Submitted:
18 June 2025
Posted:
20 June 2025
You are already at the latest version
Abstract

Keywords:
1. Introduction
2. Derivation of New Expression for Multicomponent Systems with Composition Dependent Partial Molar Volumes
2.1. Frame of Reference
2.2. Component Velocities and Fluxes at the Terminal Ends of a Diffusion Couples
2.3. Interdiffusion Flux in Number Fixed Frame in Terms of Molar Concentrations
2.4. Interdiffusion Flux in Volume Fixed Frame in Terms of Molar Concentrations
2.5. Interdiffusion Fluxes ( and ) in Terms of Relative Concentration Variables
2.6. Interdiffusion Fluxes for Binary Systems
2.7. Case of Multicomponent Diffusion with Constant Partial Molar Volumes
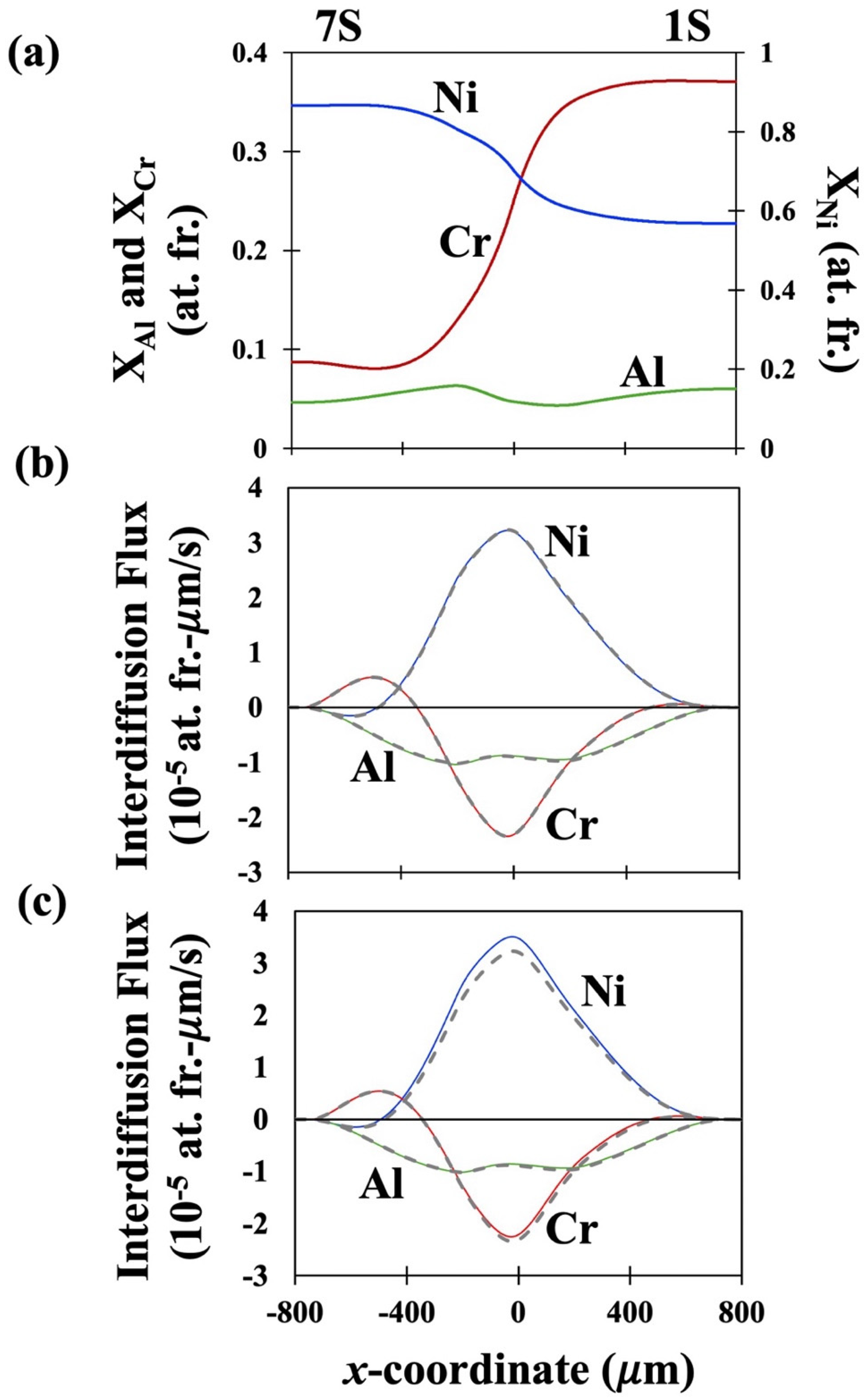
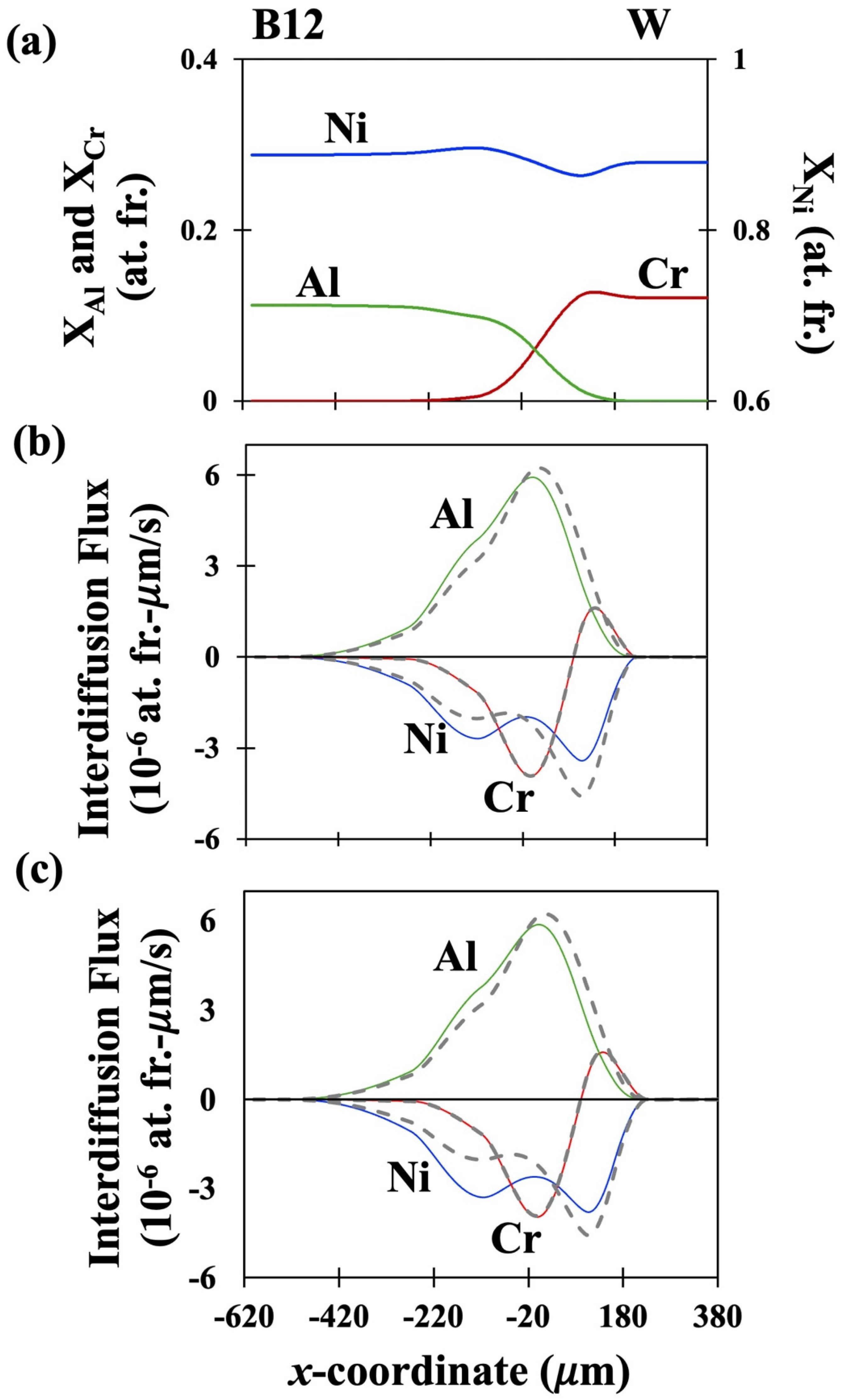
3. Application of New Equations to Determination of Interdiffusion Fluxes in Ni-Cr-Al Diffusion Couples
4. Discussion
5. Conclusions
Supplementary Materials
Acknowledgement
References
- Darken, L.S. Diffusion, Mobility and Their Interrelation through Free Energy in Binary Metallic Systems. Transactions of AIME 1948, 175, 184–201. [Google Scholar]
- Darken, L.S. Formal Basis of Diffusion Theory, in Atom Movements; ASM: Cleveland, Ohio, 1951. [Google Scholar]
- Kirkaldy, J.S.; Lane, J.E.; Meson, G.R. Diffusion in Multicomponent Metallic Systems VII. Solutions of the Multicomponent Diffusion Equations with Variable Coefficients. Canadian Journal of Physics 1963, 41, 2174–2186. [Google Scholar] [CrossRef]
- Kirkaldy, J.S.; Lane, J.E. Diffusion in Multicomponent Metallic Systems IX. Intrinsic Diffusion Behavior and Kirkendall Effect in Ternary Substitutional Solutions. Canadian Journal of Physics 1966, 44, 2059–2072. [Google Scholar] [CrossRef]
- Carlson, P.T.; Dayananda, M.A.; Grace, R.E. Diffusion in Ternary Ag-Zn-Cd Solid Solutions. Metallurgical Transactions 1972, 3, 819–826. [Google Scholar] [CrossRef]
- Moyer, T.D.; Dayananda, M.A. Diffusion in β2 Fe-Ni-Al Alloys. Metallurgical Transactions A 1976, 7A, 1035–1040. [Google Scholar] [CrossRef]
- Dayananda, M.A.; Kim, C.W. Zero Flux Planes and Flux Reversals in Cu-Ni-Zn Diffusion Couples. Metallurgical Transactions A 1979, 10, 1333–1339. [Google Scholar] [CrossRef]
- Nesbitt, J.A.; Heckel, R.W. Interdiffusion in Ni-Rich Ni-Cr-Al Alloys at 1100 and 1200 °C: Part I. Diffusion Paths and Microstructures. Metallurgical Transactions A 1987, 18, 2061–2073. [Google Scholar] [CrossRef]
- Nesbitt, J.A.; Heckel, R.W. Interdiffusion in Ni-Rich Ni-Cr-Al Alloys at 1100 and 1200 °C: Part II. Diffusion Coefficients and Predicted Concentration Profiles. Metallurgical Transactions A 1987, 18, 2075–2086. [Google Scholar] [CrossRef]
- Bouchet, R.; Mevrel, R. A Numerical Inverse Method for Calculating the Interdiffusion Coefficients Along a Diffusion Path in Ternary Systems. Acta Materialia 2002, 50, 4887–4900. [Google Scholar] [CrossRef]
- Karunaratne, M.S.A.; Reed, R.C. Interdiffusion of the Platinum Group Metals in Nickel at Elevated Temperatures. Acta Materialia 2003, 51, 2905–2919. [Google Scholar] [CrossRef]
- Ram-Mohan, L.R.; Dayananda, M.A. A Transfer Matrix Method for the Calculation of Concentrations and Fluxes in Multicomponent Diffusion Couples. Acta Materialia 2006, 54, 2325–2334. [Google Scholar] [CrossRef]
- Dayananda, M.A. A Direct Derivation of Fick’s Law from Continuity Equation for Interdiffusion in Multicomponent Systems. Scripta Materialia 2022, 210, 114430. [Google Scholar] [CrossRef]
- Verma, V.; Tripathi, A.; Venkateswaran, T.; Kulkarni, K.N. First Report on Entire Sets of Experimentally Determined Interdiffusion Coefficients in Quaternary and Quinary High-Entropy Alloys. Journal of Materials Research 2020, 35, 162–171. [Google Scholar] [CrossRef]
- Verma, V.; Kulkarni, K.N. Square Root Diffusivity Analysis of Body-Diagonal Diffusion Couples in FeNiCoCr quaternary and FeNiCoCrMn quinary systems. Journal of Phase Equilibria and Diffusion 2022, 43, 903–915. [Google Scholar] [CrossRef]
- Chauhan, G.P.S.; Kulkarni, K.N. Investigations of Ternary Interdiffusion in β-(BCC) Phase Field of Ti-Al-Mo System. Metallurgical and Materials Transactions A 2021, 52, 413–425. [Google Scholar] [CrossRef]
- Kulkarni, K.N. Derivation of expressions for interdiffusion and intrinsic diffusion flux in presence of chemical potential gradient in a multicomponent system with composition dependent molar volume. Oxford Open Materials Science 2023, 3, itad018. [Google Scholar] [CrossRef]
- Kulkarni, K.N. Velocity of Volume Fixed Frame and Its Application in Simulating Concentration Profiles in Multicomponent Diffusion. Journal of Phase Equilibria and Diffusion 2024, 45, 757–763. [Google Scholar] [CrossRef]
- Boltzmann, L. Zur Integration der Diffusionsgleichung bei variable Diffusionscoefficienten. Annual Review of Physical Chemistry 1894, 53, 959–964. [Google Scholar] [CrossRef]
- Matano, C. On the Relation between Diffusion-Coefficients and Concentrations of Solid Metals (The Nickel-Copper System). Japanese Journal of Physics 1935, 8, 109–113. [Google Scholar]
- Sauer, F.; Freise, V. Diffusion in binären Gemischen mit Volumenänderung. 1962; 66, 353–362. [Google Scholar]
- Wagner, C. The Evaluation of Data Obtained with Diffusion Couples for Binary Single-Phase and Multiphase Systems. Acta Metallurgica 1969, 17, 99–107. [Google Scholar] [CrossRef]
- den Broeder, F.J.A. A General Simplification and Improvement of the Matano-Boltzmann Method in the Determination of the Interdiffusion Coefficients in Binary Systems. Scripta Materialia 1969, 3, 321–326. [Google Scholar] [CrossRef]
- Balluffi, R. On the Determination of Diffusion Coefficients in Chemical Diffusion. Acta Metallurgica 1960, 8, 871–873. [Google Scholar] [CrossRef]
- Guy, A.G.; DeHoff, R.T.; Smith, C. Calculation of Interdiffusion Coefficients Considering Variations in Atomic Volume. ASM Transactions Quarterly 1968, 61, 314–320. [Google Scholar]
- Danielewski, M.; Leszczynski, H. Generalization of Matano’s Method: Interdiffusion in Solutions with Volume Change. International Journal of Mathematical Analysis 2015, 9, 1463–1476. [Google Scholar] [CrossRef]
- Tripathi, A.; Kulkarni, K.N. Effect of Varying Molar Volume on Interdiffusion Analysis in a Binary System. Metallurgical and Materials Transactions A 2021, 52, 3489–3502. [Google Scholar] [CrossRef]
- Roper, G.W.; Whittle, D.P. Interdiffusion in Ternary Co-Cr-Al Alloys. Metal Science 1980, 14, 21–28. [Google Scholar] [CrossRef]
- Manning, J.R. Cross Terms in the Thermodynamic Diffusion Equations for Multicomponent Alloys. Metallurgical Transactions 1970, 1, 499–505. [Google Scholar] [CrossRef]
- Paul, A. Effect of Molar Volume of Diffusing Elements and Cross Terms of Onsager Formalism (Vacancy Wind Effect) on Estimated Diffusion Coefficients in Ternary and Multicomponent Solid Solutions. Materialia 2025, 40, 102400. [Google Scholar] [CrossRef]
- Dayananda, M.A. An analysis of Concentration Profiles for Fluxes, Diffusion Depths, and Zero Flux Planes in Multicomponent Systems. Metallurgical Transactions A 1983, 14, 1851–1858. [Google Scholar] [CrossRef]
- Dayananda, M.A.; Behnke, D.A. Effective Interdiffusion Coefficients and Penetration Depths. Scripta Materialia 1991, 25, 2187–2191. [Google Scholar] [CrossRef]
- Dayananda, M.A. Average Effective Interdiffusion Coefficients and the Matano Plane Composition. Metallurgical and Materials Transactions A 1996, 27, 2504–2509. [Google Scholar] [CrossRef]
- Dayananda, M.A. Determination of Eigenvalues, Eignevectors, and Interdiffusion Coefficients in Ternary Diffusion From Diffusional Constraints at the Matano Plane. Acta Materialia 2017, 129, 474–481. [Google Scholar] [CrossRef]
- Kirkwood, J.G.; Baldwin, R.L.; Dunlop, P.J.; Gosting, L.J.; Kegeles, G. Flow Equations and Frames of Reference for Isothermal Diffusion in Liquids. Journal of Chemical Physics 1960, 33, 1505–1513. [Google Scholar] [CrossRef]
- Brady, J. Reference Frames and Diffusion Coefficients. American Journal of Science 1975, 275, 954–983. [Google Scholar] [CrossRef]
- Philibert, J. Atom movements- Diffusion and mass transport in solids, Les Editions de Physique, France. 1991; 233–241. [Google Scholar]
- Kulkarni, K.N.; Samantaray, B.; Nayak, S.K. Ternary Interdiffusion Coefficients in BCC Ti-Al Based Alloys and Their Application in Simulations of Homogenization and Finite Diffusion Couples. Metallurgical and Materials Transactions A 2024, 55, 4882–4898. [Google Scholar] [CrossRef]
- Taylor, A.; Floyd, R.W. The Constitution of Nickel-Rich Alloys in the Nickel-Chromium-Aluminum System. Journal of the Institute of Metals 1953, 81, 451–464. [Google Scholar]
- Pearson, W.B. A Handbook of Lattice Spacings and Structures of Metals and Alloys, International Series of Monographs on Metal Physics and Physical Metallurgy, Volume 4; Raynor, G.V., Ed.; Pergamon Press, 1964; pp. 324–326. [Google Scholar]
- Day, K.M.; Ram-Mohan, L.R.; Dayananda, M.A. Determination and Assessment of Interdiffusion Coefficients from Individual Diffusion Couples. Journal of Phase Equilibria and Diffusion 2005, 26, 579–590. [Google Scholar] [CrossRef]




| Couple Designation | Terminal Alloys Composition (at%) as per [9] | Diffusion Annealing Temperature (°C) | Diffusion Annealing Time (hours) | ||||||
| Present Work | As per [9] | Left Terminal | Right Terminal | ||||||
| Ni | Cr | Al | Ni | Cr | Al | ||||
| DC-1 | 7S/1S | 86.9 | 7.7 | 5.4 | 57.9 | 35.9 | 6.2 | 1200 | 100 |
| DC-2 | B12/W | 88.8 | 0 | 11.2 | 88 | 12 | 0 | 1100 | 100 |
| DC-3 | 4S/Y | 70.1 | 18.6 | 11.3 | 64.8 | 35.2 | 0 | 1100 | 100 |
Disclaimer/Publisher’s Note: The statements, opinions and data contained in all publications are solely those of the individual author(s) and contributor(s) and not of MDPI and/or the editor(s). MDPI and/or the editor(s) disclaim responsibility for any injury to people or property resulting from any ideas, methods, instructions or products referred to in the content. |
© 2025 by the authors. Licensee MDPI, Basel, Switzerland. This article is an open access article distributed under the terms and conditions of the Creative Commons Attribution (CC BY) license (http://creativecommons.org/licenses/by/4.0/).