Submitted:
25 February 2025
Posted:
27 February 2025
You are already at the latest version
Abstract
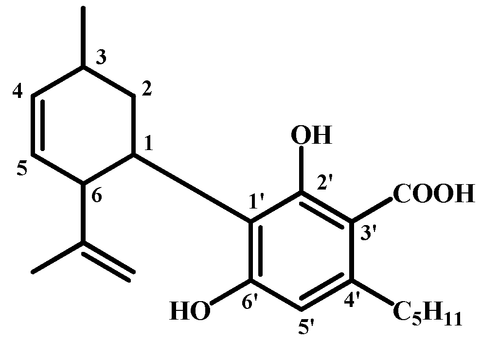
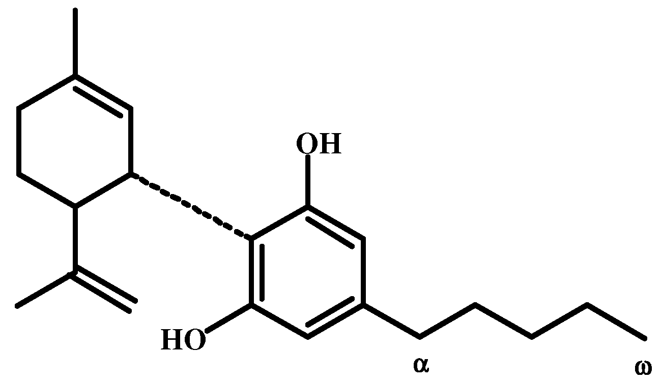
The history of cannabis research spans centuries, with a focus on isolating and understanding its active compounds. Although plants like opium and coca yielded active alkaloids relatively early, cannabis posed unique challenges due to its active substances existing in oily mixtures that were difficult to isolate. Early studies in the 19th century, such as Ferdinand Tscheppe’s 1821 research, debunked claims of opioid-like substances in hemp, setting the stage for further exploration. In the late 19th and early 20th centuries, key figures like Sir William Brooke O’Shaughnessy and Robert Sidney Cahn made significant contributions to the understanding of cannabis’s chemical components, though major breakthroughs were delayed due to technical limitations. In the 1940s, Ghosh and Adams independently elucidated the structure of cannabinol, marking the first cannabinoid identified from cannabis. Subsequent work, including Šantavý’s 1964 and Mechoulam and Gaoni’s 1964 identification of ∆9-THC, confirmed the psychoactive compound’s structure and absolute configuration. This article traces these incremental advancements, highlighting the critical role of each researcher’s contributions in piecing together the puzzle of cannabinoid chemistry, underscoring that scientific progress thrives on collaboration and shared knowledge.

Keywords:
1. Introduction
2. Part I: first steps to chemical research
3. Part II: start to understand chemistry
4. Part III: finally real chemistry



5. Part IV: golden age of identifications









6. Conclusions
Author Contributions
Funding
Institutional Review Board Statement
Informed Consent Statement
Data Availability Statement
Conflicts of Interest
References
- Abel, E.L. Marihuana: The First Twelve Thousand Years; Plenum Press: New York, 1980. [Google Scholar]
- Sertürner, F.W. Über das Morphium, eine neue salzfähige Grundlage, und die Mekonsäure, als Hauptbestandteile des Opiums. (On Morphine, a New Salt Base, and Meconic Acid, as Main Components of Opium.). Ann. Phys. 1817, 25, 56–90. [Google Scholar]
- Sertuerner, F.W. De la morphine et de l’acide meconique, consideres comme parties essentielles de l’opium. (Morphine and meconic acid, considered essential parts of opium.) Ann. Chim. Phys. 1817, 5, 21–42. [Google Scholar]
- Gulland, J.M.; Robinson, R. The morphine group. Part I. A discussion of the constitutional problem. J. Chem. Soc., Transact. 1923, 123, 980–998. [Google Scholar]
- Gulland, J.M.; Robinson, R. Constitution of codeine and thebaine. Memoirs and proceedings of the Manchester Literary & Philosophical Society 1925, 69, 79–86. [Google Scholar]
- Gates, M.; Tschudi, G. The synthesis of morphine. J. Amer. Chem. Soc. 1952, 74(4), 1109–1110. [Google Scholar] [CrossRef]
- Gates, M.; Tschudi, G. The synthesis of morphine. J. Amer. Chem. Soc. 1956, 78(7), 1380–1393. [Google Scholar]
- Gaedcke, F. Ueber das Erythroxylin, dargestellt aus den Blättern des in Südamerika cultivirten Strauches Erythroxylon Coca Lam. (On erythroxylin, prepared from the leaves of the shrub Erythroxylon Coca Lam, cultivated in South America.). Arch. Pharm. 1855, 1855, 141–141. [Google Scholar]
- Niemann, A. Ueber eine neue organische Base in den Cocablättern. (On a New Organic Base in Coca Leaves.). Arch. Pharm. 1860, 153, 129–155. [Google Scholar]
- Niemann, A. Ueber eine neue organische Base in den Cocablättern. Arch. Pharm. 1860, 153(3), 291–308. [Google Scholar] [CrossRef]
- Niemann, A. Über eine neue organische Base in den Cocablättern. Inaugural-Dissertation, Druck der Universitäts-Buchdruckerei von A. Huth, Göttingen, 1860.
- Willstätter, R.; Müller, W. Ueber Tropylamine. (About Tropylamine.). Ber. d. Dt. Chem. Ges. 1898, 31, 1202–1214. [Google Scholar]
- Willstätter, R. Ueber die Constitution der Spaltungsproducte von Atropin und Cocaine. (On the Constitution of the Cleavage Products of Atropine and Cocaine.) Ber. d. Dt. Chem. Ges. 1898, 31, 1534–1553. [Google Scholar]
- Hanuš, L.O. Pharmacological and Therapeutic Secrets of Plant and Brain (Endo)Cannabinoids. Med. Res. Rev. 2009, 29(2), 213–271. [Google Scholar] [CrossRef] [PubMed]
- Lee, M.A. Smoke Signals: A Social History of Marijuana—Medical, Recreational, and Scientific; Scribner, New York, August 2012.
- Tscheppe, F. Chemische Untersuchung der Hanfblätter. (Chemical analysis of hemp leaves.) Eine Inaugural-Dissertationwelche zur Erlangung der Doctorwürde in der Medizin, Tübingen, Februar 1821, 28 pages.
- O’Shaughnessy, W.B. On the preparations of the Indian hemp, or gunjah (Cannabis indica); their effects on the animal system in health, and their utility in the treatment of tetanus and other convulsive diseases. Transact. Med. Phys. Soc. Bengal 1838-1840, 421-461.
- Schlesinger, S. Untersuchung der Cannabis sativa. (Examination of Cannabis sativa.) Repert. Pharm. 1840, 71, 190–208. [Google Scholar]
- Bohlig, J.F. Cannabis sativa und Urtica dioica chemisch analysiert. (Cannabis sativa and Urtica dioica chemically analysed.) Jahrbuch für praktische Pharmacie und verwandte Fächer 1840, 3, 1–58. [Google Scholar]
- Smith, T.; Smith, H. Process for preparing cannabine (?), or hemp resin. Pharm. J. Transact. 1847, VI(IV), 171–173. [Google Scholar]
- Moreau, J. Du Hachisch et de l’aliénation mentale: études psychologiques. (Hashish and mental insanity: psychological studies.); Fortin, Masson: Paris, 1845.
- DeCourtive, E. Haschish: étude historique, chimique et physiologique. (Hashish: historical, chemical and physiological study.) Thèse présentée a L’école de pharmacie de Paris, imprimerie d’Édouard Bautruche, Paris, 1848, 56 pages.
- DeCourtive, E. Note sur le haschisch. (Note on Hashish.) C. R. Acad. Sci. 1848, 26, 509–510. [Google Scholar]
- DeCourtive, E. Sur le haschisch. (On Hashish.) J. Pharm. Chim. 1848, 13, 427–441. [Google Scholar]
- Bolas, T.; Francis, E.E.H. On the products of the action of nitric acid on the resinous extract of Indian hemp. J. Chem. Soc. 1869, 22, 417–419. [Google Scholar] [CrossRef]
- Wood, T.B.; Spivey, W.T.N.; Easterfield, T.H. . Charas. The resin of Indian hemp. J. Chem. Soc. 1896, 69, 539–546. [Google Scholar]
- Marshall, C.R. The active principle of Indian hemp: a preliminary communication. Lancet 1897, 149, 235–238. [Google Scholar]
- Marshall, C.R. A contribution to the pharmacology of Cannabis indica. J. Amer. Med. Assoc. 1898, 31, 882–891. [Google Scholar]
- Dunstan, W.R.; Henry, T.A. On oxycannabin from Indian hemp. Proc. Chem. Soc. 1898, 14, 44–45. [Google Scholar]
- Wood, T.B.; Spivey, W.T.N.; Easterfield, T.H. Cannabinol. Part I. J. Chem. Soc. 1899, 75, 20–36. [Google Scholar]
- Wood, T.B. Obituary notice: William Thomas Newton Spivey. J. Chem. Soc., Transact. 1902, 81, 635–636. [Google Scholar]
- Walton, R.P. Marihuana, America’s New Drug Problem; J. B. Lippincott Company: Philadelphia, 1938. [Google Scholar]
- Cahn, R.S. Cannabis indica resin, Part I. The Constitution of Nitrocannabinolactone (Oxycannabin). J. Chem. Soc. 1930, 986-992.
- Cahn, R.S. Cannabis indica resin, Part II. J. Chem. Soc. 1931, 630–638. [Google Scholar]
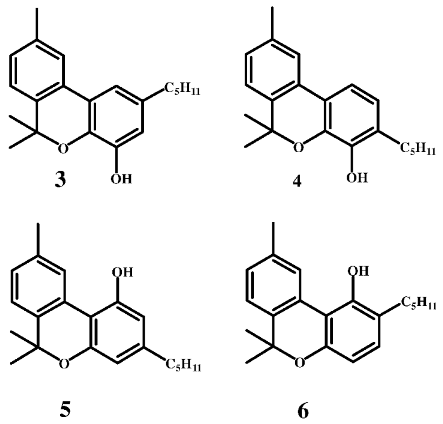
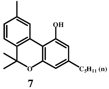
- Cahn, R.S. Cannabis indica resin, Part III. The constitution of Cannabinol. J. Chem. Soc. 1932, 1342–1353. [Google Scholar]
- Cahn, R.S. Cannabis indica resin. Part IV. The synthesis of some 2:2-dimethyldibenzopyrans, and conformation of the structure of cannabinol. J. Chem. Soc. 1933, 1400-1405.
- Hanuš, L.; Tesařík, K.; Krejčí, Z. Capillary gas chromatography of natural substances from Cannabis sativa L. I. Cannabinol and cannabinolic acid—artefacts. Acta Univ. Palacki. Olomuc. Fac. Med. 1985, 108, 29–38. [Google Scholar]
- Patil, A.S.; Mahajan, U.B.; Agrawal, Y.O; Patil, K.R.; Patil, C.R.; Ojha, S.; Sharma, C.; Goyal, S.N. Plant-derived natural therapeutics targeting cannabinoid receptors in metabolic syndrome and its complications: A review. Biomed. Pharmacother. 2020, 132, 110889. [Google Scholar] [CrossRef]
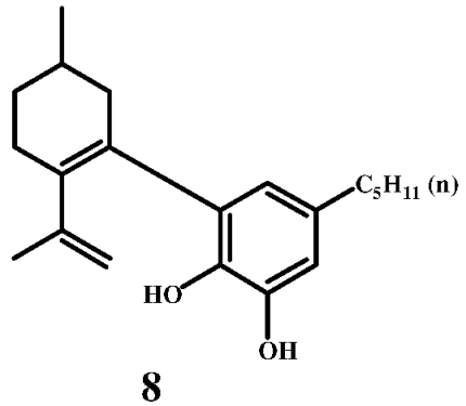
- Jacob, A.; Todd, A.R. Cannabis indica. Part II. Isolation of cannabidiol from Egyptian hashish. Observations on the structure of cannabinol. J. Chem. Soc. 1940, 649–653. [Google Scholar]
- Ghosh, R.; Todd, A.R.; Wilkinson, S. Cannabis indica, Part V. The synthesis of cannabinol. J. Chem. Soc. 1940, 1393–1396. [Google Scholar]
- Adams, R.; Baker, B.R.; Wearn, R.B. Structure of Cannabinol. III. Synthesis of Cannabinol, 1-Hydroxy-3-n-amyl-6,6,9-trimethyl-6-dibenzopyran. J. Amer. Chem. Soc. 1940, 62, 2204–2207. [Google Scholar] [CrossRef]
- Adams, R.; Hunt, M.; Clark, J.H. Structure of cannabidiol, a product isolated from the marihuana extract of Minnesota wild hemp. I. J. Amer. Chem. Soc. 1940, 62, 196–200. [Google Scholar] [CrossRef]
- Adams, R.; Wolff, H.; Cain, C.K.; Clark, J.H. Structure of Cannabidiol. V. Position of the Alicyclic Double Bonds. J. Amer. Chem. Soc. 1940, 62, 2215–2219. [Google Scholar] [CrossRef]
- Adams, R.; Pease, D.C.; Cain, C.K.; Baker, B.R.; Clark, J.H.; Wolff, H.; Wearn, R.B. Conversion of cannabidiol to a product with marihuana activity. A type reaction for synthesis of analogous substances. Conversion of cannabidiol to cannabinol. J. Amer. Chem. Soc. 1940, 62, 2245–2246. [Google Scholar] [CrossRef]
- Adams, R.; Pease, D.C.; Cain, C.K.; Clark, J.H. Structure of Cannabidiol. VI. Isomerization of Cannabidiol to Tetrahydrocannabinol, a Physiologically Active Product. Conversion of Cannabidiol to Cannabinol. J. Amer. Chem. Soc. 1940, 62, 2402–2405. [Google Scholar] [CrossRef]
- Adams, R.; B. R. Baker, B.R. Structure of Cannabidiol. VII. A Method of Synthesis of Tetrahydrocannabinol which Possesses Marihuana Activity. J. Amer. Chem. Soc. 1940, 62, 2405–2408. [Google Scholar] [CrossRef]
- Adams, R.; Loewe, S.; Pease, D.C.; Cain, C.K.; Wearn, R.B.; Baker, B.R.; Wolff, H. Structure of cannabidiol. VIII. Position of the double bonds in cannabidiol. Marihuana activity of tetrahydrocannabinols. J. Amer. Chem. Soc. 1940, 62, 2566–2567. [Google Scholar] [CrossRef]
- Ghosh, R.; Todd, A.R.; Wilkinson, S. Cannabis Indica. Part IV. The Synthesis of Some Tetrahydrodibenzopyran Derivatives. J. Chem. Soc. 1940, 1121–1125. [Google Scholar] [CrossRef]
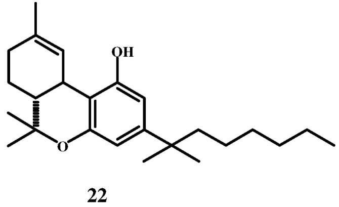
- Adams, R.; MacKenzie, S., Jr.; Loewe, S. Tetrahydrocannabinol Homologs with Doubly Branched Alkyl Groups in the 3-Position. J. Amer. Chem. Soc. 1949, 70, 664–669. [Google Scholar] [CrossRef]
- Krejčí, Z. Antibiotický účinek Cannabis indica. (The antibiotic effect of Cannabis indica.) Dissertation, Masaryk University Brno, Brno, 1950, 106 pages.
- Krejčí, Z|. Antibakteriální účinek Cannabis indica. (The antibacterial effect of Cannabis indica.) Lék. listy 1952, 7, 500. [Google Scholar]
- Krejčí, Z. Antibakteriální účin látek z Cannabis indica L. (The antibacterial effect of Cannabis indica L.) Acta Univ. Palacki. Olomuc. 1955, 6, 43–57. [Google Scholar]
- Kabelík, J.; Krejčí, Z.; Šantavý, F. Cannabis as a medicament. Bull.Narcot. 1960, 12, 5–23. [Google Scholar]
- Krejčí, Z.; Šantavý, F. Isolace dalších látek z listí indického konopí Cannabis sativa L. (Isolation of other substances from the leaves of the Indian hemp Cannabis sativa L., varietas indica.) Acta Univ. Palacki. Olomuc. 1955, 6, 59–66. [Google Scholar]
- Mechoulam, R.; Shvo, Y. The structure of cannabidiol. Tetrahedron 1963, 19, 2073–2078. [Google Scholar]
- Šantavý, F. Notes on the structure of cannabidiol compounds. Acta Univ. Palacki. Olomuc. Fac. Med. 1964, 35, 5–9. [Google Scholar]
- Šimánek, V. Formal editor of Acta Universitatis Palackianae Olomucensis, private communication, 2011.
- Mechoulam, R.; Gaoni, Y. The absolute configuration of Δ1-tetrahydrocannabinol, the major active constituent of hashish. Tetrahedron Lett. 1967, 12, 1109–1111. [Google Scholar]
- Gaoni, Y.; Mechoulam, R. Isolation, Structure, and Partial Synthesis of an Active Constituent of Hashish. J. Amer. Chem. Soc. 1964, 86, 1646–1647. [Google Scholar]
- Gaoni, Y. Private communication, October 12, 2006.
- Hofmann, A. LSD—Mein Sorgenkind. Klett-Cotta: Stuttgart, 1. Auflage, 1979.
- Hofmann, A. LSD: My Problem Child. McGraw-Hill Book Company: New York, 1st Edition, 1980.











Disclaimer/Publisher’s Note: The statements, opinions and data contained in all publications are solely those of the individual author(s) and contributor(s) and not of MDPI and/or the editor(s). MDPI and/or the editor(s) disclaim responsibility for any injury to people or property resulting from any ideas, methods, instructions or products referred to in the content. |
© 2025 by the authors. Licensee MDPI, Basel, Switzerland. This article is an open access article distributed under the terms and conditions of the Creative Commons Attribution (CC BY) license (http://creativecommons.org/licenses/by/4.0/).
