Submitted:
14 May 2025
Posted:
14 May 2025
You are already at the latest version
Abstract
Keywords:
1. Introduction
1.1. Socio-Spatial Issues
1.2. Climate Justice
1.3. Climate Injustice – Beyond Techno-Scientific Problem
2. Methods
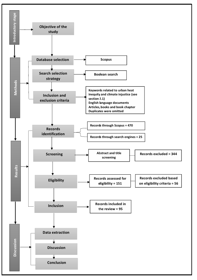
2.1. Search Strategy and Literature Selection
2.2. Analytic Method
3. Results and Findings
3.1. Heat Inequity: The Evolving Socio-spatial Disparity of Urban Heat
3.2. Drivers of Heat Inequity: The Praxis of Transitional Injustice and Green ‘Climate’ Gentrification
3.2.1. Transition al Injustice
3.2.2. Green ‘Climate’ Gentrification
3.3. Adaptation Praxis – Unequal Heat Adaptation and Coping Strategies
4. Discussion
5. Conclusions
Author Contributions
Funding
Data Availability Statement
Conflicts of Interest
Abbreviations
| PRISMA | Preferred Reporting Items for Systematic reviews and Meta-Analysis |
| USA | United States of America |
References
- M. Kiarsi et al., “Heat waves and adaptation: A global systematic review,” J Therm Biol, vol. 116, p. 103588, Aug. 2023. [CrossRef]
- C. Sánchez-Guevara Sánchez, M. Núñez Peiró, and F. J. Neila González, “Urban Heat Island and Vulnerable Population. The Case of Madrid,” in Sustainable Development and Renovation in Architecture, Urbanism and Engineering, Cham: Springer International Publishing, 2017, pp. 3–13. [CrossRef]
- L. Radonic and A. Zuniga-Teran, “When Governing Urban Waters Differently: Five Tenets for Socio-Environmental Justice in Urban Climate Adaptation Interventions,” Sustainability, vol. 15, no. 2, p. 1598, Jan. 2023, . [CrossRef]
- J. Dialesandro, N. Brazil, S. Wheeler, and Y. Abunnasr, “Dimensions of Thermal Inequity: Neighborhood Social Demographics and Urban Heat in the Southwestern U.S.,” Int J Environ Res Public Health, vol. 18, no. 3, p. 941, Jan. 2021, . [CrossRef]
- L. Tilley, A. M. Ranawana, A. Baldwin, and T. M. Tully, “Race and climate change: Towards anti-racist ecologies,” Politics, vol. 43, no. 2, pp. 141–152, May 2023, . [CrossRef]
- K. C. Saverino, E. Routman, T. R. Lookingbill, A. M. Eanes, J. S. Hoffman, and R. Bao, “Thermal inequity in richmond, va: The effect of an unjust evolution of the urban landscape on urban heat islands,” Sustainability (Switzerland), vol. 13, no. 3, pp. 1–18, Feb. 2021, . [CrossRef]
- G. F. Garuma, “Tropical surface urban heat islands in east Africa,” Sci Rep, vol. 13, no. 1, p. 4509, Mar. 2023, . [CrossRef]
- P. D. Jones and D. H. Lister, “The urban heat island in Central London and urban-related warming trends in Central London since 1900,” Weather, vol. 64, no. 12, pp. 323–327, 2009.
- G. Templeton and M. Taleghani, “Micro and macro urban heat islands in an industrial city: Bradford, UK,” Nature-Based Solutions, vol. 5, p. 100124, Jun. 2024, . [CrossRef]
- N. H. Gapski, D. L. Marinoski, A. P. Melo, and S. Guths, “Impact of urban surfaces’ solar reflectance on air temperature and radiation flux,” Sustain Cities Soc, vol. 96, p. 104645, Sep. 2023, . [CrossRef]
- D. M. Senevirathne, V. M. Jayasooriya, S. M. Dassanayake, and S. Muthukumaran, “Effects of pavement texture and colour on Urban Heat Islands: An experimental study in tropical climate,” Urban Clim, vol. 40, p. 101024, Dec. 2021, . [CrossRef]
- NASA, “NASA Analysis Confirms 2023 as Warmest Year on Record - NASA,” Goddard Institute for Space Studies. Accessed: Jan. 28, 2024. [Online]. Available: https://www.nasa.gov/news-release/nasa-analysis-confirms-2023-as-warmest-year-on-record/.
- World Meteorological Organization (WOM), State of the Global Climate 2022. 2022.
- D. A. Cohen, “Water Crisis and Eco-Apartheid in São Paulo: Beyond Naive Optimism About Climate-Linked Disasters,” Int J Urban Reg Res, Dec. 2018, . [CrossRef]
- H. Nyirenda, “Fiddling at the conference of the parties? Peeping into the highs and lows of the post-Kyoto climate change conferences: a review on contexts, decisions and implementation highlights,” Environ Dev Sustain, Dec. 2023, . [CrossRef]
- United Nations, “New Urban Agenda. Habitat III.”.
- F. Sultana, “Climate and COVID-19 crises both need feminism – here’s why,” The Hill. Accessed: Nov. 08, 2024. [Online]. Available: https://thehill.com/opinion/energy-environment/553707-climate-and-covid-19-crises-both-need-feminism-heres-why/.
- J. L. . Rice, Joshua. Long, and A. Michael. Levenda, Urban climate justice : theory, praxis, resistance. The University of Georgia Press, 2023. Accessed: Sep. 09, 2024. [Online]. Available: https://ugapress.org/book/9780820363769/urban-climate-justice.
- A. Blok, “Urban green gentrification in an unequal world of climate change,” Urban Studies, vol. 57, no. 14, pp. 2803–2816, Nov. 2020, . [CrossRef]
- P. A. Dantzler, “The urban process under racial capitalism: Race, anti-Blackness, and capital accumulation,” Journal of Race, Ethnicity and the City, vol. 2, no. 2, pp. 113–134, Jul. 2021, . [CrossRef]
- K. K. Perry and L. Sealey-Huggins, “Racial capitalism and climate justice: White redemptive power and the uneven geographies of eco-imperial crisis,” Geoforum, vol. 145, p. 103772, Oct. 2023, . [CrossRef]
- J. Corburn, P. Njoroge, J. Weru, and M. Musya, “Urban Climate Justice, Human Health, and Citizen Science in Nairobi’s Informal Settlements,” Urban Science, vol. 6, no. 2, p. 36, May 2022, . [CrossRef]
- B. C. Mitchell and J. Chakraborty, “Thermal inequity: The relationship between urban structure and social disparities in an era of climate change,” in Routledge Handbook of Climate Justice, London: Routledge, 2018, ch. 25.
- M. Haddad, “Job Training and Climate Justice: Paving the Way for Disadvantaged Residents in Urban Areas,” Iowa State University, Center for Excellence in the Arts and Humanities.
- G. Clancey, J.-H. Chang, and L. P. Chee, “Heat and the city: Thermal control, governance and health in urban Asia,” Urban Studies, vol. 61, no. 15, pp. 2857–2867, Nov. 2024, . [CrossRef]
- M. W. Jung, M. A. Haddad, and B. K. Gelder, “Examining heat inequity in a Brazilian metropolitan region,” Environ Plan B Urban Anal City Sci, vol. 51, no. 1, pp. 109–127, Jan. 2024, . [CrossRef]
- B. C. Mitchell and J. Chakraborty, “Landscapes of thermal inequity: disproportionate exposure to urban heat in the three largest US cities,” Environmental Research Letters, vol. 10, p. 115005, Nov. 2015, . [CrossRef]
- M. Hulme, “Geographical Work at the Boundaries of Climate Change,” Transactions of the Institute of British Geographers, vol. 33, no. 1, pp. 5–11, 2008.
- J. C. Stephens, “Beyond Climate Isolationism: a Necessary Shift for Climate Justice,” Curr Clim Change Rep, vol. 8, no. 4, pp. 83–90, Aug. 2022, . [CrossRef]
- J. R. Núñez Collado and J. Merwood-Salisbury, “The politics of spatial memory and the Barrio : Narratives of climate-led adaptation and dispossession,” Environ Plan E Nat Space, Apr. 2025, . [CrossRef]
- Z. S. Venter, C. M. Shackleton, F. Van Staden, O. Selomane, and V. A. Masterson, “Green Apartheid: Urban green infrastructure remains unequally distributed across income and race geographies in South Africa,” Landsc Urban Plan, vol. 203, p. 103889, Nov. 2020, . [CrossRef]
- E. M. Alves, M. G. A. da Paz, and A. P. Fracalanza, “Green Gentrification and Environmental Injustice: A Discussion Based on the New Pinheiros River Program, São Paulo, Brazil,” Frontiers in Sustainable Cities, vol. 3, Nov. 2021, . [CrossRef]
- J. Ribot, “Vulnerability does not just fall from the sky,” in Risk Conundrums, 242nd ed., vol. 224, Routledge in Association with GSE Research., 2017, ch. 16, pp. 224–242.
- M. J. Page et al., “The PRISMA 2020 statement: An updated guideline for reporting systematic reviews,” International Journal of Surgery, vol. 88, p. 105906, Apr. 2021, . [CrossRef]
- M. Naeem, W. Ozuem, K. Howell, and S. Ranfagni, “A Step-by-Step Process of Thematic Analysis to Develop a Conceptual Model in Qualitative Research,” Int J Qual Methods, vol. 22, Oct. 2023, . [CrossRef]
- P. Sarricolea, P. Smith, H. Romero-Aravena, R. Serrano-Notivoli, M. Fuentealba, and O. Meseguer-Ruiz, “Socioeconomic inequalities and the surface heat island distribution in Santiago, Chile,” Science of The Total Environment, vol. 832, p. 155152, Aug. 2022, . [CrossRef]
- L. Adélaïde et al., “Environmental and social inequities in continental France: an analysis of exposure to heat, air pollution, and lack of vegetation,” J Expo Sci Environ Epidemiol, Jan. 2024, . [CrossRef]
- B. C. Mitchell and J. Chakraborty, “Urban Heat and Climate Justice: A Landscape of Thermal Inequity in Pinellas County, Florida,” Geogr Rev, vol. 104, no. 4, pp. 459–480, Oct. 2014, . [CrossRef]
- B. C. Mitchell, J. Chakraborty, and P. Basu, “Social Inequities in Urban Heat and Greenspace: Analyzing Climate Justice in Delhi, India,” Int J Environ Res Public Health, vol. 18, p. 4800, Apr. 2021, . [CrossRef]
- R. I. McDonald et al., “The tree cover and temperature disparity in US urbanized areas: Quantifying the association with income across 5,723 communities,” PLoS One, vol. 16, no. 4, p. e0249715, Apr. 2021, . [CrossRef]
- A. Rivera, J. T. Darden, N. Dear, and S. C. Grady, “Environmental injustice among Hispanics in Santa Clara, California: a human–environment heat vulnerability assessment,” GeoJournal, vol. 88, pp. 2651–2667, Oct. 2022, . [CrossRef]
- X. Li, X. Ma, F. Lyu, and Y. Song, “Examine the environmental inequity impact of urban heat mitigation on redlining legacy: case study of Charlotte’s retrofitting, 2001–2020,” Front Environ Sci, vol. 11, Sep. 2023, . [CrossRef]
- A. Rigolon and J. Németh, “What Shapes Uneven Access to Urban Amenities? Thick Injustice and the Legacy of Racial Discrimination in Denver’s Parks,” J Plan Educ Res, vol. 41, no. 3, pp. 312–325, Sep. 2021, . [CrossRef]
- S. Klinsky and J. Brankovic, The Global Climate Regime and Transitional Justice. Routledge, 2018. [CrossRef]
- T. Neier, “The green divide: A spatial analysis of segregation-based environmental inequality in Vienna,” Ecological Economics, vol. 213, p. 107949, Nov. 2023, . [CrossRef]
- C. G. Boone, G. L. Buckley, J. M. Grove, and C. Sister, “Parks and People: An Environmental Justice Inquiry in Baltimore, Maryland,” Annals of the Association of American Geographers, vol. 99, no. 4, pp. 767–787, Sep. 2009, . [CrossRef]
- C. Zografos and P. Robbins, “Green Sacrifice Zones, or Why a Green New Deal Cannot Ignore the Cost Shifts of Just Transitions,” One Earth, vol. 3, no. 5, pp. 543–546, Nov. 2020, . [CrossRef]
- J. Trounstine, Segregation by Design. Cambridge University Press, 2018. [CrossRef]
- B. Wilson, “Urban Heat Management and the Legacy of Redlining,” Journal of the American Planning Association, vol. 86, no. 4, pp. 443–457, Oct. 2020, . [CrossRef]
- R. J. Davies, “The spatial formation of the South African City,” GeoJournal, vol. 2, no. S2, 1981, . [CrossRef]
- K. Makakavhule and K. Landman, “Towards deliberative democracy through the democratic governance and design of public spaces in the South African capital city, Tshwane,” URBAN DESIGN International, vol. 25, no. 3, pp. 280–292, Sep. 2020, . [CrossRef]
- N. Thukwana, “Urban Heat Stress Is Another Disparity in the World’s Most Unequal Nation,” CityLab/Justice.
- I. Anguelovski et al., “Why green ‘climate gentrification’ threatens poor and vulnerable populations,” Proceedings of the National Academy of Sciences, vol. 116, no. 52, pp. 26139–26143, Dec. 2019, . [CrossRef]
- I. Anguelovski, J. J. T. Connolly, L. Masip, and H. Pearsall, “Assessing green gentrification in historically disenfranchised neighborhoods: a longitudinal and spatial analysis of Barcelona,” Urban Geogr, vol. 39, no. 3, pp. 458–491, Mar. 2017, . [CrossRef]
- J. Kim, R. Ewing, and A. Rigolon, “Does green infrastructure affect housing prices via extreme heat and air pollution mitigation? A focus on green and climate gentrification in Los Angeles County, 2000-2021,” Sustain Cities Soc, vol. 102, p. 105225, Mar. 2024, . [CrossRef]
- G. Shokry, I. Anguelovski, J. J. T. Connolly, A. Maroko, and H. Pearsall, “‘They Didn’t See It Coming’: Green Resilience Planning and Vulnerability to Future Climate Gentrification,” Hous Policy Debate, vol. 32, no. 1, pp. 211–245, Jan. 2022, . [CrossRef]
- M. Shi, Y. Wang, H. Lv, and W. Jia, “Climate gentrification along with parks’ cooling performance in one of China’s tropical industrial cities,” Science of The Total Environment, vol. 892, p. 164603, Sep. 2023, . [CrossRef]
- F. Sultana, “Climate change, COVID-19, and the co-production of injustices: a feminist reading of overlapping crises,” Soc Cult Geogr, vol. 22, no. 4, pp. 447–460, May 2021, . [CrossRef]
- F. Pietro Colelli, I. S. Wing, and E. De Cian, “Air-conditioning adoption and electricity demand highlight climate change mitigation–adaptation tradeoffs,” Sci Rep, vol. 13, p. 4413, Mar. 2023, . [CrossRef]
- O. B. Adegun, E. C. Mbuya, and E. Njavike, “Responses to Heat Stress Within an Unplanned Settlement in Dar Es Salaam, Tanzania,” Front Built Environ, vol. 8, pp. 1–10, May 2022, . [CrossRef]
- S. Chen, S. Bruhn, and K. C. Seto, “Trends in socioeconomic disparities in urban heat exposure and adaptation options in mid-sized U.S. cities,” Remote Sens Appl, vol. 36, p. 101313, Nov. 2024, . [CrossRef]
- O. B. Adegun and H. A. Ayoola, “Between the rich and poor: exposure and adaptation to heat stress across two urban neighbourhoods in Nigeria,” Environ Dev Sustain, vol. 24, no. 10, pp. 11953–11968, Oct. 2022, . [CrossRef]
- R. D. Meade, S. R. Notley, N. V Kirby, and G. P. Kenny, “A critical review of the effectiveness of electric fans as a personal cooling intervention in hot weather and heatwaves,” Lancet Planet Health, vol. 8, no. 4, pp. e256–e269, Apr. 2024, . [CrossRef]
- I. Anguelovski, P. Kotsila, L. Lees, M. Triguero-Mas, and A. Calderón-Argelich, “From heat racism and heat gentrification to urban heat justice in the USA and Europe,” Nature Cities, vol. 2, no. 1, pp. 8–16, Dec. 2024, . [CrossRef]
- A. Planas-Carbonell, I. Anguelovski, E. Oscilowicz, C. Pérez-del-Pulgar, and G. Shokry, “From greening the climate-adaptive city to green climate gentrification? Civic perceptions of short-lived benefits and exclusionary protection in Boston, Philadelphia, Amsterdam and Barcelona,” Urban Clim, vol. 48, p. 101295, Mar. 2023, . [CrossRef]
- J. Ma and A. Mostafavi, “Urban form and structure explain variability in spatial inequality of property flood risk among US counties,” Commun Earth Environ, vol. 5, no. 1, p. 172, Apr. 2024, . [CrossRef]
- N. Blomley, Unsettling the City. London and New York: Routledge, 2004. [CrossRef]
- D. Harvey, “The urban process under capitalism: a framework for analysis,” Int J Urban Reg Res, vol. 2, no. 1–3, pp. 101–131, Mar. 1978, . [CrossRef]
- N. Heynen, “Urban political ecology I,” Prog Hum Geogr, vol. 38, no. 4, pp. 598–604, Aug. 2014, . [CrossRef]
- L. Keith and S. Meerow, “Planning for Urban Heat Resilience,” Michigan, 2022.
- L. Pulido, “Geographies of race and ethnicity 1,” Prog Hum Geogr, vol. 39, no. 6, pp. 809–817, Dec. 2015, . [CrossRef]
- E. Chu and K. Michael, “Recognition in urban climate justice: marginality and exclusion of migrants in Indian cities,” Environ Urban, vol. 31, no. 1, pp. 139–156, Apr. 2019, . [CrossRef]
- I. Hossain, Md. S. Rana, A. K. M. M. Haque, and A. Al Masud, “Urban household adaptation to extreme heatwaves: health impacts, socio-economic disparities and sustainable strategies in Rajshahi,” Discover Sustainability, vol. 5, no. 1, p. 518, Dec. 2024, . [CrossRef]
- C40 Cities Climate Leadership Group, “Buenos Aires Strengthens Natural Resources to Protect Low-Income Communities,” C40.
- UN-DESA, “World Urbanization Prospects The 2018 Revision,” 2018.
- IPCC, “Climate Change 2022: Impacts, Adaptation and Vulnerability. Working Group II Contribution to the Sixth Assessment Report of the Intergovernmental Panel on Climate Change.” Accessed: Jan. 17, 2024. [Online]. Available: https://www.ipcc.ch/report/ar6/wg2/.
- Y. A. Zakaria, H. Akolgo-Azupogo, and J. Soale, “Land development and planning laws in ghana: the historical perspective,” Frontiers of Urban and Rural Planning, vol. 2, no. 1, p. 15, Jul. 2024, . [CrossRef]


| Authors | Study Location/ Country |
Primary Methods | Finding: Urban residents who are severely exposed to urban heat (heat inequity) |
|---|---|---|---|
| Saverino et al. [6] | Richmond, Virginia USA (Global North) |
Remote sensing | Minority groups, low socioeconomic status |
| Dialesandro et al. [4] | 20 Southwestern metropolitan regions in the USA (Global North) |
Remote sensing and census data | Poor urban neighbourhoods |
| McDonald et al. [40] | 100 urban areas larger than 500km2 in the USA (Global North) | Remote sensing and census data | Low-income blocks |
| Rivera et al. [41] | Santa Clara, California USA (Global North) |
Remote sensing | Racial Hispanic community |
| Sánchez-Guevara Sánchez et al. [2] | Madrid Spain (Global North) |
Secondary statistical data | Poor households living in poor-quality dwellings |
| Mitchell et al. [27] | New York, Los Angeles, Chicago USA (Global North) |
Remote sensing and census data | Minority groups, social vulnerability such as race or ethnicity and linguistic isolation |
| Adélaïde et al. [37] | France (Global North) | Remote sensing and weather data | Deprived districts |
| Li et al. [42] | Charlotte, USA (Global North | Remote sensing | Poor and vulnerable groups in the city centre |
| Mitchell et al. [38] | Pinellas County, Florida USA (Global North) |
Remote sensing and census data | Census tracts characterised by high percentage of ethnic or racial minorities and high poverty rates |
| Jung et al. [26] | Belo Horizonte Metropolitan Region Brazil (Global South) |
Remote sensing | Low-income residents, non-White population |
| Sarricolea et al. [36] | Santiago Chile (Global South) |
Remote sensing and census data | Middle and lower socio-economic class |
| Mitchell et al. [39] | Delhi India (Global South) |
Remote sensing | Urban poor households |
Disclaimer/Publisher’s Note: The statements, opinions and data contained in all publications are solely those of the individual author(s) and contributor(s) and not of MDPI and/or the editor(s). MDPI and/or the editor(s) disclaim responsibility for any injury to people or property resulting from any ideas, methods, instructions or products referred to in the content. |
© 2025 by the authors. Licensee MDPI, Basel, Switzerland. This article is an open access article distributed under the terms and conditions of the Creative Commons Attribution (CC BY) license (http://creativecommons.org/licenses/by/4.0/).