Submitted:
28 May 2025
Posted:
28 May 2025
You are already at the latest version
Abstract
Keywords:
1. Introduction
- Copenhagen Interpretation: This interpretation postulates an explicit division between the quantum and classical domains. Upon measurement, the wavefunction collapses non-unitarily into a single eigenstate, with probabilities dictated by the Born rule. While widely used due to its simplicity and practical utility, the Copenhagen interpretation does not provide a clear dynamical mechanism for collapse, relying instead on an ambiguous "Heisenberg cut" separating quantum from classical behavior (von Neumann, Mathematical Foundations of Quantum Mechanics, 1932). As a result, it introduces two fundamentally different types of evolution-unitary evolution governed by Schrödinger’s equation and non-unitary collapse-without a physically explicit criterion to distinguish when collapse occurs.
- Many-Worlds Interpretation (MWI): Everett's formulation (Everett, The Relative State Formulation of Quantum Mechanics, 1957). avoids wavefunction collapse altogether, proposing that all possible outcomes simultaneously occur in a continuously branching universal wavefunction, effectively creating a multiverse. This interpretation removes the special role of measurement and maintains purely unitary dynamics. However, it raises significant conceptual issues, such as justifying why observers experience a unique outcome and deriving the Born rule probabilities from the universal wavefunction’s structure. Despite attempts based on decision theory and typicality arguments, achieving consensus on the Born rule derivation remains challenging, leaving open fundamental questions about probability and observer identity. (Everett, et al., 1973)
- Objective Collapse Models: Theories like Ghirardi-Rimini-Weber (Ghirardi, Rimini, & Weber, 1986) and Continuous Spontaneous Localization (CSL) introduce new nonlinear and stochastic elements that spontaneously localize the wavefunction, producing collapse independent of observation. These models effectively solve the measurement problem by providing a physical mechanism for collapse, testable through empirical phenomena such as spontaneous heating and decoherence. However, these theories require introducing new physical parameters absent from standard quantum mechanics, often conflicting with symmetries like Lorentz invariance and raising questions regarding faster-than-light signaling and preferred reference frames. (Diósi, 1989) (Penrose, 1996) (Pearle, 1989)
- Environment-Induced Decoherence: Though not an interpretation itself, decoherence (Zeh, 1970) (Zurek, Decoherence, einselection, and the quantum origins of the classical, 2003) is a physical process crucial to interpreting quantum mechanics. Decoherence describes how a quantum system interacting with a large environment rapidly loses coherence in a preferred basis, known as the "pointer basis," becoming effectively classical. However, decoherence alone does not produce a single definite outcome. Instead, it yields a classical statistical mixture of possible outcomes without specifying why only one is perceived. Decoherence thus shifts the measurement problem rather than fully resolving it, emphasizing the need for an additional criterion to transition from a decohered mixture to an actual observed outcome.
- Relational and Epistemic Interpretations: Interpretations like Relational Quantum Mechanics (Rovelli, 1996) and Quantum Bayesianism (Fuchs, Mermin, & Schack, An introduction to QBism with an application to the locality of quantum mechanics, 2014) hold an epistemic view, interpreting the quantum state not as a physical entity but as reflecting an observer’s knowledge or beliefs. Collapse, therefore, becomes a Bayesian update of information upon measurement. While elegantly avoiding the need for physical collapse, these views raise questions about intersubjective agreement, why multiple observers consistently perceive identical outcomes, and may be accused of sidestepping rather than solving the measurement problem, particularly regarding why certain outcomes are realized and others are not.
- Formally describe open quantum system dynamics, decoherence, and entropy generation;
- Derive the entropy-coherence inequality from foundational principles;
- Outline operational methods to measure environmental entropy via calorimetry and photon scattering;
- Derive the Born rule from symmetry considerations (envariance) and maximum entropy inference, without new physical assumptions;
- Analyze observer-relative collapse, resolving paradoxes like Wigner's Friend and delayed-choice interference via entropy-based consistency;
- Demonstrate relativistic consistency using the Tomonaga-Schwinger formalism, ensuring frame-independent collapse tied to local entropy;
- Propose an optomechanical experiment to empiricallyPropose an optomechanical experiment to empirically test the entropy-collapse relationship, linking entropy production to measurable interference visibility.
2. Theory and Literature Review
2.1. Measurement and the Problem of Outcomes
2.2. Decoherence and the Appearance of Classicality
2.3. Thermodynamic Irreversibility and Collapse Criterion
2.4. Interpretative Synthesis and Clarification
- Like Many-Worlds (Everett, The Relative State Formulation of Quantum Mechanics, 1957), we maintain universal unitarity and no fundamental wavefunction collapse. However, we reject an ontology of infinite equally real branches, proposing instead that "collapse" arises when an outcome becomes thermodynamically irreversible from the observer’s perspective.
- Borrowing from Relational Quantum Mechanics (Rovelli, 1996), we emphasize that collapse is observer-relative, occurring when a specific observer acquires irreversible thermodynamic records. Different observers may initially assign differing quantum states, but they reconcile their descriptions upon mutual interactions and shared irreversible entropy production.
- Unlike Objective Collapse Models (GRW, CSL, Penrose), we introduce no new stochastic dynamics or hidden physics. Our predictions align strictly with standard quantum mechanics and known thermodynamics, avoiding the conceptual and empirical complications these models face (Bassi, Lochan, Satin, Singh, & Ulbricht, 2013).
- Compared to QBism (Fuchs, Mermin, & Schack, An introduction to QBism with an application to the locality of quantum mechanics, 2014), we agree that wavefunction collapse corresponds to epistemic Bayesian updating. However, we retain the wavefunction’s ontic, objective character. Thermodynamic irreversibility, rather than subjective belief, constrains observers, ensuring intersubjective consistency.
- Quantum measurement outcomes arise from thermodynamic irreversibility.
- Decoherence alone is insufficient; irreversibility distinguishes collapse.
- The collapse criterion is rigorously defined by environmental entropy thresholds.
3. Formalism: Entropy, Coherence Relations and Dynamics
3.1. Measurement Interaction and Entropy Production
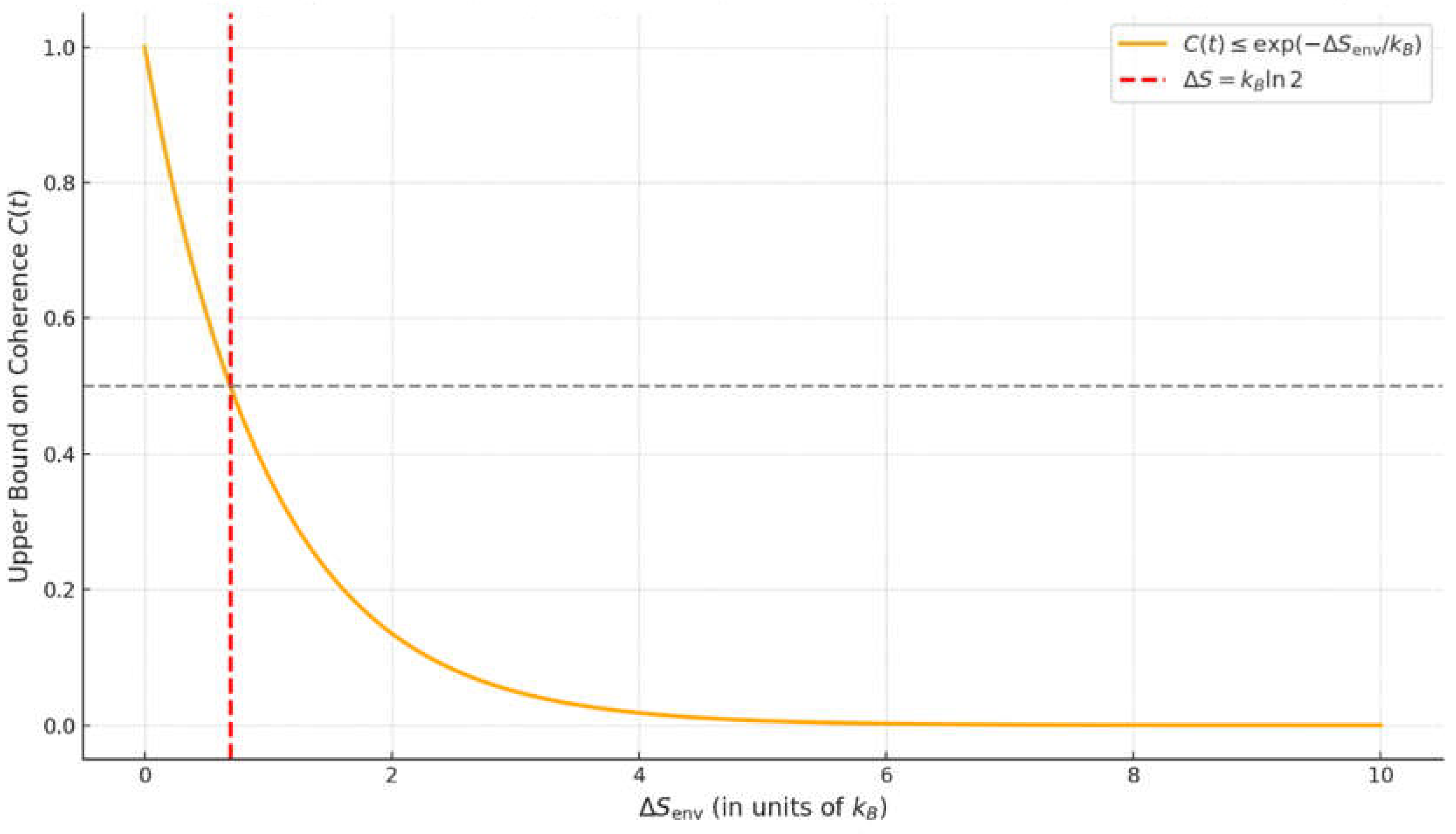
3.2. Thermodynamic Decoherence and the Coherence-Entropy Bound
- If residual coherence is present,
- As the environment’s entropy production , the discord
- In the limit , the system is effectively classical.
3.3. Poincaré Recurrence and Its Suppression
3.4. Relativistic Covariance with Tomonaga-Schwinger Formalism
3.5. Derivation of the Born Rule from Entropy and Envariance
3.6. Experimental Proposal: Optomechanical Test of Entropy-Induced Collapse
4. Ontology and Interpretational Implications
5. Relativistic Consistency and Quantum Gravity
7. Conclusions
Appendix A
Appendix A1. Entropy-Coherence Trade-off Theorem
- a. Theorem A.1 (Entropy-Coherence Suppression in Open Quantum Systems)
- b. Formal Derivation of the Entropy-Coherence Tradeoff Theorem
- is the dephased (diagonal) version of , obtained by deleting all off-diagonal elements in the chosen basis.
- denotes the trace norm (also known as the Schatten 1-norm).
- Non-negativity: , with equality if and only if is diagonal in the specified basis.
- Monotonicity: is non-increasing under incoherent completely positive trace-preserving (ICPTP) maps.
- Basis Dependence: Coherence is defined relative to a fixed orthonormal basis, typically chosen as the pointer basis selected by the decohering environment.
- is the change in von Neumann entropy of the system,
- is the reduced state of the system at time
- is the von Neumann entropy.
- Incoherence Preservation (Pointer Basis Stability): There exists a fixed orthonormal basis (the pointer basis) such that for any diagonal state , the channel satisfies: .
- Quantum Detailed Balance (with respect to a thermal state): There exists a stationary Gibbs state with the system Hamiltonian, , and partition function , such that satisfies the quantum detailed balance condition. This implies time-reversal symmetry at equilibrium and ensures thermodynamic consistency of the dissipative dynamics.
- Strict Entropy Production (Irreversibility Condition): For all the environment absorbs entropy under the evolution . This expresses the irreversible nature of decoherence and ensures that information leakage into the environment accumulates irreversibly.
- The pointer basis arises dynamically as the eigenbasis in which the system’s reduced state becomes diagonal due to environmental monitoring, typically associated with robust classical records.
- Quantum detailed balance guarantees that the long-time behavior of the channel aligns with equilibrium statistical mechanics, ensuring compatibility with fluctuation theorems.
- Strict entropy production is essential for enforcing thermodynamic irreversibility and for preventing recoherence in practice.
- is the von Neumann entropy, and
- is the fully dephased version of in a fixed pointer basis.
- At :
- At time , assuming the CPTP map preserves diagonality (i.e ), we write:
- The forward process corresponds to decoherence: loss of coherence due to entanglement with and entropy flow into .
- The reverse process corresponds to recoherence: spontaneous restoration of initial coherence due to an unlikely entropy-reducing fluctuation in .
- Recoherence is exponentially suppressed with growing environmental entropy.
- This explains the practical irreversibility of decoherence in macroscopic systems: for large , the recoherence probability becomes vanishingly small.
- This result justifies the exponential upper bound on coherence derived in Theorem A.4:
- : number density of environmental particles,
- : effective scattering cross-section,
- : mean relative thermal velocity of collisions,
Appendix B
Appendix B1. Landauer’s Principle and Measurement Entropy
- Before measurement: The apparatus is in a standard ready state .
- After measurement: The memory is in either or , correlated with the system.
- To reuse the apparatus, it must be reset to an erasure of the outcome.
- By Landauer’s principle, this erasure entails a minimum entropy cost:
- If , the process is potentially reversible, and quantum interference can be restored (e.g., via quantum eraser protocols).
- If , which-path information has become thermodynamically irreversible, and interference is permanently suppressed unless a compensating entropy sink is provided.
- Less than one bit of entropy: weak-measurements may still allow reversal.
- One or more bits of entropy: the measurement becomes classically irreversible.
- Collapse is not triggered by wavefunction dynamics, but by entropy production.
- Once information is irreversibly encoded in the environment, classical outcomes emerge.
- The threshold is therefore a natural boundary between quantum reversibility and classical definiteness.
Appendix C
Appendix C1. Born Rule Derivation via Envariance and Maximum Entropy
- Envariance (environment-assisted invariance) as introduced by Zurek (2005),
- Symmetry arguments in the presence of entanglement,
- Maximum entropy (MaxEnt) principles for assigning probabilities under constrained knowledge, and
- The structure of the reduced density matrix after decoherence.
- Additive over mutually orthogonal outcomes,
- Non-contextual,
- Defined in dimension ,
- Gleason’s dependence: The use of unitary symmetry in Hilbert spaces of dimension ≥3 implicitly invokes assumptions akin to those used in Gleason’s theorem (Gleason, 1957).
- Critique by (Barnum, Caves, Finkelstein, Fuchs, & Schack, 2000): They highlight that even in envariant constructions, non-contextuality and additivity must be assumed to consistently assign probabilities across disjoint subspaces.
- Assumption of continuity: Extending rational weights to irrational coefficients assumes continuity of probability assignments, which may not be derivable without extra axioms.
- Unitary equivalence implies equiprobability: This is not derived from first principles but taken as a symmetry-guided inference.
- Contextual independence: Probabilities are assigned without influence from the experimental arrangement.
- Continuity of probability assignments: The limit of fine-grained rational partitions is assumed to extend naturally to irrational amplitudes.
- Violates normalization,
- Conflicts with the observable statistics of measurements,
- Breaks envariance symmetry or continuity.
- Epistemic limitation: The observer has complete knowledge of the reduced state but no access to the full system-environment entangled state .
- Inferential neutrality: Among all probability distributions consistent with the eigenvalues of , the least-biased choice is the one maximizing Shannon entropy .
- Consistency with reduced spectrum: The observer accepts as the marginal constraint on outcome statistics.
- No preferred basis beyond decoherence: The pointer basis is selected by environment-induced decoherence; no hidden variables or measurement postulates are invoked.
- Additivity and normalization: Probabilities are additive and normalized, consistent with classical probability theory embedded within quantum state assignments.
- Match the decohered state’s spectrum:
- Reflect the loss of coherence and knowledge about global correlations
- Maximize inferential neutrality (least bias)
- Maximizes entropy under the observer’s constraints
- Is consistent with the pointer-basis decohered state
- Respects the thermodynamic irreversibility locking these weights in the environment.
- Irreversibility of environmental record formation
- Inaccessibility of off-diagonal information
- Entropy-maximizing inference under epistemic constraints.
Appendix D
Appendix D1. Wigner’s Friend Thought Experiment
- and (large irreversible entropy).
- Quantum discord between and has vanished: ,
- The reduced state of the system is now a classical mixture in the basis
- If decoherence has occurred (large ), both Friend and Wigner observe definite outcomes and agree statistically.
- If decoherence has not occurred, then coherence is recoverable and Wigner can observe interference, but Friend's memory was not classical.
- Friend’s collapse occurs when her memory becomes thermodynamically stable (at ),
- Wigner’s collapse occurs when he interacts with the system (e.g., measures ) or decoheres with it indirectly.
- Facts are relative: they emerge through irreversible entanglement and decoherence.
- Memory stability (as enforced by Landauer’s principle and Appendix B) is what determines whether a measurement record is “real”.
- No conflict arises between Wigner and Friend as each updates their state of knowledge based on their respective causal histories and interactions.
Appendix E
Appendix E1. Additional Notes on Relational and QBist Interpretations
- Collapse occurs for a given observer when they interact with a system in such a way that irreversible entropy is generated.
- Observers who are spacelike-separated (e.g., in Wigner’s Friend setups) may assign different states to the same system, without contradiction, as long as no communication or interaction has occurred.
- Agreement between observers is achieved once their light cones intersect and sufficient entropy has rendered the event irreversible and publicly accessible.
Appendix F
Appendix F1. Extended Derivation and Applications of the Entropy-Coherence Inequality (Supplement to Appendix A)
- be the initial quantum state (assumed pure and coherent in the pointer basis).
- be the fully dephased version of in pointer basis (retaining only diagonal elements).
- : a trace-norm measure of coherence.
- be a completely positive trace-preserving (CPTP) map describing open system dynamics (e.g., Lindblad evolution).
- be the entropy irreversibly produced in the environment by time due to , measured in units of unless otherwise specified.
- Trace distance is contractive under CPTP maps:
- Let , then:
- Assume incoherence preservation: , we obtain:
- Where and, . This quantity measures the distinguishability of from its diagonal (incoherent) version in the fixed basis.
- For α → 1, this converges to the relative entropy of coherence:
- Incoherent-preserving:
- Entropy-generating:
- Monotonicity: Under incoherent operations, coherence cannot increase:
- Total entropy production (by second law):
- with:
- Expanding the coherence difference:
- Forward Protocol: Consider a quantum measurement scenario in which an initially isolated system-plus-apparatus state undergoes unitary evolution and subsequent coupling to a thermal environment at temperature . This interaction produces an entropy increase . Formally, the forward process protocol can be described as: , where is the initial thermal equilibrium state of the environment at temperature and is the global unitary evolution.
-
Reverse Protocol: The reverse process is defined by starting from the final system-apparatus-environment state obtained from the forward protocol, , and applying the time-reversed unitary evolution , reverting the system back toward its initial state:cii. Conditions for Fluctuation Theorems: Microscopic Reversibility and Ensemble Definitions
-
Microscopic Reversibility: The total system-apparatus-environment Hamiltonian must be time-reversal symmetric, ensuring detailed balance at the microscopic level. Formally, this condition require:where denotes the time-ordering (anti-time ordering) operator.
- Thermal Equilibrium Environment and Initial Ensemble: The environment is initially in thermal equilibrium at temperature , described by the Gibbs state: , where is the environment Hamiltonian.
- 3.
- System-Bath Interaction and Markovian Limit: The dynamics after partial tracing over the environment are effectively Markovian, allowing a Lindblad master equation approximation for the reduced system-apparatus state . The Lindblad form arises naturally when the environment correlation time is much shorter than system timescales. (Breuer & Petruccione, 2002)
- Markovian approximation: The Lindblad description and resulting inequality hold strongly in the Markovian regime (environment correlation times shorter than system timescales). For non-Markovian environments, deviations might occur, necessitating more refined formalisms.
- Finite-dimensional Hilbert spaces: While the inequality generalizes well, its exact exponential form is strictly valid for finite-dimensional or effectively finite-dimensional Hilbert spaces. Infinite-dimensional generalizations require careful treatment and potentially modified inequalities.
- Thermodynamic limit and typicality: Fluctuation theorems strictly require thermodynamic or statistical ensembles with many degrees of freedom. The exponential suppression becomes exact in large ensembles, while finite-size corrections might appear otherwise.
- : A measure of quantum coherence at time (e.g., of coherence or visibility).
- : The decoherence rate, determined by properties of the system-environment interaction.
- n: Number density of environmental particles (e.g., gas molecules)
- : Effective scattering cross-section
- : Mean thermal velocity of the environment particles.
- Von Neumann Entropy: Measures uncertainty in a quantum state.
- Environmental Entropy (): Entropy irreversibly gained by the environment due to measurement.
- Entanglement Entropy: For pure states, the entropy of a subsystem, equal to its partner's entropy.
References
- Arndt, M., & Gerlich, S. (2019). Quantum superposition of molecules beyond 25 kDa. Nature Physics, 15, 1242-1245. [CrossRef]
- Aspelmeyer, M., Kippenberg, T. J., & Marquardt, F. (2014). Cavity optomechanics. Reviews of Modern Physics, 86(4), 1391-1452. [CrossRef]
- Barnum, H., Caves, C. M., Finkelstein, J., Fuchs, C. A., & Schack, R. (2000). Quantum probability from decision theory? Proceedings of the Royal Society A Marthematical, Physical and Engineering Sciences, 456, 1175-1182. [CrossRef]
- Barzanjeh, S., Xuereb, A., Gröblacher, S., Regal, C. A., Paternostro, M., & Weig, E. M. (2022). Optomechanics for quantum technologies. Nature Physics, 18, 15-24. From https://www.nature.com/articles/s41567-021-01402-0.
- Bassi, A., Dorato, M., & Ulbricht, H. (2023). Collapse models: A theoretical, experimental and philosophical review. Entropy, 25(4), 645. [CrossRef]
- Bassi, A., Lochan, K., Satin, S., Singh, T. P., & Ulbricht, H. (2013). Models of wave-function collapse, underlying theories, and experimental tests. Reviews of Modern Physics, 85(2), 471-527. [CrossRef]
- Baumgratz, T., Cramer, M., & Plenio, M. B. (2014). Quantifying Coherence. Physical Review Letters, 113(14). From https://arxiv.org/abs/1311.0275.
- Bell, J. (1990). Against 'measurement'. Phys. World, 3(8), 33. [CrossRef]
- Boltzmann, L. (1909). Wissenschaftliche Abhandlungen. From https://archive.org/details/wissenschaftlich0000bolt/page/n5/mode/2up.
- Bong, K. W., Utreras-Alarcón, A., Ghafari, F., Liang, Y. C., Tischler, N., Cavalcanti, E. G., . . . Wiseman, H. M. (2020). A strong no-go theorem on the Wigner’s friend paradox. Nature Physics, 16(12), 1199-1205. [CrossRef]
- Brandão, F. G., Horodecki, M., Ng, N. H., Oppenheimer, J., & Wehner, S. (2015). The second laws of quantum thermodynamics. Proceedings of the National Academy of Sciences, 112(11), 3275-3279. [CrossRef]
- Breuer, H., & Petruccione, F. (2002). The Theory of Open Quantum Systems. Oxford University Press. [CrossRef]
- Campisi, M., Hänggi, P., & Talkner, P. (2011). Colloquium: Quantum fluctuation relations: Foundations and applications. Reviews of Modern Physics, 83(3), 771-791. [CrossRef]
- Chang, D. E., Regal, C. A., Papp, S. B., Wilson, D. J., Ye, J., Painter, O., . . . Zoller, P. (2010). Cavity optomechanics using an optically levitated nanosphere. Proceedings of the National Academy of Sciences, 107(3), 1005-1010. [CrossRef]
- Combining stochastic dynamical state-vector reduction with spontaneous localization. (1989). Physical Review A, 39(5), 2277--2289. [CrossRef]
- Crooks, G. E. (1999). Entropy production fluctuation theorem and the nonequilibrium work relation for free energy differences. Physical Review E, 60(3), 2721-2726. [CrossRef]
- Deutsch, D. (1999). Quantum theory of probability and decisions. Proceedings of the Royal Society A, 455(1988), 1999. [CrossRef]
- Diósi, L. (1989). Models for universal reduction of macroscopic quantum fluctuations. Physical Review A, 40(3), 1165-1174. [CrossRef]
- Eberhard, P. H., & Ross, R. R. (1989). Quantum field theory cannot provide faster-than-light communication. Foundations of Physics Letters, 2, 127-149. From https://link.springer.com/article/10.1007/BF00696109.
- Esposito, M., Harbola, U., & Mukamel, S. (2009). Nonequilibrium fluctuations, fluctuation theorems, and counting statistics in quantum systems. Reviews of Modern Physics, 81(4), 1665-1702. [CrossRef]
- Everett, H. (1957). The Relative State Formulation of Quantum Mechanics. Reviews of Modern Physics, 29, 454-462. [CrossRef]
- Everett, H., Wheeler, J. A., DeWitt, B. S., Cooper, L. N., Van Vechten, D., & Graham, N. (1973). The Many Worlds Interpretation of Quantum Mechanics. Princeton University Press. From http://www.jstor.org/stable/j.ctt13x0wwk.
- Fuchs, C. A., & Schack, R. A. (2010). A Quantum-Bayesian Route to Quantum-State Space. Found Phys, 41, 345-356. [CrossRef]
- Fuchs, C. A., Mermin, N. D., & Schack, R. (2014). An introduction to QBism with an application to the locality of quantum mechanics. American Journal of Physics, 82(8), 749-754. [CrossRef]
- Gasbarri, G., Belenchia, A., Carlesso, M., Donadi, S., Bassi, A., Kaltenbaek, R., . . . Ulbricht, H. (2021). Testing the foundations of quantum physics in space: Interferometric and non-interferometric tests with large particles. Communications Physics, 4(155). From https://www.nature.com/articles/s42005-021-00656-7.
- Ghirardi, G. C., Rimini, A., & Weber, T. (1986). Unified dynamics for microscopic and macroscopic systems. Physical Review D, 34(2), 470-491. [CrossRef]
- Ghose, P., & Home, D. (1991). Manifestly Lorentz covariant formulation of the Einstein-Podolsky-Rosen problem using the Tomonaga-Schwinger formalism. Physical Review A, 43. From https://journals.aps.org/pra/abstract/10.1103/PhysRevA.43.6382.
- Gleason, A. M. (1957). Measures on the Closed Subspaces of a Hilbert Space. Journal of Mathematics and Mechanics, 6(6), 885-893. From https://www.jstor.org/stable/24900629.
- Hance, J. R., & Hossenfelder, S. (2022). What does it take to solve the measurement problem? Journal of Physics Communications, 6(10). [CrossRef]
- Jarzynski, C. (1997). Nonequilibrium equality for free energy differences. Physical Review Letters, 78(14), 2690-2693. [CrossRef]
- Jaynes, E. T. (1957). Information Theory and Statistical Mechanics. Physical Review, 106(4), 620-630. [CrossRef]
- Jennings, D., & Rudolph, T. (2010). Entanglement and the thermodynamic arrow of time. Physical Review E, 81(6). [CrossRef]
- Joos, E., & Zeh, H. D. (1985). The emergence of classical properties through interaction with the environment. Zeitschrift für Physik B Condensed Matter, 59(2), 223-243. [CrossRef]
- Joos, E., Zeh, H. D., Kiefer, C., Giulini, D. J., Kupsch, J., & Stamatescu, I. O. (2003). Decoherence and the Appearance of a Classical World in Quantum Theory (2nd edition ed.). Springer. [CrossRef]
- Kim, Y.-H., Yu, R., Kulik, S. P., Shih, Y., & Scully, M. O. (2000). A Delayed choice quantum eraser. Physical Review Letters, 84(1), 1-5. [CrossRef]
- Landauer, R. (1961). Irreversibility and heat generation in the computing process. IBM Journal of Research and Development, 5(3), 183-191. [CrossRef]
- Lostaglio, M., Jennings, D., & Rudolph, T. (2015). Description of quantum coherence in thermodynamic processes requires constraints beyond free energy. Nature Communications, 6, 6383. [CrossRef]
- Maudlin, T. (2011). Quantum Non-Locality and Relativity: Metaphysical Intimations of Modern Physics. [CrossRef]
- Modi, K., Brodutch, A., Cable, H., Paterek, T., & Vedral, V. (2012). The classical-quantum boundary for correlations: Discord and related measures. Reviews of Modern Physics, 84(4), 1655-1707. [CrossRef]
- Ollivier, H., & Zurek, W. H. (2001). Quantum Discord: A Measure of the Quantumness of Correlations. Physical Review Letters, 88. [CrossRef]
- Pearle, P. (1989). Combining stochastic dynamical state-vector reduction with spontaneous localization. Physical Review A, 39(5), 2277. [CrossRef]
- Penrose, R. (1996). On Gravity's role in Quantum State Reduction. General Relativity and Gravitation, 28(5), 581-600. [CrossRef]
- Proietti, M., Pickston, A., Graffitti, F., Barrow, P., Kundys, D., Branciard, C., . . . Fedrizzi, A. (2019). Experimental test of local observer-independence. Science Advances, 5(9). From https://www.science.org/doi/10.1126/sciadv.aaw9832.
- Romero-Isart, O., Pflanzer, A. C., Blaser, F., Kaltenbaek, R., Kiesel, N., Aspelmeyer, M., & Cirac, J. I. (2011). Large quantum superpositions and interference of massive nanometer-sized objects. Physical Review Letters, 107. [CrossRef]
- Rovelli, C. (1996). Relational quantum mechanics. International Journal of Theoretical Physics, 35, 1637-1678. From https://link.springer.com/article/10.1007/BF02302261.
- Schlosshauer, M. (2005). Decoherence, the measurement problem, and interpretations of quantum mechanics. Reviews of Modern Physics, 76(4), 1267-1305. [CrossRef]
- Schwinger, J. (1948). Quantum electrodynamics. I. A covariant formulation. Physical Review, 74(10), 1439-1461. [CrossRef]
- Shabani, A., & Lidar, D. A. (2009). Vanishing quantum discord is necessary and sufficient for completely positive maps. Physical Review Letters, 102(10). [CrossRef]
- Spohn, H. (1978). Entropy production for quantum dynamical semigroups. Journal of Mathematical Physics, 19(5), 1227-1230. [CrossRef]
- Streltsov, A., Adesso, G., & Plenio, M. B. (2017). Colloquium: Quantum coherence as a resource. Reviews of Modern Physics, 89(4). [CrossRef]
- Streltsov, A., Singh, U., Dhar, H. S., Bera, M. N., & Adesso, G. (2015). Measuring quantum coherence with entanglement. Physical Review Letters, 115(2). [CrossRef]
- Taylor, E. F., & Wheeler, J. A. (1992). Spacetime Physics (2 ed.). New York. From https://www.eftaylor.com/special.html.
- Tomonaga, S. (1946). On a relativistically invariant formulation of the quantum theory of wave fields. Progress of Theoretical Physics, 1(2), 27-42. [CrossRef]
- Vedral, V. (2002). The role of relative entropy in quantum information theory. Reviews of Modern Physics, 74(1), 197-234. [CrossRef]
- von Neumann, J. (1932). Mathematical Foundations of Quantum Mechanics. Princeton University Press. [CrossRef]
- von Neumann, J. (1955). Mathematical foundations of quantum mechanics (R. T. Beyer, Trans.). Princeton: Princeton University Press. doi:ISBN: 9780691178561.
- Walborn, S. P., Terra Cunha, M. O., Pádua, S., & Monken, C. H. (2002). Double-slit quantum eraser. Physical Review A, 65(3). [CrossRef]
- Wallace, D. (2012). The Emergent Multiverse: Quantum Theory according to the Everett Interpretation. [CrossRef]
- Zeh, H. D. (1970). On the interpretation of measurement in quantum theory. Foundations of Physics, 1(1), 69-76. [CrossRef]
- Zurek, W. H. (2003). Decoherence, einselection, and the quantum origins of the classical. Reviews of Modern Physics, 75(3), 715-775. [CrossRef]
- Zurek, W. H. (2005). Probabilities from entanglement, Born’s rule from envariance. Physical Review A, 71(5). [CrossRef]
- Zwolak, M., Riedel, C. J., & Zurek, W. H. (2016). Amplification, decoherence and the acquisition of information by spin environments. Scientific Reports, 6. From https://www.nature.com/articles/srep25277.





Disclaimer/Publisher’s Note: The statements, opinions and data contained in all publications are solely those of the individual author(s) and contributor(s) and not of MDPI and/or the editor(s). MDPI and/or the editor(s) disclaim responsibility for any injury to people or property resulting from any ideas, methods, instructions or products referred to in the content. |
© 2025 by the author. Licensee MDPI, Basel, Switzerland. This article is an open access article distributed under the terms and conditions of the Creative Commons Attribution (CC BY) license (https://creativecommons.org/licenses/by/4.0/).