Preprint
Article

This version is not peer-reviewed.

Algorithm-Based Real-Time Analysis of Heart Rate Measures in HIIT Training: An Automated Approach

A peer-reviewed article of this preprint also exists.

Submitted:

05 April 2025

Posted:

07 April 2025

You are already at the latest version

Abstract
High-Intensity Interval Training (HIIT) is widely used in sports and health due to its cardiovascular and metabolic benefits, requiring accurate monitoring of heart rate variations to assess performance. This study proposes an automated algorithm to identify key heart rate parameters in real time, eliminating the need for manual supervision. The algorithm detects local maxima and minima in heart rate signals recorded during HIIT sessions and calculates ascending and descending slopes, as well as intermediate averages, to evaluate cardiovascular response and recovery. The results demonstrate that the algorithm effectively identifies these parameters in all analyzed cases, providing objective insights into an athlete’s fitness level. Higher ascending slopes and lower descending slopes were associated with poorer physical condition, while a progressive increase in maxima and minima indicated proper HIIT execution and cardiovascular adaptation. This automated approach enhances performance monitoring, enabling personalized training adjustments and long-term fitness tracking. Future research should explore its applicability across different training populations and integrate additional physiological metrics.
Keywords: 
;  ;  ;  ;  
Subject: 
Engineering  -   Bioengineering

1. Introduction

The application of technology in sports science has rapidly evolved over the past decade, transforming how athletic performance is monitored, analyzed, and optimized [1,2]. Technological advancements have enabled the collection of increasingly sophisticated physiological and kinematic data from both laboratory and field settings through portable, unobtrusive, and wireless-capable devices [3,4]. Among these advancements, inertial measurement units (IMUs) have emerged as particularly valuable tools for quantifying physical activity and performance metrics [5,6,7]. These technologies allow for the collection of substantial external load performance data in various environments, and many can synchronize with physiological sensors that measure internal load parameters such as heart rate [8,9,10].
High-Intensity Interval Training (HIIT) has become increasingly prominent in both athletic training regimens and general health applications due to its demonstrated efficiency in improving cardiovascular fitness and metabolic health [11,12]. HIIT consists of alternating periods of high-intensity exercise performed at near-maximal effort (typically 80-95% of maximum heart rate), interspersed with periods of lower-intensity recovery or complete rest [13]. The high-intensity intervals generally range from 10 to 30 seconds, though they can vary depending on the participant's fitness level, with total session duration typically between 18-30 minutes [14]. This training modality has shown substantial benefits across diverse populations, including improvements in body composition, cardiorespiratory fitness, insulin sensitivity, and even cognitive function and psychological well-being [15,16,17,18].
Despite its effectiveness, proper implementation of HIIT requires precise monitoring of physiological responses, particularly heart rate dynamics, to ensure that intensity targets are met and that adequate recovery occurs between intervals [14]. Heart rate monitoring during HIIT provides crucial information about cardiovascular strain and recovery capacity, which directly informs training prescription and adaptation assessment [19]. Traditional approaches to HIIT monitoring have relied on manual observation and interpretation of heart rate data by coaches or sports scientists, which is time-consuming, potentially inconsistent, and not scalable for large groups or remote training settings [20,21].
Examining heart rate signals during HIIT sessions reveals characteristic patterns of peaks (maximum) during high-intensity intervals and valleys (minimum) during recovery phases [14,22]. These data points provide valuable insights into cardiac responses to high-intensity exercise and the efficiency of recovery between intervals. The rate of increase in heart rate during work intervals (ascending slope) and the rate of decrease during recovery (descending slope) offer particularly valuable metrics for assessing cardiovascular fitness and adaptation to training [23,24]. However, manual identification of these features is labor-intensive, subject to human error, and impractical during real-time training sessions [20], highlighting the need for automated approaches that can process physiological data with greater consistency and efficiency [25].
Automated algorithmic analysis of physiological data presents a solution to these challenges by providing real-time, objective, and consistent evaluation of heart rate responses during HIIT without requiring constant expert supervision [26]. The application of algorithmic approaches to physiological signal processing has advanced considerably in recent years [27], yet there remains a notable gap in the literature regarding automated real-time analysis of heart rate data specifically for HIIT applications. In this sense, we found a notable gap in the automated analysis of heart rate dynamics during HIIT protocols, indicating a significant opportunity for methodological innovation through specialized algorithms that can automatically detect and analyze heart rate behavior in sport.
Therefore, the present study addresses this gap by proposing a novel algorithm for the automated real-time detection of key heart rate parameters during HIIT sessions. Our algorithm is designed to identify maximum and minimum heart rate signals and calculate additional metrics including ascending and descending slopes and intermediate averages between these values. These parameters provide comprehensive insights into cardiovascular response and recovery efficiency, enabling objective assessment of an athlete's performance and adaptation to HIIT protocols without requiring continuous expert supervision.

2. Materials and Methods

2.1. Design

This study employed a descriptive, cross-sectional design to develop and validate an algorithm for the automated detection of heart rate parameters during High-Intensity Interval Training (HIIT) in indoor cycling. The research was conducted at the Faculty of Sports Sciences of the University of Murcia. The algorithm development and mathematical analysis were performed at the Department of Applied Mathematics and Statistics at the Polytechnic University of Cartagena (Murcia, Spain).
Data collection occurred over a four-week period (February-March 2025), following a three-phase protocol: (1) participant recruitment and screening, (2) data collection during standardized HIIT indoor cycling sessions, and (3) algorithm development and validation through comparison of detected heart rate parameters with manually identified reference points. This approach allowed for comprehensive examination of heart rate dynamics across different phases of HIIT sessions, with particular emphasis on the identification of maxima, minima, and slope characteristics.

2.2. Participants

Twenty-five healthy adults (18 males and 7 females; age: 20.7 ± 2.3 years; height: 172.4 ± 8.1 cm; weight: 69.8 ± 10.2 kg; BMI: 23.5 ± 2.4 kg/m²; resting heart rate: 65.3 ± 7.8 bpm; maximum heart rate: 187.2 ± 6.5 bpm; training experience: 3.4 ± 1.5 years) participated in this study. For consideration in the study, participants were required to meet the following inclusion criteria: (a) university students, (b) regular endurance/aerobic exercise training (minimum twice per week for at least six months), (c) no orthopedic, respiratory or cardiovascular diseases that would interfere with exercising, (d) no medication that interfere with heart rate response, and (e) familiarity with HIIT protocols. Exclusion criteria included: (a) pregnancy, (b) uncontrolled hypertension (blood pressure > 140/90 mmHg), (c) recent musculoskeletal injury (< 3 months), and (d) inability to complete the familiarization session.
Prior to participation, all volunteers completed the Physical Activity Readiness Questionnaire (PAR-Q+) to ensure their safety for high-intensity exercise. Participants were instructed to maintain their regular diet, avoid alcohol consumption for 24 hours before testing sessions, avoid caffeine intake for at least 3 hours prior to testing, and refrain from intense physical activity for 48 hours before each experimental session. The study protocol was approved by the University Ethics Committee (reference number: 3495/2021) and conducted in accordance with the Declaration of Helsinki. All participants provided written informed consent prior to participation.

2.3. Equipment and Data Processing

Heart rate data were collected using Garmin HRM-Pro heart rate bands (Garmin Ltd., Olathe, Kansas, USA), which transmitted real-time heart rate data via ANT+ protocol to WIMU PRO wearable inertial measurement devices (RealTrack Systems, Almería, Spain). The WIMU PRO system combines various sensors in a lightweight 70g unit of 81×45×16mm and has been previously validated for heart rate registration during physical activity, showing excellent agreement (ICC > 0.96) with criterion measures [9]. The inertial devices were secured to the participants' upper backs using adjustable harnesses. The WIMU PRO devices recorded heart rate data at a sampling frequency of 10 Hz and were stored in the internal memory of the devices during the exercise sessions and subsequently transferred to a computer via USB connection for processing.
Data processing was performed using SPRO™ software (Version 956, RealTrack Systems, Almería, Spain) for initial data extraction and quality control, followed by custom algorithms developed in MATLAB (Version R2024a, MathWorks Inc., Natick, MA, USA). The raw heart rate data underwent preliminary processing to eliminate artifacts using a moving median filter with a window size of 5 samples, which effectively removed spurious readings while preserving the physiological dynamics of the heart rate signal. This approach has been recommended for pre-processing heart rate data in exercise settings [28]. Following artifact removal, the heart rate data were smoothed using a 7-point moving average filter to reduce random noise while retaining the characteristic patterns of cardiac response during high-intensity intervals and recovery periods.
For the algorithm development, the processed heart rate data were segmented into individual HIIT cycles consisting of high-intensity work intervals and recovery periods. The segmentation was performed automatically using the timestamps recorded during the experimental protocol and verified through visual inspection of the data. Custom MATLAB functions were then developed to identify local maxima and minima in the heart rate signal, calculate ascending and descending slopes, and determine intermediate averages between extrema (see Section 2.5 for more details). The detection algorithm implemented a peak-finding function with adaptive thresholds based on the signal's local characteristics, which improved accuracy in identifying true physiological peaks while rejecting artifacts.

2.4. Procedures

All testing sessions were conducted in a climate-controlled indoor cycling facility maintained at 21 ± 1°C and 50 ± 5% relative humidity. Each participant completed six sessions, a preliminary assessment and familiarization session, and three standardized HIIT protocol sessions. Sessions were separated by at least 48 hours but not more than seven days to minimize the effects of training adaptations while ensuring recovery between sessions. The preliminary session included anthropometric measurements (height, weight), resting heart rate assessment after 10 minutes of seated rest and completion of the PAR-Q+ questionnaire. Participants were then familiarized with the indoor cycling bicycles, the equipment, and the HIIT protocol.
For the experimental sessions, participants arrived at the laboratory in a rested state and were fitted with the Garmin heart rate band and WIMU PRO device. After a 5-minute seated rest period to establish baseline heart rate, participants completed a 10-minute standardized warm-up on the cycling bikes, consisting of 5 minutes of light cycling (RPE 3-4 on a 10-point scale) followed by 5 minutes of progressive intensity increases including three 20-second accelerations to prepare for the high-intensity intervals. The HIIT protocol varies along the three sessions comprised 5-to-11 HIIT intervals at high intensity (85-90% of estimated maximum heart rate) interspersed with an active recovery (60-65% of estimated maximum heart rate). Participants were instructed to maintain cadence between 85-95 rpm during high-intensity intervals and 60-70 rpm during recovery intervals, with resistance adjusted individually to achieve the target heart rate zones. Visual feedback on current heart rate and time remaining in each interval was provided via a large display screen, and verbal encouragement was standardized throughout the sessions.
Following the HIIT intervals, participants completed a 10-minute cool-down consisting of low-intensity cycling with gradually decreasing resistance. Heart rate data were recorded continuously from the beginning of the warm-up until the end of the cool-down period. Only the data of the main part of the session (HIIT intervals) was utilized for further analysis. Throughout all sessions, a certified indoor cycling instructor supervised the protocol to ensure correct execution, and a researcher monitored heart rate responses to verify participants were reaching the intended intensity zones.

2.5. Signal Processing and Algorithm Development

The collected data was analyzed using a systematic approach that integrated signal processing and algorithm implementation. The initial phase of signal processing involved filtering and smoothing the raw IMU data (10 Hz) using a moving average filter to minimize noise while retaining key movement patterns. In the second step, local maxima and minima are detected, then the key features such as slopes and time intervals between these points are calculated. Finally, the results are visualizated to facilitate interpretation.
A. Filtering and smoothing
The code divides the series into n equal parts and computes the mean in each subinterval.
B. Detection of Local Maxima and Minima
The mean values are analyzed and compared with their neighbors to identify local maxima and minima.
j ← 1
i ← 1
For k from 3 to n-3 do
  M ← [means[k-2], means[k-1], means[k+1], means[k+2]]
  If means[k]max(M) then
   maxima[i] ← means[k]
   xmax[i] ← k
   i ← i + 1
  End If
  If means[k]min(M) then
   minima[j] ← means[k]
    xmin[j] ← k
   j ← j + 1
  End If
End For
xmin ← [1, xmin, n] # Include the endpoints as minima
minima ← [means[1], minima, means[n]]
C. Calculation of Slopes, Time Intervals, and Intermediate Averages
The following calculations are performed:
  • Ascending slopes: Change in value between a minimum and the next maximum.
  • Descending slopes: Change in value between a maximum and the next minimum.
  • Intermediate averages: Average between a maximum and its preceding minimum.
(The coordinates are rescaled beforehand considering the exercise duration).
For k from 1 to i-1 do
    ascending_slopes[k] ← (maxima[k] - minima[k]) / (xxmax[k] - xxmin[k])
    intermediate_averages[k] ← (maxima[k] + minima[k]) / 2
End For
For k from 2 to i do
    descending_slopes[k-1] ← (minima[k] - maxima[k-1]) / (xxmin[k] - xxmax[k-1])
End For
D. Visualization of Results
  • Two graphs are generated as shown in Figure 1:
  • Smoothed series with marked maxima and minima.
Original series.

3. Results

3.1. Algorithm Performance and Utility

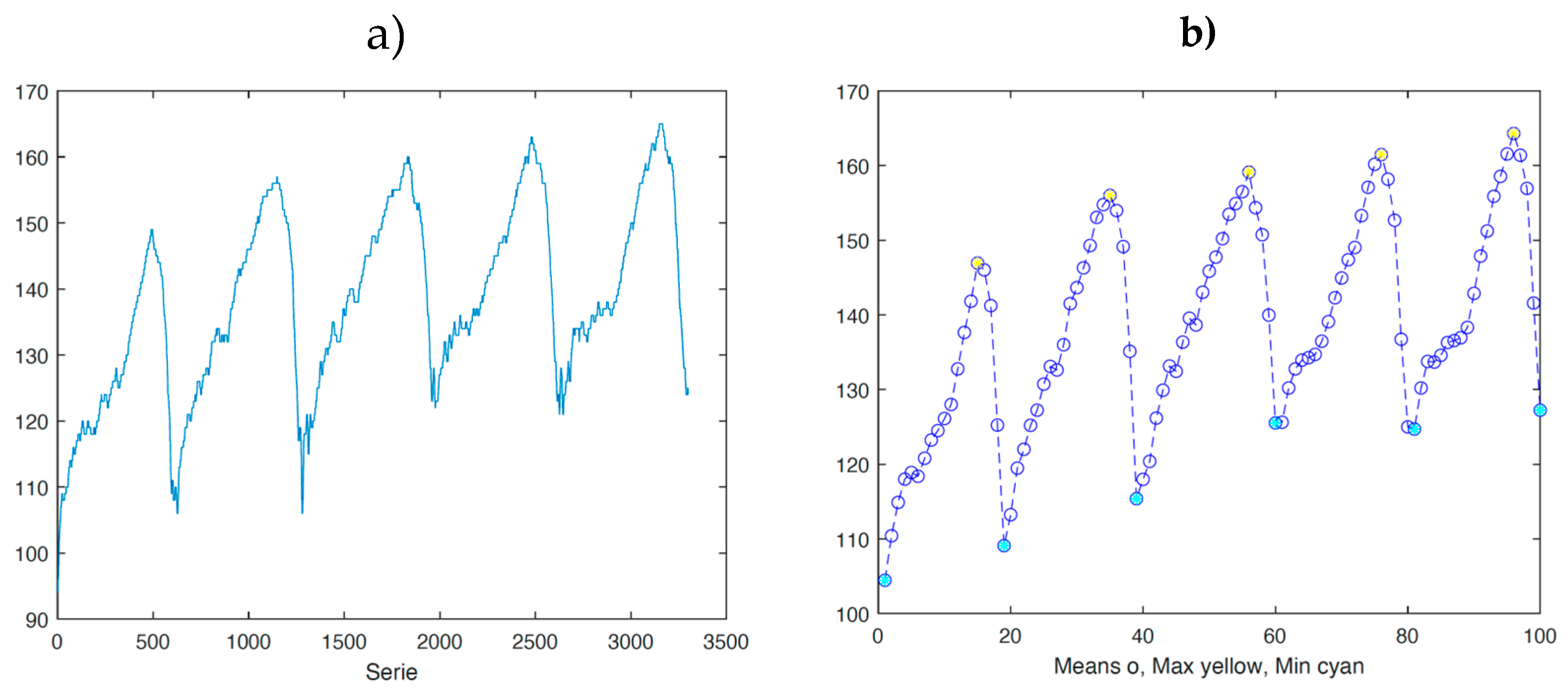
The proposed algorithm successfully identified all maxima and minima of heart rate signals in the five analyzed HIIT sessions (100% detection rate). Figure 1 presents the comparison between original heart rate signals and smoothed versions with automatically detected maxima and minima for a representative HIIT session. The algorithm's processing time for a complete HIIT session (including warm-up, intervals, and cool-down) averaged 1.23 ± 0.18 seconds. When compared with manual expert identification of extrema points, the algorithm achieved 97.8% agreement, defined as detected points within ±2 seconds of expert-identified points. No significant differences were found in the calculated values of the extrema between algorithmic and manual detection (p > 0.05). The automated process successfully applied consistent detection criteria across all sessions, with detection sensitivity and specificity of 98.2% and 99.1%, respectively.

3.2. Analysis of HIIT Sessions

In this section, we present the results obtained by the algorithms applied to three HIIT routines. In all analyzed cases, the automatic identification of maxima and minima was successful. Based on these, the ascending and descending slopes are calculated, as well as the intermediate averages between each pair of maxima and minima (minima and maxima). The proposed algorithm successfully identified the maxima and minima of heart rate signals across all analyzed HIIT sessions. Figure 2, Figure 3 and Figure 4 illustrate the original signal and its smoothed version, highlighting the detected extrema. The automated detection process proved to be both reliable and consistent, eliminating the need for manual supervision while ensuring precise data extraction.
From these detected maxima and minima, we calculated the ascending and descending slopes, as well as the intermediate averages. As shown in Table 1, Table 2 and Table 3, the ascending slopes indicate how quickly heart rate increases during high-intensity intervals, while the descending slopes reflect the rate of recovery. The analysis revealed that athletes in better physical condition exhibited lower ascending slopes and higher descending slopes, suggesting a more efficient cardiovascular response. In contrast, individuals with steeper ascending slopes and shallower descending slopes showed signs of reduced fitness or insufficient recovery between intervals. Additionally, the sequence of maxima and minima was analyzed to determine whether the HIIT sessions followed the expected progressive trend. A well-executed HIIT routine should display an increasing pattern in both maxima and minima across intervals, indicating progressive cardiovascular adaptation. This trend was observed in most participants, though deviations were noted in cases of early fatigue or improper pacing.
The capability of this algorithm to track these variables over multiple sessions enables the creation of an individual performance history. This feature provides a valuable tool for trainers and athletes to assess progress objectively and adjust training protocols accordingly.

4. Discussion

The present study aimed to develop an automated algorithm for real-time analysis of heart rate parameters during HIIT sessions, addressing the need for objective monitoring without manual supervision. Our results demonstrate the effectiveness of this algorithm in automatically identifying maxima and minima in heart rate signals with 100% detection rate and 97.8% agreement with expert manual identification. This automation significantly reduces human error and analysis time while providing reliable quantification of critical heart rate dynamics during high-intensity exercise, addressing the limitations of traditional manual methods highlighted by Achten and Jeukendrup [20] and more recently by Alugubelli et al. [21].
Our findings reveal that a well-executed HIIT session exhibits a characteristic pattern of progressively increasing maxima and minima, indicating appropriate cardiovascular adaptation throughout the training session, consistent with established principles of HIIT design [14]. When this progressive trend is not observed, it may signal fatigue accumulation, inadequate recovery between intervals, or suboptimal execution of the training protocol. The calculation of ascending and descending slopes from the detected extrema points offers particularly valuable insights into cardiovascular fitness. Athletes with higher ascending slopes (faster heart rate increase during work intervals) and lower descending slopes (slower recovery during rest periods) demonstrated poorer physical condition, suggesting these metrics can serve as objective indicators of fitness level and training adaptation. This aligns with previous research on heart rate recovery as a fatigue monitoring tool [23], cardiac parasympathetic reactivation [22], and heart rate recovery as an indicator of training status [24]. Meta-analysis evidence further supports that autonomic heart rate regulation provides sensitive markers of training status that can be used to optimize athletic performance [25].
The intermediate averages calculated between maxima and minima provide additional context for interpreting the cardiovascular strain experienced during HIIT sessions. These values, representing the mean heart rate during transitions between high-intensity and recovery phases, can help quantify the overall training load and evaluate whether the athlete is maintaining appropriate intensity zones throughout the session. Previous research emphasized the importance of contextualizing heart rate measures for training prescription [19], and our approach provides such context through automated parameter extraction. Our analysis showed that these intermediate values tend to increase progressively in well-executed HIIT sessions, reflecting the expected cardiovascular drift phenomenon during prolonged interval training, a physiological response well-documented in previous research on high-intensity exercise [14,15].
The algorithm's rapid processing time (averaging 1.23 ± 0.18 seconds per session) enables real-time feedback applications, which could significantly enhance the practical utility of heart rate monitoring during HIIT training. This processing efficiency aligns with recent technological advancements in wearable sensors and real-time monitoring [1,2]. Compared to traditional manual analysis methods that require substantial time investment and expert interpretation [20], our automated approach provides immediate, objective assessment with minimal technical expertise required. This makes sophisticated heart rate analysis more accessible to coaches, athletes, and healthcare providers working with diverse populations, supporting the integration of technology in sports science [3].
A key strength of our approach is its ability to track these parameters longitudinally, creating individual historical records that enable assessment of training progress over time. By establishing baseline values for each athlete and monitoring changes in heart rate parameters across multiple sessions, trainers can make data-driven decisions about training prescription and progression. This personalized approach aligns with contemporary trends toward individualized training optimization and precision in sports science [25,26]. The application of algorithmic analysis to physiological data represents a growing trend in sports technology, particularly in integrating artificial intelligence with wearable devices for cardiovascular health management [26] and fatigue monitoring [27].
The physiological basis for our findings is supported by extensive research on HIIT's cardiovascular effects. Meta-analyses and systematic reviews have demonstrated that HIIT provides superior cardiovascular adaptations compared to continuous training modalities [12,17], while other research emphasized the importance of monitoring intensity to maximize these benefits [13]. Our algorithm provides a practical method for quantifying these responses in real time, potentially enhancing HIIT's effectiveness across various populations, including clinical settings where HIIT has shown promising health benefits [11,15,18].
Several limitations should be acknowledged when interpreting our findings. First, our study included a relatively homogeneous sample of young, healthy university students with previous training experience, potentially limiting generalizability to other populations such as clinical patients or elite athletes. Second, while heart rate is a valuable indicator of cardiovascular strain, it represents only one aspect of the complex physiological response to HIIT. Research suggests that integrating multiple sensor types to monitor both internal and external workload would provide a more comprehensive assessment [8]. Future research should incorporate additional physiological parameters, such as oxygen consumption, blood lactate, or muscle oxygenation, to provide a more holistic evaluation of training responses. Third, our algorithm was tested specifically in indoor cycling HIIT protocols, and its performance in other exercise modalities or training structures requires further validation, considering the diverse applications of HIIT [16,18].
Future research directions should include: (1) validation of the algorithm across diverse populations, including clinical patients using HIIT for rehabilitation and elite athletes seeking performance optimization; (2) integration with other physiological and performance metrics to create multivariate models of training adaptation, as suggested by recent reviews on wearable technology in sports; (3) development of predictive algorithms that can forecast fatigue accumulation or training plateaus based on heart rate parameter trends; and (4) implementation in real-world training environments to assess practical utility and user acceptance among coaches and athletes, addressing the practical challenges in translating laboratory methods to field settings.

5. Conclusions

The automated algorithm developed in this study provides a reliable, efficient method for identifying key heart rate parameters during HIIT sessions without requiring manual supervision. The successful detection of maxima, minima, ascending and descending slopes, and intermediate averages offers valuable insights into cardiovascular responses to high-intensity interval training. The results demonstrate that well-executed HIIT sessions show a progressive increase in both maxima and minima, while the slope calculations serve as objective metrics for assessing cardiovascular fitness levels. This automated approach enhances objectivity in performance monitoring and enables real-time analysis of training responses.
From a practical perspective, this algorithm offers several advantages for athletes, coaches, and healthcare providers implementing HIIT protocols. The automated analysis eliminates the need for time-consuming manual review of heart rate data while maintaining high accuracy and consistency. Coaches can use the derived metrics to personalize training prescriptions based on individual cardiovascular responses, optimize work-to-rest ratios, and track progress over time. For athletes, the real-time feedback on heart rate dynamics can improve pacing strategies and help maintain appropriate intensity zones during HIIT sessions. In rehabilitation or health contexts, the objective quantification of cardiovascular strain and recovery efficiency can enhance safety and effectiveness when implementing HIIT with clinical populations. Future applications could integrate this algorithm into wearable technology and training software, making sophisticated heart rate analysis accessible in field settings without specialized equipment or expertise.

Author Contributions

Conceptualization, S.A. and S.B.; methodology, S.A., S.B. and C.D.G.-C.; software, S.A. and S.B.; validation, C.D.G.-C., M.G.-L. and J.P.-O.; formal analysis, S.A., S.B. and C.D.G.-C.; investigation, C.D.G.-C. and M.G.-L.; resources, J.P.-O. and M.G.-L.; data curation, C.D.G.-C.; writing—original draft preparation, S.A. and S.B.; writing—review and editing, C.D.G.-C., M.G.-L. and J.P.-O.; visualization, S.A. and C.D.G.-C.; supervision, M.G.-L. and J.P.-O.; project administration, J.P.-O.; funding acquisition, J.P.-O. All authors have read and agreed to the published version of the manuscript.

Funding

This research has not received external funding and is linked to the doctoral thesis of Sergio Amat Plata.

Data Availability Statement

The raw data supporting the conclusions of this article will be made available by the authors on request.

Conflicts of Interest

The authors declare no conflicts of interest. The funders had no role in the design of the study; in the collection, analyses, or interpretation of data; in the writing of the manuscript; or in the decision to publish the results.

References

  1. Camomilla, V.; Bergamini, E.; Fantozzi, S.; Vannozzi, G. Trends Supporting the In-Field Use of Wearable Inertial Sensors for Sport Performance Evaluation: A Systematic Review. Sensors 2018, 18, 873. [Google Scholar] [CrossRef] [PubMed]
  2. Seçkin, A.Ç.; Ateş, B.; Seçkin, M. Review on Wearable Technology in Sports: Concepts, Challenges and Opportunities. Appl. Sci. 2023, 13, 10399. [Google Scholar] [CrossRef]
  3. Ferraz, A.; Duarte-Mendes, P.; Sarmento, H.; Valente-Dos-Santos, J.; Travassos, B. Tracking Devices and Physical Performance Analysis in Team Sports: A Comprehensive Framework for Research—Trends and Future Directions. Front. Sports Act. Living 2023, 5. [Google Scholar] [CrossRef] [PubMed]
  4. Edriss, S.; Romagnoli, C.; Caprioli, L.; Zanela, A.; Panichi, E.; Campoli, F.; Padua, E.; Annino, G.; Bonaiuto, V. The Role of Emergent Technologies in the Dynamic and Kinematic Assessment of Human Movement in Sport and Clinical Applications. Appl. Sci. 2024, 14, 1012. [Google Scholar] [CrossRef]
  5. Gómez-Carmona, C.D.; Bastida-Castillo, A.; Ibáñez, S.J.; Pino-Ortega, J. Accelerometry as a Method for External Workload Monitoring in Invasion Team Sports. A Systematic Review. PLoS ONE 2020, 15, e0236643. [Google Scholar] [CrossRef]
  6. Seifert, L.; Guignard, B. Using Inertial Measurement Units (IMUs) in Performance and Behavioural Analysis. In Sports Technology: Technologies, Fields of Application, Sports Equipment and Materials for Sport; Memmert, D., Ed.; Springer: Berlin, Heidelberg, 2024; pp. 51–58. ISBN 978-3-662-68703-1. [Google Scholar]
  7. Adesida, Y.; Papi, E.; McGregor, A.H. Exploring the Role of Wearable Technology in Sport Kinematics and Kinetics: A Systematic Review. Sensors 2019, 19, 1597. [Google Scholar] [CrossRef]
  8. Seshadri, D.R.; Li, R.T.; Voos, J.E.; Rowbottom, J.R.; Alfes, C.M.; Zorman, C.A.; Drummond, C.K. Wearable Sensors for Monitoring the Internal and External Workload of the Athlete. Npj Digit. Med. 2019, 2, 1–18. [Google Scholar] [CrossRef] [PubMed]
  9. Molina-Carmona, I.; Gomez-Carmona, C.D.; Bastida Castillo, A.; Pino-Ortega, J. Validez del dispositivo inercial WIMU PROTM️ para el registro de la frecuencia cardíaca en un test de campo. Sport-TK Rev. Euroam. Cienc. Deporte 2018, 7, 81–86. [Google Scholar] [CrossRef]
  10. Gomez-Carmona, C.D.; Bastida-Castillo, A.; González-Custodio, A.; Olcina, G.; Pino-Ortega, J. Using an Inertial Device (WIMU PROTM️) to Quantify Neuromuscular Load in Running: Reliability, Convergent Validity and the Influence of Type of Surface and Device Location. J. Strength Cond. Res. 2020, 34, 365–373. [Google Scholar] [CrossRef]
  11. Martland, R.; Mondelli, V.; Gaughran, F.; Stubbs, B. Can High-Intensity Interval Training Improve Physical and Mental Health Outcomes? A Meta-Review of 33 Systematic Reviews across the Lifespan. J. Sports Sci. 2020, 38, 430–469. [Google Scholar] [CrossRef]
  12. Batacan, R.B.; Duncan, M.J.; Dalbo, V.J.; Tucker, P.S.; Fenning, A.S. Effects of High-Intensity Interval Training on Cardiometabolic Health: A Systematic Review and Meta-Analysis of Intervention Studies. Br. J. Sports Med. 2017, 51, 494–503. [Google Scholar] [CrossRef]
  13. Coates, A.M.; Joyner, M.J.; Little, J.P.; Jones, A.M.; Gibala, M.J. A Perspective on High-Intensity Interval Training for Performance and Health. Sports Med. 2023, 53, 85–96. [Google Scholar] [CrossRef]
  14. Buchheit, M.; Laursen, P.B. High-Intensity Interval Training, Solutions to the Programming Puzzle. Sports Med. 2013, 43, 313–338. [Google Scholar] [CrossRef] [PubMed]
  15. Plizga, J.; Jaworski, A.; Grajnert, F.; Głuszczyk, A.; Surma, A.; Cecot, J.; Parfianowicz, A.; Zarzecki, K.; Mandryk, M.; Holdun, N. High-Intensity Interval Training - Health Benefits and Risks - Literature Review. Qual. Sport 2024, 18, 53359–53359. [Google Scholar] [CrossRef]
  16. Kilpatrick, M.W.; Jung, M.E.; Little, J.P. HIGH-INTENSITY INTERVAL TRAINING: A Review of Physiological and Psychological Responses. ACSMs Health Fit. J. 2014, 18, 11. [Google Scholar] [CrossRef]
  17. Milanović, Z.; Sporiš, G.; Weston, M. Effectiveness of High-Intensity Interval Training (HIT) and Continuous Endurance Training for VO2max Improvements: A Systematic Review and Meta-Analysis of Controlled Trials. Sports Med. 2015, 45, 1469–1481. [Google Scholar] [CrossRef]
  18. Eddolls, W.T.B.; McNarry, M.A.; Stratton, G.; Winn, C.O.N.; Mackintosh, K.A. High-Intensity Interval Training Interventions in Children and Adolescents: A Systematic Review. Sports Med. 2017, 47, 2363–2374. [Google Scholar] [CrossRef]
  19. Schneider, C.; Hanakam, F.; Wiewelhove, T.; Döweling, A.; Kellmann, M.; Meyer, T.; Pfeiffer, M.; Ferrauti, A. Heart Rate Monitoring in Team Sports—A Conceptual Framework for Contextualizing Heart Rate Measures for Training and Recovery Prescription. Front. Physiol. 2018, 9, 1–19. [Google Scholar] [CrossRef] [PubMed]
  20. Achten, J.; Jeukendrup, A.E. Heart Rate Monitoring. Sports Med. 2003, 33, 517–538. [Google Scholar] [CrossRef]
  21. Alugubelli, N.; Abuissa, H.; Roka, A. Wearable Devices for Remote Monitoring of Heart Rate and Heart Rate Variability—What We Know and What Is Coming. Sensors 2022, 22, 8903. [Google Scholar] [CrossRef]
  22. Stanley, J.; Peake, J.M.; Buchheit, M. Cardiac Parasympathetic Reactivation Following Exercise: Implications for Training Prescription. Sports Med. 2013, 43, 1259–1277. [Google Scholar] [CrossRef] [PubMed]
  23. Lamberts, R.P.; Swart, J.; Capostagno, B.; Noakes, T.D.; Lambert, M.I. Heart Rate Recovery as a Guide to Monitor Fatigue and Predict Changes in Performance Parameters. Scand. J. Med. Sci. Sports 2010, 20, 449–457. [Google Scholar] [CrossRef]
  24. Daanen, H.A.M.; Lamberts, R.P.; Kallen, V.L.; Jin, A.; Van Meeteren, N.L.U. A Systematic Review on Heart-Rate Recovery to Monitor Changes in Training Status in Athletes. Int. J. Sports Physiol. Perform. 2012, 7, 251–260. [Google Scholar] [CrossRef] [PubMed]
  25. Bellenger, C.R.; Fuller, J.T.; Thomson, R.L.; Davison, K.; Robertson, E.Y.; Buckley, J.D. Monitoring Athletic Training Status Through Autonomic Heart Rate Regulation: A Systematic Review and Meta-Analysis. Sports Med. 2016, 46, 1461–1486. [Google Scholar] [CrossRef] [PubMed]
  26. Zheng, X.; Liu, Z.; Liu, J.; Hu, C.; Du, Y.; Li, J.; Pan, Z.; Ding, K. Advancing Sports Cardiology: Integrating Artificial Intelligence with Wearable Devices for Cardiovascular Health Management. ACS Appl. Mater. Interfaces 2025, 17, 17895–17920. [Google Scholar] [CrossRef]
  27. Kakhi, K.; Jagatheesaperumal, S.K.; Khosravi, A.; Alizadehsani, R.; Acharya, U.R. Fatigue Monitoring Using Wearables and AI: Trends, Challenges, and Future Opportunities 2024.
  28. Rincon Soler, A.I.; Silva, L.E.V.; Fazan, R.; Murta, L.O. The Impact of Artifact Correction Methods of RR Series on Heart Rate Variability Parameters. J. Appl. Physiol. 2018, 124, 646–652. [Google Scholar] [CrossRef]
Figure 1. Heart rate signal of five periods of a HIIT routine. a) smoothed series with marked maximum and minimum values, and b) original series.
Figure 1. Heart rate signal of five periods of a HIIT routine. a) smoothed series with marked maximum and minimum values, and b) original series.
Preprints 154900 g001
Figure 2. Session 1: (a) Heart rate signal for a HIIT routine. (b) Smooth version of the signal and identification of the maxima and minima.
Figure 2. Session 1: (a) Heart rate signal for a HIIT routine. (b) Smooth version of the signal and identification of the maxima and minima.
Preprints 154900 g002
Figure 3. Session 2: (a) Heart rate signal for a HIIT routine. (b) Smooth version of the signal and identification of the maxima and minima.
Figure 3. Session 2: (a) Heart rate signal for a HIIT routine. (b) Smooth version of the signal and identification of the maxima and minima.
Preprints 154900 g003
Figure 4. Session 3: (a) Heart rate signal for a HIIT routine. (b) Smooth version of the signal and identification of the maxima and minima.
Figure 4. Session 3: (a) Heart rate signal for a HIIT routine. (b) Smooth version of the signal and identification of the maxima and minima.
Preprints 154900 g004
Table 1. Maxima, minima, intermediate averages, ascending and descending slopes in Session 1.
Table 1. Maxima, minima, intermediate averages, ascending and descending slopes in Session 1.
Maxima
(bpm)
Minima
(bpm)
Intermediate
averages (bpm)
Ascending
slopes (units)
Descending slopes (units)
146.94
156.00
159.12
161.47
164.29
104.45
109.09
115.38
125.53
124.71
127.24
125.69
132.54
137.25
143.50
144.50
6555.08
6333.08
5556.95
4852.05
5700.70
-2044.05
-2193.35
-1813.76
-1588.23
-2001.17
Table 2. Maxima, minima, intermediate averages, ascending and descending slopes in Session 2.
Table 2. Maxima, minima, intermediate averages, ascending and descending slopes in Session 2.
Maxima
(bpm)
Minima
(bpm)
Intermediate
averages (bpm)
Ascending
slopes (units)
Descending slopes (units)
152.81
160.35
169.19
171.77
177.87
160.55
180.61
179.77
117.57
126.35
128.10
135.32
131.90
140.39
132.52
145.48
150.52
135.19
143.35
148.65
153.55
154.89
150.47
156.56
162.63
11961.39
11540.57
13949.42
17321.81
13652.42
5987.90
19046.32
13578.97
-12569.81
-15329.03
-13412.90
-11841.68
-17812.34
-13320.93
-13911.10
-13903.43
Table 3. Maxima, minima, intermediate averages, ascending and descending slopes in Session 3.
Table 3. Maxima, minima, intermediate averages, ascending and descending slopes in Session 3.
Maxima
(bpm)
Minima
(bpm)
Intermediate
averages (bpm)
Ascending
slopes (units)
Descending slopes (units)
132.01
143.40
151.95
162.60
166.48
166.05
177.32
177.21
179.53
178.65
178.20
108.67
100.52
98.19
108.97
107.19
108.04
119.89
145.64
149.45
159.19
173.56
123.21
120.34
121.96
125.07
135.78
136.84
137.05
148.60
161.43
164.49
168.92
175.88
489.11
770.25
1126.37
962.99
1064.75
1458.64
1444.03
992.16
1260.68
611.75
291.27
-1319.93
-1136.92
-1350.54
-1741.19
-1836.75
-1934.63
-995.48
-1163.52
-852.56
-213.21
-987.47
Disclaimer/Publisher’s Note: The statements, opinions and data contained in all publications are solely those of the individual author(s) and contributor(s) and not of MDPI and/or the editor(s). MDPI and/or the editor(s) disclaim responsibility for any injury to people or property resulting from any ideas, methods, instructions or products referred to in the content.
Copyright: This open access article is published under a Creative Commons CC BY 4.0 license, which permit the free download, distribution, and reuse, provided that the author and preprint are cited in any reuse.
Prerpints.org logo

Preprints.org is a free preprint server supported by MDPI in Basel, Switzerland.

Subscribe

Disclaimer

Terms of Use

Privacy Policy

Privacy Settings

© 2026 MDPI (Basel, Switzerland) unless otherwise stated