Submitted:
07 May 2025
Posted:
13 May 2025
You are already at the latest version
Abstract
Keywords:
1. Introduction
Materials and Methods
2.1. Outline

2.1. Sampling locations and sampling program
2.1.1. Real-Time Collection of Indoor Climate and Air Pollutant Factor Data
- Step 1 Test subjects: Test Objects: Sixteen randomly selected rooms in student dormitory buildings were chosen for sampling. These rooms were uniformly distributed in the middle of the buildings. Basic information about the sample dormitories, such as test time, location, building age, renovation time, and household type, is detailed in Table 2. The building forms included dormitories with sunrooms in the balconies and those with exposed balconies, all constructed between 2001–2002. The locations of selected points within the test buildings are illustrated in Figure 2 and Figure 3.
- Step 2 Test parameters: The study’s indoor air quality parameters included thermal and humid environments as well as air quality. Thermal and humid environment parameters comprised indoor temperature, humidity, wind speed, and black sphere temperature. Air quality test parameters included CO₂, PM2.5, and anions. As per China’s national standard for indoor air quality [18], rooms smaller than 50 ㎡ require one to three sampling points [19]. Considering the distribution of occupants, indoor ventilation, air exchange medium, and dormitory area (approximately 21 ㎡), three sampling points were selected. The height of the sampling points was aligned with the human breathing zone. During measurements, the students were predominantly seated, setting the sampling height at 1.1 m.
| Residential | Testing time (2022) | Age of renovation | Room Type | Floor | Number of people in the room |
| R1 | 11/10 - 11/12 | 2002 | With additional | 3/6 | 4/4 |
| R2 | 11/10 - 11/12 | 2002 | With additional | 3/6 | 4/4 |
| R3 | 11/10 - 11/12 | 2002 | With additional | 3/6 | 4/4 |
| R4 | 11/10 - 11/12 | 2002 | With additional | 3/6 | 4/4 |
| R5 | 11/10 - 11/12 | 2002 | With additional | 3/6 | 4/4 |
| R6 | 11/10 - 11/12 | 2002 | With additional | 3/6 | 4/4 |
| R7 | 11/10-11/12 | 2002 | With additional | 3/6 | 4/4 |
| R8 | 11/10-11/12 | 2002 | With additional | 3/6 | 4/4 |
| R9 | 11/10 - 11/12 | 2002 | Exposed balconies | 3/6 | 6/6 |
| R10 | 11/10 - 11/12 | 2002 | Exposed balconies | 3/6 | 6/6 |
| R11 | 11/10 - 11/12 | 2002 | Exposed balconies | 3/6 | 6/6 |
| R12 | 11/10 - 11/12 | 2002 | Exposed balconies | 3/6 | 6/6 |
| R13 | 11/10 - 11/12 | 2002 | Exposed balconies | 3/6 | 6/6 |
| R14 | 11/10 - 11/12 | 2002 | Exposed balconies | 3/6 | 6/6 |
| R15 | 11/10 - 11/12 | 2002 | Exposed balconies | 3/6 | 6/6 |
| R16 | 11/10-11/11 | 2002 | Exposed balconies | 3/6 | 6/6 |

2.1.2. Assess indoor climate and air pollution factors
2.1.3. Calculating real-time IEQ scores based on indoor climate and air pollution factors
- Evaluation score of individual indoor air environment parameters [30]
- 2.
- Weighting analysis of indoor air environment parameters [30]
2.2.4. Presentation of scl-90 symptom self-rating scale scores and occupant mood characteristics
3. Results and discussion
3.1. Evaluation of individual indoor air environment parameters
- Hot and humid environments
- 2.
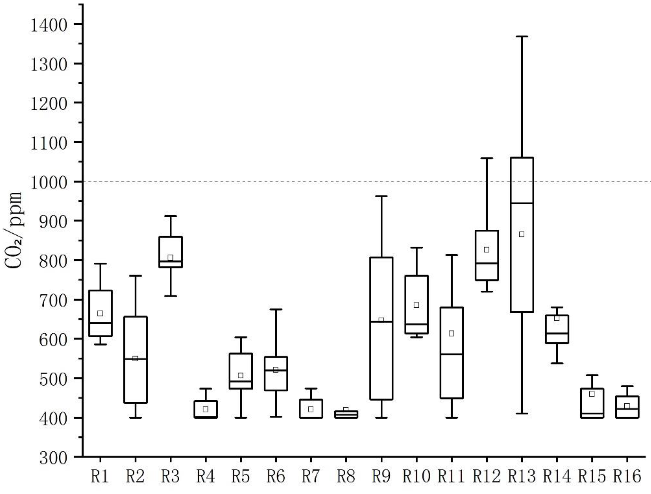
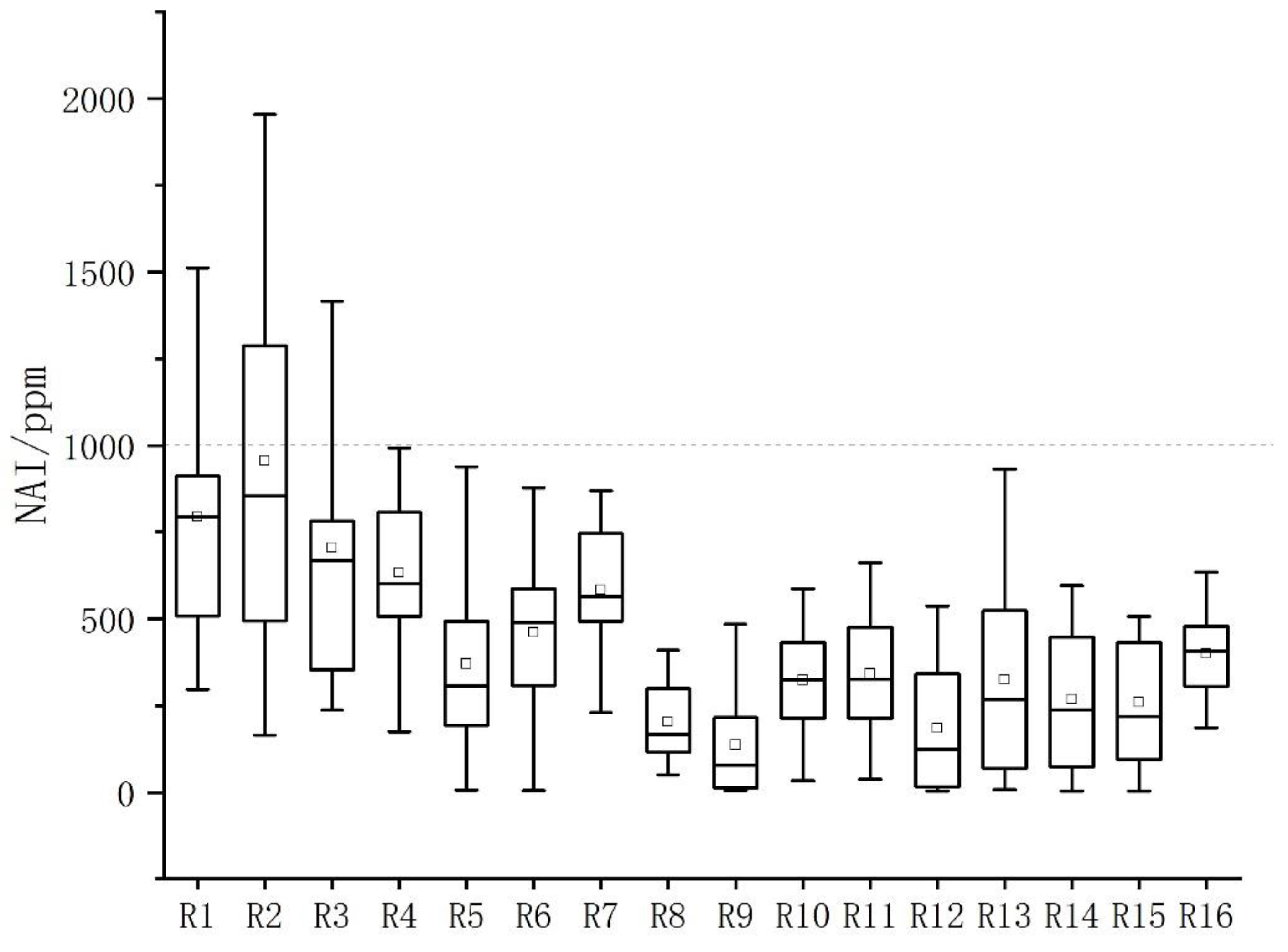
- Indoor air quality
3.2. Comprehensive evaluation analysis
3.2.1. General Analysis of environmental parameters
3.2.2. Subjective psychological questionnaire score processing
| Factor | Measurement of environmental occupants(n=80) | National permanent model (n=1388) | t | P |
| Interpersonal sensitivity (with sunroom) | 1.67±0.63 | 1.65±0.61 | 2.153 | 0.039 |
| Interpersonal sensitivity (no sunroom) | 1.69±0.62 | 1.65±0.61 | 4.189 | 0.000 |
| Anxiety (with sun room) | 1.40±0.57 | 1.39±0.43 | 1.864 | 0.072 |
| Anxiety (no sunroom) | 1.41±0.51 | 1.39±0.43 | 3.738 | 0.001 |
| Other - including eating and sleeping (with sunroom) | 1.51±0.61 | 1.50±0.59 | 0.863 | 0.395 |
| Other - including diet and sleep (no sunroom) | 1.53±0.58 | 1.50±0.59 | 3.169 | 0.003 |
3.3. Analysis of IEQ factors and scl-90 symptom self-rating scale scores based on building occupant behavior
4. Conclusions
Author Contributions
Funding
Data Availability Statement
Acknowledgments
Conflicts of Interest
References
- Liu, F.D., et al., A review on indoor green plants employed to improve indoor environment. JOURNAL OF BUILDING ENGINEERING, 2022. 53.
- Sandang, G., et al., A Review of the Interactive Relations Between People and the Built Environment. Mathematics in Practice and Theory, 2022. 52(07): p. 51-59.
- Feng, J.J., Z.N. Zhou, and W.W. Li, Associating indoor air temperature with building spatial design and occupancy features: A statistical analysis on university classrooms. Building and Environment, 2022. 216: p. 19.
- Chiang, C.M., et al., A methodology to assess the indoor environment in care centers for senior citizens. Building and Environment, 2001. 36(4): p. 561-568.
- Roumi, S., et al., Commercial building indoor environmental quality models: A critical review. Energy Build, 2022: p. 263.
- Roumi, S., F. Zhang, and R.A. Stewart, Global Research Trends on Building Indoor Environmental Quality Modelling and Indexing Systems—A Scientometric Review. Energies, 2022. 15(12): p. 4494.
- Heinzerling, D., et al., Indoor environmental quality assessment models: A literature review and a proposed weighting and classification scheme. Building and Environment, 2013. 70: p. 210-222.
- Zhang, D., K.-W. Mui, and L.-T. Wong Ten Questions Concerning Indoor Environmental Quality (IEQ) Models: The Development and Applications. Applied Sciences, 2023. 13, DOI: 10.3390/app13053343.
- .
- (WHO), W.H.O. Considerations for school-related public health measures in the context of COVID-19. 2020 [cited 2020 5.10].
- 오근숙 and G. Jung, A Field Study on Improvement of Indoor Air Quality, Occupants’ Perceived Air Quality, Sick Building Syndrome Symptoms, and Learning Concentration with Indoor Plants in University Classrooms. Journal of the Architectural Institute of Korea Planning & Design, 2012. 28(07): p. 261-268.
- Zhenyan, Y., et al., Effect of meteorological and environmental factors on negative oxygen ions concentration in Zhejiang province. China Environment Science, 2023: p. 1-23.
- Chong, H.L., S.M. Jasman, and M.E, 2019 Theory and Technique International Aerosol Conference and Malaysia Air Quality Annual Symposium (T&T IAC MAQAS2019). IOP Conference Series: Earth and Environmental Science, 2019. 373.
- Kim, J., et al., Analyzing the real-time indoor environmental quality factors considering the influence of the building occupants’ behaviors and the ventilation. Building and Environment, 2019. 156: p. 99-109.
- Wolkoff, P., Indoor air humidity, air quality, and health – An overview. International Journal of Hygiene and Environmental Health, 2018. 221(3): p. 376-390.
- Yamada, Y., et al., Regional Difference in the Impact of COVID-19 Pandemic on Domain-Specific Physical Activity, Sedentary Behavior, Sleeping Time, and Step Count: Web-Based Cross-sectional Nationwide Survey and Accelerometer-Based Observational Study. JMIR Public Health Surveill., 2023. 20.
- Jingwei,, L. and H. Jiajing, Psychological fluctuations and guidance strategies for university students in major epidemics;Zhongda yiqing zhongde xuesheng dexin libo dongyu yindao celve. Ideological Education Research;Sixiang zhengzhi jiaoyu, 2020. No.309(03): p. 66-70.
- Committee, N.H.a.W., Indoor air quality standard. 2022, National Health Commission of the People’s Republic of China.
- Miao, D., X.D. Cao, and W.X. Zuo, Associations of Indoor Environmental Quality Parameters with Students’ Perceptions in Undergraduate Dormitories: A Field Study in Beijing during a Transition Season. International Journal of Environmental Research and Public Health, 2022. 19(24): p. 17.
- China, M.o.H.a.U.-R.D.o.t.P.s.R.o., Indoor Heat and Wet Environment Evaluation Standard for Civil Buildings. 2012, China State Engineering and Construction Pres: China.
- Kelechava, B., Thermal Environmental Conditions for Human Occupancy. 2021, US-ASHRAE.
- E, I., ISO 7730 Ergonomics of the Thermal Environment— Analytical Determination and Interpretation of Thermal Comfort Using Calculation of the PMV and PPD Indices and Local Thermal Comfort Criteria. Management, 2005. 710(3): p. 605-615.
- B., O., Revision of EN15251 standard related to criteria for the indoor environment. REHVA, 2012. 49(4): p. 611.
- Tham, K.W., Indoor air quality and its effects on humans-A review of challenges and developments in the last 30 years. Energy and Buildings, 2016. 130: p. 637-650.
- China, F.B.o.t.P.s.R.o., Specification on observation on air negative oxygen ion concentration. 2016.
- Orgnization, W.H., Word Health Orgnization.Airquality guidelines:global update2005:particulate matter,ozone,nitrogendioxide,and sulfur dioxide. 2006.
- China, M.o.H.a.U.-R.D.o.t.P.s.R.o., GB50325-2020;Code for indoor environmental pollution control of civil building engineering. 2020, Ministry of Housing and Urban-Rural Development of the People’s Republic of China.
- Website, C.M.S., Grade of air negative (oxygen)ion concentration. 2017.
- Chengzhang, L., et al., Study on Establishment of the Technical System for Monitoring Air Negative Oxygen Ion in China. Forest Resources Management, 2019(03): p. 20-25.
- Zhiwei, Z., et al., Comprehensive Evaluation on Indoor Air Environment Quality of Urban Residences in Hot-summer and Cold-winter Zone:A Case Study of Hangzhou City. Building Science, 2022. 38(08): p. 54-60+183.
- Liu, Z.B., Y.X. Li, and L. Zhao, Monitoring and Analysis of Indoor Air Quality in Graduate Dormitories in Northern China. Atmosphere, 2022. 13(12): p. 26.
- Huiyan, L., et al., A survey on the mental health of postgraduate medical students during the control of a local outbreak of novel coronavirus pneumonia in the post-epidemic era;Houyi qingshi daixin xingguan zhuangbing dufei yanju bubao fafang kongqi jianyi xuesheng xinli jiankang zhuangkuang diaocha. Journal of Practical Medicine;shiyong yixue zazhi, 2021. 37(23): p. 3067-3071.
- Zhengyu, W., th Self-Report Symptom Inventory,Symptom Check-List90,SCL-90. Shanghai Archives of Psychiatry, 1984(02): p. 68-70.
- Dengbei, A. Yating, and Huhui, Anxiety status of university students in Wuhan during the novel coronavirus pneumonia outbreak and its influencing factors;Xinxing guangzhuang bingdu feiyan yiqing qijian wuhan shida xuesheng jiaolv zhuangkuang jiqi yingxinag yinsu. Journal of Wuhan University (Medical Edition);Wuhan daxue xuebao(yixxue ban), 2021. 42(03): p. 369-372.









| Serial number | Parameters | Unit | Experimental apparatus | Instrument number | Measuring range | Error |
| 1 | Room temperature | ℃ | Temperature and humidity self-meter | HOBO MX2301A | -40 to 70°C (-40 to 158°F) | ±0.2 (0-70°C) |
| 2 | Indoor relative humidity | % | Temperature and humidity self-meter | HOBO MX2301A | 0-100%RH | ±2.5 (10-90% typical) |
| 3 | Dew point temperature | ℃ | Temperature and humidity self-meter | HOBO MX2301A | -40 to 70°C (-40 to 158°F) | ±0.2 (0-70°C) |
| 4 | Outdoor temperature | ℃ | Black Sphere Thermometer | JTR04 | 5°C - 120°C | ±0.5°C |
| 5 | Air flow rate | M/s | Digital Anemometer | TES1341 | 0.1 - 30.0 m/s | ±3% of reading ±1% of full scale value |
| 6 | Indoor CO2 levels | % | Nitrogen and oxygen detectors | WST-10C | 0-2000ppm | ±5% |
| 7 | Indoor Respirable Particulate Matter pm2.5 | Mg/m³ | Nitrogen and oxygen detectors | WST-10C | 0-999ug/m³ | ±5% |
| 8 | Negative Oxygen Ion | pcs-cm³ | Negative Oxygen Ion Tester (also known as Nitrogen Oxygen Detector) | WST-10C | 0-5 million/cm³ | ±5% |
| International standards | Category | Pmv |
| ASHRAE55[21] | 90% | -0.5 ≤ PMV ≤ +0.5 |
| 80% | -0.85 ≤ PMV ≤ +0.85 | |
| ISO 7730 [22] | I | -0.2 ≤ PMV ≤ +0.2 |
| II | -0.5 ≤ PMV ≤ +0.5 | |
| III | -0.7 ≤ PMV ≤ +0.7 | |
| EN15251[23] | I | -0.2 ≤ PMV ≤ +0.2 |
| II | -0.5 ≤ PMV ≤ +0.5 | |
| III | -0.7 ≤ PMV ≤ +0.7 | |
| IV | PMV<-0.7, PMV>+0.7 | |
| GB/T50785[20] | I | -0.5 ≤ PMV ≤ +0.5 |
| II | -1 ≤ PMV ≤ -0.5, +0.5 < PMV ≤ +1 | |
| III | PMV<-1, PMV>1 |
| China | WHO [26] | United StatesASHRAE [21] | Korea | |||
| PM2.5/(μg/m³) | 35, years Mean value [20] | 10, annual average | 15,8 h mean | _ | ||
| 75,24 h mean [20] | 25,24 h mean | |||||
| CO2/ppm | 1000[27] | _ | _ | 1000 | ||
| Negative oxygen ions/cm³ | I | 1200 [28], h mean | I | 0 to 500, h, [29] average values | - | - |
| II | 500-1200[28], h mean | II | 500 to 900,[29] h average values | |||
| III | 100-500 [28], h mean | III | 900 to 1200,[29] h mean | |||
| IV | 0-100[28], h mean | IV | 1200 to 1800,[29] h mean | |||
| V | 1800 to 2100, [29] h mean | |||||
| VI | ≥2100, h mean | |||||
| Analysis of factors influencing indoor air environment | ||
| Category | Major environmental issues | Representative homes |
| 1. Poor thermal comfort | Low room temperature in autumn and winter with poor external wall insulation | r9, r10, r11, r14, r15, r16 |
| 2. Poor air quality | Poor indoor air quality and inefficient ventilation | r1, r2, r7, r13, r15 |
| 3. Poor overall indoor air environment quality | Poor thermal environment and air quality | R13, R15 |
Disclaimer/Publisher’s Note: The statements, opinions and data contained in all publications are solely those of the individual author(s) and contributor(s) and not of MDPI and/or the editor(s). MDPI and/or the editor(s) disclaim responsibility for any injury to people or property resulting from any ideas, methods, instructions or products referred to in the content. |
© 2025 by the authors. Licensee MDPI, Basel, Switzerland. This article is an open access article distributed under the terms and conditions of the Creative Commons Attribution (CC BY) license (http://creativecommons.org/licenses/by/4.0/).