Submitted:
06 May 2025
Posted:
07 May 2025
You are already at the latest version
Abstract

Keywords:
1. Introduction
2. Materials and Methods
2.1. Materials
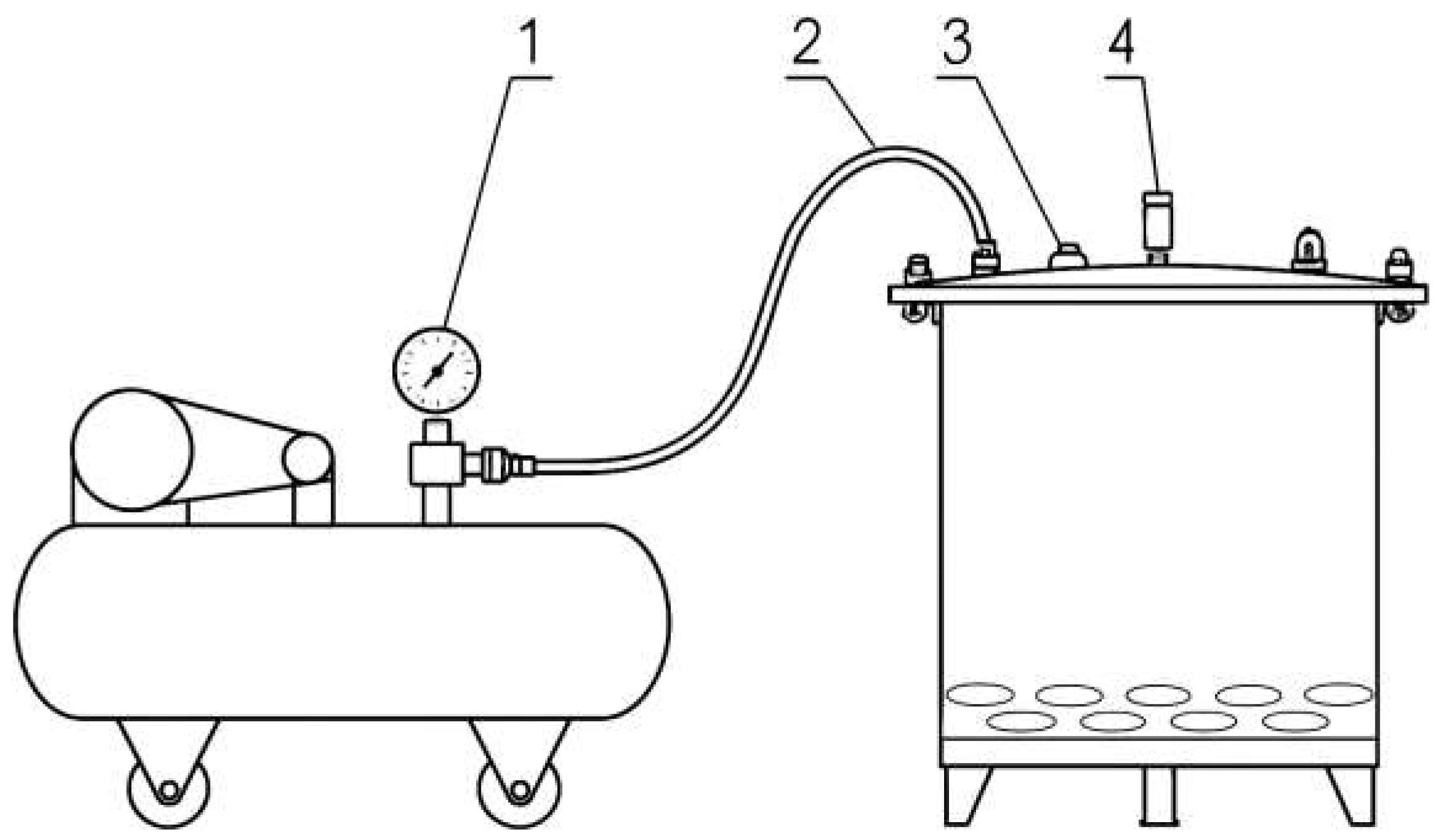
2.2. Hydrostatic Osmotic Pretreatment
2.3. Development of Rotary Tray Dryer
2.3. Drying Parameter
2.3.1. Moisture Content
2.3.2. Determination of Water Loss and Solid Gain
2.4. Optical Properties
2.5. Determination of Vitamin C, Carotenoids, Total Phenolic Content, and Antioxidant Capacity
2.6. Economic
2.7. Statistical Analysis
3. Results
3.1. Efficacy of Hydrostatic Osmotic Pretreatment

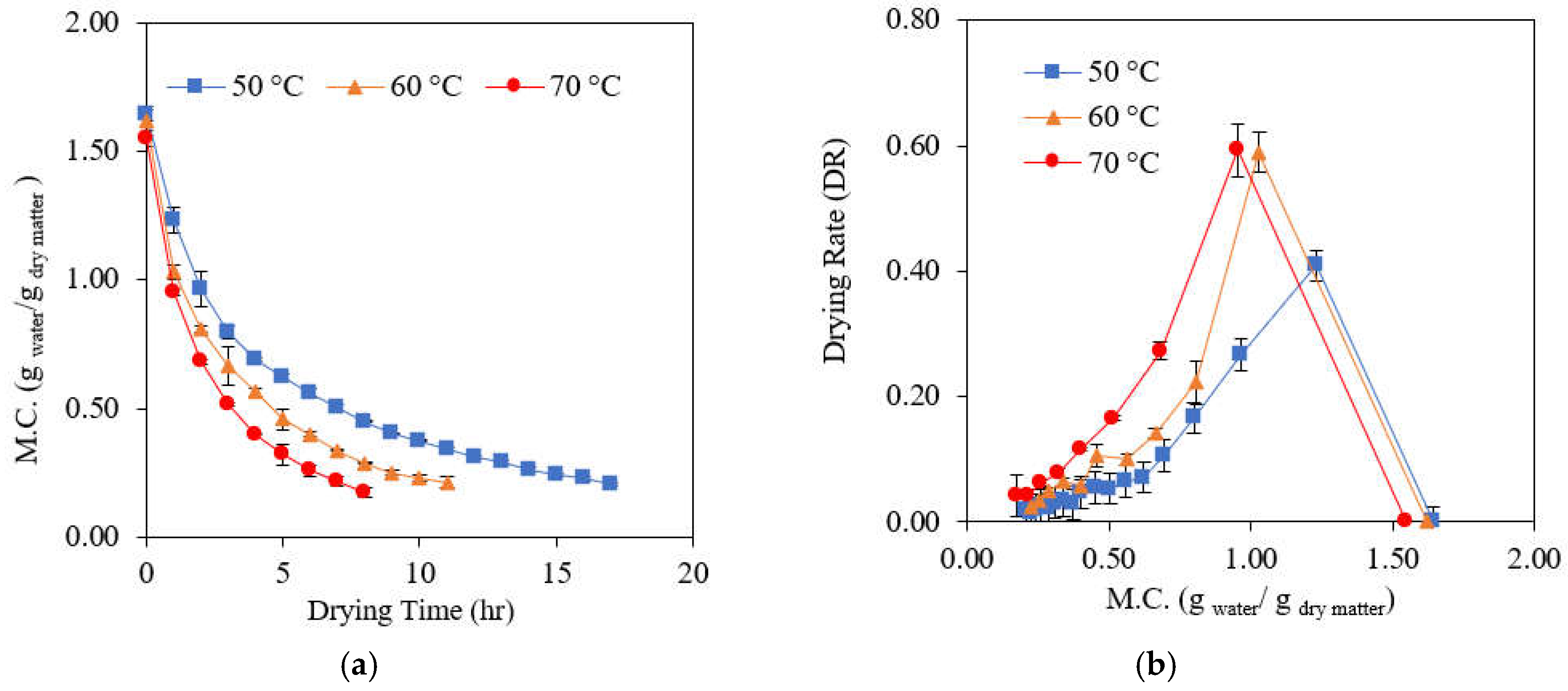
3.2. Characteristics of Drying Process
3.3. Temperature Affects Changes in Optical Properties
3.4. Physicochemical Properties of Cape Gooseberry as Affected by Drying Temperature
3.4.1 Impact of Mild Hydrostatic Osmotic Pretreatment
3.4.2. Impact of Drying Temperature



3.5. Analysis of Drying Costs
| Cost Category | Value | Estimated Unit Cost (USD) |
|---|---|---|
| Raw Materials | ||
| Grade-out cape gooseberry (1,500 kg) | 0.33 USD/kg | 495 |
| Osmotic solution | ||
| Sucrose (150 kg) | 1 USD/kg | 150 |
| Citric Acid (0.5 kg) | 10 USD/kg | 5 |
| Glycerin (30 kg) | 2 USD/kg | 60 |
| CaCl2 (0.5 kg) | 10 USD/kg | 5 |
| Potassium Metabisulfite (0.5 kg) | 15 USD/kg | 5 |
| Soft Water (1200 L) | 0.05 USD/L | 60 |
| Pretreatment Process | ||
| Heat energy (LPG = 15 kg ) | 15 USD | 15 |
| Electricity for air compressor (80 kW-hr) | 0.25 USD/ kW-hr | 20 |
| Equipment depreciation | ||
| Drying Process | ||
| Electricity for rotary tray dryer (Total = 350 kW-hr) |
0.25 USD/ kW-hr | 87.5 |
| Heat energy (LPG = 96 kg) | 80 USD | 80 |
| Maintenance & Cleaning (20 time) | 3 USD/times | 60 |
| Equipment depreciation (0.1% per times) | 7.35 USD | 148 |
| Labor Costs | ||
| Labor for pretreatment (20 time x2 person x 2 hr) |
1 USD/hr | 80 |
| Labor for drying & Packaging (20 time x3 person x 4 hr) |
1 USD/hr | 240 |
| Total Cost Components of Processing | 1,510.5 |
4. Discussion
5. Conclusions
6. Patents
Author Contributions
Funding
Data Availability Statement
Acknowledgments
Conflicts of Interest
References
- Muñoz, P.; Parra, F.; Simirgiotis, M.J.; Sepúlveda Chavera, G.F.; Parra, C. Chemical Characterization, Nutritional and Bioactive Properties of Physalis peruviana Fruit from High Areas of the Atacama Desert. Foods 2021, 10, 2699. [Google Scholar] [CrossRef]
- Monroy-Velandia, D.; Coy-Barrera, E. Effect of Salt Stress on Growth and Metabolite Profiles of Cape Gooseberry (Physalis peruviana L.) along Three Growth Stages. Molecules 2021, 26, 2756. [Google Scholar] [CrossRef]
- Gómez Racines, L.; Buitrago Vera, J.M. Export of Organic Cape Gooseberry (Physalis peruviana) as an Alternative Illicit Crop Substitution: Survey of Consumers in Namur, Belgium. Sustainability 2023, 15, 16604. [Google Scholar] [CrossRef]
- Bhaktikul, K.; Aroonsrimorakot, S.; Laiphrakpam, M. Sustainable Low-Carbon Community Development: A Study Based on a Royal Project for Highland Community Development in Thailand. J. Community Dev. Res. (Humanit. Soc. Sci.) 2021, 14, 14–28. [Google Scholar] [CrossRef]
- Nosten, M. Rotational Farming by the Karen People and Its Role in Livelihood Adaptive Capacity and Biocultural Conservation: A Case Study of Upland Community Forestry in Thailand. Ph.D. Thesis, University of British Columbia, Vancouver, BC, Canada, 2024. [Google Scholar] [CrossRef]
- Assawarachan, R. Rotary Tray Hot-Air Dryer with Two-Stage Temperature Control System. Thai Petty Patent 18896, 2020.
- Ahmed, M.; Hasan, M.; Islam, M.N. Effect of osmotic dehydration pretreatment on drying kinetics and quality characteristics of fruits and vegetables: A review. Journal of Food Processing and Preservation 2021, 45, e15434. [Google Scholar] [CrossRef]
- Chandra, S.; Kumar, S.; Bera, M.B. Effect of pretreatments and drying methods on quality attributes of osmo-dried papaya cubes. Journal of Food Science and Technology 2019, 56, 1520–1528. [Google Scholar] [CrossRef]
- Kroehnke, J.; Szadzińska, J.; Radziejewska-Kubzdela, E.; Biegańska-Marecik, R.; Musielak, G.; Mierzwa, D. Osmotic Dehydration and Convective Drying of Kiwifruit (Actinidia deliciosa)—The Influence of Ultrasound on Process Kinetics and Product Quality. Ultrason. Sonochem. 2021, 71, 105377. [Google Scholar] [CrossRef]
- Ahamad, S.; Sagar, V.R.; Asrey, R.; Islam, S.; Tomar, B.S.; Vinod, B.R.; Kumar, A. Nutritional Retention and Browning Minimisation in Dehydrated Onion Slices through Potassium Metabisulphite and Sodium Chloride Pre-Treatments. Int. J. Food Sci. Technol. 2024, 59, 5794–5805. [Google Scholar] [CrossRef]
- Luechai, N.; Khamsuk, T.; Aramkhiphai, S.; Keadsak, P.; Lungjitang, N. Effect of Temperature on Quality Change of Drying Cape Gooseberry (Physalis peruviana Linn.). Bachelor's Project, Smart Farm Engineering and Agricultural Innovation Program, College of Renewable Energy, Maejo University, Chiang Mai, Thailand, 2025; p. 66.
- Bhat, T.A.; Rather, A.H.; Hussain, S.Z.; Naseer, B.; Qadri, T.; Nazir, N. Efficacy of Ascorbic Acid, Citric Acid, Ethylenediaminetetraacetic Acid, and 4-Hexylresorcinol as Inhibitors of Enzymatic Browning in Osmo-Dehydrated Fresh Cut Kiwis. J. Food Meas. Charact. 2021, 15, 4354–4370. [Google Scholar] [CrossRef]
- AOAC International. Official Method 920.151: Solids (Total) in Fruits and Fruit Products. In Official Methods of Analysis of AOAC International, 21st ed.; AOAC International: Gaithersburg, MD, USA, 2019. [Google Scholar]
- Torreggiani, D.; Bertolo, G. Osmotic Pre-Treatments in Fruit Processing: Chemical, Physical and Structural Effects. J. Food Eng. 2001, 49, 247–253. [Google Scholar] [CrossRef]
- AOAC International. Official Method 967.21: Ascorbic Acid in Vitamin Preparations and Juices. In Official Methods of Analysis of AOAC International, 21st ed.; AOAC International: Gaithersburg, MD, USA, 2023. [Google Scholar]
- Osorio-Arias, J.; Delgado-Arias, S.; Cano, L.; Zapata, S.; Quintero, M.; Nuñez, H.; Ramírez, C.; Simpson, R.; Vega-Castro, O. Sustainable Management and Valorization of Spent Coffee Grounds through the Optimization of Thin Layer Hot Air-Drying Process. Waste Biomass Valorization 2019, 11, 5015–5026. [Google Scholar] [CrossRef]
- Ignat, I.; Volf, I.; Popa, V.I. A Critical Review of Methods for Characterisation of Polyphenolic Compounds in Fruits and Vegetables. Food Chem. 2011, 126, 1821–1835. [Google Scholar] [CrossRef]
- Santana, P.A.; de Carvalho Lopes, D.; Neto, A.J.S. Economic Analysis of Low-Temperature Grain Drying. Emirates Journal of Food and Agriculture 2019, 31, 930–936. [Google Scholar] [CrossRef]
- Pise, V.H. (2024). Techno-Economic Evaluation for Cost-Effective Drying of Different Fruit Products. In Dried Fruit Products (pp. 206–233). CRC Press.
- Goula, A.M.; Adamopoulos, K.G.; Chatzitakis, P.C.; Nikas, V.A. Prediction of lycopene degradation during a drying process of tomato pulp. J. Food Eng. 2006, 74, 37–46. [Google Scholar] [CrossRef]
- Garcia-Noguera, J.; Oliveira, F.I.P.; Gallão, M.I.; Weller, C.L.; Rodrigues, S.; Fernandes, F.A.N. Ultrasound-Assisted Osmotic Dehydration of Strawberries: Effect of Pretreatment Time and Ultrasonic Frequency. Dry. Technol. 2010, 28, 294–303. [Google Scholar] [CrossRef]
- Shi, J.; Le Maguer, M. Osmotic Dehydration of Foods: Mass Transfer and Modeling Aspects. Food Rev. Int. 2002, 18, 305–335. [Google Scholar] [CrossRef]
- Nowacka, M.; Tylewicz, U.; Laghi, L.; Dalla Rosa, M.; Witrowa-Rajchert, D. Effect of Ultrasound Treatment on the Water State in Kiwifruit during Osmotic Dehydration. Food Chem. 2014, 144, 18–25. [Google Scholar] [CrossRef]
- Yulni, T.; Agusta, W.; Jayanegara, A.; Alfa, M.N.; Hartono, L.K.; Mariastuty, T.E.P.; Lintang, M.M.J. Unveiling the Influence of Osmotic Pretreatment on Dried Fruit Characteristics: A Meta-Analysis Approach. Prev. Nutr. Food Sci. 2024, 29, 178–189. [Google Scholar] [CrossRef]
- Nudar, J.; Roy, M.; Ahmed, S. Combined osmotic pretreatment and hot air drying: Evaluation of drying kinetics and quality parameters of adajamir (Citrus assamensis). Heliyon 2023, 9, e19545. [Google Scholar] [CrossRef]
- Boateng, I.D. Thermal and Nonthermal Assisted Drying of Fruits and Vegetables: Underlying Principles and Role in Physicochemical Properties and Product Quality. Food Eng. Rev. 2023, 15, 113–155. [Google Scholar] [CrossRef]
- Araújo, A.L.D.; Pena, R.D.S. Combined Pulsed Vacuum Osmotic Dehydration and Convective Air-Drying Process of Jambolan Fruits. Foods 2023, 12, 1785. [Google Scholar] [CrossRef]
- Jin, W.; Zhang, M.; Sun, Q.; Mujumdar, A.S.; Yu, D. Effects of Ultrasonic-Assisted Osmotic Pretreatment on Convective Air-Drying Assisted Radio Frequency Drying of Apple Slices. Dry. Technol. 2025, 43, 467–482. [Google Scholar] [CrossRef]
- Osae, R.; Adjonu, R.; Apaliya, M.T.; Engmann, F.N.; Owusu-Ansah, P.; Fauzia, A.S.; Alolga, R.N. Freeze-Thawing and Osmotic Dehydration Pretreatments on Physicochemical Properties and Quality of Orange-Fleshed Sweet Potato Slice during Hot Air Drying. Food Chem. Adv. 2024, 5, 100843. [Google Scholar] [CrossRef]
- Torres, J.A., Abdel-Kader, A.Y., & Karel, M. (2006). Osmotic dehydration of fruits: Mass transfer and quality. In Handbook of Food Preservation (2nd ed., pp. 447–469). CRC Press.
- Mayor, L.; Sereno, A.M. Modelling Shrinkage during Convective Drying of Food Materials: A Review. J. Food Eng. 2004, 61, 373–386. [Google Scholar] [CrossRef]
- Norouzi, S.; Orsat, V.; Yeasmen, N.; Dumont, M.J. Osmotic Dehydration of Waxy Skinned Berries—A Review. Drying Technology 2024, 42, 1270–1294. [Google Scholar] [CrossRef]
- Leelapattana, W.; Assawarachan, R. Enhancing technology transfer and innovation for processing of dried yellow chrysanthemum (Chrysanthemum indicum) flowers: A case study of the Mae Wang Lao Community Enterprise Group, Chiang Rai Province. J. Food Process. Preserv. 2025, 3541701. [Google Scholar] [CrossRef]
- Huerta-Vera, K.; Flores-Andrade, E.; Contreras-Oliva, A.; Villegas-Monter, Á.; Chavez-Franco, S.; Arévalo-Galarza, M. Incorporation of Bioactive Compounds in Fruit and Vegetable Products through Osmotic Dehydration: A Review. Rev. Mex. Cienc. Agríc. 2023, 14, 8. [Google Scholar] [CrossRef]
- Valente, A.; Albuquerque, T.G.; Sanches-Silva, A.; Costa, H.S. Ascorbic Acid Content in Exotic Fruits: A Contribution to Produce Quality Data for Food Composition Databases. Food Res. Int. 2011, 44, 2237–2242. [Google Scholar] [CrossRef]
- Avendaño, W.A.; Muñoz, H.F.; Leal, L.J.; Deaquiz, Y.A.; Castellanos, D.A. Physicochemical characterization of cape gooseberry (Physalis peruviana L.) fruits ecotype Colombia during preharvest development and growth. J. Food Sci. 2022, 87, 2583–2598. [Google Scholar] [CrossRef]
- Mousa, E.A.; Ali, M.I.K.; Hassan, N.A.; Elbassiony, K.R. Effect of Osmo-Dehydration and Gamma Irradiation on Nutritional Characteristics of Dried Fruit. Egypt. J. Food Sci. 2024, 52, 1. [Google Scholar] [CrossRef]
- Haneef, N.; Hanif, N.; Hanif, T.; Raghavan, V.; Garièpy, Y.; Wang, J. Food fortification potential of osmotic dehydration and the impact of osmo-combined techniques on bioactive component saturation in fruits and vegetables. Braz. J. Food Technol. 2024, 27, e2023028. [Google Scholar] [CrossRef]
- Ladika, G.; Tsiaka, T.; Stavropoulou, N.A.; Strati, I.F.; Sinanoglou, V.J. Enhancing the Nutritional Value and Preservation Quality of Strawberries through an Optimized Osmotic Dehydration Process. Appl. Sci. 2024, 14, 9211. [Google Scholar] [CrossRef]
- Li, T.; Shen, P.; Liu, W.; Liu, C.; Liang, R.; Yan, N.; Chen, J. Major Polyphenolics in Pineapple Peels and Their Antioxidant Interactions. Int. J. Biol. Macromol. 2018, 121, 238–247. [Google Scholar] [CrossRef]
- Agudelo-Sánchez, S.; Mosquera-Palacios, Y.; David-Úsuga, D.; Cartagena-Montoya, S.; Duarte-Correa, Y. Effect of processing methods on the postharvest quality of cape gooseberry (Physalis peruviana L.). Horticulturae 2023, 9, 1158. [Google Scholar] [CrossRef]
- Gallon Bedoya, M.; Cortes Rodriguez, M.; Gil, J.H. Physicochemical stability of colloidal systems using the cape gooseberry, strawberry, and blackberry for spray drying. J. Food Process. Preserv. 2020, 44, e14705. [Google Scholar] [CrossRef]
- Rinaldi, B.J.D.; Montanher, P.F.; Johann, G. Brewing of craft beer enriched with freeze-dried cape gooseberry: a promising source of antioxidants. Braz. J. Food Technol. 2022, 25, e2022019. [Google Scholar] [CrossRef]
- Pretty, J. Agricultural sustainability: Concepts, principles and evidence. Philos. Trans. R. Soc. B Biol. Sci. 2008, 363, 447–465. [Google Scholar] [CrossRef]







| Optical properties in CIE-L*a*b* | L*-value | a*-value | b*-value | ΔE |
|---|---|---|---|---|
| Grade-out cape gooseberry fresh fruit |
43.52±2.71A | 13.14±1.55A | 34.43±3.82A | |
| Grade-out cape gooseberry after a 12-hour hydrostatic osmotic pretreatment |
39.59±1.08A | 12.28±1.22A | 32.61±1.49 A | 4.86±1.52 A,a |
| Fresh cape gooseberry (without pretreatment) | ||||
| 50 °C | 18.23±0.64 B,g | 28.87±1.42 B,f | 14.11±1.35 B,e | 36.09±0.37 B,f |
| 60 °C | 22.11±2.09 B,f | 21.93±4.89 B,g | 15.33±2.26 B,e | 30.39±1.08 B,e |
| 70 °C | 9.65±0.82 B,e | 31.97±1.69 B,f | 12.93±1.47 B,e | 44.34±1.46 B,g |
| Hydrostatically osmotic pretreatment | ||||
| 50 °C | 23.43±2.87A,b | 16.97±1.68 A,ab | 20.61±3.22 A,b | 24.72±2.93 A,c |
| 60 °C | 36.29±1.47 A,a | 13.37±0.59 A,a | 24.18±4.29 A,b | 13.54±1.81 A,b |
| 70 °C | 16.82±4.62 A,b | 21.13±2.14 A,c | 20.25±0.91 A,b | 31.41±3.74 A,d |
| Physicochemical Properties | Fresh cape gooseberry Fruit | Mild Hydrostatic Osmotic |
| Vitamin C (mg/100 g fresh weight) |
26.93 ± 2.41A | 34.92 ± 1.48B |
| TPC (mg GAE/100 g FW) | 49.97 ± 1.38A | 50.43 ± 2.95A |
| ABTS (µmol TE/g FW) | 24.73 ± 2.11A | 22.21 ± 1.93A |
| DPPH (µmol TE/g FW) | 23.81 ± 1.35A | 21.27 ± 0.42A |
Disclaimer/Publisher’s Note: The statements, opinions and data contained in all publications are solely those of the individual author(s) and contributor(s) and not of MDPI and/or the editor(s). MDPI and/or the editor(s) disclaim responsibility for any injury to people or property resulting from any ideas, methods, instructions or products referred to in the content. |
© 2025 by the authors. Licensee MDPI, Basel, Switzerland. This article is an open access article distributed under the terms and conditions of the Creative Commons Attribution (CC BY) license (http://creativecommons.org/licenses/by/4.0/).