Submitted:
22 May 2025
Posted:
25 May 2025
You are already at the latest version
Abstract
Keywords:
1. Introduction
2. Theory
2.1. Lot-sizing model: basic definitions
2.2. Equivalence between lot-sizing model and lattice-gas model
2.3. Cluster approximation
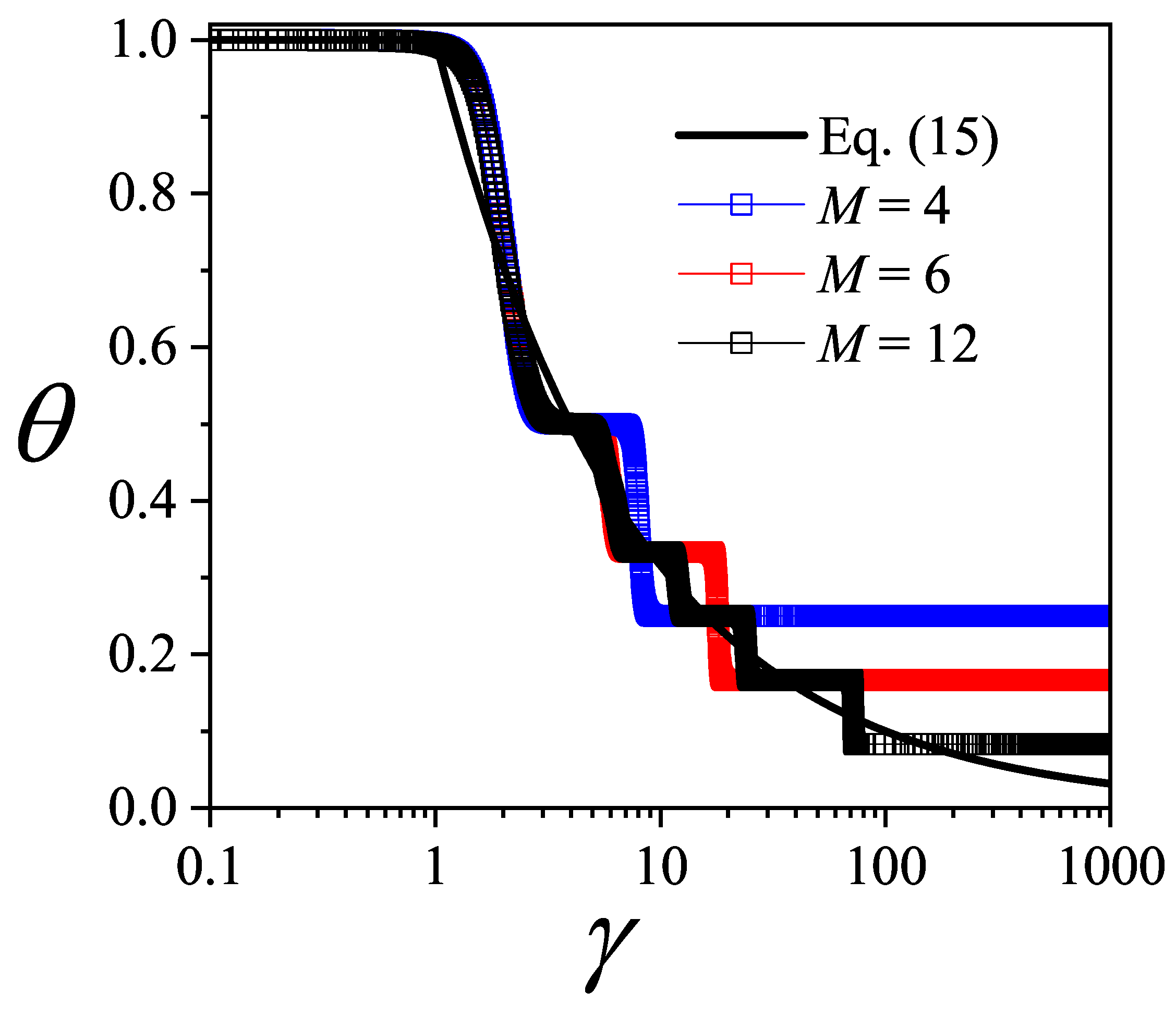
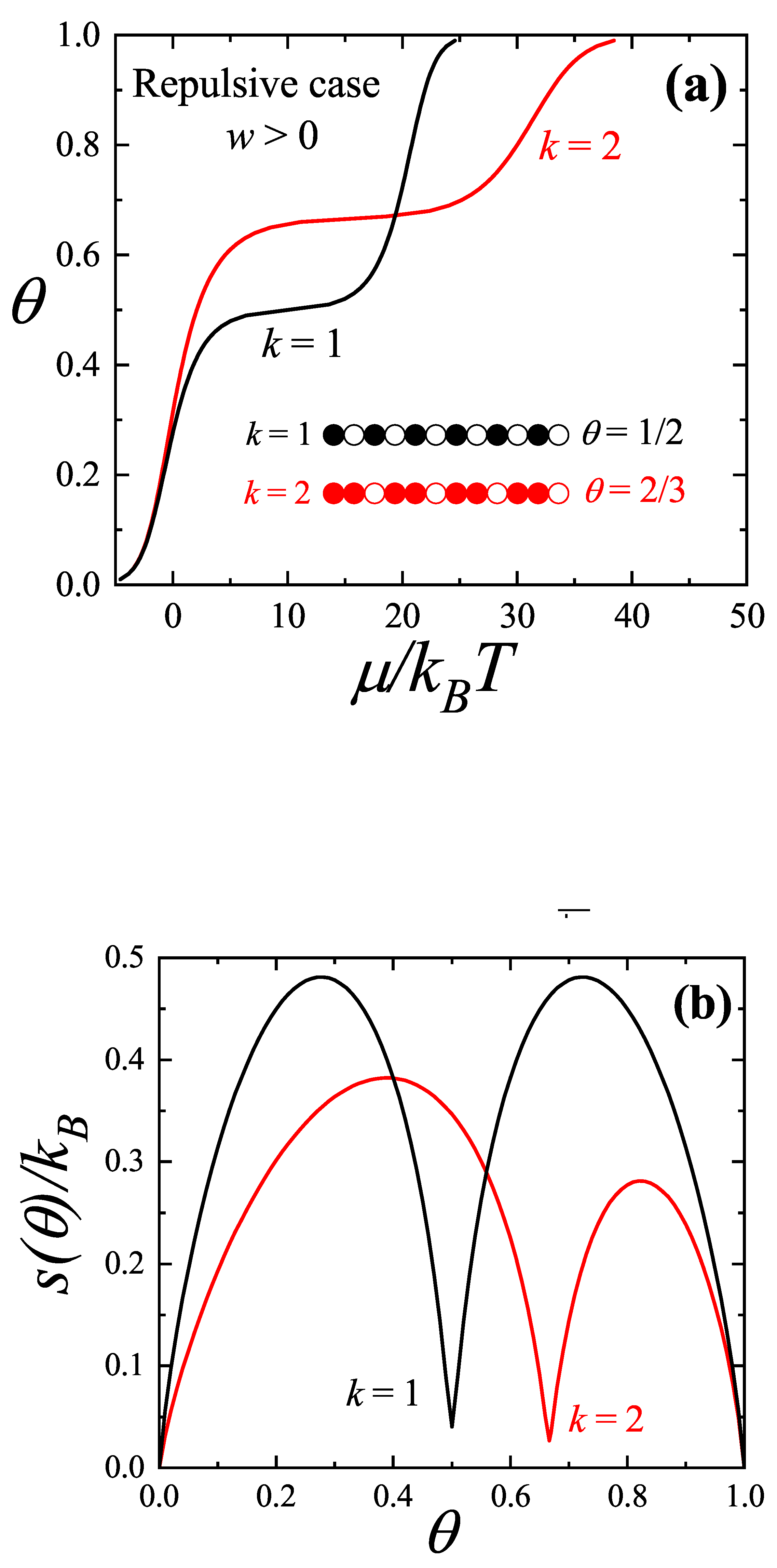
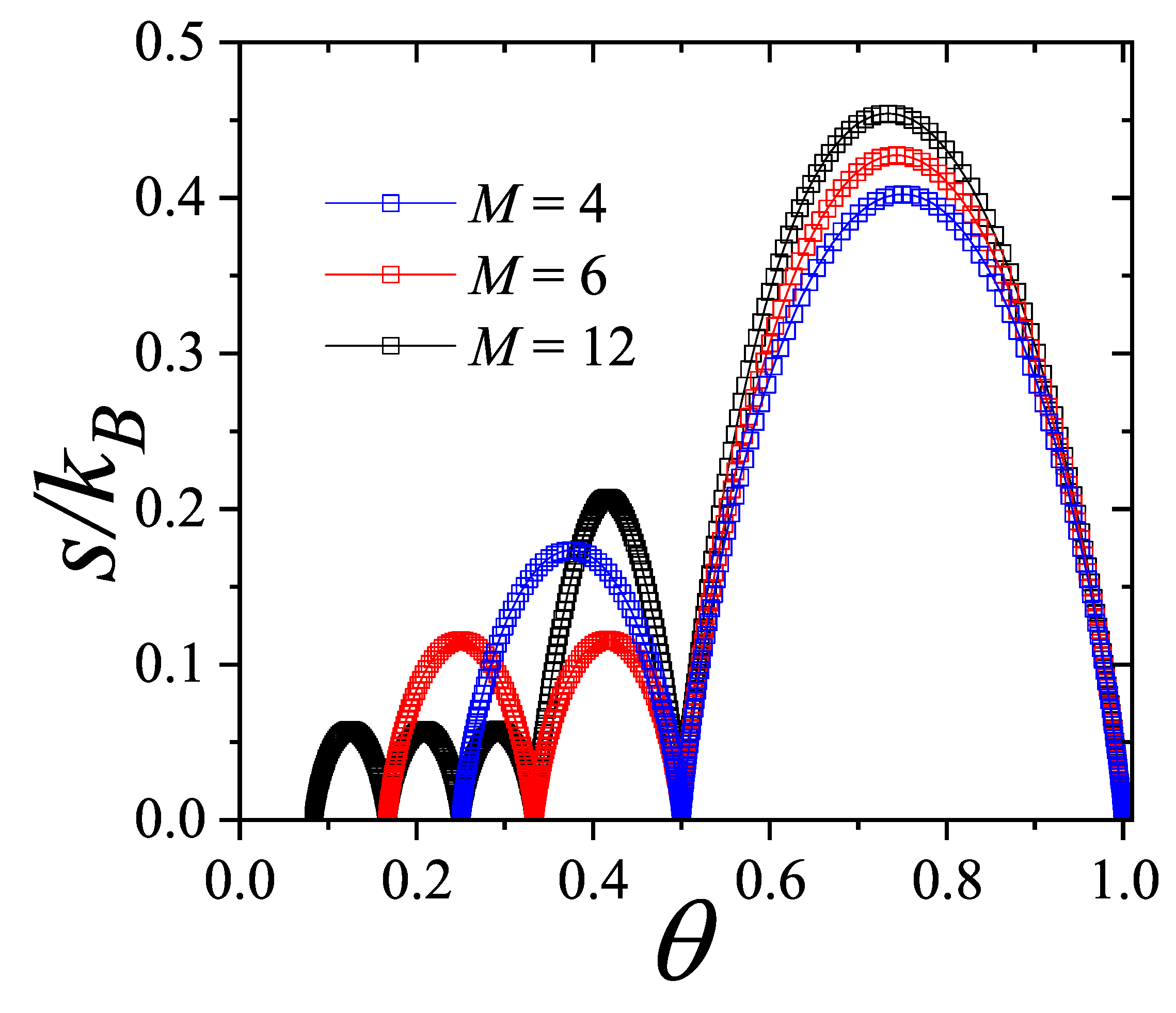
3. Results
4. Conclusions
Author Contributions
Data Availability Statement
Acknowledgments
Conflicts of Interest
References
- Hoseini Shekarabi, S.A.; Gharaei, A.; Karimi, M. Modelling and optimal lot-sizing of integrated multi-level multi-wholesaler supply chains under the shortage and limited warehouse space: Generalised outer approximation. International Journal of Systems Science: Operations and Logistics 2019, 6, 237–257. https://doi.org/10.1080/23302674.2018.1435835 . [CrossRef]
- Woarawichai, C.; Naenna, T. Solving inventory lot-sizing with supplier selec tion under alternative quantity discounts and vehicle capacity. International Journal of Logistics Systems and Management 2018, 30(2), 179–194. DOI: 10.1504/IJLSM.2018.091961. https://www.inderscience.com/offers.php?id=91961. [CrossRef]
- Bahroun, M.; Harbi, S.; Bouchriha, H. A new approach for ordering decision under uncertainties: a case study in the retail supply chain. International Journal of Logistics Systems and Management 2019, 32(3-4), 392–413. https://doi.org/10.1504/IJLSM.2019.098325. [CrossRef]
- Randa, A.C.; Dogru, M.K.; Iyigun, C.; Özen, U. Heuristic methods for the capacitated stochastic lot-sizing problem under the static-dynamic uncertainty strategy. Computers and Operations Research 2019, 109, 89–101. https://doi.org/10.1016/j.cor.2019.03.007. [CrossRef]
- Tai,P.; Huyen, P.; Buddhakulsomsiri, J. A novel modeling approach for a capacitated (s,t) inventory system with backlog under stochastic discrete demand and lead time. International Journal of Industrial Engineering Computations 2021, 12(1), 1–14. http://dx.doi.org/10.5267/j.ijiec.2020.10.004. [CrossRef]
- Chen, Z.; Rossi, R. A cash constrained single item stochastic lot-sizing problem. IFAC-PapersOnLine 2019, 52(13), 1479–1483. https://doi.org/10.1016/j.ifacol.2019.11.408. [CrossRef]
- Jeenanunta, C.; Kongtarat, V.; Buddhakulsomsiri, J. A simulation-optimisation approach to determine optimal order-up-to level for inventory system with long lead time. International Journal of Logistics Systems and Management 2021, 38(2), 253–276. http://dx.doi.org/10.1504/IJLSM.2021.113250. [CrossRef]
- Wisniewski, T.; Szymanski, R. Simulation-based optimisation of replenishment policy in supply chains. International Journal of Logistics Systems and Management 2021, 38(2), 135–150. https://doi.org/10.1504/IJLSM.2021.113234. [CrossRef]
- Drechsler, F.S. Decision trees and the second law. Operations Research Quarterly 1968, 19(4), 409–419. https://doi.org/10.2307/3008702. [CrossRef]
- Tyler, G.W. A thermodynamic model of manpower systems. Journal of Operational Research Society 1989, 40(2), 137–139. https://doi.org/10.1057/jors.1989.18. [CrossRef]
- Whewell, R. Turning up the heat under the supply-chain. Logistics Focus 1997, 5(4), 18–22.
- Chen, W-H. Business process management: a thermodynamics perspective. Journal of Applied Management Studies 1999 , 8(2), 241–257.
- Tseng, K-J. Application of thermodynamics on product life cycle. Journal of American Academy of Business 2004, 4(1/2), 464–470.
- Nuwayhid, R.Y.; Jaber, M.Y.; Rosen, M.A.; Sassine, G.P. On the thermodynamic treatment of diffusion-like economic commodity flow. International Journal of Exergy 2006, 3(1), 103–117. https://doi.org/10.1504/IJEX.2006.008328. [CrossRef]
- Bruyn, P.; Huysmans, P.; Mannaert, H.; Verelst, J. Understanding Entropy Generation during the Execution of Business Process Instantiations: An Illustration from Cost Accounting. Lecture Notes in Business Information Processing 2013, 103–117. https://doi.org/10.1007/978-3-642-38117-1 _8. [CrossRef]
- Jaber, M.Y.; Nuwayhid, R.Y.; Rosen, M.A. Price-driven economic order systems from a thermodynamic point of view. International Journal of Production Research 2004, 42(24), 5167–5184. https://doi.org/10.1080/00207540412331281971 . [CrossRef]
- Jaber, M.Y. Lot sizing with permissible delay in payments and entropy cost. Computers & Industrial Engineering 2007, 52(1), 78–88. https://doi.org/10.1016/j .cie.2006.10.004 . [CrossRef]
- Goyal, S. K. (1985). Economic order quantity under conditions of permissible delay in payments. Journal of Operational Research Society 1985, 36(4), 335–338. https://doi.org/10.1057/jors.1985.56 . [CrossRef]
- Jaber, M.Y.; Bonney, M.; Moualek, I. Lot sizing with learning, forgetting and entropy cost. International Journal of Production Economics 2009, 118(1), 19–25. https://doi.org/10.1016/j .ijpe.2008.08.006 . [CrossRef]
- Jaber, M.Y., Bonney, M. The effects of learning and forgetting on the optimal lot size quantity of intermittent production runs. Production Planning and Control 1998, 9, 20–27.
- Castellano, D. Stochastic Reorder Point-Lot Size (r,Q) Inventory Model under Maximum Entropy Principle. Entropy 2016, 18(1), 16. https://doi.org/10.3390/e18010016. [CrossRef]
- You, M.; Xiao, Y.; Zhang, S.; Zhou, S.; Yang, P.; Pan, X. Modeling the Capacitated Multi-Level Lot-Sizing Problem under Time-Varying Environments and a Fix-and-Optimize Solution Approach. Entropy 2019, 21(4), 377. https://doi.org/10.3390/e21040377. [CrossRef]
- Riccardo, J.J.; Riccardo, J.L.; Ramirez-Pastor, A.J.; Pasinetti, P.M. Multiple Exclusion Statistics. Phys. Rev. Lett. 2019, 123, 020602–5.
- Riccardo, J.J.; Pasinetti, P.M.; Ramirez-Pastor, A.J.; Riccardo, J.L. Exclusion statistics for structured particles on topologically correlated states. I. Single species lattice gases. Phys. Rev. E 2025, 111, 014122–13. https://doi.org/10.1103/PhysRevE.111.014122. [CrossRef]
- Riccardo, J.J.; Pasinetti, P.M.; Ramirez-Pastor, A.J.; Riccardo, J.L. Exclusion statistics for structured particles on topologically correlated states. II. Multicomponent lattice gases. Phys. Rev. E 2025, 111, 014123–19. https://doi.org/10.1103/PhysRevE.111.014123. [CrossRef]
- Sanchez-Varretti, F.O.; Garcia, G.D.; Pasinetti, P.M.; Ramirez-Pastor, A.J. Adsorption of binary mixtures on two-dimensional surfaces: theory and Monte Carlo simulations. Adsorption 2014, 20, 855–862. http://dx.doi.org/ 10.1007/s10450-014-9627-7. [CrossRef]
- Sanchez-Varretti, F.O.; Bulnes, F.M.; Ramirez-Pastor, A.J. A cluster-exact approximation study of the adsorption of binary mixtures on heterogeneous surfaces. Appl. Surf. Sci. 2016, 387, 268–273. https://doi.org/10.1016/j .apsusc.2016.06.112. [CrossRef]
- De La Cruz Feliz, N.M.; Longone, P.J.; Sanchez-Varretti, F.O.; Bulnes, F.M.; Ramirez-Pastor, A.J. Cluster approximation applied to multisite-occupancy adsorption: configurational entropy of the adsorbed phase for dimers and trimers on triangular lattices. Phys. Chem. Chem. Phys. 2023, 25, 14942–14954 . http://dx.doi.org/10.1039/D3CP00550J. [CrossRef]
- Longone, P.J.; Sanchez-Varretti, F.O.; Bulnes, F.M.; Ramirez-Pastor, A.J. Lattice-gas model of methane and carbon dioxide sI clathrate hydrates: A comprehensive study using analytical cluster approximation and Monte Carlo simulations. Phys. Rev. E 2024, 110, 064103–15. https://doi.org/10.1103/PhysRevE.110.064103. [CrossRef]
- Lebrecht, W.; Centres, P.M.; Ramirez-Pastor, A.J. Analytical approximation of the site percolation thresholds for monomers and dimers on two-dimensional lattices. Physica A 2019, 516, 133–143. https://doi.org/10.1016/j .physa.2018.10.023. [CrossRef]
- Vogel, E.E.; Vargas, P.; Saravia, G.; Valdes, J.; Ramirez-Pastor, A.J.; Centres, P.M. Thermodynamics of Small Magnetic Particles. Entropy 2017, 19, 499–519. https://doi.org/10.3390/e19090499. [CrossRef]
- Baxter, R.J. Exactly solved models in statistical mechanics, Dover Publications, Inc.: NY, 2007.
- Hill, T.L. An Introduction to Statistical Thermodynamics, Addison-Wesley: Reading, USA, 1960.
- Friedli, S.; Velenik, Y. Statistical Mechanics of Lattice Systems: A Concrete Mathematical Introduction, Cambridge University Press: USA, 2018.
- arXiv:2502.06856v1.Tobares, T.D.; Mieras, M.M; Sanchez-Varretti, F.O.; Iguain, J.L.; Ramirez-Pastor, A.J.; A Physical Model Approach to Order Lot Sizing. submitted, arXiv:2502.06856v1. https://doi.org/10.48550/arXiv.2502.06856 . [CrossRef]
- Ramirez-Pastor, A.J.; Aligia, A.; Romá, F.; Riccardo, J.L. Multisite-Occupancy Adsorption and Surface Diffusion of Linear Adsorbates in Low Dimensions: Rigorous Results for a Lattice Gas Model. Langmuir 2000, 16, 5100–5105. https://doi.org/10.1021/la991416x . [CrossRef]
- Romá, F.; Ramirez-Pastor, A.J.; Statistical thermodynamics of adsorbates with nonsymmetrical lateral interactions. Phys. Rev. E 2004, 69, 036124. https://doi.org/10.1103/PhysRevE.69.036124 . [CrossRef]






| Lot-sizing model | Lattice-gas model |
|---|---|
| M, planing horizon | M, lattice size |
| N, number of orders | N, number of adsorbed particles |
| , ordering cost | , effective chemical potential, adsorbate-adsorbent interaction |
| , holding cost | adsorbate-adsorbate interaction |
| N | M = 4 | M = 6 | M = 12 |
|---|---|---|---|
| 1 | 15 (0.25) | 25 (0.16) | 55 (0.083) |
| 2 | 5 (0.50) | 10 (0.3) | 25 (0.16) |
| 3 | … | 5 (0.50) | 15 (0.25) |
| 4 | … | … | 10 (0.3) |
| 6 | … | … | 5 (0.50) |
Disclaimer/Publisher’s Note: The statements, opinions and data contained in all publications are solely those of the individual author(s) and contributor(s) and not of MDPI and/or the editor(s). MDPI and/or the editor(s) disclaim responsibility for any injury to people or property resulting from any ideas, methods, instructions or products referred to in the content. |
© 2025 by the authors. Licensee MDPI, Basel, Switzerland. This article is an open access article distributed under the terms and conditions of the Creative Commons Attribution (CC BY) license (http://creativecommons.org/licenses/by/4.0/).