Submitted:
27 December 2023
Posted:
28 December 2023
You are already at the latest version
Abstract
Keywords:
1. Introduction
2. Materials and methods
2.1. Materials
2.1.1. Wood fibres and hydrothermal treatment
2.1.2. Chemical analysis of fibres
2.1.3. Preparation of mortars
2.2. Methods
3. Results and discussion
3.1. Physical properties
3.2. Mechanical properties
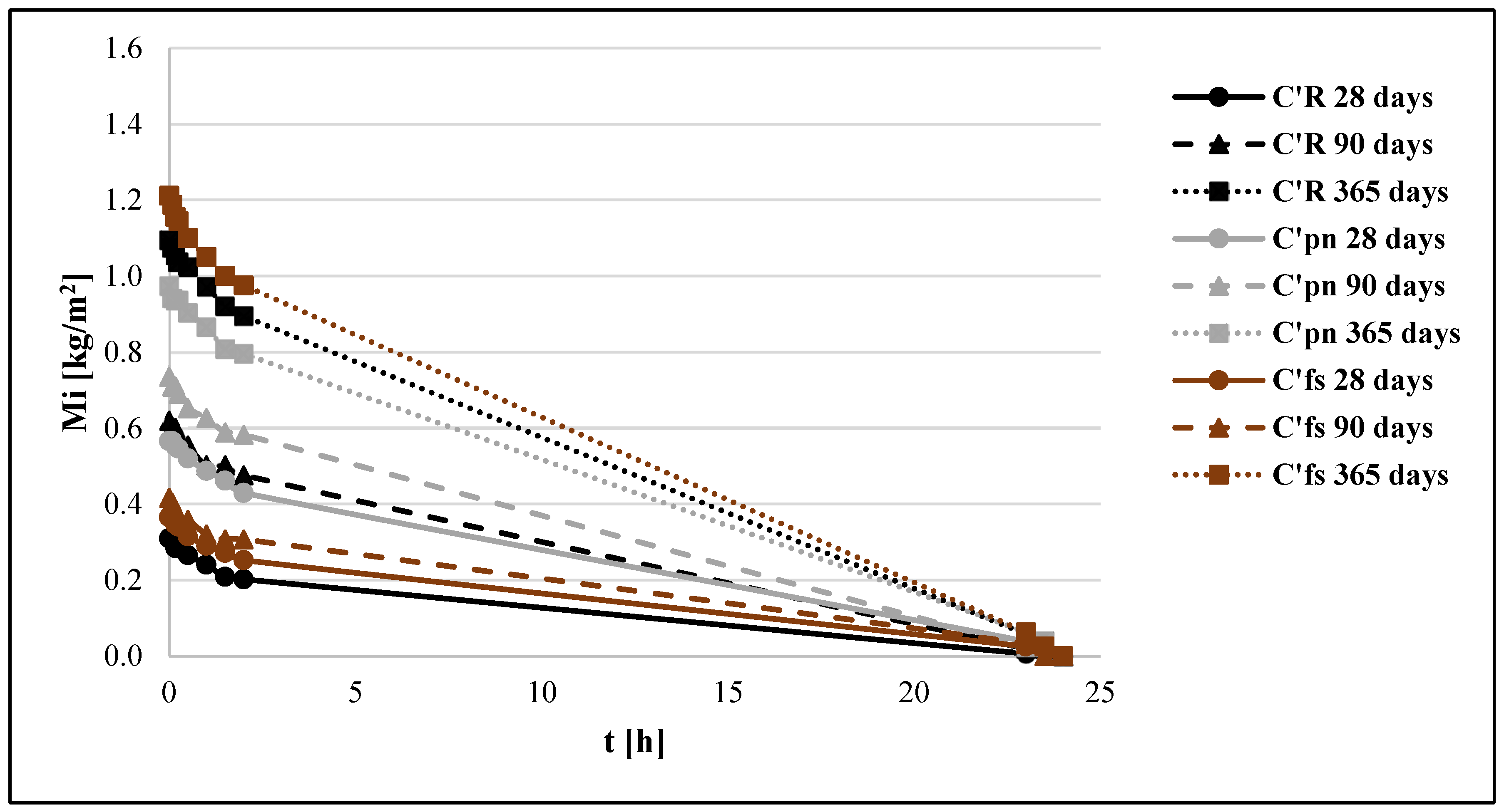
3.3. Hygrothermal properties
3.4. Weathering performance
4. Conclusions
Acknowledgments
References
- Ajouguim, S., Stefanidou, M., Abdelouahdi, K., Waqif, M., & Saâdi, L. (2022). Influence of treated bio-fibers on the mechanical and physical properties of cement mortars. European Journal of Environmental and Civil Engineering, 26(8), 3120–3135. [CrossRef]
- Androutsopoulos, A., Aptalidou, F., Aravantinos, D., et.al, (2017). EBPD 20701-2/2017. Detailed National Performance Specifications for the Thermophysical properties of building materials and control of the thermal insulation adequacy of buildings, 1st edition, 2017 Athens (Greece).
- Badejo, S O O 1988. Effect of flake geometry on properties of cement-bonded particle board from mixed tropical hardwoods Wood Sci. Technol. 22 357-69. [CrossRef]
- Cai, C., Javed, M. A., Komulainen, S., Telkki, V.-V., Haapala, A., and Heräjärvi, H. (2020). Effect of natural weathering on water absorption and pore size distribution in thermally modified wood determined by nuclear magnetic resonance. Cellulose 27, 4235–4247. [CrossRef]
- Campbell, M.D., Coutts, R.S.P. Wood fibre-reinforced cement composites. J Mater Sci 15, 1962–1970 (1980). [CrossRef]
- Caronge, M. A., Tjaronge, M. W., Hamada, H., & Irmawaty, R. (2017). Effect of water curing duration on strength behaviour of portland composite cement (Pcc) mortar. IOP Conference Series: Materials Science and Engineering, 271, 012018. [CrossRef]
- Çavdar, A. (2014). Investigation of freeze–thaw effects on mechanical properties of fiber reinforced cement mortars. Composites Part B: Engineering, 58, 463–472. [CrossRef]
- Chavhan, P.P., & Vyawahare, M.R. (2015). Correlation of Compressive strength and Dynamic modulus of Elasticity for high strength SCC Mixes. Int. J. Eng. Tech. Res., 3, 42–46.
- Coutts P and Ni P 1995 The relationship between wood pulp fibre properties and fibre cement composite performance Proc. 49th Appita Conf. 1995 (Hobart, Tasmania, Australia) pp 411-7.
- Da Silva Bertolini M, Inácio de Campos C, de Souza A M, Hallak Panzera T, Christoforo A Land Rocco Lahr F A 2014 Wood-cement composites from wastes of Pinus Sp. wood: effect of particles treatment Int. J. Compos. Mater. 4 146-9. [CrossRef]
- De Azevedo, A. R. G., Marvila, M. T., Tayeh, B. A., Cecchin, D., Pereira, A. C., & Monteiro, S. N. (2021). Technological performance of açaí natural fibre reinforced cement-based mortars. Journal of Building Engineering, 33, 101675. [CrossRef]
- De Ligne L., Van Acker J., Baetens J.M., Omar S., De Baets B., Thygesen L.G., Van den Bulcke J., Thybring E., 2022. Moisture Dynamics of Wood-Based Panels and Wood Fibre Insulation Materials. Front. Plant Sci., 2022, Sec. Plant Biophysics and Modeling, Vol. 13 (2022). [CrossRef]
- Esteves, B.; Velez Marques, A.; Domingos, I.; Pereira, H., 2013: Chemical changes of heat treated pine and eucalypt wood monitored by FTIR. Maderas Ciencia y Tecnologia, 15 (2): 245-258. [CrossRef]
- Esteves, L. P. (2011). On the hydration of water-entrained cement–silica systems: Combined SEM, XRD and thermal analysis in cement pastes. Thermochimica Acta, 518(1–2), 27–35. [CrossRef]
- Frybort S, Mauritz R, Teischinger A, Muller U 2008 Cement bonded composites: a mechanical review BioResources 3 602-26.
- Garcia, R. A.; de Carvalho, A. M.; Latorraca, J. V.; de Matos, J. M.; Santos, W. A.; De Medeiros Silva, R. F., 2010: Nondestructive evaluation of heat-treated Eucalyptus grandis Hill ex Maiden wood using stress wave method. Wood Science and Technology, 46: 41-52. [CrossRef]
- Han F.Q., Tan X., Zhao F.Q., 2017. Modification of Wood Fibre for Use in Cement Board. IOP Conf. Series: Materials Science and Engineering 281 (2017) 012020. [CrossRef]
- Jongvisuttisun, P., & Kurtis, K. E. (2015). The role of hardwood pulp fibers in mitigation of early-age cracking. Cement and Concrete Composites, 57, 84–93. [CrossRef]
- Kamperidou V. 2021. Chemical and Structural Characterization of Poplar and Black Pine Wood Exposed to Short Thermal Modification. Drvna industrija 72(2):155-167. [CrossRef]
- Kamperidou, V. The Biological Durability of Thermally- and Chemically-Modified Black Pine and Poplar Wood Against Basidiomycetes and Mold Action. Forests 2019, 10, 1111. [CrossRef]
- Kesikidou, F., & Stefanidou, M. (2019). Natural fiber-reinforced mortars. Journal of Building Engineering, 25, 100786. [CrossRef]
- Kotilainen, R.; Toivannen, T.; Alén, R., 2000: FTIR monitoring of chemical changes in softwood during heating. Journal of Wood Chemistry and Technology, 20 (3): 307-320. [CrossRef]
- Lin, C., Kanstad, T., Jacobsen, S., & Ji, G. (2023). Bonding property between fiber and cementitious matrix: A critical review. Construction and Building Materials, 378, 131169. [CrossRef]
- Markovski, G., Ćećez, M., Šahinagić-Isović, M. (2012). Shrinkage strain of concrete - causes and types. GRAĐEVINAR, 64 (9).
- Morjène L, Aloulou F and Seffen M 2020 Effect of organoclay and wood fibre inclusion on the mechanical properties and thermal conductivity of cement-based mortars Comptes Rendus.Chimie 23 733-46.
- Moslemi A 2008 Technology and market considerations for fibre cement composites 11th Int.Inorganic-Bonded Fibre Composites Conf. (Madrid) pp.113-29.
- Romano, Grammatikos, S., Riley, M., & Bras, A. (2021). Analysis of dynamic moisture movement within bio-based earth mortars. Construction and Building Materials, 306, 124862. [CrossRef]
- Seyam, A. M., & Nemes, R. (2023). Age influence on compressive strength for concrete made with different types of aggregates after exposed to high temperatures. Materials Today: Proceedings, S2214785323037975. [CrossRef]
- Shao Y., Moras S., Ulkem N., Kubes G. 2000. Wood fibre - cement composites by extrusion. Canadian Journal of Civil Engineering 27 (3). [CrossRef]
- Sierra Beltran M G and Schlangen E 2008 Wood fibre reinforced cement matrix: a micromechanical based approach Key Eng. Mater. 385-7 445-8.
- Sierra Beltran M.G., Schlangen E., 2009. Interface bond characteristics between wood fibres and a cement matrix. Brittle Matrix Composites 9, (2009) 43-51. [CrossRef]
- Sierra Beltran M.G., Schlangen E., 2010. Fibre-matrix interface properties in a wood fibre reinforced cement matrix. Fracture Mechanics of Concrete and Concrete Structures-High Performance, Fibre Reinforced Concrete, Special Loadings and Structural Applications- B. H. Oh, et al. 2010 Korea Concrete Institute, ISBN 978-89-5708-182-2. Proceedings of FraMCoS-7, May 23-28, 2010, 1425-1430. https://www.framcos.org/FraMCoS-7/12-07.pdf.
- Smith, D. S., Alzina, A., Bourret, J., Nait-Ali, B., Pennec, F., Tessier-Doyen, N., Otsu, K., Matsubara, H., Elser, P., & Gonzenbach, U. T. (2013). Thermal conductivity of porous materials. Journal of Materials Research, 28(17), 2260–2272. [CrossRef]
- Soares Del Menez C H, de Castro V G and de Souza M R 2007 Production and properties of amedium density wood-cement boards produced with oriented strands and silica fume Maderas. Cienc. Tecnol. 9 105-15.
- Soroushian, P., Won, J.-P., & Hassan, M. (2012). Durability characteristics of CO2-cured cellulose fiber reinforced cement composites. Construction and Building Materials, 34, 44–53. [CrossRef]
- Stefanidou M., Kamperidou V., Konstantinidis A., Koltsou P., Papadopoulos S., 2021. Use of Posidonia oceanica fibres in lime mortars. Construction and Building Materials 298 (2021): 123881. [CrossRef]
- Stefanidou M., Kamperidou V., Konstantinidis A., Koltsou P., Papadopoulos S., 2022. 24 - Rheological properties of biofibres in cementitious composite matrix. In book: Advances in Bio-Based Fibre. 2022, 553-573. [CrossRef]
- Stefanidou M., Kampragkou P., Kamperidou V., 2023. Wood fibres as additives in mortars: a sustainable reinforcement. IOP Conf. Series: Earth and Environmental Science 1196 (2023) 012067. [CrossRef]
- Stefanidou, M., Papayianni, I., & Pachta, V. (2012). Evaluation of inclusions in mortars of different historical periods from greek monuments. Archaeometry, 54(4), 737–751. [CrossRef]
- Tolêdo Filho, R. D., Scrivener, K., England, G. L., & Ghavami, K. (2000). Durability of alkali-sensitive sisal and coconut fibres in cement mortar composites. Cement and Concrete Composites, 22(2), 127–143. [CrossRef]
- Vo L T and Navard P 2016 Treatments of plant biomass for cementitious building materials – A review Constr. Build. Mater. 121 161-76.
- Wang, X.P., Pang, Y.X., Yang, D.J., Lou, H.M., Qiu, X.Q., 2012. Effect of Composition of Calcium Lignosulfonate on Setting of Portland Cement with Anhydrite. AMR. [CrossRef]
- Wei, J., & Meyer, C. (2014). Degradation rate of natural fiber in cement composites exposed to various accelerated aging environment conditions. Corrosion Science, 88, 118–132. [CrossRef]
- Zakaria M, Ahmed M, Hoque M and Islam S 2016. Scope of using jute fibre for the reinforcement of concrete material Text. Cloth. Sustain. 2 11.
- Zhang, C., Liu, T., Jiang, C., Chen, Z., Zhou, K., & Chen, L. (2022). The freeze-thaw strength evolution of fiber-reinforced cement mortar based on NMR and fractal theory: Considering porosity and pore distribution. Materials, 15(20), 7316. [CrossRef]
- Zhang, H., Yoshino, H., & Hasegawa, K. (2012). Assessing the moisture buffering performance of hygroscopic material by using experimental method. Building and Environment, 48, 27–34. [CrossRef]
- Zobel, B. (2004). Tree breeding, practices | biological improvement of wood properties. Encyclopedia of Forest Sciences, 1458–1466. [CrossRef]










| Mortars | Cement | Aggregates | Wood fibres (% v/v) | w/c | Superplasticizer (% w/w) | Workability (cm) |
|---|---|---|---|---|---|---|
| C’R | 1 | 2.5 | - | 0.45 | - | 12.0 |
| C’pn | 1 | 2.5 | 1.5 | 0.45 | 0.25 | 12.0 |
| C’fs | 1 | 2.5 | 1.5 | 0.45 | 0.25 | 12.0 |
| Sample | Absorption (%) | Open Porosity (%) | Specific gravity [g/cm3] | ||||||
|---|---|---|---|---|---|---|---|---|---|
| 28d | 90d | 365d | 28d | 90d | 365d | 28d | 90d | 365d | |
| C’R | 1.77 | 2.43 | 2.33 | 3.91 | 5.29 | 5.20 | 2.21 | 2.18 | 2.20 |
| C’pn | 2.74 | 2.79 | 2.80 | 5.93 | 6.04 | 6.18 | 2.16 | 2.16 | 2.14 |
| C’fs | 3.48 | 2.65 | 3.19 | 7.38 | 5.78 | 6.85 | 2.12 | 2.16 | 2.15 |
| Samples | λ [W/(m*K)] | μ | |||||
|---|---|---|---|---|---|---|---|
| 28 days | 90 days | 365 days | |||||
| 10 oC | 20 oC | 10 oC | 20 oC | 10 oC | 20 oC | ||
| C’R | 1.2597 | 1.3008 | 1.2050 | 1.2586 | 1.1101 | 1.0723 | 57 |
| C’pn | 0.8093 | 0.8302 | 0.8032 | 0.8474 | 0.7440 | 0.7210 | 44 |
| C’fs | 0.9251 | 0.9426 | 0.9164 | 0.9158 | 0.9421 | 0.9635 | 51 |
Disclaimer/Publisher’s Note: The statements, opinions and data contained in all publications are solely those of the individual author(s) and contributor(s) and not of MDPI and/or the editor(s). MDPI and/or the editor(s) disclaim responsibility for any injury to people or property resulting from any ideas, methods, instructions or products referred to in the content. |
© 2023 by the authors. Licensee MDPI, Basel, Switzerland. This article is an open access article distributed under the terms and conditions of the Creative Commons Attribution (CC BY) license (http://creativecommons.org/licenses/by/4.0/).