Submitted:
19 May 2025
Posted:
23 May 2025
You are already at the latest version
Abstract
Keywords:
MSC: 35A22; 35R11
1. Introduction
2. Elzaki Transform
3. Analysis of Proposed Scheme
3.1. Convergence Analysis
4. Numerical Applications

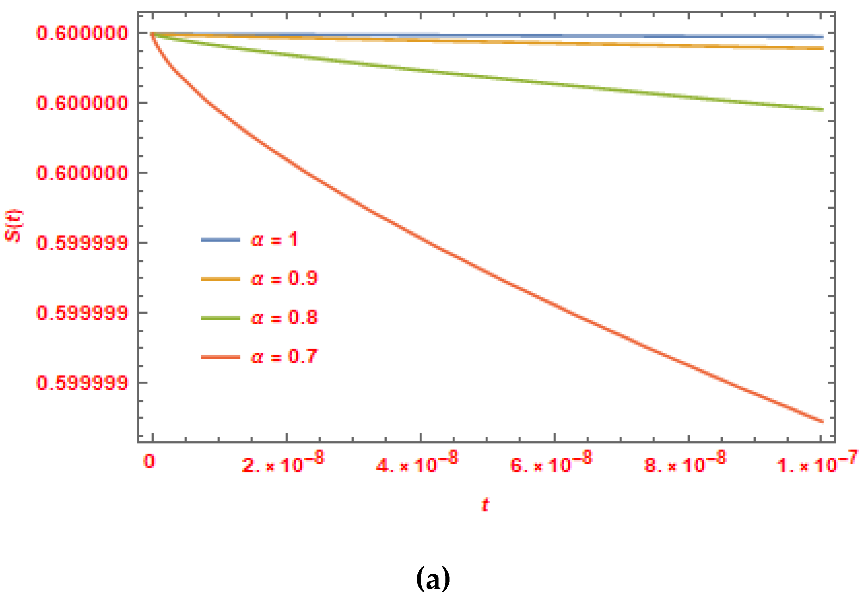
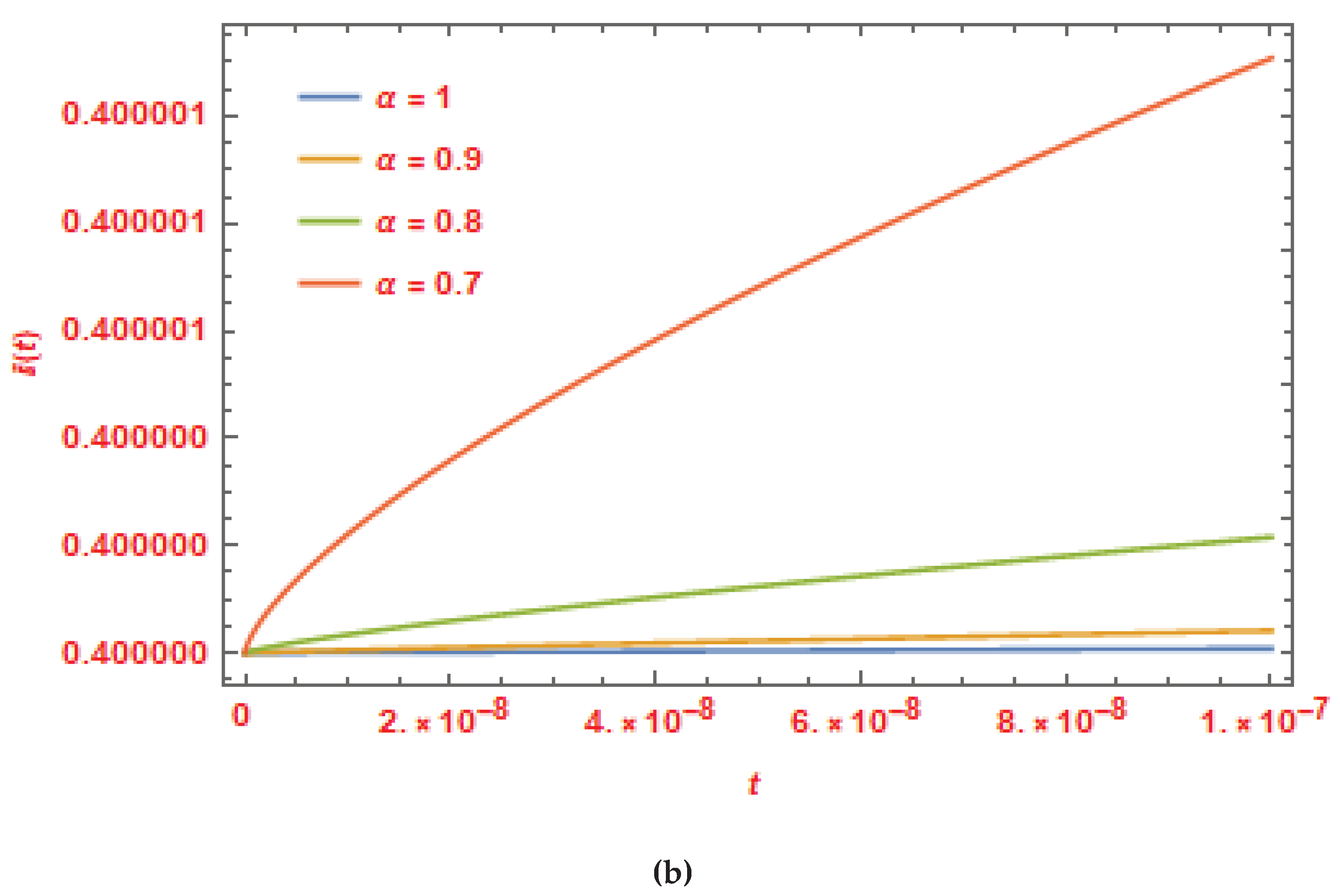
5. Results and Simulations
6. Conclusions
Authors Contributions
Data Availability Statement
Acknowledgement
Conflicts of Interest
References
- J. Biazar, H. Ghazvini, He’s variational iteration method for solving linear and non-linear systems of ordinary differential equations, Appl. Math. Comput. 191 (2007) 287–297. [CrossRef]
- S.A. Khuri, A. Sayfy, A Laplace variational iteration strategy for the solution of differential equations,Applied Mathematics Letters 25 (2012) 2298–2305. [CrossRef]
- E. Hesameddini and H. Latifizadeh, “Reconstruction of variational iteration algorithms using the Laplace transform,” International Journal of Nonlinear Sciences and Numerical Simulation, vol. 10, no.11-12, pp. 1377–1382, 2009. [CrossRef]
- G.C. Wu. Laplace transform Overcoming Principle Drawbacks in Application of the Variational Iteration Method to Fractional Heat Equations, THERMAL SCIENCE 16 (4) (2012) 1257-1261. [CrossRef]
- Tarig M. Elzaki, Application of Projected Differential Transform Method on Nonlinear Partial Differential Equations with Proportional Delay in One Variable, World Applied Sciences Journal 30 (3): 345-349, 2014. [CrossRef]
- Tarig M. Elzaki, and J. Biazar, Homotopy Perturbation Method and Elzaki Transform for Solving System of Nonlinear Partial Differential Equations, World Applied Sciences Journal 24 (7): 944-948, 2013. [CrossRef]
- Tarig. M. Elzaki- Salih M. Elzaki – Elsayed A. Elnour, On the New Integral Transform “ELzaki Transform” Fundamental Properties Investigations and Applications, Global Journal of Mathematical Sciences: Theory and Practical, ISSN 0974-3200 Volume 4, Number 1 (2012), pp. 1-13 © International Research Publication House.
- Tarig M. Elzaki, and Salih M. Elzaki, On the Connections Between Laplace and Elzaki Transforms, Advances in Theoretical and Applied Mathematics. ISSN 0973-4554 Volume 6, Number 1 (2011), pp. 1-11.
- Tarig. M. Elzaki, Eman M. A. Hilal. Solution of Telegraph Equation by Modified of Double Sumudu Transform "Elzaki Transform", Mathematical Theory and Modeling, ISSN 2224-5804 (Paper) ISSN 2225-0522 (Online), Vol.2, No.4, (2012), pp, 95-103.
- Tarig. M. Elzaki, Double Laplace Variational Iteration Method for Solution of Nonlinear Convolution Partial Differential Equations, Archives Des Sciences, ISSN 1661-464X, Vol. 65, No. 12;Dec 2012, PP. 588-593.
- Shams A. Ahmed, Tarig M. Elzaki, Anis Mohamed, "Solving Partial Differential Equations of Fractional Order by Using a Novel Double Integral Transform", Mathematical Problems in Engineering, vol. 2023, Article ID 9971083, 12 pages, 2023. [CrossRef]
- Tarig M. Elzaki, Mourad Chamekh and Shams A. Ahmed, Convergence and application of a modified double Laplace transform (MDLT) in some equations of mathematical physics, Advances in Differential Equations and Control Processes 30(2) (2023), 151-168. [CrossRef]
- Kermack, W. O. & McKendrick, A. G. 1927 Contribution to the Mathematical Theory of Epidemics, Proc Roy. Soc. Lond. A. A115, 700-721. [CrossRef]
- Diekmann, O., Heesterbeek, J.A.P. & Metz, J. A. J.1990 On the Definition and Computation of the Basic Reproductive Ratio in Models for Infectious Diseases in Heterogeneous Population, J. Math Biol. 28, 365-382. [CrossRef]
- Hethcote, H. W. 2000 The Mathematics of Infectious Diseases, SIAM Rev. 42, 599-653.
- West, R. W. & Thompson, J. R.1997 Models for the Simple Epidemic, Math. Biosci. 141, 29-39.
- Nucci, M. C. & Leach, P. G. L. 2004 An integrable SIS model, J. Math. Anal. Appl. 290, 506-518. [CrossRef]
- Tarig M. Elzaki and A. A. Ishag. Modified Laplace Transform and Ordinary Differential Equations with Variable Coefficients, World Engineering & Applied Sciences Journal 10 (3): 79-84, 2019. [CrossRef]
- G. Shabbir, H. Khan,and M.A. Sadiq, A note on Exact solution of SIR and SIS epidemic models, arXiv: 10102.5035v1, [math.CA] (2010), 1{6}.
- Tarig M. Elzaki, Mourad Chamekh, Shams A. Ahmed, Modified Integral Transform for Solving Benney-Luke and Singular Pseudo-Hyperbolic Equations, acta mechanica et automatica, vol.18 no.1 (2024). (https://intapi.sciendo.com/pdf/10.2478/ama-2024-0018). [CrossRef]
- Tarig M. Elzaki, Mohamed Z. MOHAMED, A NOVEL ANALYTICAL METHOD FOR THE EXACT SOLUTION OF THE FRACTIONAL-ORDER BIOLOGICAL POPULATION MODEL, August 2024Acta Mechanica et Automatica 18(3):564-570. [CrossRef]
- Abd. Elmohmoud, Eltaib M., and Tarig M. Elzaki. 2025. "An Innovative Analytical Approach for the Solution of Fractional Differential Equations Using the Integral Transform" Axioms 14, no. 5: 363. [CrossRef]
- Shams A. Ahmed, Rania Saade, Ahmad Qazza and Tarig Elzaki, Applying Conformable Double Sumudu – Elzaki Approach to Solve Nonlinear Fractional Problems, Progr. Fract. Differ. Appl. 10, No. 2, 271-286 (2024). (https://www.naturalspublishing.com/Article.asp?ArtcID=26619). [CrossRef]
- Elzaki, T.M., Ahmed, S.A. Novel approach for solving fractional partial differential equations using conformable Elzaki Transform. J.Umm Al-Qura Univ. Appll. Sci. (2024). [CrossRef]
- Shams A. Ahmed, Mohammed G. S. Al-Safi, Tarig M. Elzaki, Approximate Solutions for the Differential Equations by Using the Nonconformable Fractional Sumudu Transform, International Journal of Mathematics and Mathematical Sciences16 May 2025. [CrossRef]
Disclaimer/Publisher’s Note: The statements, opinions and data contained in all publications are solely those of the individual author(s) and contributor(s) and not of MDPI and/or the editor(s). MDPI and/or the editor(s) disclaim responsibility for any injury to people or property resulting from any ideas, methods, instructions or products referred to in the content. |
© 2025 by the authors. Licensee MDPI, Basel, Switzerland. This article is an open access article distributed under the terms and conditions of the Creative Commons Attribution (CC BY) license (http://creativecommons.org/licenses/by/4.0/).
