Submitted:
09 May 2025
Posted:
12 May 2025
You are already at the latest version
Abstract

Keywords:
1. Introduction
2. Materials and Methods
2.1. Study Design and Patient Population
2.2. Data Assesment and Statistical Analysis
2.3. Inclusion and Exclusion Criteria
| Number (%) or Median (Range) | Overall Survival | Recurrences | ||||||
|---|---|---|---|---|---|---|---|---|
| 5-Year Survival Rate | 95% CI | Mean Survival (Months) | Univariable | Number | p value | |||
| HR | p value | |||||||
| No. of patients | 91 | 22 | ||||||
| Age (years) | 68 (38–91) | 1.599 | 0.002 | 0.745 | ||||
| ≤50 | 8 (8.79%) | 14.00% | 5.8 - 26.7 | 73.0 | 0.113 | 0.031 | 1 | |
| 51-60 | 14 (15.38%) | 22.00% | 11.5 - 35.9 | 37.5 | 0.521 | 0.215 | 1 | |
| 61-70 | 24 (26.37%) | 20.00% | 10.0 - 33.7 | 29.5 | 1.590 | 0.145 | 3 | |
| 71-80 | 38 (41.76%) | 42.00% | 28.1 - 56.7 | 28.0 | 1.173 | 0.605 | 2 | |
| >80 | 7 (7.69%) | 2.00% | 0.05- 10.6 | 23.0 | 2.700 | 0.027 | 0 | |
| Provenance | 0.563 | 0.701 | ||||||
| Urban | 33 (36.26%) | 30.00% | 17.8 - 44.6 | 28.0 | 3 | |||
| Rural | 58 (63.74%) | 70.00% | 55.3 - 82.1 | 34.0 | 4 | |||
| Clinical Stage (Revised FIGO 2021) | 1.373 | 0.0001 | ||||||
| IA | 4 (4.40%) | 8.00% | 2.2 - 19.2 | 38.5 | 0.046 | 0.344 | 0 | |
| IB | 37 (40.66%) | 56.00% | 41.2 - 70.0 | 43.0 | 0.393 | 0.006 | 0 | |
| II | 13 (14.29%) | 8.00% | 2.2 - 19.2 | 33.0 | 1.361 | 0.410 | 0 | |
| IIIA | 14 (15.38%) | 16.00% | 7.1 - 29.1 | 31.5 | 0.867 | 0.745 | 3 | |
| IIIB | 5 (5.49%) | 0.00% | 0.00 - 0.00 | 20.0 | 4.177 | 0.003 | 0 | |
| IIIC | 14 (15.38%) | 10.00% | 3.33 - 21.8 | 12.5 | 2.890 | 0.005 | 3 | |
| IVA | 4 (4.40%) | 2.00% | 0.05 - 10.6 | 32.0 | 1.725 | 0.363 | 1 | |
| Tumor size | 1.306 | 0.010 | ||||||
| 1 cm | 3 (3.30%) | 2.00% | 0.05 - 10.6 | 49.0 | 1.041 | 0.956 | 0 | |
| 2 cm | 15 (16.48%) | 22.00% | 11.5 - 35.9 | 57.0 | 0.392 | 0.075 | 2 | |
| 3 cm | 14 (15.38%) | 16.00% | 7.1 - 29.1 | 38.0 | 1.166 | 0.695 | 0 | |
| 4 cm | 24 (26.37%) | 34.00% | 21.2 - 48.7 | 36.0 | 0.494 | 0.087 | 2 | |
| 5 cm | 9 (9.89%) | 8.00% | 2.2 - 19.2 | 36.0 | 1.181 | 0.725 | 0 | |
| >5 cm | 26 (28.57%) | 18.00% | 8.5 - 31.4 | 18.5 | 2.497 | 0.003 | 3 | |
| Histology | ||||||||
| Squamous Cell Carcinoma | 79 (86.81%) | 90.00% | 78.1 - 96.6 | 35.0 | 0.642 | 0.257 | 6 | 0.999 |
| Other types | 9 (9.89%) | 6.00% | 1.2 - 16.5 | 26.5 | 2.161 | 0.064 | 1 | 0.530 |
| Synchronous VIN III | 44 (48.35%) | 50.00% | 35.5 - 64.4 | 41.5 | 0.568 | 0.063 | 5 | 0.256 |
| Tumor differentiation grade | 1.976 | 0.0006 | 0.275 | |||||
| Grade 1 (well-differentiated) | 28 (30.77%) | 44.00% | 29.9 - 58.7 | 56.0 | 0.260 | 0.0025 | 4 | |
| Grade 2 (moderately-differentiated) | 35 (38.46%) | 38.00% | 24.6 - 52.8 | 28.0 | 1.268 | 0.447 | 2 | |
| Grade 3 (poorly-differentiated) | 28 (30.77%) | 18.00% | 8.5 - 31.4 | 33.5 | 2.255 | 0.0073 | 1 | |
| Depth of stromal invasion | 6.345 | 0.067 | 0.999 | |||||
| ≤1 mm | 11 (12.09%) | 24.00% | 13.0 - 38.1 | 13.0 | 1 | |||
| >1 mm | 78 (85.71%) | 76.00% | 61.8 - 86.9 | 34.0 | 6 | |||
| Lymphovascular space invasion | 2.789 | 0.001 | 0.671 | |||||
| Positive | 40 (43.96%) | 26.00% | 14.6 - 40.3 | 26.5 | 3 | |||
| Negative | 51 (56.04%) | 74.00% | 59.6 - 85.3 | 43.0 | 4 | |||
| Number (%) or Median (Range) | Overall Survival | Recurrences | ||||||
|---|---|---|---|---|---|---|---|---|
| 5-Year Survival Rate | 95% CI | Mean Survival (Months) | Univariable | Number | p value | |||
| HR | p value | |||||||
| Resection margins status | 1.92 | 0.05 | 0.671 | |||||
| Positive | 28 (30.77%) | 20.00% | 10.0 - 33.7 | 28.0 | 3 | |||
| Negative | 63 (69.23%) | 80.00% | 66.2 - 89.9 | 40.0 | 4 | |||
| Lymph nodes metastases | 2.561 | 0.002 | 0.671 | |||||
| Positive | 28 (30.77%) | 18.00% | 8.5 - 31.4 | 18.0 | 3 | |||
| Negative | 63 (69.23%) | 82.00% | 68.5 - 91.4 | 40.00 | 4 | |||
| Patients with Bilateral inguinal-femoral metastasis | n = 20 | |||||||
| Patients with Unilateral inguinal-femoral metastasis | n = 6 | |||||||
| Avarage number of metastatic lymph nodes/patient | 1.3 (1-8) | |||||||
| Patients with Bilateral inguinal-femoral lymphadenectomy | n = 52 (83.8%) | |||||||
| Patients with Unilateral inguinal-femoral lymphadenectomy | n = 10 (16.1%) | |||||||
| Avarage number of removed lymph nodes/patient | 10.6 (8-35) | |||||||
| Complications | 0.602 | 0.430 | ||||||
| Yes | 28 (30.77%) | 30.00% | 17.8 - 44.6 | 33.5 | 1 | |||
| No | 63 (69.23%) | 70.00% | 55.3 - 82.1 | 32.0 | 6 | |||
| Wound dehiscence | n = 18 | |||||||
| Lymphedema | n = 10 | |||||||
| Lymphocyst | n = 12 | |||||||
| Necrosis | n = 3 | |||||||
| Rectoperineal fistula | n = 1 | |||||||
| Hemorrhagic complications | n = 1 | |||||||
| Death <30 days | n = 2 | |||||||
| Treatment | ||||||||
| Surgery only | 12 (13.19%) | 20.00% | 10.0 - 33.7 | 69.0 | 0.173 | 0.015 | 0 | |
| Wide Local Excision | 17 (18.68%) | 14.00% | 5.8 - 26.7 | 32.0 | 1.170 | 0.663 | 1 | 0.999 |
| Hemivulvectomy (ant., post., left or right) | 34 (37.2%) | 23.00% | 11.5 - 35.9 | 18.0 | 0.664 | 0.436 | 3 | 0.292 |
| Total radical vulvectomy | 38 (41.76%) | 38.00% | 24.6 - 52.8 | 49.5 | 0.807 | 0.483 | 3 | 0.999 |
| Pelvic exenteration | 3 (3.30%) | 0.00% | 0.0 - 0.0 | 9.0 | 3.577 | 0.034 | 0 | |
| Adjuvant RT | 5.934 | 0.005 | 0.999 | |||||
| Yes | 77 (84.62%) | 76.00% | 61.8 - 86.9 | 28.0 | 6 | |||
| No | 14 (15.38%) | 24.00% | 13.0 - 38.1 | 63.0 | 1 | |||
| Median follow-up duration (months) | 41.9 (0–134) | |||||||
| Status | ||||||||
| Alive | 47 (51.65%) | 45.05% | 34.6 - 55.8 | 43.0 | 7 | |||
| Deceased | 44 (48.35%) | |||||||
| Alive free of disease | 40 (85.11%) | 43.0 | 0.600 | |||||
| Alive with disease | 7 (14.89%) | 64.0 | ||||||
| Patients who answered the QoL questionnaires | 32 (68%) | 0 | ||||||
2.4. Treatment Administered

2.5. Quality of Life Questionnaires – QLQ-C30 and QLQ-VU34
3. Results
3.1. Patient Characteristics Ans Survey Results
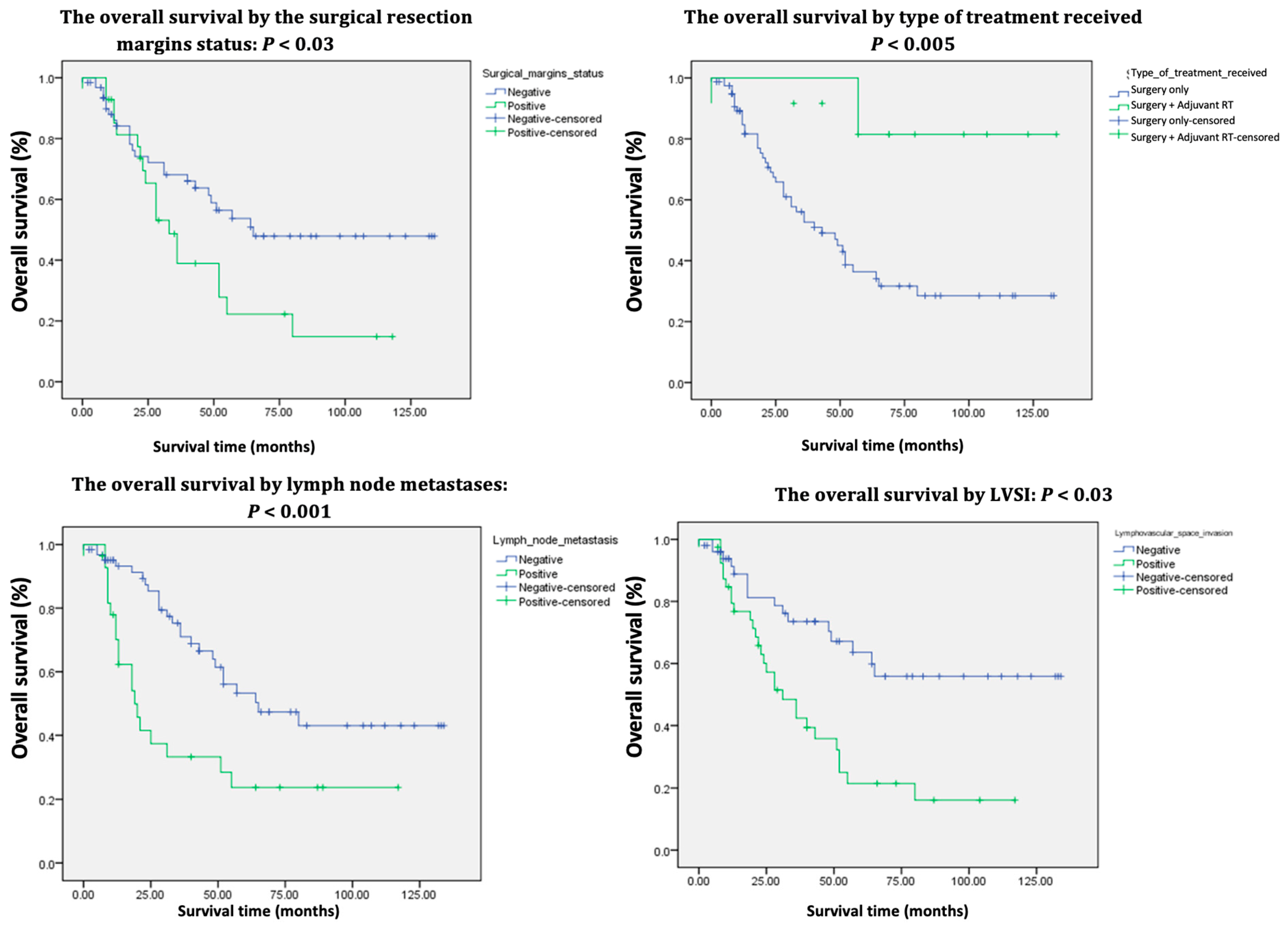
3.1.1. Univariate COX Analysis (Table 1, Table 2)
3.1.2. Multivariate COX Analysis (Table 3)
| Variables | p-Value | HR | 95.0% CI for OR | |
|---|---|---|---|---|
| Lower | Upper | |||
| Age ≤50 | 0.03 | 0.111 | 0.014 | 0.904 |
| Age >80 | 0.05 | 2.011 | 0.757 | 5.342 |
| FIGO stage IB | 0.007 | 0.275 | 0.107 | 0.710 |
| FIGO stage IIIB | 0.01 | 5.130 | 1.295 | 20.315 |
| FIGO stage IIIC | 0.006 | 5.532 | 1.617 | 18.923 |
| Grade I – Well Differentiated | 0.01 | 0.200 | 0.057 | 0.695 |
| Tumor size >5 cm | 0.02 | 1.835 | 0.873 | 3.859 |
| Positive resection margins status | 0.03 | 0.319 | 0.319 | 1.918 |
| Lymph node metastasis | 0.006 | 0.069 | 0.069 | 1.042 |
| Pelvic exenteration | 0.002 | 3.019 | 3.019 | 25.310 |
3.2. Results of the QoL Study
3.2.1. EORTC QLQ-C30 Questionnaire
| Number of Patients = 32 | Items ~ | Mean Score | SD * |
|---|---|---|---|
| QLQ-C30 | |||
| Functioning scales α | |||
| Physical functioning α | 1-5 | 70.2 | 25.9 |
| Role functioning α | 6, 7 | 69.6 | 29.1 |
| Cognitive functioning α | 20, 25 | 73.2 | 24.7 |
| Emotional functioning α | 21-24 | 69.9 | 27.9 |
| Social functioning α | 26, 27 | 71.4 | 27.7 |
| Global quality of life α | 29, 30 | 65.3 | 25.9 |
| Symptom scales and/or items γ | |||
| Fatigue γ | 10, 12, 18 | 37.7 | 30.2 |
| Nausea and vomiting γ | 14, 15 | 19.3 | 20.4 |
| Pain γ | 9, 19 | 38.5 | 27.1 |
| Dyspnea γ | 8 | 23.6 | 29.4 |
| Sleep disturbance γ | 11 | 31.5 | 33.2 |
| Appetite loss γ | 13 | 13.1 | 22.3 |
| Constipation γ | 16 | 17.2 | 19.8 |
| Diarrhea γ | 17 | 8.1 | 22.2 |
| Financial impact γ | 28 | 33.6 | 32.1 |
| QLQ-VU | |||
| Functional scales / items α | |||
| Body image α | 48-50 | 33.7 | 30.3 |
| Sexual enjoyment α | 60, 64 | NA | NA |
| Sexually related vaginal changes α | 61-63 | NA | NA |
| Symptom scales and/or items α | |||
| Vulva skin changes γ | 31–34, 37 | 31.3 | 27.1 |
| Vulva scarring γ | 35,36 | 33.2 | 29.4 |
| Vulvo-vaginal discharge γ | 38 | 25.8 | 21.2 |
| Vulva swelling γ | 39,40 | 37.1 | 30.7 |
| Groin lymphedema γ | 41-43 | 29.8 | 25.4 |
| Leg lymphedema γ | 44-47 | 32.6 | 27.3 |
| Urine urgency and leakage γ | 52-55 | 28.5 | 25.6 |
| Bowl urgency and leakage γ | 57-58 | 19.3 | 21.9 |
3.2.2. EORTC QLQ-VU34 Questionnaire

4. Discussion
4.1. Prognostic Factors and Survival
4.2. Quality of Life
4.3. Strength and Limitations
5. Conclusions
Author Contributions
Funding
Institutional Review Board Statement
Informed Consent Statement
Data Availability Statement
Conflicts of Interest
References
- Virarkar, M.; Vulasala, S.S.; Daoud, T.; Javadi, S.; Lall, C.; Bhosale, P. Vulvar Cancer: 2021 Revised FIGO Staging System and the Role of Imaging. Cancers (Basel) 2022, 14. [CrossRef]
- de Martel, C.; Plummer, M.; Vignat, J.; Franceschi, S. Worldwide Burden of Cancer Attributable to HPV by Site, Country and HPV Type. Int J Cancer 2017, 141, 664–670. [CrossRef]
- Sung, H.; Ferlay, J.; Siegel, R.L.; Laversanne, M.; Soerjomataram, I.; Jemal, A.; Bray, F. Global Cancer Statistics 2020: GLOBOCAN Estimates of Incidence and Mortality Worldwide for 36 Cancers in 185 Countries. CA Cancer J Clin 2021, 71, 209–249. [CrossRef]
- Oonk, M.H.M.; Planchamp, F.; Baldwin, P.; Mahner, S.; Mirza, M.R.; Fischerová, D.; Creutzberg, C.L.; Guillot, E.; Garganese, G.; Lax, S.; et al. European Society of Gynaecological Oncology Guidelines for the Management of Patients with Vulvar Cancer - Update 2023. International Journal of Gynecologic Cancer 2023, 33, 1023–1043. [CrossRef]
- Statistics at a Glance, 2022 Top 5 Most Frequent Cancers Number of New Cases Number of Prevalent Cases (5-Year) 301 870 Males Females Both Sexes.
- Koh, W.J.; Greer, B.E.; Abu-Rustum, N.R.; Campos, S.M.; Cho, K.R.; Chon, H.S.; Chu, C.; Cohn, D.; Crispens, M.A.; Dizon, D.S.; et al. Vulvar Cancer, Version 1.2017, NCCN Clinical Practice Guidelines in Oncology. J Natl Compr Canc Netw 2017, 15, 92–120. [CrossRef]
- Miljanović-špika, I.; Drežnjak Madunić, M.; Topolovec, Z.; Kujadin Kenjereš, D.; Vidosavljević, D. PROGNOSTIC FACTORS FOR VULVAR CANCER. Acta Clin Croat 2021, 60, 25. [CrossRef]
- Zapardiel, I.; Iacoponi, S.; Coronado, P.J.; Zalewski, K.; Chen, F.; Fotopoulou, C.; Dursun, P.; Kotsopoulos, I.C.; Jach, R.; Buda, A.; et al. Prognostic Factors in Patients with Vulvar Cancer: The VULCAN Study. International Journal of Gynecological Cancer 2020, 30, 1285–1291. [CrossRef]
- Olawaiye, A.B.; Cotler, J.; Cuello, M.A.; Bhatla, N.; Okamoto, A.; Wilailak, S.; Purandare, C.N.; Lindeque, G.; Berek, J.S.; Kehoe, S.; et al. FIGO Staging for Carcinoma of the Vulva: 2021 Revision. International Journal of Gynaecology and Obstetrics 2021, 155, 43. [CrossRef]
- Vulvar Cancer — Cancer Stat Facts Available online: https://seer.cancer.gov/statfacts/html/vulva.html (accessed on 29 December 2024).
- Kumar, N.; Ray, M.D.; Sharma, D.N.; Pandey, R.; Lata, K.; Mishra, A.; Wankhede, D.; Saikia, J. Vulvar Cancer: Surgical Management and Survival Trends in a Low Resource Setting. J Egypt Natl Canc Inst 2020, 32. [CrossRef]
- Valstad, H.; Eyjolfsdottir, B.; Wang, Y.; Kristensen, G.B.; Skeie-Jensen, T.; Lindemann, K. Pelvic Exenteration for Vulvar Cancer: Postoperative Morbidity and Oncologic Outcome - A Single Center Retrospective Analysis. Eur J Surg Oncol 2023, 49. [CrossRef]
- Zach, D.; Åvall-Lundqvist, E.; Falconer, H.; Hellman, K.; Johansson, H.; Flöter Rådestad, A. Patterns of Recurrence and Survival in Vulvar Cancer: A Nationwide Population-Based Study. Gynecol Oncol 2021, 161, 748–754. [CrossRef]
- Aznar, A.L.; Pérez-Benavente, A.; Cabrera, S.; Bebia, V.; Gil-Moreno, A.; Angeles, M.A. Inguinofemoral Lymphadenectomy Technique in 10 Steps. Int J Gynecol Cancer 2023, 33, 1823–1824. [CrossRef]
- Gadducci, A.; Tana, R.; Barsotti, C.; Guerrieri, M.E.; Genazzani, A.R. Clinico-Pathological and Biological Prognostic Variables in Squamous Cell Carcinoma of the Vulva. Crit Rev Oncol Hematol 2012, 83, 71–83. [CrossRef]
- Meltzer-Gunnes, C.J.; Småstuen, M.C.; Kristensen, G.B.; Tropé, C.G.; Lie, A.K.; Vistad, I. Vulvar Carcinoma in Norway: A 50-Year Perspective on Trends in Incidence, Treatment and Survival. Gynecol Oncol 2017, 145, 543–548. [CrossRef]
- Olawaiye, A.B.; Cuello, M.A.; Rogers, L.J. Cancer of the Vulva: 2021 Update. International Journal of Gynecology & Obstetrics 2021, 155, 7–18. [CrossRef]
- Aaronson, N.K.; Ahmedzai, S.; Bergman, B.; Bullinger, M.; Cull, A.; Duez, N.J.; Filiberti, A.; Flechtner, H.; Fleishman, S.B.; Haes, J.C.J.M.D.; et al. The European Organization for Research and Treatment of Cancer QLQ-C30: A Quality-of-Life Instrument for Use in International Clinical Trials in Oncology. J Natl Cancer Inst 1993, 85, 365–376. [CrossRef]
- Vulva Cancer | EORTC – Quality of Life Available online: https://qol.eortc.org/questionnaire/qlq-vu34/ (accessed on 22 January 2025).
- Froeding, L.P.; Greimel, E.; Lanceley, A.; Oberguggenberger, A.; Schmalz, C.; Radisic, V.B.; Nordin, A.; Galalaei, R.; Kuljanic, K.; Vistad, I.; et al. Assessing Patient-Reported Quality of Life Outcomes in Vulva Cancer Patients: A Systematic Literature Review. International Journal of Gynecological Cancer 2018, 28, 808–817. [CrossRef]
- Abu-Rustum, N.R.; Yashar, C.M.; Arend, R.; Barber, E.; Bradley, K.; Brooks, R.; Campos, S.M.; Chino, J.; Chon, H.S.; Crispens, M.A.; et al. Vulvar Cancer, Version 3.2024, NCCN Clinical Practice Guidelines in Oncology. J Natl Compr Canc Netw 2024, 22, 117–135. [CrossRef]
- Serrado, M.A.; Horta, M.; Cunha, T.M. State of the Art in Vulvar Cancer Imaging. Radiol Bras 2019, 52, 316–324. [CrossRef]
- Giannini, A.; D’Oria, O.; Chiofalo, B.; Bruno, V.; Baiocco, E.; Mancini, E.; Mancari, R.; Vincenzoni, C.; Cutillo, G.; Vizza, E. The Giant Steps in Surgical Downsizing toward a Personalized Treatment of Vulvar Cancer. Journal of Obstetrics and Gynaecology Research 2022, 48, 533–540. [CrossRef]
- Taussig, F.J. Cancer of the Vulva: AN ANALYSIS of 155 CASES (1911–1940). Am J Obstet Gynecol 1940, 40, 764–779. [CrossRef]
- Woelber, L.; Kock, L.; Gieseking, F.; Petersen, C.; Trillsch, F.; Choschzick, M.; Jaenicke, F.; Mahner, S. Clinical Management of Primary Vulvar Cancer. Eur J Cancer 2011, 47, 2315–2321. [CrossRef]
- Swift, B.E.; Khoja, L.; Matthews, J.; Croke, J.; Laframboise, S.; Leung, E.; Gien, L.T. Management of Inguinal Lymph Nodes in Locally Advanced, Surgically Unresectable, Squamous Cell Carcinoma of the Vulva. Gynecol Oncol 2024, 187, 46–50. [CrossRef]
- Mansouri, H.; Zemni, I.; Sakhri, S.; Ayadi, M.A.; Boujelbene, N.; Ben Dhiab, T. Lymph Node Ratio as an Indicator of Nodal Status in the Assessment of Survival and Recurrence in Vulvar Cancer: A Cohort Study. Women’s Health 2024, 20. [CrossRef]
- Nooij, L.S.; Brand, F.A.M.; Gaarenstroom, K.N.; Creutzberg, C.L.; de Hullu, J.A.; van Poelgeest, M.I.E. Risk Factors and Treatment for Recurrent Vulvar Squamous Cell Carcinoma. Crit Rev Oncol Hematol 2016, 106, 1–13. [CrossRef]
- Konidaris, S.; Bakas, P.; Gregoriou, O.; Kalampokas, T.; Kondi-Pafiti, A. Surgical Management of Invasive Carcinoma of the Vulva. A Retrospective Analysis and Review. Eur J Gynaecol Oncol 2011, 32, 505–508.
- Baiocchi, G.; Silva Cestari, F.M.; Rocha, R.M.; Lavorato-Rocha, A.; Maia, B.M.; Cestari, L.A.; Kumagai, L.Y.; Faloppa, C.C.; Fukazawa, E.M.; Badiglian-Filho, L.; et al. Prognostic Value of the Number and Laterality of Metastatic Inguinal Lymph Nodes in Vulvar Cancer: Revisiting the FIGO Staging System. Eur J Surg Oncol 2013, 39, 780–785. [CrossRef]
- Ferrari, F.; Ismail, L.; Sabbagh, A.; Hardern, K.; Owens, R.; Gozzini, E.; Soleymani Majd, H. Adjuvant Radiotherapy for Groin Node Metastases Following Surgery for Vulvar Cancer: A Systematic Review. Oncol Rev 2024, 18, 1389035. [CrossRef]
- Survival of Vulval Cancer | Cancer Research UK Available online: https://www.cancerresearchuk.org/about-cancer/vulval-cancer/survival (accessed on 3 November 2024).
- Matsumoto Videira, H.; Miguel Camargo, M.; Cesar Teixeira, J.; Evangelista Santiago, A.; Bastos Eloy Costa, L.; Bhadra Vale, D. Surgery as Primary Treatment Improved Overall Survival in Vulvar Squamous Cancer: A Single Center Study with 108 Women. Eur J Obstet Gynecol Reprod Biol 2024, 294, 143–147. [CrossRef]
- Darwish, A.; Ismail, L.; Manek, S.; Hellner, K.; Kehoe, S.; Soleymani majd, H. Prognostic Characteristics, Recurrence Patterns, and Survival Outcomes of Vulval Squamous Cell Carcinoma - A Twelve-Year Retrospective Analysis of a Tertiary Centre. Eur J Surg Oncol 2024, 50. [CrossRef]
- Gill, B.S.; Bernard, M.E.; Lin, J.F.; Balasubramani, G.K.; Rajagopalan, M.S.; Sukumvanich, P.; Krivak, T.C.; Olawaiye, A.B.; Kelley, J.L.; Beriwal, S. Impact of Adjuvant Chemotherapy with Radiation for Node-Positive Vulvar Cancer: A National Cancer Data Base (NCDB) Analysis. Gynecol Oncol 2015, 137, 365–372. [CrossRef]
- Meng, X.; Guo, S.; Feng, X.; Ai, J.; Yang, J. Overall Survival Associated with Surgery, Radiotherapy, and Chemotherapy in Metastatic Vulvar Cancer: A Retrospective Cohort Study Based on the SEER Database. Cancer pathogenesis and therapy 2023, 2, 195–204. [CrossRef]
- Palaia, I.; Bellati, F.; Calcagno, M.; Musella, A.; Perniola, G.; Panici, P.B. Invasive Vulvar Carcinoma and the Question of the Surgical Margin. Int J Gynaecol Obstet 2011, 114, 120–123. [CrossRef]
- Maggino, T.; Landoni, F.; Sartori, E.; Zola, P.; Gadducci, A.; Alessi, C.; Soldà, M.; Coscio, S.; Spinetti, G.; Maneo, A.; et al. Patterns of Recurrence in Patients with Squamous Cell Carcinoma of the Vulva A Multicenter CTF Study. 2000. [CrossRef]
- Burger, M.P.M.; Hollema, H.; Emanuels, A.G.; Krans, M.; Pras, E.; Bouma, J. The Importance of the Groin Node Status for the Survival of T1 and T2 Vulval Carcinoma Patients. Gynecol Oncol 1995, 57, 327–334. [CrossRef]
- Raspagliesi, F.; Hanozet, F.; Ditto, A.; Solima, E.; Zanaboni, F.; Vecchione, F.; Kusamura, S. Clinical and Pathological Prognostic Factors in Squamous Cell Carcinoma of the Vulva. Gynecol Oncol 2006, 102, 333–337. [CrossRef]
- Chan, J.K.; Sugiyama, V.; Pham, H.; Gu, M.; Rutgers, J.; Osann, K.; Cheung, M.K.; Berman, M.L.; DiSaia, P.J. Margin Distance and Other Clinico-Pathologic Prognostic Factors in Vulvar Carcinoma: A Multivariate Analysis. Gynecol Oncol 2007, 104, 636–641. [CrossRef]
- Mahner, S.; Jueckstock, J.; Hilpert, F.; Neuser, P.; Harter, P.; De Gregorio, N.; Hasenburg, A.; Sehouli, J.; Habermann, A.; Hillemanns, P.; et al. Adjuvant Therapy in Lymph Node-Positive Vulvar Cancer: The AGO-CaRE-1 Study. J Natl Cancer Inst 2015, 107. [CrossRef]
- Mack, L.C.; Hagemeier, A.; Forner, D.M. Influence of Stage and Age on Survival of Patients with Vulvar Cancer in Germany: A Retrospective Study. BMJ Open 2024, 14, e077960. [CrossRef]
- Muangchang, M.; Suprasert, P.; Khunamornpong, S. Clinicopathological Prognostic Factors Influencing Survival Outcomes of Vulvar Cancer. Asian Pacific Journal of Cancer Prevention 2021, 22, 2541–2548. [CrossRef]
- Mitra, S.; Kumar Sharma, M.; Kaur, I.; Khurana, R.; Batra Modi, K.; Narang, R.; Mandal, A.; Dutta, S. Vulvar Carcinoma: Dilemma, Debates, and Decisions. Cancer Manag Res 2018, 10, 61. [CrossRef]
- Woelber, L.; Eulenburg, C.; Choschzick, M.; Kruell, A.; Petersen, C.; Gieseking, F.; Jaenicke, F.; Mahner, S. Prognostic Role of Lymph Node Metastases in Vulvar Cancer and Implications for Adjuvant Treatment. International Journal of Gynecological Cancer 2012, 22, 503–508. [CrossRef]
- Lei, L.; Tan, L.; Zhao, X.; Zeng, F.; Xu, D. A Prognostic Nomogram Based on Lymph Node Ratio for Postoperative Vulvar Squamous Cell Carcinoma from the Surveillance, Epidemiology, and End Results Database: A Retrospective Cohort Study. Ann Transl Med 2020, 8, 1382–1382. [CrossRef]
- Novackova, M.; Halaska, M.J.; Robova, H.; Mala, I.; Pluta, M.; Chmel, R.; Rob, L. A Prospective Study in the Evaluation of Quality of Life after Vulvar Cancer Surgery. International Journal of Gynecological Cancer 2015, 25, 166–173. [CrossRef]
- Jones, G.L.; Jacques, R.M.; Thompson, J.; Wood, H.J.; Hughes, J.; Ledger, W.; Alazzam, M.; Radley, S.C.; Tidy, J.A. The Impact of Surgery for Vulval Cancer upon Health-Related Quality of Life and Pelvic Floor Outcomes during the First Year of Treatment: A Longitudinal, Mixed Methods Study. Psychooncology 2016, 656–662. [CrossRef]
- Trutnovsky, G.; Holter, M.; Gold, D.; Kopera, D.; Deban, J.; Misut, D.; Aust, S.; Tamussino, K.; Greimel, E. Aesthetic Outcome and Psychosexual Distress After Treatment for Vulvar High-Grade Squamous Intraepithelial Lesions. J Low Genit Tract Dis 2024, 28, 48–53. [CrossRef]
- Hellinga, J.; Te Grootenhuis, N.C.; Werker, P.M.N.; De Bock, G.H.; Van Der Zee, A.G.J.; Oonk, M.H.M.; Stenekes, M.W. Quality of Life and Sexual Functioning after Vulvar Reconstruction with the Lotus Petal Flap. International Journal of Gynecological Cancer 2018, 28, 1728–1736. [CrossRef]
- Trott, S.; Höckel, M.; Dornhöfer, N.; Geue, K.; Aktas, B.; Wolf, B. Quality of Life and Associated Factors after Surgical Treatment of Vulvar Cancer by Vulvar Field Resection (VFR). Arch Gynecol Obstet 2020, 302, 191–201. [CrossRef]
- De Melo Ferreira, A.P.; De Figueiredo, E.M.; Lima, R.A.; Cândido, E.B.; De Castro Monteiro, M.V.; De Figueiredo Franco, T.M.R.; Traiman, P.; Da Silva-Filho, A.L. Quality of Life in Women with Vulvar Cancer Submitted to Surgical Treatment: A Comparative Study. European Journal of Obstetrics and Gynecology and Reproductive Biology 2012, 165, 91–95. [CrossRef]
- Aerts, L.; Enzlin, P.; Vergote, I.; Verhaeghe, J.; Poppe, W.; Amant, F. Sexual, Psychological, and Relational Functioning in Women after Surgical Treatment for Vulvar Malignancy: A Literature Review. J Sex Med 2012, 9, 361–371. [CrossRef]
- Likes, W.M.; Stegbauer, C.; Tillmanns, T.; Pruett, J. Correlates of Sexual Function Following Vulvar Excision. Gynecol Oncol 2007, 105, 600–603. [CrossRef]
- Oonk, M.H.M.; van Os, M.A.; de Bock, G.H.; de Hullu, J.A.; Ansink, A.C.; van der Zee, A.G.J. A Comparison of Quality of Life between Vulvar Cancer Patients after Sentinel Lymph Node Procedure Only and Inguinofemoral Lymphadenectomy. Gynecol Oncol 2009, 113, 301–305. [CrossRef]
- Stanca, M.; Căpîlna, D.M.; Trâmbițaș, C.; Căpîlna, M.E. The Overall Quality of Life and Oncological Outcomes Following Radical Hysterectomy in Cervical Cancer Survivors Results from a Large Long-Term Single-Institution Study. Cancers 2022, Vol. 14, Page 317 2022, 14, 317. [CrossRef]
- Stanca, M.; Căpîlna, D.M.; Căpîlna, M.E. Long-Term Survival , Prognostic Factors , and Quality of Life of Patients Undergoing Pelvic Exenteration for Cervical Cancer. 2022.


Disclaimer/Publisher’s Note: The statements, opinions and data contained in all publications are solely those of the individual author(s) and contributor(s) and not of MDPI and/or the editor(s). MDPI and/or the editor(s) disclaim responsibility for any injury to people or property resulting from any ideas, methods, instructions or products referred to in the content. |
© 2025 by the authors. Licensee MDPI, Basel, Switzerland. This article is an open access article distributed under the terms and conditions of the Creative Commons Attribution (CC BY) license (http://creativecommons.org/licenses/by/4.0/).