Submitted:
06 May 2025
Posted:
09 May 2025
You are already at the latest version
Abstract
Keywords:
1. Introduction
2. Materials and Methods
2.1. Densification of Wood
Scanning Electron Microscopy and X-Ray Microanalysis (SEM-EDX)
Thermogravimetri Analysis
Differential Scanning Calorimetry
Fourier-Transform Infrared Spectroscopy
Dynamic Mechanical Analysis (DMA)- Three Point Bending
3. Results
3.1. Effects of Alkali and Hydrothermal Modification on Oak Wood Properties Morphology
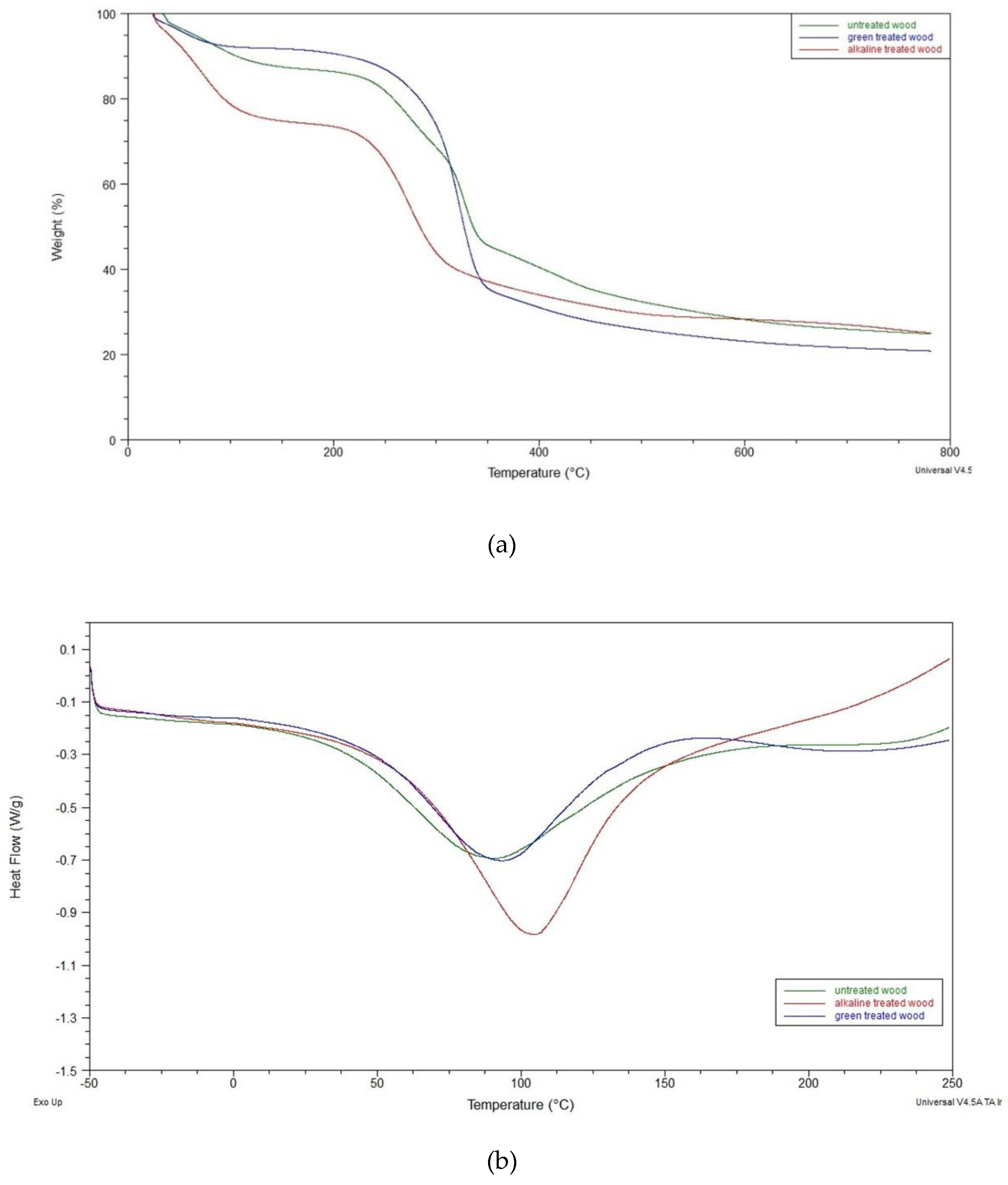
3.2. Chemical Properties
3.3. Physical and Mechanical Properties
3.4. Comparison of Hydrothermal Modification and AlkaliTreatment
4. Conclusions
Acknowledgments
References
- Navi, P.; Heger, F. Combined Densification and Thermo-Hydro-Mechanical Processing of Wood. MRS Bull. 2004, 29, 332–336. [CrossRef]
- Kamke, F.A.; Sizemore, H. Viscoelastic thermal compression of wood., 2008, US Patent No. US7404422B2.
- Bekhta, P.; Proszyk, S.; Krystofiak, T. Colour in short-term thermo-mechanically densified veneer of various wood species. Eur. J. Wood Wood Prod. 2014, 72, 785–797. [CrossRef]
- Kutnar, A.; Kamke, F.A.; Sernek, M. The mechanical properties of densified VTC wood relevant for structural composites. Eur. J. Wood Wood Prod. 2008, 66, 439–446. [CrossRef]
- Laine, K.; Belt, T.; Rautkari, L.; Ramsay, J.; Hill, C.A.S.; Hughes, M. Measuring the thickness swelling and set-recovery of densified and thermally modified Scots pine solid wood. J. Mater. Sci. 2013, 48, 8530–8538. [CrossRef]
- Blomberg, J.; Persson, B.; Blomberg, A. Effects of semi-isostatic densification of wood on the variation in strength properties with density. Wood Sci. Technol. 2005, 39, 339–350. [CrossRef]
- Kutnar, A.; Kamke, F.A.; Sernek, M. Density profile and morphology of viscoelastic thermal compressed wood. Wood Sci. Technol. 2008, 43, 57–68. [CrossRef]
- Rautkari, L.; Properzi, M.;.Pichelin, F.; Hughes, M. Properties and set-recovery of surface densified Norway spruce and European beech, Wood Sci Technol 2010, 44(4), 679–691.
- Laskowska, A. The Influence of Process Parameters on the Density Profile and Hardness of Surface-densified Birch Wood (Betula pendula Roth). BioResources 2017, 12, 6011-6023. [CrossRef]
- Pelit. H.; Budakçı, M.; Sönmez, A. Density and some mechanical properties of densified and heat post-treated Uludağ fr, linden and black poplar woods, Eur. J. Wood Wood Prod. 2018, 76(1), 79–87.
- Sandberg, D.; Haller, P.; Navi, P. Thermo-hydro and thermo-hydro-mechanical wood processing: An opportunity for future environmentally friendly wood products. Wood Mater. Sci. Eng. 2013, 8, 64–88. [CrossRef]
- Pelit, H.; Sönmez, A.; Budakçı, M. Effects of ThermoWood® Process Combined with Thermo-Mechanical Densification on some Physical Properties of Scots Pine (Pinus sylvestris L.). BioResources 2014, 9, 4552-4567. [CrossRef]
- Fang, C.-H.; Mariotti, N.; Cloutier, A.; Koubaa, A.; Blanchet, P. Densification of wood veneers by compression combined with heat and steam. Eur. J. Wood Wood Prod. 2011, 70, 155–163. [CrossRef]
- Ugovšek, A.; Kamke, F.A.; Sernek, M.; Kutnar, A. Bending performance of 3-layer beech (Fagus sylvativa L.) and Norway spruce (Picea abies (L.) Karst.) VTC composites bonded with phenol-formaldehyde adhesive and liquefied wood, Eur. J. Wood Wood Prod. 2013, 71(4), 507–514.
- Song, J.; Chen, C.; Zhu, S.; Zhu, M.; Dai, J.; Ray, U.; Li, Y.; Kuang, Y.; Li, Y.; Quispe, N.; et al. Processing bulk natural wood into a high-performance structural material. Nature 2018, 554, 224–228. [CrossRef]
- Navi, P.; Girardet, F. Effects of Thermo-Hydro-Mechanical Treatment on the Structure and Properties of Wood. Holzforschung 2000, 54, 287–293. [CrossRef]
- Blomberg, J.; Persson, B. Plastic deformation in small clear pieces of Scots pine (Pinus sylvestris) during densification with the CaLignum process. J. Wood Sci. 2004, 50, 307–314. [CrossRef]
- Kamke, F.A.; Sizemore, H. Viscoelastic thermal compression of wood, 2008, US Patent No. US7404422B2.
- Kutnar, A.; Kamke, F.A. Compression of wood under saturated steam, superheated steam, and transient conditions at 150°C, 160°C, and 170°C. Wood Sci. Technol. 2010, 46, 73–88. [CrossRef]
- Kamke, F.A.; Kutnar, A. Influence of stress level on compression deformation of wood in 170°C transient steam conditions. Wood Mater. Sci. Eng. 2011, 6, 105–111. [CrossRef]
- Kutnar, A.; Kamke, F.A.; Sernek, M. Density profile and morphology of viscoelastic thermal compressed wood. Wood Sci. Technol. 2008, 43, 57–68. [CrossRef]
- Rautkari, L.; Kamke, F.A.; Hughes, M. Density profile relation to hardness of viscoelastic thermal compressed (VTC) wood composite. Wood Sci. Technol. 2011, 45, 693–705. [CrossRef]
- Kutnar, A.; Kamke, F.A.; Sernek, M. The mechanical properties of densified VTC wood relevant for structural composites. Eur. J. Wood Wood Prod. 2008, 66, 439–446. [CrossRef]
- Fang, C.-H.; Mariotti, N.; Cloutier, A.; Koubaa, A.; Blanchet, P. Densification of wood veneers by compression combined with heat and steam. Eur. J. Wood Wood Prod. 2011, 70, 155–163. [CrossRef]
- Welzbacher, C.R.; Wehsener, J.; Rapp, A.O.; Haller, P. Thermo-mechanical densification combined with thermal modification of Norway spruce (Picea abies Karst) in industrial scale – Dimensional stability and durability aspects. Eur. J. Wood Wood Prod. 2007, 66, 39–49. [CrossRef]
- Tabarsa, T.; Chui, Y.H. Effects of hot-pressing on properties of white spruce, For. Prod. J. 1997, 47, 71-76.
- Rautkari, L.; Laine, K.; Laflin, N.; Hughes, M. Surface modification of Scots pine: the effect of process parameters on the through thickness density profile. J. Mater. Sci. 2011, 46, 4780–4786. [CrossRef]
- Pizzi, A.; Leban, J.-.-M.; Zanetti, M.; Pichelin, F.; Wieland, S.; Properzi, M. Surface finishes by mechanically induced wood surface fusion. Eur. J. Wood Wood Prod. 2005, 63, 251–255. [CrossRef]
- Gong, M.; Lamason, C.; Li, L. Interactive effect of surface densification and post-heat-treatment on aspen wood. J. Mech. Work. Technol. 2010, 210, 293–296. [CrossRef]
- Ilanidis, D.; Stagge, S.; Jönsson, L.J.; Martín, C. Hydrothermal Pretreatment of Wheat Straw: Effects of Temperature and Acidity on Byproduct Formation and Inhibition of Enzymatic Hydrolysis and Ethanolic Fermentation. Agronomy 2021, 11, 487. [CrossRef]
- Endo, K.; Obataya, E.; Zeniya, N.; Matsuo, M. Effects of heating humidity on the physical properties of hydrothermally treated spruce wood. Wood Sci. Technol. 2016, 50, 1161–1179. [CrossRef]
- Song, B.; Lin, R.; Lam, C.H.; Wu, H.; Tsui, T.-H.; Yu, Y. Recent advances and challenges of inter-disciplinary biomass valorization by integrating hydrothermal and biological techniques. Renew. Sustain. Energy Rev. 2021, 135. [CrossRef]
- Ali, R.; Abdullah, U.H.; Ashaari, Z.; Hamid, N.H.; Hua, L.S. Hydrothermal Modification of Wood: A Review. Polymers 2021, 13, 2612. [CrossRef]
- Shi, J.; Lu, Y.; Zhang, Y.; Cai, L.; Shi, S.Q. Effect of thermal treatment with water, H2SO4 and NaOH aqueous solution on color, cell wall and chemical structure of poplar wood. Sci. Rep. 2018, 8, 17735. [CrossRef]
- Kačík, F.; Solár, R. Analytical Chemistry of Wood, 1st ed.; Technical University in Zvolen: Zvolen, Slovakia, 2000, 369.
- Assor, C.; Placet, V.; Chabbert, B.; Habrant, A.; Lapierre, C.; Pollet, B.; Perré, P. Concomitant Changes in Viscoelastic Properties and Amorphous Polymers during the Hydrothermal Treatment of Hardwood and Softwood. J. Agric. Food Chem. 2009, 57, 6830–6837. [CrossRef]
- Seifert, V.K. Űber ein neues Verfahren zur Schnellbestimmung der Rein-Cellulose. Das Pap. 1956, 10, 301–306.
- González-Peña, M.M.; Curling, S.F.; Hale, M.D. On the effect of heat on the chemical composition and dimensions of thermally-modified wood. Polym. Degrad. Stab. 2009, 94, 2184–2193. [CrossRef]
- Lehto, J.; Louhelainen, J.; Kłosińska, T.; Drożdżek, M.; Alén, R. Characterization of alkali-extracted wood by FTIR-ATR spectroscopy. Biomass- Convers. Biorefinery 2018, 8, 847–855. [CrossRef]
- Shapchenkova, O.; Loskutov, S.; Aniskina, A.; Börcsök, Z.; Pásztory, Z. Thermal characterization of wood of nine European tree species: thermogravimetry and differential scanning calorimetry in an air atmosphere. Eur. J. Wood Wood Prod. 2021, 80, 409–417. [CrossRef]




| Untreated oak wood (% w/w) | Alkali treated oak wood (% w/w) | Hydrothermal treated oak wood (% w/w) | |
| Cellulose | 44 | 35 | 40 |
| Hemicellulose | 22 | 17 | 15 |
| Lignin | 29 | 10 | 18 |
| Frequency range (cm-1) | Functional Group | |
| 3378 | O–H stretching vibration in cellulose, hemicellulose, and lignin | Untreated samples$Alkali treated samples$Teflon lined hydrothermal samples |
| 2900 | C–H stretching vibration in cellulose, hemicellulose, and lignin | Untreated samples$Alkali treated samples$Teflon lined hydrothermal samples |
| 1733 | C=O stretching vibration in unconjugated ketones characterizing the hemicellulose | Alkali treated samples$Teflon lined hydrothermal samples |
| 1593 | C=C stretching of the aromatic ring in lignin | Alkali treated samples$Teflon lined hydrothermal samples |
| 1240 | C – H of the guaiacyl ring in the lignin | Alkali treated samples$Teflon lined hydrothermal samples |
| Material | Density, kg/m3 | Storage modulus, MPa |
| Untreated sample | 898 | 6000± 50 |
| Alkali treated sample | 1266 | 11280±40 |
| Hydrothermal treated sample | 1066 | 13500±45 |
Disclaimer/Publisher’s Note: The statements, opinions and data contained in all publications are solely those of the individual author(s) and contributor(s) and not of MDPI and/or the editor(s). MDPI and/or the editor(s) disclaim responsibility for any injury to people or property resulting from any ideas, methods, instructions or products referred to in the content. |
© 2025 by the authors. Licensee MDPI, Basel, Switzerland. This article is an open access article distributed under the terms and conditions of the Creative Commons Attribution (CC BY) license (http://creativecommons.org/licenses/by/4.0/).