Submitted:
03 June 2025
Posted:
04 June 2025
You are already at the latest version
Abstract
Keywords:
1. Introduction
2. Literature Review
2.1. Wind Turbine Gearbox Assembly and the Role of Error Minimization
2.2. Parallel Assembly Sequence Planning (PASP) in Mechanical Systems
2.3. Optimization Techniques for Assembly Processes
2.4. Error Minimization in Assembly Processes
2.5. The Role of PSBFO in Error Minimization and Decision Support for Production Systems
3. Materials and Methods
3.1. Error Model and Precedence Constraints
- Task-specific errors: Each task or component in the assembly has an inherent likelihood of error. For example, components that require precise alignment or torque, like the low-speed shaft or planetary gears, have a higher likelihood of errors during their assembly.
- Precedence constraint violations: The assembly of the gearbox components follows a specific order or precedence constraints. Components must be assembled before others to ensure proper functioning.
- ETS,i: Task-specific error for each component i, for misalignment and torque misapplication.
- Operator errors for task i.
- : Error from tool or equipment variability for task i.
- Error due to environmental influences (e.g., temperature, humidity) for task i.
- Error due to component quality variations for task i.
- : Penalty for violating precedence constraints for task j.
- : Weight for task-specific errors.
- : Weight for operator errors.
- : Weight for tool/equipment variability errors.
- : Weight for environmental errors.
- : Weight for component quality errors.
- : Weight for precedence violations.
- Constraint 1: Assembly sequence constraints
- Constraint 2: Tolerance-based error minimization constraints
- Constraint 3: Component compatibility constraints
- Constraint 4: Feasibility constraints ensuring valid assembly configurations
3.2. Error Modeling, Weighting, and Optimization Strategies
- =0.4 (Task-specific errors, the highest due to its critical impact on alignment and torque requirements). Affect the performance and severe impact on functionality, leading to costly rework.
- =0.2 (Operator errors, as human error is significant in manual assembly tasks). Less common, but still impacts the overall quality.
- =0.15 (Tool/equipment variability, affecting precision but to a lesser degree than task-specific errors)
- =0.1 (Environmental errors, impacting the process indirectly). Minor effect on the process overall.
- =0.1 (Component quality errors, moderately significant in affecting the final assembly)
- =0.05 (Precedence violation penalty, as a deterrent to ensure correct assembly sequence)
- Error likelihood function: Let Ei,j represent the likelihood of an error occurring between components i and j. This likelihood is influenced by the dependency type of task-specific errors.
- Dependency penalty function: Each dependency between two components i and j is assigned a penalty based on the likelihood of an error occurring due to incorrect sequencing.
- Total error calculation: The total error Etotal for the assembly sequence is computed by summing the individual error penalties for each dependent component pair.
- Ei,j: is the error likelihood between component i and component j, expressed as a percentage.
- Di,j: is the dependency type between components i and j
- is a weight assigned based on the dependency type:
3.3. Particle Swarm-Bacteria Foraging Optimization (PSBFO)
4. Results and Analysis
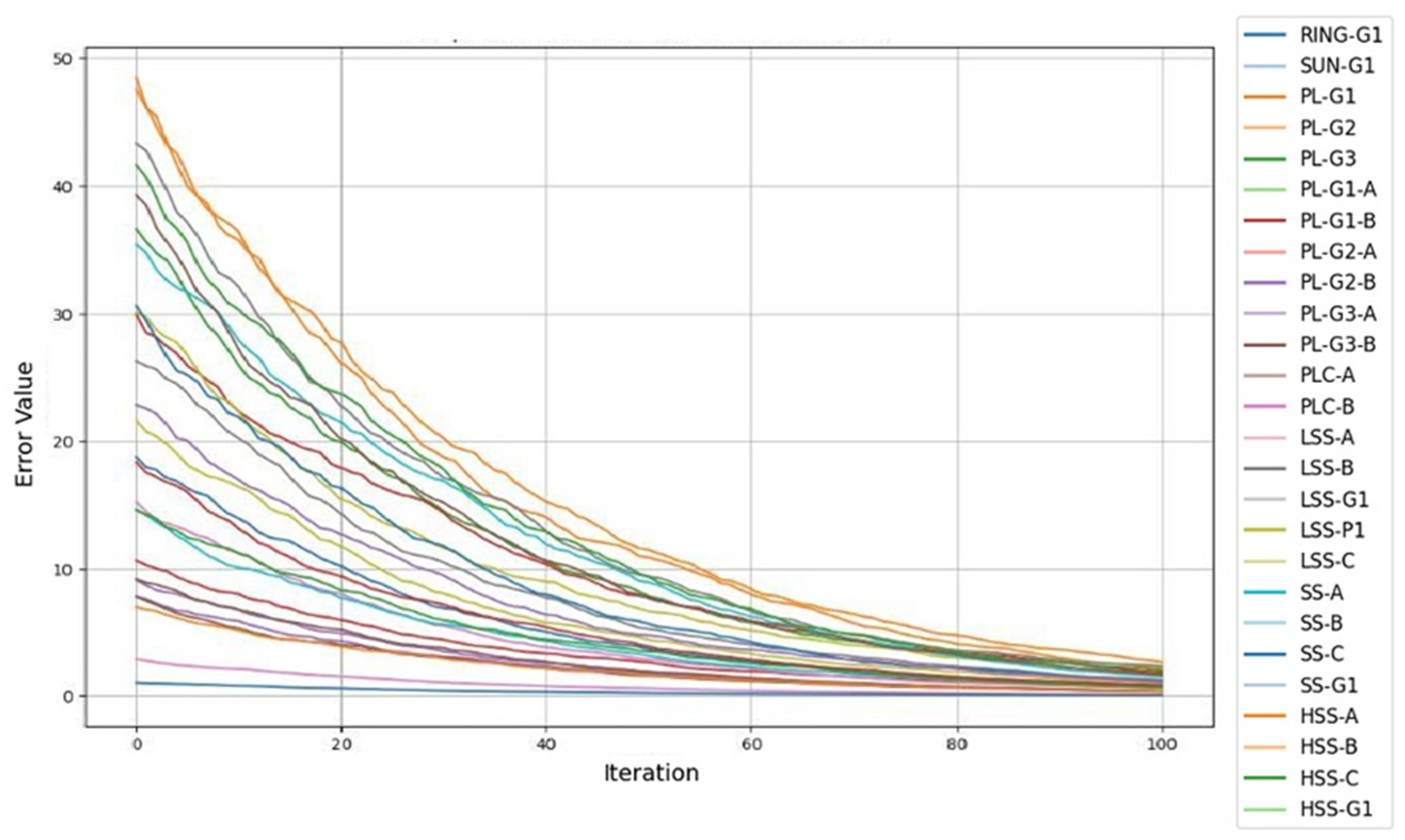
4.1. Error Reduction Performance
4.1.1. Component Error Likelihoods and Dependencies
4.2. Optimized Parallel Assembly Sequence Planning (PASP)
4.2.1. Optimization Model for PASP
- Precedence constraints
- 2.
- Parallel assembly constraints
- 3.
- Error penalty for precedence violations
- 4.
- Each solution is represented as a vector of assembly sequences and corresponding component alignment parameters:
4.3. Comparison with Traditional Methods
- Inertia weight (w): 0.4 – 0.9
- Cognitive coefficient (c1): 1.5 – 2.5
- Social coefficient (c2): 1.5 – 2.5
- Chemotaxis steps (BFO): 5 – 10
- Reproduction steps (BFO): 2 – 5
4.4. Error Distribution Across Components
4.5. Task Dependency Error Propagation: Heat Map Analysis for Gearbox Components
4.6. Key Findings and Managerial Implications
- Critical component identification: PLC-A affects LSS-A errors the most, therefore there is need to prioritize PLC-A precision.
- Structured assembly adjustments: PSBFO’s error trend allows structured intervention in assembly processes.
- Industry adaptability: The approach can be extended to automotive and aerospace assembly error reduction.
5. Conclusions
Author Contributions
Funding
Data Availability Statement
Acknowledgments
Conflicts of Interest
Competing Interests
Appendix A
| Component | Component | Error likelihood | Dependency type | Weighting factor |
| RING-G1 | SUN-G1 | 5% | Alignment | 0.4 |
| SUN-G1 | PL-G1 | 15% | Alignment | 0.3 |
| SUN-G1 | PL-G2 | 15% | Alignment | 0.3 |
| SUN-G1 | PL-G3 | 15% | Alignment | 0.3 |
| PL-G1 | PL-G1-A | 10% | Subcomponent torque | 0.2 |
| PL-G1 | PL-G1-B | 10% | Subcomponent torque | 0.2 |
| PL-G2 | PL-G2-A | 12% | Subcomponent torque | 0.2 |
| PL-G2 | PL-G2-B | 12% | Subcomponent torque | 0.2 |
| PL-G3 | PL-G3-A | 12% | Subcomponent torque | 0.2 |
| PL-G3 | PL-G3-B | 12% | Subcomponent torque | 0.2 |
| PL-G1 | PLC-A | 20% | Sequential | 0.4 |
| PL-G2 | PLC-A | 20% | Sequential | 0.4 |
| PL-G3 | PLC-A | 20% | Sequential | 0.4 |
| PLC-A | LSS-A | 25% | Alignment | 0.4 |
| LSS-A | LSS-B | 20% | Sequential | 0.3 |
| LSS-B | LSS-C | 15% | Sequential | 0.3 |
| LSS-C | LSS-G1 | 10% | Alignment | 0.4 |
| LSS-G1 | ISS-A | 18% | Alignment | 0.4 |
| ISS-A | ISS-B | 15% | Sequential | 0.3 |
| ISS-B | ISS-C | 12% | Sequential | 0.3 |
| ISS-C | ISS-G1 | 10% | Alignment | 0.4 |
| ISS-G1 | HSS-A | 20% | Alignment | 0.4 |
| HSS-A | HSS-B | 15% | Sequential | 0.3 |
| HSS-B | HSS-C | 12% | Sequential | 0.3 |
| HSS-C | HSS-P1 | 8% | Alignment | 0.4 |
| PLC-A | LSS-A | 10% | Operator error | 0.2 |
| PL-G1 | PL-G1-A | 5% | Operator error | 0.2 |
| SUN-G1 | PL-G2 | 6% | Tool/equipment variability | 0.15 |
| PL-G2 | PL-G2-B | 7% | Tool/equipment variability | 0.15 |
| LSS-A | ISS-B | 8% | Environmental influence | 0.1 |
| HSS-B | ISS-G1 | 5% | Environmental influence | 0.1 |
| PL-G3 | PL-G3-A | 4% | Component quality | 0.1 |
| ISS-B | ISS-C | 6% | Component quality | 0.1 |
References
- J. Y. and T. A. S. Mutale, Y. Wang, “Advanced Optimization Techniques for PASP: A Comparative Study of Improved PSO and BFO,” in 2024 6th International Conference on Power and Energy Technology (ICPET), Beijing, 2024, pp. 867–871. [CrossRef]
- S. Mutale, Y. Wang, and Y. Wang, “Enhancing Parallel Assembly Sequence Planning (PASP) with an Advanced Priority Relationship (APRA) Algorithm using Machine Learning,” pp. 1–9.
- T. Ackermann, Wind Power in Power SystemsNo Title. John Wiley & Sons, 2005. [CrossRef]
- S. Mutale, Y. Jan, Y. Wang, and A. Banda, “Evaluation of wind energy potential in Lunga District, Luapula Province, Zambia,” 2025. [CrossRef]
- S. Mutale, Y. Wang, and J. Yasir, “Enhanced efficiency and quality in wind turbine gearbox assembly: a new parallel assembly sequence planning (PASP) model,” Int. J. Sustain. Eng., vol. 17, no. 1, pp. 1048–1065, 2024. [CrossRef]
- S. Q. Mu X, Yuan B, Wang Y, Sun W, Liu C, “Novel application of mapping method from small displacement torsor to tolerance: Error optimization design of assembly parts,” Proc. Inst. Mech. Eng. Part B J. Eng. Manuf., vol. 236(6–7), pp. 955–967, 2022. [CrossRef]
- K. C. and J..-M. Henrioud, “Systematic generation of assembly precedence graphs,” in Proceedings of the 1994 IEEE International Conference on Robotics and Automation, San Diego, 1994, pp. 1476–1482. [CrossRef]
- A. E. and H. R. B. O. Guiza, C. Mayr-Dorn, M. Mayrhofer, “Assembly Precedence Graph Mining Based on Similar Products,” in 2022 IEEE International Conference on Industrial Technology (ICIT), Shanghai, 2022, pp. 1–7. [CrossRef]
- H. B. Hongfei Zhai, Caichao Zhu, Chaosheng Song, Huaiju Liu, Influences of carrier assembly errors on the dynamic characteristics for wind turbine gearbox, Mechanism and Machine Theory. 2016. [CrossRef]
- A. G. Sutton, R. S., & Barto, Reinforcement Learning: An IntroductionNo Title. MIT Press, 2018.
- L. R. Huh, EN., Welch, “Adaptive resource management for dynamic distributed real-time applications,” J Supercomput, vol. 38. [CrossRef]
- J. Zhan, Zh., Zhang, “Adaptive Particle Swarm Optimization,” Lect. Notes Comput. Sci., vol. 5217, 2008. [CrossRef]
- H. Mukred, J., Muslim, M., & Selamat, “Optimizing Assembly Sequence Time Using Particle Swarm Optimization (PSO).,” Appl. Mech. Mater., vol. 315, pp. 88–92, 2013. [CrossRef]
- Q. Xiangyu, Z., Liu, L., Wan, X., Wang, K., & Huang, “Assembly Sequence Optimization Based on Improved PSO Algorithm.,” pp. 457–465, 2019. [CrossRef]
- F.-L. Ye, C.-Y. Lee, Z.-J. Lee, J.-Q. Huang, and J.-F. Tu, “Incorporating Particle Swarm Optimization into Improved Bacterial Foraging Optimization Algorithm Applied to Classify Imbalanced Data,” Symmetry (Basel)., vol. 12, no. 2, p. 229, Feb. 2020. [CrossRef]
- R. C. Shi, Y., & Eberhart, “A modified particle swarm optimizer,” in 1998 IEEE international conference on evolutionary computation proceedings. IEEE world congress on computational intelligence, 1998, pp. 69–73. [CrossRef]
- K. M. Passino, “Biomimicry of bacterial foraging for distributed optimization and control,” in IEEE Control Systems Magazine, 2002, pp. 52–67. [CrossRef]
- X. Wang, L., Tian, D., Gou, “Hybrid particle swarm optimization with adaptive learning strategy.,” Soft Comput, vol. 28, pp. 9759–9784, 2024. [CrossRef]
- L. S. Lee G, Kim H, Lee SB, Kim D, Lee E, Lee SK, “Tailored Uniaxial Alignment of Nanowires Based on Off-Center Spin-Coating for Flexible and Transparent Field-Effect Transistors.,” Nanomaterials, vol. 12, no. 7, p. 1116, 2022. [CrossRef]
- Y. Zhu, D., Li, R., Zheng, “Cumulative Major Advances in Particle Swarm Optimization from 2018 to the Present: Variants, Analysis and Applications.,” Arch Comput. Methods Eng, 2025. [CrossRef]
- P. K. (2017) Mandol, S., Bhattacharjee, D., Dan, “Structural Optimisation of Wind Turbine Gearbox Deployed in Non-conventional Energy Generation,” Smart Innov. Syst. Technol., vol. 65, 2017. [CrossRef]
- Z. Min, Z. Zhijing, S. Lingling, and Z. Weimin, “Assembly Error Modeling and Calculating Method of Precision Mechanical System,” J. Phys. Conf. Ser., vol. 1345, no. 2, 2019. [CrossRef]
- and X. W. Mutale, S., “Levels of Automation in Quality Sampling and Analysis of Copper,” Ind. Eng. Lett., vol. 4, no. 4, pp. 89–102, 2014.
- J. Y. and T. A. Sydney Mutale, Yong Wang, “Advanced Optimization Techniques for PASP: a Comparative Study of Improved PSO and BFO,” Easy Chair, 2024. 231(12), pp. 2133–2144, 2017. [CrossRef]
- X. Y. Ni J, Tang WC, “Performance of reducing the dimensional error of an assembly by the rivet upsetting direction optimization,” roceedings Inst. Mech. Eng. Part B J. Eng. Manuf., vol. 231(12), pp. 2133–2144, 2017. [CrossRef]
- C. Dao, B. Kazemtabrizi, and C. Crabtree, “Wind turbine reliability data review and impacts on levelised cost of energy,” Wind Energy, vol. 22, no. 12, pp. 1848–1871, 2019. [CrossRef]
- Y. Yang, M. Yang, L. Shu, S. Li, and Z. Liu, “A Novel Parallel Assembly Sequence Planning Method for Complex Products Based on PSOBC,” Math. Probl. Eng., vol. 2020, 2020. [CrossRef]
- T. Pan, H., Hou, W., & Li, “Genetic Algorithm for Assembly Sequences Planning Based on Heuristic Assembly Knowledge.,” Appl. Mech. Mater., no. 44–47, pp. 3657–3661, 2010. [CrossRef]
- B. Wu, P. Lu, J. Lu, J. Xu, and X. Liu, “A hierarchical parallel multi-station assembly sequence planning method based on GA-DFLA,” Proc. Inst. Mech. Eng. Part C J. Mech. Eng. Sci., vol. 236, no. 4, pp. 2029–2045, Feb. 2022. [CrossRef]
- A. Nourmohammadi, A. H. C. Ng, M. Fathi, J. Vollebregt, and L. Hanson, “Multi-objective optimization of mixed-model assembly lines incorporating musculoskeletal risks assessment using digital human modeling,” CIRP J. Manuf. Sci. Technol., vol. 47, pp. 71–85, 2023. [CrossRef]
- H. E. Tseng, C. C. Chang, and T. W. Chung, “Applying Improved Particle Swarm Optimization to Asynchronous Parallel Disassembly Planning,” IEEE Access, vol. 10, pp. 80555–80564, 2022. [CrossRef]
- X. Xu, W. Hu, D. Cao, Q. Huang, C. Chen, and Z. Chen, “Optimized sizing of a standalone PV-wind-hydropower station with pumped-storage installation hybrid energy system,” Renew. Energy, vol. 147, pp. 1418–1431, 2020. [CrossRef]
- P. Whittle, M., Trevelyan, J., Shin, W., & Tavner, “Improving wind turbine drivetrain bearing reliability through pre-misalignment,” Wind Energy, vol. 17, pp. 1217–1230, 2014. [CrossRef]
- M. Sankar, S., & Nataraj, “Prevention of helical gear tooth damage in wind turbine generator: A case study,” Proc. Inst. Mech. Eng. Part A J. Power Energy, vol. 224, pp. 1117–1125, 2010. [CrossRef]
- H. Zhai, H., Zhu, C., Song, C., Liu, H., & Bai, “Influences of carrier assembly errors on the dynamic characteristics for wind turbine gearbox,” Mech. Mach. Theory, vol. 103, pp. 138–147, 2016. [CrossRef]
- S. Alemayehu, F. M., & Ekwaro-Osire, “Loading and design parameter uncertainty in the dynamics and performance of high-speed-parallel-helical-stage of a wind turbine gearbox.,” J. Mech. Des., vol. 136, no. 091002. [CrossRef]
- M. Liu, B. Zhou, J. Li, X. Li, and J. Bao, “A Knowledge Graph-Based Approach for Assembly Sequence Recommendations for Wind Turbines,” Machines, vol. 11, no. 10, 2023. [CrossRef]
- D. Teeparthi, K., & Kumar, “Multi-objective hybrid PSO-APO algorithm based security constrained optimal power flow with wind and thermal generators,” Eng. Sci. Technol. an Int. J., vol. 20, pp. 411–426, 2017. [CrossRef]
- P. K. Panda, S., Mohanty, B., & Hota, “Hybrid BFOA-PSO algorithm for automatic generation control of linear and nonlinear interconnected power systems,” Appl. Soft Comput., vol. 13, no. 12, pp. 4718–4730, 2013. [CrossRef]
- T. Sunder Selwyn and R. Kesavan, “Reliability Analysis of Sub Assemblies for Wind Turbine at High Uncertain Wind,” Adv. Mater. Res., vol. 433–440, pp. 1121–1125, Jan. 2012. [CrossRef]
- E. K. Z. Abbas Mardani, Ahmad Jusoh, “Fuzzy multiple criteria decision-making techniques and applications – Two decades review from 1994 to 2014,” Expert Syst. Appl., vol. 42, no. 18, pp. 4126–4148, 2015. [CrossRef]
- P. K. D. William Ho, Xiaowei Xu, “Multi-criteria decision making approaches for supplier evaluation and selection: A literature review,” Eur. J. Oper. Res., vol. 201, no. 1, pp. 16–24, 2010. [CrossRef]
- Y.-L. C. Wu-Hsien Hsu, Ju-An Jao, “Discovering conjecturable rules through tree-based clustering analysis,” Expert Syst. Appl., vol. 29, no. 3, pp. 493–505, 2005. [CrossRef]
- P. S. K. Govindan Kannan, Shaligram Pokharel, “A hybrid approach using ISM and fuzzy TOPSIS for the selection of reverse logistics provider,” Resour. Conserv. Recycl., vol. 54, no. 1, 2009. [CrossRef]
- J. E. Faulin, J., Juan, A. A., Martorell, S., & Ramirez-Marquez, Simulation Methods for Reliability and Availability of Complex Systems. 2010. [CrossRef]
- E. K. Mardani, A., Jusoh, A., & Zavadskas, “Fuzzy multiple criteria decision-making techniques and applications – Two decades review from 1994 to 2014.,” Expert Syst. Appl., vol. 42, no. 8, pp. 4126–4148, 2015. [CrossRef]
- Z. Xu, X., Hu, W., Cao, D., Huang, Q., Chen, C., & Chen, “Optimized sizing of a standalone PV-wind-hydropower station with pumped-storage installation hybrid energy system,” Renew. Energy, vol. 147, pp. 1418–1431, 2020. [CrossRef]
- C. Mu, S.Q., Yuan, B., Wang, Y., Sun, W., & Liu, “Error optimization design of assembly parts using small displacement torsor tolerance mapping,” Proc. Inst. Mech. Eng. Part B J. Eng. Manuf., vol. 236, no. (6-7), pp. 955–967, 2022. [CrossRef]









| Component | Initial Error | Error (Iteration 5) | Error (Iteration 10) | Error (Iteration 15) | Final Error (Iteration 20) |
|---|---|---|---|---|---|
| RING-G1 | 5 | 4 | 3 | 2 | 0 |
| SUN-G1 | 6 | 5 | 4 | 2 | 0 |
| PL-G1 | 8 | 6 | 4 | 2 | 1 |
| PL-G2 | 7 | 5 | 3 | 2 | 0 |
| PL-G3 | 7 | 5 | 3 | 2 | 0 |
| PL-G1-A | 4 | 3 | 2 | 1 | 0 |
| PL-G1-B | 5 | 4 | 3 | 1 | 0 |
| PL-G2-A | 4 | 3 | 2 | 1 | 0 |
| PL-G2-B | 5 | 4 | 3 | 1 | 0 |
| PL-G3-A | 4 | 3 | 2 | 1 | 0 |
| PL-G3-B | 5 | 4 | 3 | 1 | 0 |
| PLC-A | 6 | 4 | 3 | 2 | 0 |
| PLC-B | 5 | 4 | 3 | 2 | 0 |
| LSS-A | 9 | 6 | 4 | 3 | 1 |
| LSS-B | 8 | 5 | 3 | 2 | 1 |
| LSS-C | 9 | 6 | 4 | 3 | 1 |
| LSS-G1 | 7 | 5 | 3 | 2 | 0 |
| ISS-A | 7 | 5 | 3 | 2 | 0 |
| ISS-B | 6 | 4 | 3 | 2 | 0 |
| ISS-C | 6 | 4 | 3 | 2 | 0 |
| ISS-G1 | 5 | 4 | 3 | 2 | 0 |
| ISS-P1 | 5 | 4 | 3 | 2 | 0 |
| HSS-A | 8 | 6 | 4 | 3 | 1 |
| HSS-B | 7 | 5 | 3 | 2 | 1 |
| HSS-C | 6 | 4 | 3 | 2 | 0 |
| HSS-P1 | 5 | 4 | 3 | 2 | 0 |
| Total Error | 139 | 101 | 68 | 35 | 5 |
| Component | Sequential Assembly Error | Genetic Algorithm Error | PSBFO Error |
|---|---|---|---|
| RING-G1 | 7 | 6 | 2 |
| SUN-G1 | 8 | 7 | 3 |
| PL-G1 | 9 | 7 | 4 |
| PL-G2 | 8 | 6 | 3 |
| PL-G3 | 8 | 6 | 3 |
| PL-G1-A | 6 | 5 | 2 |
| PL-G1-B | 7 | 6 | 3 |
| PL-G2-A | 6 | 5 | 2 |
| PL-G2-B | 7 | 6 | 3 |
| PL-G3-A | 6 | 5 | 2 |
| PL-G3-B | 7 | 6 | 3 |
| PLC-A | 8 | 6 | 2 |
| PLC-B | 7 | 6 | 3 |
| LSS-A | 10 | 8 | 4 |
| LSS-B | 9 | 7 | 4 |
| LSS-C | 10 | 8 | 4 |
| LSS-G1 | 8 | 6 | 2 |
| ISS-A | 8 | 6 | 2 |
| ISS-B | 7 | 5 | 2 |
| ISS-C | 7 | 5 | 2 |
| ISS-G1 | 6 | 5 | 2 |
| ISS-P1 | 6 | 5 | 2 |
| HSS-A | 9 | 7 | 4 |
| HSS-B | 8 | 6 | 4 |
| HSS-C | 7 | 5 | 2 |
| HSS-P1 | 6 | 5 | 2 |
| Total Error | 160 | 130 | 60 |
| Metric | Pre-Implementation | Post-Implementation (PSBFO) |
|---|---|---|
| Defect Rate (%) | 12% | 8% |
| Assembly Time (Hours) | 45 hours | 40 hours |
| Downtime (%) | 10% | 5% |
| Production Yield (%) | 85% | 90% |
| Method | Computational Time (s) | Stability (Max Error Variation %) | Convergence Rate (Iterations) |
|---|---|---|---|
| PSBFO | 45 | 0.5% | 50 |
| GA | 65 | 1.5% | 120 |
| PSO | 60 | 1.2% | 100 |
| Assembly Size (Parts) | Computational Time (Seconds) | Error Reduction (%) | Convergence Rate (Iterations) |
|---|---|---|---|
| 10 | 25 | 15% | 50 |
| 50 | 60 | 20% | 120 |
| 100 | 150 | 22% | 250 |
| 200 | 300 | 25% | 500 |
| Assembly Size (Parts) | Computational Time (Seconds) | Error Reduction (%) |
| 100 | 150 | 22% |
| 100 (with Tuning) | 120 | 27% |
Disclaimer/Publisher’s Note: The statements, opinions and data contained in all publications are solely those of the individual author(s) and contributor(s) and not of MDPI and/or the editor(s). MDPI and/or the editor(s) disclaim responsibility for any injury to people or property resulting from any ideas, methods, instructions or products referred to in the content. |
© 2025 by the authors. Licensee MDPI, Basel, Switzerland. This article is an open access article distributed under the terms and conditions of the Creative Commons Attribution (CC BY) license (http://creativecommons.org/licenses/by/4.0/).