Submitted:
29 May 2025
Posted:
30 May 2025
You are already at the latest version
Abstract
Keywords:
1. Gravitational and Gravitational Energy Waves
2. Distribution of Matter in the Solar System
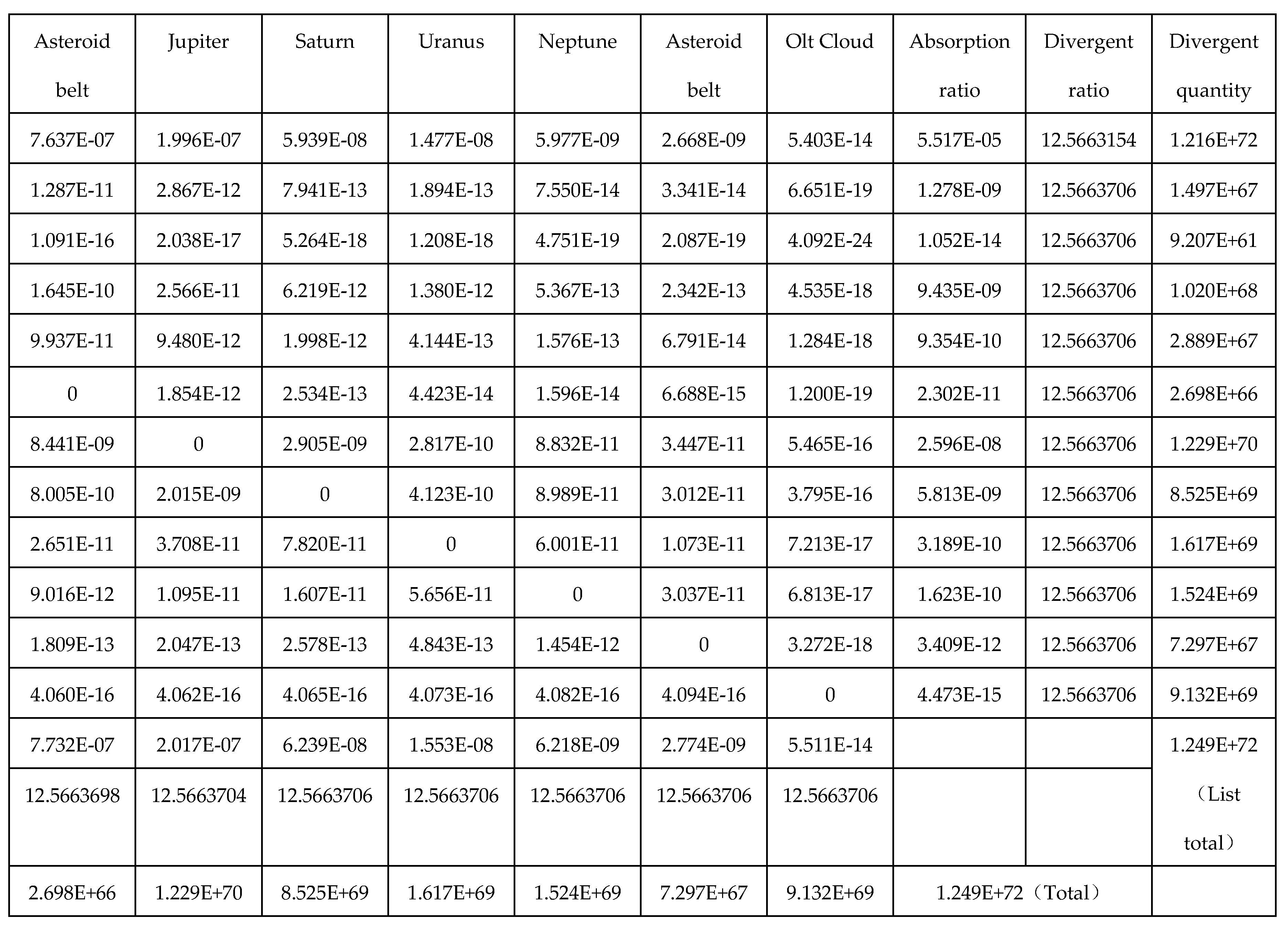
3. Gravitationaltons Scattered in the Solar System


4. Gravitationalons Scattered in the Milky Way
5. The Scattered Gravitons in the Universe
6. Gravity Background Distribution
7. Gravitational and Dark Energy
8. In Conclusion
Appendix: Common Symbols and Data Indexes
References
- Chen Junli, Kang Yaohui. Gravitational, gravitational field and graviton—Inference on the frequency of gravitational energy waves[J]. Astronomy and Astrophysics, 2022, 10(1): 1-10. [CrossRef]
- Chen Junli. On the fact that nuclear force is the manifestation of gravity at microscopic distance [J]. Modern Physics, 2023, 13(5): 113-124. [CrossRef]
- Chen Junli, an attempt to correct gravity based on the ratio of extrasphere gravitons [J]. Astronomy and Astrophysics, Vol.11 No.3 2023.
- Solar System_Baidu Encyclopedia, https://baike.baidu.com/item/%E5%A4%AA%E9%98%B3%E7%B3%BB/173281, [2023-8-7].
- Sun_Baidu Encyclopedia, https://baike.baidu.com/item/%E5%A4%AA%E9%98%B3/24010, [2023-8-7].
- Mercury - Baidu Encyclopedia, https://baike.baidu.com/item/%E6%B0%B4%E6%98%9F/135917?fr=ge_ala, [2023-8-7].
- Venus - Baidu Encyclopedia, https://baike.baidu.com/item/%E9%87%91%E6%98%9F/19410?fr=ge_ala, [2023-8-7].
- Earth_Baidu Encyclopedia, https://baike.baidu.com/item/%E5%9C%B0%E7%90%83/6431, [2023-8-7].
- Moon - Baidu Encyclopedia, https://baike.baidu.com/item/%E6%9C%88%E7%90%83/30767?fr=ge_ala, [2023-8-7].
- Mars - Baidu Encyclopedia, https://baike.baidu.com/item/%E7%81%AB%E6%98%9F/5627?fr=ge_ala, [2023-8-7].
- Phobos_Baidu Encyclopedia, https://baike.baidu.com/item/%E7%81%AB%E5%8D%AB%E4%B8%80/1399833, [2023-8-7].
- Phos_Baidu Encyclopedia, https://baike.baidu.com/item/%E7%81%AB%E5%8D%AB%E4%BA%8C/3156077?fr=ge_ala, [2023-8-7].
- Asteroid Belt_Baidu Encyclopedia, https://baike.baidu.com/item/%E5%B0%8F%E8%A1%8C%E6%98%9F%E5%B8%A6/2924331, [2023-8-7].
- Astronomy Online—How far is the mysterious asteroid belt separated from our sun? See what astronomers say, https://baijiahao.baidu.com/s?id=1666092474582168198&wfr=spider&for=pc, [2023-8-7].
- What is the mass of the asteroid belt? - Baidu knows, https://zhidao.baidu.com/question/376641354030414164.html, [2023-8-7].
- Jupiter-Baidu Encyclopedia, https://baike.baidu.com/item/%E6%9C%A8%E6%98%9F/222105?fr=ge_ala, [2023-8-7].
- Saturn - Baidu Encyclopedia, https://baike.baidu.com/item/%E5%9C%9F%E6%98%9F/136354?fr=ge_ala, [2023-8-7].
- Uranus - Baidu Encyclopedia, https://baike.baidu.com/item/%E5%A4%A9%E7%8E%8B%E6%98%9F/21805?fr=ge_ala, [2023-8-7].
- Neptune-Baidu Encyclopedia, https://baike.baidu.com/item/%E6%B5%B7%E7%8E%8B%E6%98%9F/30351?fr=ge_ala, [2023-8-7].
- Kuiper belt-Baidu Encyclopedia, https://baike.baidu.com/item/%E6%9F%AF%E4%BC%8A%E4%BC%AF%E5%B8%A6/730847, [2023-8-7].
- Kuiper belt - Satellite Encyclopedia, Handheld Wiki, http://sat.huijiwiki.com/wiki/%E6%9F%AF%E4%BC%8A%E4%BC%AF%E5%B8%A6, [2023-8-7].
- Law Exploration - Is the Kuiper belt at the edge of the solar system built by advanced civilizations to monitor and imprison the earth? https://baijiahao.baidu.com/s?id=1770298459623899941&wfr=spider&for=pc, [2023-8-7].
- Xinhuanet 2020-04-22 09:00, the birthplace of short-period comets - Kuiper belt, https://baijiahao.baidu.com/s?id=1664633393808506616&wfr=spider&for=pc, [2023-8-7].
- Orter Cloud - Baidu Encyclopedia, https://baike.baidu.com/item/%E5%A5%A5%E5%B0%94%E7%89%B9%E4%BA%91/5293646?fr=ge_ala, [2023-8-7].
- Galaxy - Baidu Encyclopedia, https://baike.baidu.com/item/%E9%93%B6%E6%B2%B3%E7%B3%BB/189795?fr=ge_ala, [2023-8-7].
- How heavy is the Milky Way? - Astronomy Online, https://baijiahao.baidu.com/s?id=1669566664236713439&wfr=spider&for=pc, [2023-8-7].
- The diameter is only 180,000 light-years, but its mass is 1.2 trillion times that of the sun. Why is the Milky Way so heavy? - Cosmic Observation, https://baijiahao.baidu.com/s?id=1716586529747048059&wfr=spider&for=pc, [2023-8-7].
- The magnitude of the mass of the Milky Way - Creator Education is the Person-oriented, https://baijiahao.baidu.com/s?id=1718630289220572557&wfr=spider&for=pc, [2023-8-7].
- The Milky Way may be losing dark matter - Jimuxin 2023-10-12 06:15 News, https://baijiahao.baidu.com/s?id=1779499087898579519&wfr=spider&for=pc, [2023-8-7].
- Universe - Baidu Encyclopedia, https://baike.baidu.com/item/%E5%AE%87%E5%AE%99/31801?fr=ge_ala, [2023-8-7].
- If all matter in the universe is distributed evenly, what will the density of the universe be? Alber Smith2018-11-23 18:35, https://baijiahao.baidu.com/s?id=1617920513954940178&wfr=spider&for=pc, [2023-8-7].
- Dark energy energy density-Baidu Library, http://wenku.baidu.com/view/be21be72b62acfc789eb172ded630b1c58ee9b09.html?_wkts_=1699590113299&bdQuery=%E6%9A%97%E8%83%BD%E9%87%8F%E5%AF%86%E5%BA%A6&needWelcomeRecommand=1, [2023-8-7].
- Dark matter - Baidu Encyclopedia, https://baike.baidu.com/item/%E6%9A%97%E7%89%A9%E8%B4%A8/8666?fr=ge_ala, [2023-8-7].
- Dark Energy - Baidu Encyclopedia, https://baike.baidu.com/item/%E6%9A%97%E8%83%BD%E9%87%8F/920544, [2023-8-7].
















Disclaimer/Publisher’s Note: The statements, opinions and data contained in all publications are solely those of the individual author(s) and contributor(s) and not of MDPI and/or the editor(s). MDPI and/or the editor(s) disclaim responsibility for any injury to people or property resulting from any ideas, methods, instructions or products referred to in the content. |
© 2025 by the authors. Licensee MDPI, Basel, Switzerland. This article is an open access article distributed under the terms and conditions of the Creative Commons Attribution (CC BY) license (http://creativecommons.org/licenses/by/4.0/).
