Submitted:
22 March 2025
Posted:
25 March 2025
You are already at the latest version
Abstract
Keywords:
1. Introduction
2. Materials and Methods
3. Results
4. Discussion
5. Conclusions
Author Contributions
Funding
Institutional Review Board Statement
Informed Consent Statement
Data Availability Statement
Acknowledgments
Conflicts of Interest
Abbreviations
| AOC | Advanced Ovarian Cancer |
| OS | Overall Survival |
| PDS | Primary Debulking Surgery |
| NACT | NeoAdjuvant ChemoTherapy |
| IDS | Interval Debulking Surgery |
| PFS | Progression-Free Survival |
| NLR | Neutrophil-to-Lymphocyte Ratio |
| KELIM | ELIMination rate constant K |
| CBC | Complete Blood Counts |
| ESGO | European Society of Gynecological Oncology |
| BMI | Body Mass Index |
| CCI | Charlson Comorbidity Index |
| ICU | Intensive Care Unit |
| PCI | Peritoneal Cancer Index |
| HR | Hazard Ratio |
| CI | Confidence Interval |
| IQR | InterQuartile Range |
| CA-125 | Cancer Antigen-125 |
References
- Siegel, R.L.; Miller, K.D.; Jemal, A. Cancer statistics, 2016. CA Cancer J Clin. 2016, 66, 7–30. [Google Scholar] [CrossRef] [PubMed]
- Matulonis, U.A.; Sood, A.K.; Fallowfield, L.; Howitt, B.E.; Sehouli, J.; Karlan, B.Y. Ovarian cancer. Nat Rev Dis Primers. 2016, 2, 16061, Published 2016 Aug 25. [Google Scholar] [CrossRef] [PubMed]
- Wright, A.A.; Bohlke, K.; Armstrong, D.K.; et al. Neoadjuvant chemotherapy for newly diagnosed, advanced ovarian cancer: Society of Gynecologic Oncology and American Society of Clinical Oncology Clinical Practice Guideline. Gynecol Oncol. 2016, 143, 3–15. [Google Scholar] [CrossRef] [PubMed]
- Vergote, I.; Tropé, C.G.; Amant, F.; et al. Neoadjuvant chemotherapy or primary surgery in stage IIIC or IV ovarian cancer. N Engl J Med. 2010, 363, 943–953. [Google Scholar] [CrossRef]
- Kehoe, S.; Hook, J.; Nankivell, M.; et al. Primary chemotherapy versus primary surgery for newly diagnosed advanced ovarian cancer (CHORUS): an open-label, randomised, controlled, non-inferiority trial. Lancet. 2015, 386, 249–257. [Google Scholar] [CrossRef]
- Kehoe, S.; Hook, J.; Nankivell, M.; Jayson, G.C.; Kitchener, H.; Lopes, T.; et al. Primary chemotherapy versus primary surgery for newly diagnosed advanced ovarian cancer (CHORUS): an open-label, randomised, controlled, non-inferiority trial. Lancet 2015, 386, 249–257. [Google Scholar] [CrossRef]
- Vergote, I.; Tropé, C.G.; Amant, F.; Kristensen, G.B.; Ehlen, T.; Johnson, N.; et al. Neoadjuvant chemotherapy or primary surgery in stage IIIC or IV ovarian cancer. N Engl J Med 2010, 363, 943–953. [Google Scholar] [CrossRef]
- Lyons, Y.A.; Reyes, H.D.; McDonald, M.E.; Newtson, A.; Devor, E.; Bender, D.P.; et al. Interval debulking surgery is not worth the wait: a National Cancer Database study comparing primary cytoreductive surgery versus neoadjuvant chemotherapy. Int J Gynecol Cancer 2020, 30, 845–852. [Google Scholar] [CrossRef]
- You, B.; Colomban, O.; Heywood, M.; et al. The strong prognostic value of KELIM, a model-based parameter from CA 125 kinetics in ovarian cancer: data from CALYPSO trial (a GINECO-GCIG study). Gynecol Oncol. 2013, 130, 289–294. [Google Scholar] [CrossRef]
- Kim, J.H.; Cho, H.W.; Park, E.Y.; et al. Prognostic value of CA125 kinetics, half-life, and nadir in the treatment of epithelial ovarian cancer: a systematic review and meta-analysis. Int J Gynecol Cancer. 2023, 33, 1913–1920, Published 2023 Dec 4. [Google Scholar] [CrossRef]
- Corbaux, P.; You, B.; Glasspool, R.M.; et al. Survival and modelled cancer antigen-125 ELIMination rate constant K score in ovarian cancer patients in first-line before poly(ADP-ribose) polymerase inhibitor era: A Gynaecologic Cancer Intergroup meta-analysis. Eur J Cancer. 2023, 191, 112966. [Google Scholar] [CrossRef]
- Colomban, O.; Tod, M.; Leary, A.; et al. Early Modeled Longitudinal CA-125 Kinetics and Survival of Ovarian Cancer Patients: A GINECO AGO MRC CTU Study. Clin Cancer Res. 2019, 25, 5342–5350. [Google Scholar] [CrossRef] [PubMed]
- You, B.; Robelin, P.; Tod, M.; et al. CA-125 ELIMination Rate Constant K (KELIM) Is a Marker of Chemosensitivity in Patients with Ovarian Cancer: Results from the Phase II CHIVA Trial. Clin Cancer Res. 2020, 26, 4625–4632. [Google Scholar] [CrossRef]
- Zouzoulas, D.; Tsolakidis, D.; Tzitzis, P.; et al. The Use of CA-125 KELIM to Identify Which Patients Can Achieve Complete Cytoreduction after Neoadjuvant Chemotherapy in High-Grade Serous Advanced Ovarian Cancer. Cancers (Basel). 2024, 16, 1266. [Google Scholar] [CrossRef] [PubMed]
- Balkwill, F.; Mantovani, A. Inflammation and cancer: back to Virchow? . Lancet. 2001, 357, 539–545. [Google Scholar] [CrossRef] [PubMed]
- Hanahan, D.; Weinberg, R.A. Hallmarks of cancer: the next generation. Cell. 2011, 144, 646–674. [Google Scholar] [CrossRef]
- Tuntinarawat, P.; Tangmanomana, R.; Kittisiam, T. Association between alteration of neutrophil to lymphocyte ratio, platelet to lymphocyte ratio, cancer antigen-125 and surgical outcomes in advanced stage ovarian cancer patient who received neoadjuvant chemotherapy. Gynecol Oncol Rep. 2024, 52, 101347, Published 2024 Feb 20. [Google Scholar] [CrossRef]
- McNamara, M.G.; Templeton, A.J.; Maganti, M.; et al. Neutrophil/lymphocyte ratio as a prognostic factor in biliary tract cancer. Eur J Cancer. 2014, 50, 1581–1589. [Google Scholar] [CrossRef]
- Cho, I.R.; Park, J.C.; Park, C.H.; et al. Pre-treatment neutrophil to lymphocyte ratio as a prognostic marker to predict chemotherapeutic response and survival outcomes in metastatic advanced gastric cancer. Gastric Cancer. 2014, 17, 703–710. [Google Scholar] [CrossRef]
- Williams, K.A.; Labidi-Galy, S.I.; Terry, K.L.; et al. Prognostic significance and predictors of the neutrophil-to-lymphocyte ratio in ovarian cancer. Gynecol Oncol. 2014, 132, 542–550. [Google Scholar] [CrossRef]
- Cho, H.; Hur, H.W.; Kim, S.W.; et al. Pre-treatment neutrophil to lymphocyte ratio is elevated in epithelial ovarian cancer and predicts survival after treatment. Cancer Immunol Immunother. 2009, 58, 15–23. [Google Scholar] [CrossRef]
- Ethier, J.L.; Desautels, D.N.; Templeton, A.J.; Oza, A.; Amir, E.; Lheureux, S. Is the neutrophil-to-lymphocyte ratio prognostic of survival outcomes in gynecologic cancers? A systematic review and meta-analysis. Gynecol Oncol. 2017, 145, 584–594. [Google Scholar] [CrossRef] [PubMed]
- Miao, Y.; Yan, Q.; Li, S.; Li, B.; Feng, Y. Neutrophil to lymphocyte ratio and platelet to lymphocyte ratio are predictive of chemotherapeutic response and prognosis in epithelial ovarian cancer patients treated with platinum-based chemotherapy. Cancer Biomark. 2016, 17, 33–40. [Google Scholar] [CrossRef]
- Charlson, M.E.; Carrozzino, D.; Guidi, J.; Patierno, C. Charlson Comorbidity Index: A Critical Review of Clinimetric Properties. Psychother. Psychosom. 2022, 91, 8–35. [Google Scholar] [CrossRef] [PubMed]
- Clavien, P.A.; Barkun, J.; de Oliveira, M.L.; Vauthey, J.N.; Dindo, D.; Schulick, R.D.; de Santibañes, E.; Pekolj, J.; Slankamenac, K.; Bassi, C.; et al. The Clavien-Dindo classification of surgical complications: Five-year experience. Ann. Surg. 2009, 250, 187–196. [Google Scholar] [CrossRef] [PubMed]
- Modeled CA-125 KELIM™ in Patients with Stage III–IV High Grade Serous Ovarian Carcinomas Treated in First-Line Setting with Neo-Adjuvant Chemotherapy. Available online: https://www.biomarker-kinetics.org/CA-125-neo (accessed on 23 March 2024).
- Ethier, J.L.; Desautels, D.N.; Templeton, A.J.; Oza, A.; Amir, E.; Lheureux, S. Is the neutrophil-to-lymphocyte ratio prognostic of survival outcomes in gynecologic cancers? A systematic review and meta-analysis. Gynecol Oncol. 2017, 145, 584–594. [Google Scholar]
- Yang, J.; Ma, J.; Cheng, S.; Wang, Y. The combination of plasma fibrinogen concentration and neutrophil lymphocyte ratio (F-NLR) as a prognostic factor of epithelial ovarian cancer. Onco Targets Ther. 2020, 13, 7283–7293. [Google Scholar] [CrossRef]
- Farolf, A.; Scarpi, E.; Greco, F.; et al. Inflammatory indexes as predictive factors for platinum sensitivity and as prognostic factors in recurrent epithelial ovarian cancer patients: a MITO24 retrospective study. Sci Rep. 2020, 10, 1–8. [Google Scholar] [CrossRef]
- Kim, Y.J.; Lee, I.; Chung, Y.S.; Nam, E.J.; Kim, S.; Kim, S.W.; et al. Pretreatment neutrophil-to-lymphocyte ratio and its dynamic change during neoadjuvant chemotherapy as poor prognostic factors in advanced ovarian cancer. Obstet Gynecol Sci. 2018, 61, 227–234. [Google Scholar] [CrossRef]
- Williams, K.A.; Labidi-Galy, S.I.; Terry, K.L.; Vitonis, A.F.; Welch, W.R.; Goodman, A.; et al. Prognostic significance and predictors of the neutrophil-to lymphocyte ratio in ovarian cancer. Gynecol Oncol. 2014, 132, 542–550. [Google Scholar] [CrossRef]
- Liontos, M.; Andrikopoulou, A.; Koutsoukos, K.; Markellos, C.; Skafida, E.; Fiste, O.; et al. Neutrophil-to-lymphocyte ratio and chemotherapy response score as prognostic markers in ovarian cancer patients treated with neoadjuvant chemotherapy. Journal of Ovarian Research 2021, 14, 148. [Google Scholar] [CrossRef] [PubMed]
- You B, Sehgal V, Hosmane B, Huang X, Ansell PJ, Dinh MH, Bell-McGuinn K, Luo X, Fleming GF, Friedlander M, Bookman MA, Moore KN, Steffensen KD, Coleman RL, Swisher EM. CA-125 KELIM as a Potential Complementary Tool for Predicting Veliparib Benefit: An Exploratory Analysis From the VELIA/GOG-3005 Study. J Clin Oncol. 2023 Jan 1;41, 107-116. https://doi.org/10.1200/JCO.22.00430. Epub 2022 Jul 22. Erratum in: J Clin Oncol. 2023 Mar 10;41, 1633. https://doi.org/10.1200/JCO.22.02888. PMID: 35867965; PMCID: PMC9788978. [CrossRef] [PubMed]
- Kim JH, Kim ET, Kim SI, Park EY, Park MY, Park SY, Lim MC. Prognostic Role of CA-125 Elimination Rate Constant (KELIM) in Patients with Advanced Epithelial Ovarian Cancer Who Received PARP Inhibitors. Cancers (Basel). 2024 Jun 26;16, 2339. [CrossRef] [PubMed] [PubMed Central]
- Bouvarel B, Colomban O, Frenel JS, Loaec C, Bourgin C, Berton D, Freyer G, You B, Classe JM. Clinical impact of CA-125 ELIMination rate constant K (KELIM) on surgical strategy in advanced serous ovarian cancer patients. Int J Gynecol Cancer. 2024 Apr 1;34, 574-580. [CrossRef] [PubMed]
- van Wagensveld L, Colomban O, van der Aa MA, Freyer G, Sonke GS, Kruitwagen RFPM, You B. Confirmation of the utility of the CA-125 elimination rate (KELIM) as an indicator of the chemosensitivity in advanced-stage ovarian cancer in a "real-life setting". J Gynecol Oncol. 2024 May;35, e34. Epub 2024 Jan 8. [CrossRef] [PubMed] [PubMed Central]
- Mantovani A, Allavena P, Sica A, Balkwill F. Cancer-related inflammation. Nature. 2008 Jul 24;454, 436–444. [CrossRef] [PubMed]
- Salman L, Sabah G, Jakobson-Setton A, Raban O, Yeoshoua E, Eitan R. Neutrophil-to-lymphocyte ratio as a prognostic factor in advanced stage ovarian carcinoma treated with neoadjuvant chemotherapy. Int J Gynaecol Obstet. 2020 Jan;148, 102-106. Epub 2019 Oct 16. [CrossRef] [PubMed]
- Chen, S.; Zhang, L.; Yan, G.; Cheng, S.; Fathy, A.H.; Yan, N.; Zhao, Y. Neutrophil-to-Lymphocyte Ratio Is a Potential Prognostic Biomarker in Patients with Ovarian Cancer: A Meta-Analysis. Biomed Res Int. 2017, 2017, 7943467. [Google Scholar] [CrossRef] [PubMed] [PubMed Central]


| Characteristics | Measures |
|---|---|
| Age | 61.45 (12.32) |
| BMI | 28.25 (5.92) |
| CCI | median:2 (IQR: 1-4) |
| 0-2 | 40 (51.3%) |
| 3-4 | 24 (30.8%) |
| ≥5 | 14 (17.9%) |
| ICU Admission | |
| No | 64 (82.1%) |
| Yes | 14 (17.9%) |
| Clavien Dindo Classification | 22.87 (16.24) median:24.2 (IQR: 12.2-32) |
| Hospital Stay | 8.54 (4.07) median:8 (IQR: 6-9) |
| PFS (in months) | |
| N of events | 45 |
| median estimate | 29.86 |
| OS (in months) | |
| N of events | 26 |
| median estimate | 63.74 |
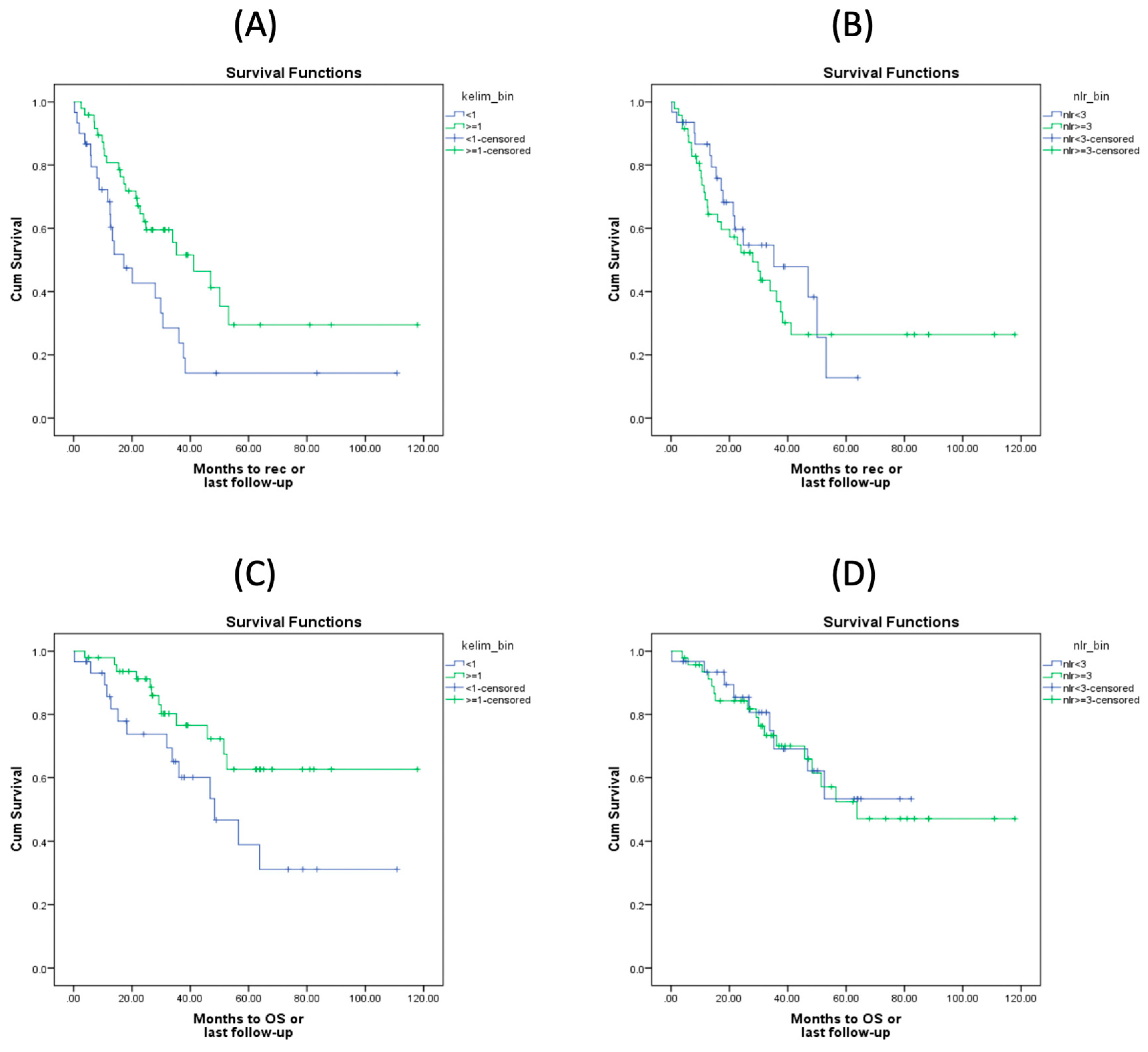
| HR | p-value | 95% CI for HR | ||||
| Lower | Upper | |||||
| (A) | recurrence | KELIM | 0.480 | 0.015 | 0.266 | 0.864 |
| (B) | recurrence | NLR | 1.218 | 0.528 | 0.660 | 2.245 |
| (C) | OS | KELIM | 0.453 | 0.045 | 0.209 | 0.981 |
| (D) | OS | NLR 3 | 1.132 | 0.764 | 0.504 | 2.541 |
Disclaimer/Publisher’s Note: The statements, opinions and data contained in all publications are solely those of the individual author(s) and contributor(s) and not of MDPI and/or the editor(s). MDPI and/or the editor(s) disclaim responsibility for any injury to people or property resulting from any ideas, methods, instructions or products referred to in the content. |
© 2025 by the authors. Licensee MDPI, Basel, Switzerland. This article is an open access article distributed under the terms and conditions of the Creative Commons Attribution (CC BY) license (http://creativecommons.org/licenses/by/4.0/).