communications 13 (1992): 965-967. [CrossRef]
- Fredlake, Christopher P., et al. “Thermophysical properties of imidazolium-based ionic liquids.” Journal of Chemical & Engineering Data 49.4 (2004): 954-964. [CrossRef]
- Raabe, Gabriele, and Jürgen Köhler. “Thermodynamical and structural properties of imidazolium based ionic liquids from molecular simulation.” The Journal of chemical physics 128.15 (2008). [CrossRef]
- Weingärtner, Hermann. “Understanding ionic liquids at the molecular level: facts, problems, and controversies.” Angewandte Chemie International Edition 47.4 (2008): 654-670.
- Zhang, Suojiang, et al. “Physical properties of ionic liquids: database and evaluation.” Journal of physical and chemical reference data 35.4 (2006): 1475-1517. [CrossRef]
- Bonhote, Pierre, et al. “Hydrophobic, highly conductive ambient-temperature molten salts.” Inorganic chemistry 35.5 (1996): 1168-1178.
- Tokuda, Hiroyuki, et al. “Physicochemical properties and structures of room temperature ionic liquids. 1. Variation of anionic species.” The Journal of Physical Chemistry B 108.42 (2004): 16593-16600.
- McEwen, Alan B., et al. “Electrochemical properties of imidazolium salt electrolytes for electrochemical capacitor applications.” Journal of the Electrochemical Society 146.5 (1999): 1687. [CrossRef]
- Hyun, Byung-Ryool, et al. “Intermolecular dynamics of room-temperature ionic liquids: femtosecond optical Kerr effect measurements on 1-alkyl-3-methylimidazolium bis ((trifluoromethyl) sulfonyl) imides.” The Journal of Physical Chemistry A 106.33 (2002): 7579-7585. [CrossRef]
- Every, Hayley A., et al. “Transport properties in a family of dialkylimidazolium ionic liquids.” Physical Chemistry Chemical Physics 6.8 (2004): 1758-1765. [CrossRef]
- Huddleston, Jonathan G., et al. “Characterization and comparison of hydrophilic and hydrophobic room temperature ionic liquids incorporating the imidazolium cation.” Green chemistry 3.4 (2001): 156-164.
- Tsuzuki, Seiji, et al. “Magnitude and directionality of interaction in ion pairs of ionic liquids: Relationship with ionic conductivity.” The Journal of Physical Chemistry B 109.34 (2005): 16474-16481. [CrossRef]
- Fitchett, Brian D., Travis N. Knepp, and John C. Conboy. “1-Alkyl-3-methylimidazolium bis (perfluoroalkylsulfonyl) imide water-immiscible ionic liquids: the effect of water on electrochemical and physical properties.” Journal of the Electrochemical Society 151.7 (2004): E219.
- McFarlane, D. R., et al. “High conductivity molten salts based on the imide ion.” Electrochimica Acta 45.8-9 (2000): 1271-1278. [CrossRef]
- Hyk, Wojciech, et al. “Properties of microlayers of ionic liquids generated at microelectrode surface in undiluted redox liquids. Part II.” The Journal of Physical Chemistry B 105.29 (2001): 6943-6949. [CrossRef]
- Earle, Martyn J., et al. “The distillation and volatility of ionic liquids.” Nature 439.7078 (2006): 831-834. [CrossRef]
- Zaitsau, Dzmitry H., et al. “Experimental vapor pressures of 1-alkyl-3-methylimidazolium bis (trifluoromethylsulfonyl) imides and a correlation scheme for estimation of vaporization enthalpies of ionic liquids.” The Journal of Physical Chemistry A 110.22 (2006): 7303-7306. [CrossRef]
- Köddermann, Thorsten, Dietmar Paschek, and Ralf Ludwig. “Ionic liquids: Dissecting the enthalpies of vaporization.” ChemPhysChem 9.4 (2008): 549-555. [CrossRef]
- Egorova, Ksenia S., Evgeniy G. Gordeev, and Valentine P. Ananikov. “Biological activity of ionic liquids and their application in pharmaceutics and medicine.” Chemical reviews 117.10 (2017): 7132-7189. [CrossRef]
- Wei, Penghao, et al. “Emerging impacts of ionic liquids on eco-environmental safety and human health.” Chemical Society Reviews 50.24 (2021): 13609-13627. [CrossRef]
- Liu, R., et al. “Progress in environmental behaviors and safety of ionic liquids.” Chinese Sci. Bull 64 (2019): 3158-3164.
- Galluzzi, Massimiliano, et al. “Interaction of imidazolium-based ionic liquids with supported phospholipid bilayers as model biomembranes.” Physical Chemistry Chemical Physics 24.44 (2022): 27328-27342. [CrossRef]
- Fernandes, Margarida M., et al. “Ionic liquids as biocompatible antibacterial agents: a case study on structure-related bioactivity on Escherichia coli.” ACS applied bio materials 5.11 (2022): 5181-5189.
- Flieger, Jolanta, and Michał Flieger. “Ionic liquids toxicity—benefits and threats.” International Journal of Molecular Sciences 21.17 (2020): 6267.
- Galluzzi, Massimiliano, et al. “Interaction of imidazolium-based ionic liquids with supported phospholipid bilayers as model biomembranes.” Physical Chemistry Chemical Physics 24.44 (2022): 27328-27342. [CrossRef]
- Gupta, Ritika, et al. “1, 3 Dialkylated Imidazolium Ionic Liquid Causes Interdigitated Domains in a Phospholipid Membrane.” Langmuir 38.11 (2022): 3412-3421.
- Hitaishi, Prashant, et al. “Cholesterol-controlled interaction of ionic liquids with model cellular membranes.” Langmuir 39.27 (2023): 9396-9405. [CrossRef]
- Sharma, Veerendra K., et al. “Enhanced microscopic dynamics of a liver lipid membrane in the presence of an ionic liquid.” Frontiers in chemistry 8 (2020): 577508. [CrossRef]
- Klähn, Marco, and Martin Zacharias. “Transformations in plasma membranes of cancerous cells and resulting consequences for cation insertion studied with molecular dynamics.” Physical Chemistry Chemical Physics 15.34 (2013): 14427-14441. [CrossRef]
- Bingham, Richard J., and Pietro Ballone. “Computational study of room-temperature ionic liquids interacting with a POPC phospholipid bilayer.” The Journal of Physical Chemistry B 116.36 (2012): 11205-11216. [CrossRef]
- Lee, Hwankyu. “Effects of imidazolium-based ionic surfactants on the size and dynamics of phosphatidylcholine bilayers with saturated and unsaturated chains.” Journal of Molecular Graphics and Modelling 60 (2015): 162-168. [CrossRef]
- Lim, Geraldine S., Stephan Jaenicke, and Marco Klähn. “How the spontaneous insertion of amphiphilic imidazolium-based cations changes biological membranes: a molecular simulation study.” Physical Chemistry Chemical Physics 17.43 (2015): 29171-29183. [CrossRef]
- Kumar, Sandeep, et al. “Effect of the alkyl chain length of amphiphilic ionic liquids on the structure and dynamics of model lipid membranes.” Langmuir 35.37 (2019): 12215-12223. [CrossRef]
- Berendsen, Herman JC, David van der Spoel, and Rudi van Drunen. “GROMACS: A message-passing parallel molecular dynamics implementation.” Computer physics communications 91.1-3 (1995): 43-56.
- Jambeck, Joakim PM, and Alexander P. Lyubartsev. “An extension and further validation of an all-atomistic force field for biological membranes.” Journal of chemical theory and computation 8.8 (2012): 2938-2948. [CrossRef]
- De Andrade, Jones, Elvis S. Böes, and Hubert Stassen. “Computational study of room temperature molten salts composed by 1-alkyl-3-methylimidazolium cations force-field proposal and validation.” The journal of physical chemistry B 106.51 (2002): 13344-13351.
- de Andrade, Jones, Elvis S. Böes, and Hubert Stassen. “A force field for liquid state simulations on room temperature molten salts: 1-ethyl-3-methylimidazolium tetrachloroaluminate.” The Journal of Physical Chemistry B 106.14 (2002): 3546-3548.
- Bussi, Giovanni, Davide Donadio, and Michele Parrinello. “Canonical sampling through velocity rescaling.” The Journal of chemical physics 126.1 (2007).
- Berendsen, Herman JC, et al. “Molecular dynamics with coupling to an external bath.” The Journal of chemical physics 81.8 (1984): 3684-3690. [CrossRef]
- Essmann, Ulrich, et al. “A smooth particle mesh Ewald method.” The Journal of chemical physics 103.19 (1995): 8577-8593.
- Hess, Berk, et al. “LINCS: A linear constraint solver for molecular simulations.” Journal of computational chemistry 18.12 (1997): 1463-1472.
- Jorgensen, William L., et al. “Comparison of simple potential functions for simulating liquid water.” The Journal of chemical physics 79.2 (1983): 926-935. [CrossRef]
- Arfken, G., H. Weber, and F. E. Harris. “Fresnel Integrals.” (2018).
- Lee, Hwankyu, and Tae-Joon Jeon. “The binding and insertion of imidazolium-based ionic surfactants into lipid bilayers: The effects of the surfactant size and salt concentration.” Physical Chemistry Chemical Physics 17.8 (2015): 5725-5733.
- Lukat, Gunther, Jens Krüger, and Björn Sommer. “APL@ Voro: a Voronoi-based membrane analysis tool for GROMACS trajectories.” Journal of chemical information and modeling 53.11 (2013): 2908-2925.
- Grote, Fredrik, and Alexander P. Lyubartsev. “Optimization of slipids force field parameters describing headgroups of phospholipids.” The Journal of Physical Chemistry B 124.40 (2020): 8784-8793. [CrossRef]






| APL (nm²) | Δ% vs POPC | Thickness (nm) | Δ% vs POPC | Total area (nm²) | Δ% vs POPC | |
|---|---|---|---|---|---|---|
| POPC | 0.66 | - | 3.72 | - | 41.76 | - |
| POPC + C16MIM | 0.68 | 3.00% | 3.69 | -0.80% | 43.62 | 4.45% |
| POPC + C16BIM | 0.67 | 1.50% | 3.73 | 0.26% | 43.11 | 3.23% |
| POPC +C16OIM | 0.69 | 4.50% | 3.65 | -1.88% | 43.96 | 5.27% |
Disclaimer/Publisher’s Note: The statements, opinions and data contained in all publications are solely those of the individual author(s) and contributor(s) and not of MDPI and/or the editor(s). MDPI and/or the editor(s) disclaim responsibility for any injury to people or property resulting from any ideas, methods, instructions or products referred to in the content. |
© 2025 by the authors. Licensee MDPI, Basel, Switzerland. This article is an open access article distributed under the terms and conditions of the Creative Commons Attribution (CC BY) license (http://creativecommons.org/licenses/by/4.0/).