Submitted:
05 April 2025
Posted:
10 April 2025
You are already at the latest version
Abstract
Keywords:
1. Introduction
- Achieve a finer range and angular resolution through a wider instantaneous bandwidth and advanced MIMO multiplexing methods;
- Enable high unambiguous velocity detection, essential for reliable tracking in high-speed scenarios;
- Exhibit strong robustness against interference, multipath propagation, and adverse environmental conditions;
- Facilitate efficient hardware implementations for commercial viability.
1.1. Related Work
1.2. Terminology
1.3. Contributions
2. Waveform-Agnostic Signal Model
3. Waveform Models and Processing
3.1. Frequency-Modulated Continuous Wave (FMCW)
3.1.1. Waveform
3.1.2. Architecture
3.1.3. Obtaining Doppler-Variant Impulse Response
3.1.4. Multiplexing
3.1.5. System Parameters
3.2. Phase-Modulated Continuous Wave (PMCW)
3.2.1. Waveform
3.2.2. Architecture
3.2.3. Obtaining Doppler-Variant Impulse Response
3.2.4. Multiplexing
- Sequence coding: In this approach, each transmitter is assigned a unique sequence. To recover the signals from the individual transmit antennas, parallel correlators (i.e., matched filters), each matched to one of the transmitted sequences, are required [41].
- Outer coding: As proposed in [14], the same base sequence is used for all transmitters, but is multiplied by a code word, e.g. a Hadamard code, to ensure orthogonality (zero cross-correlation) among transmitters. The length of the outer code is . In [14], the authors first repeat the sequence multiple times to form a block, thereby improving the SNR, and then repeat this block times with sign inversions applied according to the chosen Hadamard code.
3.2.5. System Parameters
3.3. Phase-Coded Frequency-Modulated Continuous Wave (PC-FMCW)
3.3.1. Waveform
3.3.2. Architecture
3.3.3. Obtaining Doppler-Variant Impulse Response
3.3.4. Multiplexing
3.3.5. System Parameters
3.4. Orthogonal Frequency-Division Multiplexing (OFDM)
3.4.1. Waveform
3.4.2. Architecture
3.4.3. Obtaining Doppler-Variant Impulse Response
3.4.4. Multiplexing
- Equidistant subcarrier interleaving: The subcarriers are equally spaced among the transmitters, using the same bandwidth. The frequency spacing between subcarriers of the same antenna increases by a factor equal to the number of antennas, reducing the maximum unambiguous range.
- Non-equidistant subcarrier interleaving: Subcarriers are assigned non-equidistantly, preserving the maximum unambiguous range. However, this method requires advanced signal processing, such as compressed sensing, to reconstruct the uniformly sampled signal.
- Space-time block codes: All transmitters share all subcarriers simultaneously, modulated with space-time block codes. This retains the maximum unambiguous range but decreases the maximum unambiguous velocity.
3.4.5. System Parameters
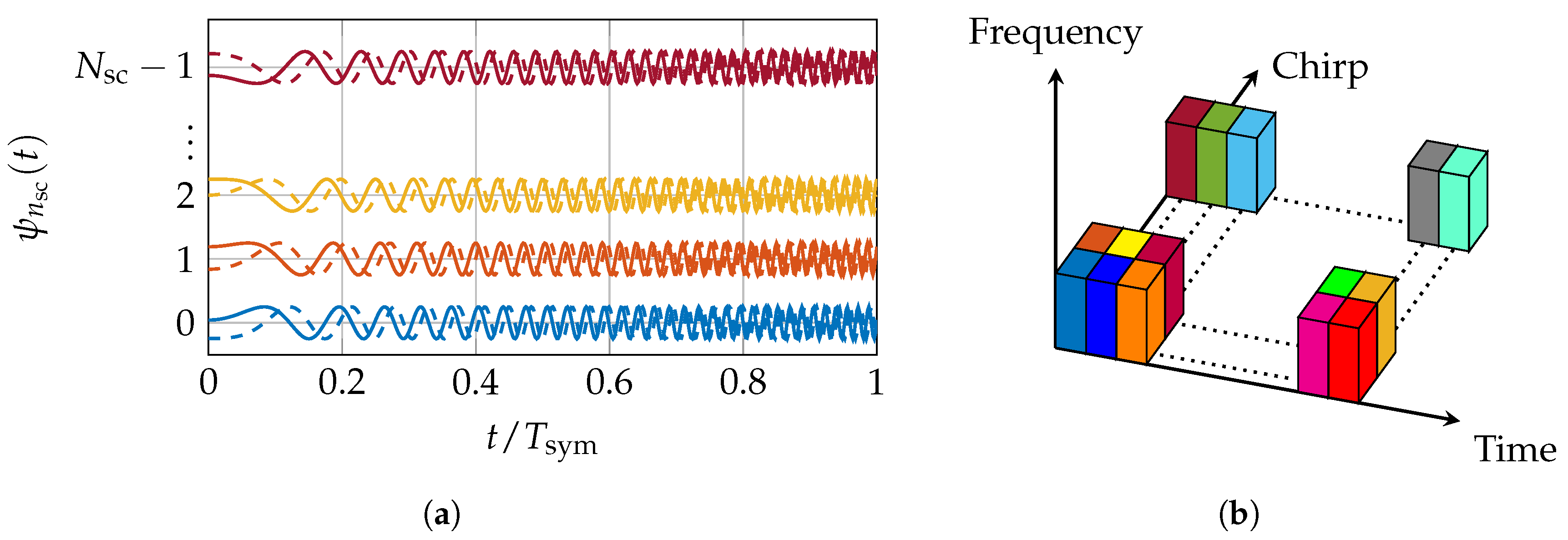
3.5. Orthogonal Chirp Division Multiplexing (OCDM)
3.5.1. Waveform
3.5.2. Architecture
3.5.3. Obtaining Doppler-Variant Impulse Response
3.5.4. Multiplexing
- Multiplexing can naturally occur within the Fresnel and chirp domains. However, this method is applicable only to radar-exclusive systems. For JRC systems, approaches can be used based on CDM and FDM.
- In CDM-based MIMO-OCDM systems employing outer coding, signals from various transmitters are orthogonalized by multiplying them with orthogonal codewords, for example, derived from rows of the Hadamard matrix. At the receiver end, outer coding needs to be decoded to distinguish signals from different transmitters.
- In an FDM-based MIMO-OCDM system employing FSP, unique frequency shifts are implemented on the transmitted signals across all channels to ensure their orthogonality in the frequency domain. This precoding process involves multiplying the signals by two matrices, as described in detail in [53]. In general, this approach is very similar to CDM-based multiplexing.
3.5.5. System Parameters
3.6. Orthogonal Time Frequency Space (OTFS)
3.6.1. Waveform
3.6.2. Architecture
3.6.3. Obtaining Doppler-Variant Impulse Response
3.6.4. Multiplexing
3.6.5. System Parameters
4. Essential Features of Automotive Radar Waveforms
4.1. Angular Resolution
4.2. Interference Robustness
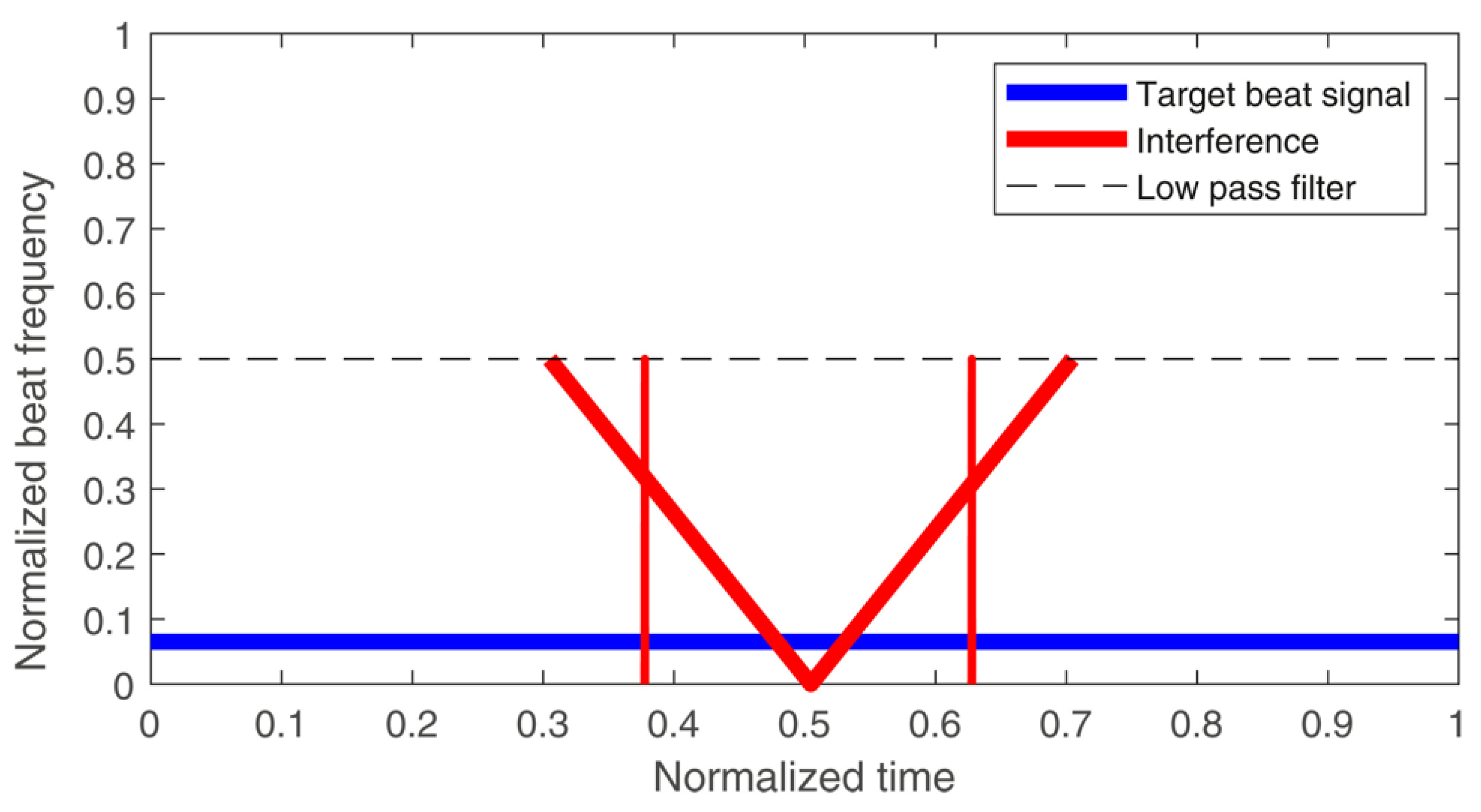
4.2.1. FMCW
4.2.2. PMCW
4.2.3. PC-FMCW
4.2.4. OFDM
4.2.5. OCDM
4.2.6. OTFS
4.2.7. Summary
4.3. Joint Radar and Communication
- Radar-centric design, which adds communication functions to existing radar systems;
- Communication-centric design, which integrates sensing into communication systems;
- Joint design, which targets both functionalities without relying on an underlying system.
4.3.1. FMCW
4.3.2. PC-FMCW
4.3.3. PMCW
4.3.4. OFDM
4.3.5. OCDM
4.3.6. OTFS
4.3.7. Comparison
4.4. Doppler Influence and Tolerance
4.4.1. FMCW
4.4.2. PMCW
4.4.3. PC-FMCW
4.4.4. OFDM
4.4.5. OCDM
4.4.6. OTFS
4.4.7. Comparison
4.5. Implementation Aspects and Limitations
4.5.1. FMCW
4.5.2. PMCW
4.5.3. PC-FMCW
4.5.4. OFDM
4.5.5. OCDM
4.5.6. OTFS
4.5.7. Comparison
4.6. Summary
5. Future Research Directions
6. Conclusions
Author Contributions
Data Availability Statement
Conflicts of Interest
References
- Kahlert, M.; Peitzmeier, H.; Evans, D.; Talits, K.; Kortmann, F.; Tebruegge, C. Resilience of Spatial Environment Perception Toward Fully Automated Driving: A Review. IEEE Sensors Journal 2024, 24, 21801–21812. [CrossRef]
- Khan, M.A.; et al. Level-5 Autonomous Driving—Are We There Yet? A Review of Research Literature. ACM Comput. Surv. 2022, 55. [CrossRef]
- Ltd., P.R.P. Automotive RADAR Market Size, Share and Growth Analysis, 2023.
- Bhagyaveni, M.A.; Kalidoss, R.; Vishvaksenan, K.S., Introduction to Analog and Digital Communication. In Introduction to Analog and Digital Communication; 2016.
- Stove, A.G. Linear FMCW radar techniques. IEE Proceedings F (Radar and Signal Processing) 1992, 139, 343–350.
- Waldschmidt, C.; Hasch, J.; Menzel, W. Automotive Radar — From First Efforts to Future Systems. IEEE Journal of Microwaves 2021, 1, 135–148. [CrossRef]
- Uysal, F. Phase-Coded FMCW Automotive Radar: System Design and Interference Mitigation. IEEE Transactions on Vehicular Technology 2020, 69, 270–281. [CrossRef]
- Sun, S.; Petropulu, A.P.; Poor, H.V. MIMO Radar for Advanced Driver-Assistance Systems and Autonomous Driving: Advantages and Challenges. IEEE Signal Processing Magazine 2020, 37, 98–117. [CrossRef]
- Kim, J.; et al. 79-GHz Four-RFIC Cascading Radar System for Autonomous Driving. In Proceedings of the 2020 IEEE International Symposium on Circuits and Systems (ISCAS), 2020, pp. 1–5. [CrossRef]
- Jansen, F. Automotive Radar Doppler Division MIMO With Velocity Ambiguity Resolving Capabilities. In Proceedings of the 2019 16th European Radar Conference (EuRAD), 2019, pp. 245–248.
- Alland, S.; Stark, W.; Ali, M.; Hegde, M. Interference in Automotive Radar Systems: Characteristics, Mitigation Techniques, and Current and Future Research. IEEE Signal Processing Magazine 2019, 36, 45–59. [CrossRef]
- Roos, F.; Bechter, J.; Knill, C.; Schweizer, B.; Waldschmidt, C. Radar Sensors for Autonomous Driving: Modulation Schemes and Interference Mitigation. IEEE Microwave Magazine 2019, 20, 58–72. [CrossRef]
- Uysal, F.; Orru, S. Phase-Coded FMCW Automotive Radar: Application and Challenges. In Proceedings of the 2020 IEEE International Radar Conference (RADAR), 2020, pp. 478–482. [CrossRef]
- Bourdoux, A.; et al. PMCW waveform and MIMO technique for a 79 GHz CMOS automotive radar. In Proceedings of the 2016 IEEE Radar Conference (RadarConf), 2016, pp. 1–5. [CrossRef]
- de Oliveira, L.G.; et al. Enabling Joint Radar-Communication Operation in Shift Register-Based PMCW Radars. In Proceedings of the 2023 20th European Radar Conference (EuRAD), 2023, pp. 85–88. [CrossRef]
- Kahlert, M.; Fei, T.; Tebruegge, C.; Gardill, M. Stepped-Frequency PMCW Waveforms for Automotive Radar Applications. IEEE Transactions on Radar Systems 2025, 3, 233–245. [CrossRef]
- Schweizer, B.; et al. The Fairy Tale of Simple All-Digital Radars: How to Deal With 100 Gbit/s of a Digital Millimeter-Wave MIMO Radar on an FPGA [Application Notes]. IEEE Microwave Magazine 2021, 22, 66–76. [CrossRef]
- Bhattacharjee, S.; Mishra, K.V.; Annavajjala, R.; Murthy, C.R. Evaluation of Orthogonal Chirp Division Multiplexing for Automotive Integrated Sensing and Communications. In Proceedings of the ICASSP 2022 - 2022 IEEE International Conference on Acoustics, Speech and Signal Processing (ICASSP), 2022, pp. 8742–8746. [CrossRef]
- Raviteja, P.; Phan, K.T.; Hong, Y.; Viterbo, E. Orthogonal Time Frequency Space (OTFS) Modulation Based Radar System. In Proceedings of the 2019 IEEE Radar Conference (RadarConf), 2019, pp. 1–6. [CrossRef]
- Giroto de Oliveira, L.; et al. Discrete-Fresnel Domain Channel Estimation in OCDM-Based Radar Systems. IEEE Transactions on Microwave Theory and Techniques 2023, 71, 2258–2275. [CrossRef]
- Giuffrida, L.; Masera, G.; Martina, M. A Survey of Automotive Radar and Lidar Signal Processing and Architectures. Chips 2023, 2, 243–261.
- Hakobyan, G.; Yang, B. High-Performance Automotive Radar: A Review of Signal Processing Algorithms and Modulation Schemes. IEEE Signal Processing Magazine 2019, 36, 32–44. [CrossRef]
- Patole, S.M.; Torlak, M.; Wang, D.; Ali, M. Automotive radars: A review of signal processing techniques. IEEE Signal Processing Magazine 2017, 34, 22–35. [CrossRef]
- Kumbul, U.; Uysal, F.; Vaucher, C.S.; Yarovoy, A. Automotive radar interference study for different radar waveform types. IET Radar, Sonar & Navigation 2022, 16, 564–577. [CrossRef]
- Carvajal, G.K.; et al. Comparison of Automotive FMCW and OFDM Radar Under Interference. In Proceedings of the 2020 IEEE Radar Conference (RadarConf20), 2020, pp. 1–6. [CrossRef]
- Giroto de Oliveira, L.; et al. Joint Radar-Communication Systems: Modulation Schemes and System Design. IEEE Transactions on Microwave Theory and Techniques 2022, 70, 1521–1551. [CrossRef]
- Molisch, A.F. Wireless Communications, 2 ed.; Wiley Publishing, 2011.
- Gardill, M.; Schwendner, J.; Fuchs, J. In-Situ Time-Frequency Analysis of the 77 GHz Bands using a Commercial Chirp-Sequence Automotive FMCW Radar Sensor. In Proceedings of the 2019 IEEE MTT-S International Microwave Symposium (IMS), 2019, pp. 544–547. [CrossRef]
- Sun, Y.; Fei, T.; Pohl, N. A High-Resolution Framework for Range-Doppler Frequency Estimation in Automotive Radar Systems. IEEE Sensors Journal 2019, 19, 11346–11358. [CrossRef]
- Fei, T. Automotive Radar Systems: Architecture, Signal Processing, and Future Perspectives. In Vehicle Technology and Automotive Engineering; Koten, P.H.; Sarıkoç, A.P.S., Eds.; IntechOpen: Rijeka, 2025; chapter 0. [CrossRef]
- Debre, K.; Fei, T.; Pesavento, M. Sequential Maximum-Likelihood Estimation of Wideband Polynomial-Phase Signals on Sensor Array, 2024, [arXiv:eess.SP/2412.20975].
- Lutz, S.; Ellenrieder, D.; Walter, T.; Weigel, R. On fast chirp modulations and compressed sensing for automotive radar applications. In Proceedings of the 2014 15th International Radar Symposium (IRS), 2014, pp. 1–6. [CrossRef]
- Li, X.; Wang, X.; Yang, Q.; Fu, S. Signal Processing for TDM MIMO FMCW Millimeter-Wave Radar Sensors. IEEE Access 2021, 9, 167959–167971. [CrossRef]
- Jeannin, M.; et al. Modeling and Removing Doppler Division Multiplexing Spurs in Automotive MIMO Radar. IEEE Sensors Journal 2023, 23, 1389–1396. [CrossRef]
- Sturm, C.; Sit, Y.L.; Li, G.; Vayghan, H.A.; Lübbert, U. Automotive Fast-Chirp MIMO Radar with Simultaneous Transmission in a Doppler-Multiplex. In Proceedings of the 2018 19th International Radar Symposium (IRS), 2018, pp. 1–6. [CrossRef]
- Kahlert, M.; Fei, T.; Tebruegge, C.; Gardill, M. An Improved Stepped-Frequency PMCW Waveform for Automotive Radar Applications. In Proceedings of the 2024 15th German Microwave Conference (GeMiC), 2024, pp. 193–196. [CrossRef]
- Probst, F.; Engelmann, A.; Koch, M.; Weigel, R. A Dual-Channel 15 Gb/s PRBS Generator for a D-Band PMCW Radar Transmitter in 22 nm FDSOI. In Proceedings of the 2023 IEEE Wireless and Microwave Technology Conference (WAMICON), 2023, pp. 129–132. [CrossRef]
- Savci, K.; Erdoğan, A.Y. Digital Correlator: A Scalable and Efficient FPGA Implementation for Radar Receivers. In Proceedings of the 2019 Signal Processing Symposium (SPSympo), 2019, pp. 207–211. [CrossRef]
- Giroto de Oliveira, L.; et al. Doppler Shift Tolerance of Accumulation and Outer Coding in MIMO-PMCW Radar. IEEE Microwave and Wireless Components Letters 2022, 32, 257–260. [CrossRef]
- Bourdoux, A.; Bauduin, M. PMCW Waveform Cross-correlation Characterization and Interference Mitigation. In Proceedings of the 2020 17th European Radar Conference (EuRAD), 2021, pp. 164–167. [CrossRef]
- Guermandi, D.; et al. A 79-GHz 2 × 2 MIMO PMCW Radar SoC in 28-nm CMOS. IEEE Journal of Solid-State Circuits 2017, 52, 2613–2626. [CrossRef]
- Overdevest, J.; Jansen, F.; Uysal, F.; Yarovoy, A. Doppler Influence on Waveform Orthogonality in 79 GHz MIMO Phase-Coded Automotive Radar. IEEE Transactions on Vehicular Technology 2020, 69, 16–25. [CrossRef]
- Antes, T.; de Oliveira, L.G.; Bekker, E.; Bhutani, A.; Zwick, T. Doppler Robustness Analysis of Orthogonal Sequences for MIMO PMCW Radar. In Proceedings of the 2022 23rd International Radar Symposium (IRS), 2022, pp. 384–389. [CrossRef]
- Kahlert, M.; Fei, T.; Tebruegge, C.; Gardill, M. Doppler Ambiguity Resolution for a PMCW Automotive Radar System. In Proceedings of the 2023 20th European Radar Conference (EuRAD), 2023, pp. 73–76. [CrossRef]
- Kahlert, M.; Fei, T.; Wilden, N.; Tebruegge, C.; Gardill, M. MLS-based Transmitter Orthogonality Analysis in MIMO-PMCW Automotive Radar Systems. In Proceedings of the 2024 IEEE 13rd Sensor Array and Multichannel Signal Processing Workshop (SAM), 2024, pp. 1–5. [CrossRef]
- Kumbul, U.; Petrov, N.; Vaucher, C.S.; Yarovoy, A. Smoothed Phase-Coded FMCW: Waveform Properties and Transceiver Architecture. IEEE Transactions on Aerospace and Electronic Systems 2023, 59, 1720–1737. [CrossRef]
- Franken, G.; Nikookar, H.; Genderen, P.V. Doppler Tolerance of OFDM-coded Radar Signals. In Proceedings of the 2006 European Radar Conference, 2006, pp. 108–111. [CrossRef]
- Rahmatallah, Y.; Mohan, S. Peak-To-Average Power Ratio Reduction in OFDM Systems: A Survey And Taxonomy. IEEE Communications Surveys & Tutorials 2013, 15, 1567–1592. [CrossRef]
- Braun, K.M. OFDM radar algorithms in mobile communication networks. PhD thesis, Karlsruhe, Karlsruher Institut für Technologie (KIT), Diss., 2014, 2014.
- Ouyang, X.; Zhao, J. Orthogonal Chirp Division Multiplexing. IEEE Transactions on Communications 2016, 64, 3946–3957. [CrossRef]
- Oliveira, L.G.d.; Alabd, M.B.; Nuss, B.; Zwick, T. An OCDM Radar-Communication System. In Proceedings of the 2020 14th European Conference on Antennas and Propagation (EuCAP), 2020, pp. 1–5. [CrossRef]
- de Oliveira, L.G.; Nuss, B.; Alabd, M.B.; Li, Y.; Yu, L.; Zwick, T. MIMO-OCDM-based Joint Radar Sensing and Communication. In Proceedings of the 2021 15th European Conference on Antennas and Propagation (EuCAP), 2021, pp. 1–5. [CrossRef]
- Omar, M.S.; Ma, X. Designing OCDM-Based Multi-User Transmissions. In Proceedings of the 2019 IEEE Global Communications Conference (GLOBECOM), 2019, pp. 1–6. [CrossRef]
- Hadani, R.; Rakib, S.; Tsatsanis, M.; Monk, A.; Goldsmith, A.J.; Molisch, A.F.; Calderbank, R. Orthogonal Time Frequency Space Modulation. In Proceedings of the 2017 IEEE Wireless Communications and Networking Conference (WCNC), 2017, pp. 1–6. [CrossRef]
- Correas-Serrano, A.; Petrov, N.; Gonzalez-Huici, M.; Yarovoy, A. MIMO OTFS With Arbitrary Time-Frequency Allocation for Joint Radar and Communications. IEEE Transactions on Radar Systems 2023, 1, 707–718. [CrossRef]
- Bilik, I. Comparative Analysis of Radar and Lidar Technologies for Automotive Applications. IEEE Intelligent Transportation Systems Magazine 2023, 15, 244–269. [CrossRef]
- Bialer, O.; Jonas, A.; Tirer, T. Super Resolution Wide Aperture Automotive Radar. IEEE Sensors Journal 2021, 21, 17846–17858. [CrossRef]
- Xu, Z.; Chen, Y.; Zhang, P. A Sparse Uniform Linear Array DOA Estimation Algorithm for FMCW Radar. IEEE Signal Processing Letters 2023, 30, 823–827. [CrossRef]
- Mateos-Núñez, D.; González-Huici, M.A.; Simoni, R.; Khalid, F.B.; Eschbaumer, M.; Roger, A. Sparse array design for Automotive MIMO Radar. In Proceedings of the 2019 16th European Radar Conference (EuRAD), 2019, pp. 249–252.
- Liu, Z.; Wu, J.; Yang, S.; Lu, W. DOA Estimation Method Based on EMD and MUSIC for Mutual Interference in FMCW Automotive Radars. IEEE Geoscience and Remote Sensing Letters 2022, 19, 1–5. [CrossRef]
- Gottinger, M.; et al. Coherent Automotive Radar Networks: The Next Generation of Radar-Based Imaging and Mapping. IEEE Journal of Microwaves 2021, 1, 149–163. [CrossRef]
- S, S.N.T.; S, V.G.; Pardhasaradhi, B.; Srihari, P. SAR Imaging with Automotive Radar: Range Migration Algorithm, Experiment, and Future Directions in Automotive Vehicle. In Proceedings of the 2022 IEEE 7th International Conference on Recent Advances and Innovations in Engineering (ICRAIE), 2022, Vol. 7, pp. 382–387. [CrossRef]
- Fuchs, J.; Gardill, M.; Lübke, M.; Dubey, A.; Lurz, F. A Machine Learning Perspective on Automotive Radar Direction of Arrival Estimation. IEEE Access 2022, 10, 6775–6797. [CrossRef]
- Aydogdu, C.; et al. Radar Interference Mitigation for Automated Driving: Exploring Proactive Strategies. IEEE Signal Processing Magazine 2020, 37, 72–84. [CrossRef]
- Kunert, I.M. MOSARIM: More safety for all by radar interference mitigation. Technical report, European Commission, 2012.
- Tovar Torres, L.L.; Grebner, T.; Waldschmidt, C. Automotive Radar Interference Avoidance Strategies for Complex Traffic Scenarios. In Proceedings of the 2023 IEEE Radar Conference (RadarConf23), 2023, pp. 1–6. [CrossRef]
- Bechter, J.; Rameez, M.; Waldschmidt, C. Analytical and Experimental Investigations on Mitigation of Interference in a DBF MIMO Radar. IEEE Transactions on Microwave Theory and Techniques 2017, 65, 1727–1734. [CrossRef]
- Wang, J. CFAR-Based Interference Mitigation for FMCW Automotive Radar Systems. IEEE Transactions on Intelligent Transportation Systems 2022, 23, 12229–12238. [CrossRef]
- Xu, Z.; Xue, S.; Wang, Y. Incoherent Interference Detection and Mitigation for Millimeter-Wave FMCW Radars. Remote Sensing 2022, 14. [CrossRef]
- Fei, T.; Guang, H.; Sun, Y.; Grimm, C.; Warsitz, E. An Efficient Sparse Sensing Based Interference Mitigation Approach For Automotive Radar. In Proceedings of the 2020 17th European Radar Conference (EuRAD), 2021, pp. 274–277. [CrossRef]
- Chen, S.; Klemp, M.; Taghia, J.; Kühnau, U.; Pohl, N.; Martin, R. Improved Target Detection Through DNN-Based Multi-Channel Interference Mitigation in Automotive Radar. IEEE Transactions on Radar Systems 2023, 1, 75–89. [CrossRef]
- Liu, S.; Zhang, Z.; Fei, T.; Gong, Z.; Kou, L.; Shan, D.; Li, L.; Huang, Y. Design and performance validation of CWT-MCA based interference mitigation for automotive radars. Digital Signal Processing 2024, 153, 104644. [CrossRef]
- Aydogdu, C.; Keskin, M.F.; Garcia, N.; Wymeersch, H.; Bliss, D.W. RadChat: Spectrum Sharing for Automotive Radar Interference Mitigation. IEEE Transactions on Intelligent Transportation Systems 2021, 22, 416–429. [CrossRef]
- Aydogdu, C.; Keskin, M.F.; Wymeersch, H. Automotive Radar Interference Mitigation via Multi - Hop Cooperative Radar Communications. In Proceedings of the 2020 17th European Radar Conference (EuRAD), 2021, pp. 270–273. [CrossRef]
- Huang, J.; et al. V2X-communication assisted interference minimization for automotive radars. China Communications 2019, 16, 100–111. [CrossRef]
- Mazher, K.U.; Heath, R.W.; Gulati, K.; Li, J. Automotive Radar Interference Characterization and Reduction by Partial Coordination. In Proceedings of the 2020 IEEE Radar Conference (RadarConf20), 2020, pp. 1–6. [CrossRef]
- Bourdoux, A.; Parashar, K.; Bauduin, M. Phenomenology of mutual interference of FMCW and PMCW automotive radars. In Proceedings of the 2017 IEEE Radar Conference (RadarConf), 2017, pp. 1709–1714. [CrossRef]
- Rameez, M. Signal Processing Approaches for Interference Mitigation in Automotive Radar Systems. PhD thesis, Blekinge Institute of Technology, Sweden, 2023.
- Chen, S.; Taghia, J.; Kühnau, U.; Fei, T.; Grünhaupt, F.; Martin, R. Automotive Radar Interference Reduction Based on Sparse Bayesian Learning. In Proceedings of the 2020 IEEE Radar Conference (RadarConf20), 2020, pp. 1–6. [CrossRef]
- Chen, S.; Taghia, J.; Kühnau, U.; Pohl, N.; Martin, R. A Two-Stage DNN Model With Mask-Gated Convolution for Automotive Radar Interference Detection and Mitigation. IEEE Sensors Journal 2022, 22, 12017–12027. [CrossRef]
- Wang, J.; Ding, M.; Yarovoy, A. Matrix-Pencil Approach-Based Interference Mitigation for FMCW Radar Systems. IEEE Transactions on Microwave Theory and Techniques 2021, 69, 5099–5115. [CrossRef]
- Yildirim, H.C.; Bauduin, M.; Bourdoux, A.; Horlin, F. Impact of Phase Noise on Mutual Interference of FMCW and PMCW Automotive Radars. In Proceedings of the 2019 16th European Radar Conference (EuRAD), 2019, pp. 181–184.
- Mazher, K.U.; Graff, A.; González-Prelcic, N.; Heath, R.W. Automotive Radar Interference Characterization: FMCW or PMCW? In Proceedings of the ICASSP 2024 - 2024 IEEE International Conference on Acoustics, Speech and Signal Processing (ICASSP), 2024, pp. 13406–13410. [CrossRef]
- Beise, H.P.; Stifter, T.; Schröder, U. Virtual interference study for FMCW and PMCW radar. In Proceedings of the 2018 11th German Microwave Conference (GeMiC), 2018, pp. 351–354. [CrossRef]
- Madhow, U. Blind adaptive interference suppression for direct-sequence CDMA. Proceedings of the IEEE 1998, 86, 2049–2069. [CrossRef]
- Fukawa, K.; Suzuki, H. Orthogonalizing matched filter (OMF) detection for DS-CDMA mobile radio systems. In Proceedings of the 1994 IEEE GLOBECOM. Communications: The Global Bridge, 1994, pp. 385–389 vol.1. [CrossRef]
- Hakobyan, G.; Yang, B. A novel narrowband interference suppression method for OFDM radar. In Proceedings of the 2016 24th European Signal Processing Conference (EUSIPCO), 2016, pp. 2230–2234. [CrossRef]
- Nuss, B.; Sit, L.; Zwick, T. A novel technique for interference mitigation in OFDM radar using compressed sensing. In Proceedings of the 2017 IEEE MTT-S International Conference on Microwaves for Intelligent Mobility (ICMIM), 2017, pp. 143–146. [CrossRef]
- Ubadah, M.; Mohammed, S.K. Impact of Sinusoidal Co-channel CW Interference on the Spectral Efficiency of OTFS Modulation. In Proceedings of the 2023 National Conference on Communications (NCC), 2023, pp. 1–6. [CrossRef]
- Kumbul, U.; Petrov, N.; Vaucher, C.S.; Yarovoy, A. Performance Analysis of Phase-Coded FMCW for Joint Sensing and Communication. In Proceedings of the 2023 24th International Radar Symposium (IRS), 2023, pp. 1–10. [CrossRef]
- Dokhanchi, S.H.; Shankar, M.R.B.; Stifter, T.; Ottersten, B. OFDM-based automotive joint radar-communication system. In Proceedings of the 2018 IEEE Radar Conference (RadarConf18), 2018, pp. 0902–0907. [CrossRef]
- Dokhanchi, S.H.; Mysore, B.S.; Mishra, K.V.; Ottersten, B. A mmWave Automotive Joint Radar-Communications System. IEEE Transactions on Aerospace and Electronic Systems 2019, 55, 1241–1260. [CrossRef]
- Zhang, J.A.; et al. Enabling Joint Communication and Radar Sensing in Mobile Networks—A Survey. IEEE Communications Surveys & Tutorials 2022, 24, 306–345. [CrossRef]
- Su, Y.T.; Shatov, V.; Lübke, M.; Franchi, N. Improving Resource Efficiency of PMCW-Based JCRS Systems: Simultaneous Transmission of Pilot and Data via Orthogonal Codes, July, 2023. [CrossRef]
- de Oliveira, L.G.; et al. Bistatic OFDM-based Joint Radar-Communication: Synchronization, Data Communication and Sensing. In Proceedings of the 2023 20th European Radar Conference (EuRAD), 2023, pp. 359–362. [CrossRef]
- Oliari, V.; Pandharipande, A.; van Houtum, W. OFDM Radar Sensing in Joint Communication and Sensing Systems Without Cyclic Prefix Overhead. IEEE Sensors Journal 2024, 24, 22648–22657. [CrossRef]
- Xu, X.; Li, Y.; Tao, R.; Shan, T. Design of OFDM Waveforms With Subcarrier Interleaving: To Achieve Good PMEPR and SNR Performances for the Joint Radar and Communications. In Proceedings of the 2024 32nd European Signal Processing Conference (EUSIPCO), 2024, pp. 2432–2436. [CrossRef]
- Dapa, K.B.S.A.; Point, G.; Bensator, S.; Boukour, F.E. Vehicular Communications Over OFDM Radar Sensing in the 77 GHz mmWave Band. IEEE Access 2023, 11, 4821–4829. [CrossRef]
- Lv, X.; Wang, J.; Jiang, Z.; Jiao, W. A novel PAPR reduction method for OCDM-based radar-communication signal. In Proceedings of the 2018 IEEE MTT-S International Microwave Workshop Series on 5G Hardware and System Technologies (IMWS-5G), 2018, pp. 1–3. [CrossRef]
- Lv, X.; Wang, J.; Jiang, Z.; Wu, W. A Joint Radar-Communication System Based on OCDM-OFDM Scheme. In Proceedings of the 2018 International Conference on Microwave and Millimeter Wave Technology (ICMMT), 2018, pp. 1–3. [CrossRef]
- Shi, J.; Hu, X.; Tie, Z.; Chen, X.; Liang, W.; Li, Z. Reliability performance analysis for OTFS modulation based integrated sensing and communication. Digital Signal Processing 2024, 144, 104280. [CrossRef]
- Zhang, J.; Cai, L.; Liu, H. Integrated Sensing and Communication via Orthogonal Time Frequency Space Signaling with Hybrid Message Passing Detection and Fractional Parameter Estimation. Sensors 2023, 23. [CrossRef]
- Wang, Z.; Liu, Z.; Hao, S.; Chen, X.; Zhang, R. OTFS Waveform Design Based on WFRFT for Integrated Sensing and Communication. In Proceedings of the 2023 IEEE/CIC International Conference on Communications in China (ICCC), 2023, pp. 1–6. [CrossRef]
- Xu, Z.; Baker, C.J.; Pooni, S. Range and Doppler Cell Migration in Wideband Automotive Radar. IEEE Transactions on Vehicular Technology 2019, 68, 5527–5536. [CrossRef]
- Wang, J.; Liu, X. Automatic Correction of Range Migration in SAR Imaging. IEEE Geoscience and Remote Sensing Letters 2010, 7, 256–260. [CrossRef]
- Gao, P.; Zhang, S.; Wang, W.; Lu, C.X. DC-Loc: Accurate Automotive Radar Based Metric Localization with Explicit Doppler Compensation. In Proceedings of the 2022 International Conference on Robotics and Automation (ICRA), 2022, pp. 4128–4134. [CrossRef]
- Kahlert, M.; Fei, T.; Hirner, J.; Tebruegge, C.; Gardill, M. Multi-Target Doppler Ambiguity Identification for a PMCW Automotive Radar System. In Proceedings of the 2023 31st European Signal Processing Conference (EUSIPCO), 2023, pp. 795–799. [CrossRef]
- Xu, S.; Yarovoy, A. Doppler Shifts Mitigation for PMCW Signals. In Proceedings of the 2019 International Radar Conference (RADAR), 2019, pp. 1–5. [CrossRef]
- Schweizer, B.; Schindler, D.; Knill, C.; Waldschmidt, C. A Doppler-Tolerant Stepped-Carrier OFDM-Radar Scheme Based on All-Cell-Doppler-Correction. In Proceedings of the 2019 20th International Radar Symposium (IRS), 2019, pp. 1–9. [CrossRef]
- Zahra, M.M.A.; Abdul-Rahaim, L.A. Design and Optimization of Downlink Massive MIMO System Based on OTFS Modulation Enabling Modified 3D-SOMP Channel Estimation. In Proceedings of the 2023 3rd International Conference on Advance Computing and Innovative Technologies in Engineering (ICACITE), 2023, pp. 2574–2579. [CrossRef]
- Brennan, P.V.; Huang, Y.; Ash, M.; Chetty, K. Determination of Sweep Linearity Requirements in FMCW Radar Systems Based on Simple Voltage-Controlled Oscillator Sources. IEEE Transactions on Aerospace and Electronic Systems 2011, 47, 1594–1604. [CrossRef]
- Probst, F.; Engelmann, A.; Weigel, R. 27 Gb/s PRBS Generator with In-Operation Programmable Taps for PMCW Radar. In Proceedings of the 2024 IEEE 24th Topical Meeting on Silicon Monolithic Integrated Circuits in RF Systems (SiRF), 2024, pp. 75–78. [CrossRef]
- Giannini, V.; et al. 9.2 A 192-Virtual-Receiver 77/79GHz GMSK Code-Domain MIMO Radar System-on-Chip. In Proceedings of the 2019 IEEE International Solid-State Circuits Conference - (ISSCC), 2019, pp. 164–166. [CrossRef]
- Shang, X.; Zhu, H.; Li, J. Range-Doppler Imaging via One-Bit PMCW Radar. In Proceedings of the 2020 IEEE 11th Sensor Array and Multichannel Signal Processing Workshop (SAM), 2020, pp. 1–5. [CrossRef]
- Schweizer, B.; Knill, C.; Schindler, D.; Waldschmidt, C. Stepped-Carrier OFDM-Radar Processing Scheme to Retrieve High-Resolution Range-Velocity Profile at Low Sampling Rate. IEEE Transactions on Microwave Theory and Techniques 2018, 66, 1610–1618. [CrossRef]
- Nuss, B.; Diewald, A.; Schoepfel, J.; Martini, D.; Pohl, N.; Zwick, T. 76GHz OFDM Radar Demonstrator with Real-Time Processing for Automotive Applications. In Proceedings of the 2020 IEEE MTT-S International Conference on Microwaves for Intelligent Mobility (ICMIM), 2020, pp. 1–4. [CrossRef]
- Ryu, H.G. OCDM System Design by iDFT Transform and 2 Phase Controllers for 6G Wireless Waveform. In Proceedings of the 2024 13th International Conference on Modern Circuits and Systems Technologies (MOCAST), 2024, pp. 1–4. [CrossRef]
- Surabhi, G.D.; Augustine, R.M.; Chockalingam, A. Peak-to-Average Power Ratio of OTFS Modulation. IEEE Communications Letters 2019, 23, 999–1002. [CrossRef]
- Asfani, M.; Neelam, S.G. Efficient FPGA Implementation of SISO-OTFS Modem for Aircraft Communications in High-Doppler Scenarios. In Proceedings of the 2024 IEEE Space, Aerospace and Defence Conference (SPACE), 2024, pp. 1113–1116. [CrossRef]
- Nauman, M.; et al. 6G and Beyond: Hardware-in-the-Loop Experiments with OTFS Modulation Using SDR. In Proceedings of the 2023 Workshop on Microwave Theory and Technology in Wireless Communications (MTTW), 2023, pp. 72–77. [CrossRef]
- Roos, F.; et al. Effort Considerations of Compressed Sensing for Automotive Radar. In Proceedings of the 2019 IEEE Radio and Wireless Symposium (RWS), 2019, pp. 1–3. [CrossRef]


















| Modulation | Ref. | Year | Authors | Title | Contribution | |||||
|---|---|---|---|---|---|---|---|---|---|---|
| FMCW | PMCW | PC-FMCW | OFDM | OCDM | OTFS | |||||
| × | × | × | [6] | 2021 | Waldschmidt et al. | Automotive Radar — From First Efforts to Future Systems | Review of radar development over years with a focus on research topics of automotive radar such as digital modulation schemes, radar networks, radar imaging, and machine learning. | |||
| × | × | × | [21] | 2023 | Giuffrida et al. | A Survey of Automotive Radar and Lidar Signal Processing and Architectures | Review of radar and lidar technology with a focus on modulation schemes and imaging systems, highlighting weaknesses and strengths and presentation of sensor fusion concepts | |||
| × | × | × | [22] | 2019 | Hakobyan et al. | High-Performance Automotive Radar: A Review of Signal Processing Algorithms and Modulation Schemes | Review of modulation schemes with a focus on signal processing and interference mitigation. | |||
| × | × | × | × | [23] | 2017 | Patole et al. | Automotive radars: A review of signal processing techniques | Review of aspects, such as waveform design, architectures, estimation algorithms, implementation complexity-resolution, processing for complex environments, and unique problems associated with automotive radar. | ||
| × | × | × | [24] | 2021 | Kumbul et al. | Automotive radar interference study for different radar waveform types | Interference study on different waveforms and experimental demonstration of PC-FMCW waveforms. | |||
| × | × | × | × | [25] | 2020 | Carvajal et al. | Comparison of Automotive FMCW and OFDM Radar Under Interference | Performance comparison of FMCW and OFDM in terms of interference. The results show that both waveforms can perform similarly under proper windowing, but OFDM is more sensitive to interference. | ||
| × | × | × | × | [17] | 2021 | Schweizer et al. | The Fairy Tale of Simple All-Digital Radars: How to Deal With 100 Gbit/s of a Digital Millimeter-Wave MIMO Radar on an FPGA | Implementation of PMCW and OFDM modulation on Xilinx RFSoC FPGA with performance demonstration, showing that sophisticated digital design is required to realize the radar processing. | ||
| × | × | × | [12] | 2019 | Roos et al. | Radar Sensors for Autonomous Driving: Modulation Schemes and Interference Mitigation | Presentation of modulation schemes and interference mitigation for automotive radar, namely FMCW, PMCW, and OFDM. | |||
| × | [26] | 2016 | Giroto de Oliveira et al. | Joint Radar-Communication Systems: Modulation Schemes and System Design | Overview of modulation schemes for JRC systems with detailed systems models and parameters for quantifying radar and communication performance. | |||||
| Modulation | Bandwidth | Number of pulses | Pulse duration | Slow-time interval |
|---|---|---|---|---|
| Agnostic | B | |||
| FMCW | ||||
| PMCW | ||||
| PC-FMCW | ||||
| OFDM | ||||
| OCDM | ||||
| OTFS |
| Waveform | Range resolution | Unambiguous range | Velocity resolution | Unambiguous velocity |
|---|---|---|---|---|
| FMCW | ||||
| PMCW | ||||
| PC-FMCW | ||||
| OFDM | ||||
| OCDM | ||||
| OTFS |
| Parameter | FMCW | PMCW | PC-FMCW | OFDM | OCDM | OTFS |
|---|---|---|---|---|---|---|
| Modulation | Analog | Digital | Analog + Digital | Digital | Digital | Digital |
| Multiplexing | TDM / DDM | CDM | CDM | FDM | chirp / FDM via FSP / CDM | delay-Doppler |
| Communication | proof-of-concepts available | high-speed communication possible | low-speed communication possible | high-speed communication possible | high-speed communication possible | high-speed communication possible |
| Interference | susceptible | susceptible | susceptible | susceptible | N/A | N/A |
| Doppler tolerance | good — range-Doppler coupling | low — decreased PSR after range processing | good — range-Doppler coupling | low — loss of subcarrier orthogonality | good — loss of subchirp orthogonality | good — native |
| Implementation | simple, but linear frequency synthesizer required | fast-sampling ADC required + a large amount of data must be stored and processed | simple, but linear frequency synthesizer and additional components compared to FMCW are required | high PAPR + synchronization for decoding required + fast-sampling ADC required + large amount of data must be stored and processed | reduced PAPR compared to OFDM possible + integration/coexistence with OFDM system possible | reduced PAPR compared to OFDM possible |
| Range processing | DFT | Correlation | DFT | IDFT | IDFT | Wigner transform + SFFT |
| Doppler processing | DFT | DFT | DFT | DFT | DFT | Wigner transform + SFFT |
| ADC rate | slow — less than | fast — up to | mid — less than | fast — up to | fast — up to 4 | fast — up to 4 |
| Cost | cost-efficient | expensive | cost-efficient | expensive | expensive | expensive |
| Status | mature in industry | started in industry | academia | academia | academia | academia |
Disclaimer/Publisher’s Note: The statements, opinions and data contained in all publications are solely those of the individual author(s) and contributor(s) and not of MDPI and/or the editor(s). MDPI and/or the editor(s) disclaim responsibility for any injury to people or property resulting from any ideas, methods, instructions or products referred to in the content. |
© 2025 by the authors. Licensee MDPI, Basel, Switzerland. This article is an open access article distributed under the terms and conditions of the Creative Commons Attribution (CC BY) license (http://creativecommons.org/licenses/by/4.0/).