Submitted:
20 February 2025
Posted:
24 February 2025
You are already at the latest version
Abstract
Keywords:
1. Introduction
2. Materials and Methods
2.1. Observations in Antofagasta and San Diego
2.1.1. Surface Observations
2.1.2. Lower Atmosphere
2.2. Detecting Cloud Fragmentation and Dissipation
2.3. Detecting the Onset of Sea Breeze
2.4. Day Selection
2.5. Correlation and Causality
3. Results and Discussion
3.1. Meteorological Conditions and Cloud Properties
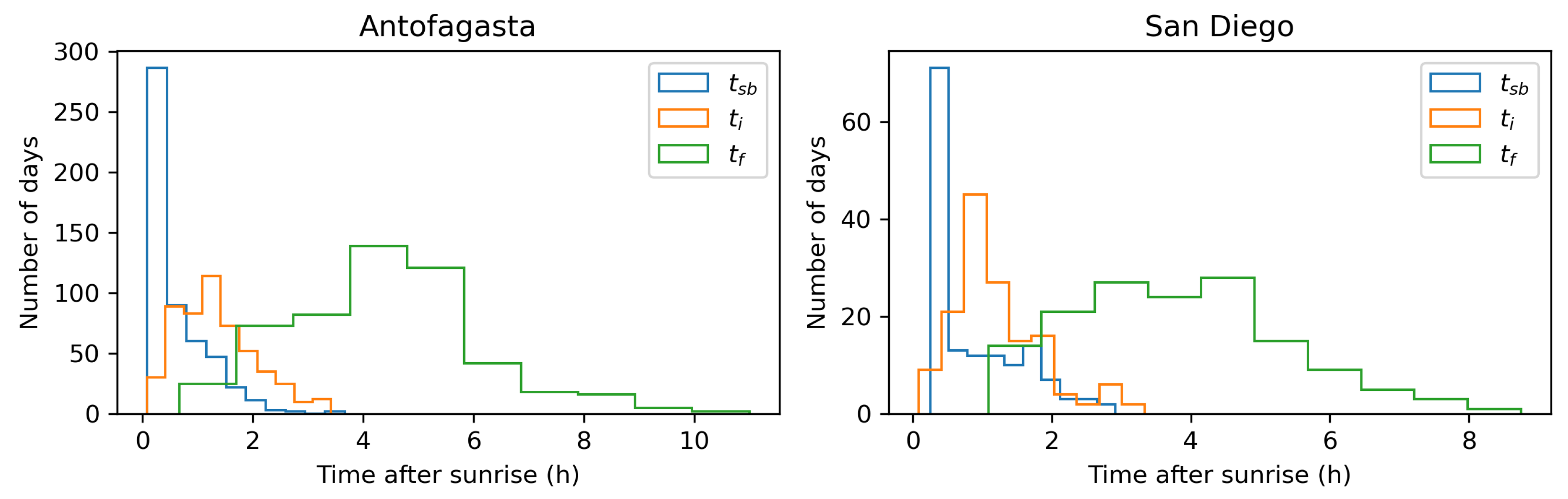
3.2. Sea Breeze Patterns
3.3. Sample Day Transitions
3.4. The Fragmentation and Dissipation Process
3.5. Relevant Correlations
3.6. Causality Between Sea Breeze and Cloudiness
4. Conclusions
Author Contributions
Funding
Institutional Review Board Statement
Data Availability Statement
Acknowledgments
Conflicts of Interest
Abbreviations and symbols
Abbreviations
| ABL | Atmospheric Boundary Layer |
| CCM | Cross Convergent Mapping |
| LST | Local Standard Time |
| LT | Linke Turbidity |
| RH | Relative Humidity |
| Sc | Stratocumulus |
Nomenclature
| Surface wind speed direction | |
| ABL mean wind speed direction from radiosonde data | |
| Inversion jump of potential temperature | |
| Difference of potential temperature within the ABL, an indicator of decoupling | |
| Inversion jump of water mixing ratio | |
| Difference of water mixing ratio within the ABL, an indicator of decoupling | |
| Duration of the fragmentation process | |
| E | Embedding dimension for CCM |
| GHI | Global Horizontal Irradiance |
| GHIcs | Clear sky GHI |
| h | Cloud thickness estimated with radiosonde data |
| Cloud thickness estimated with ceilometer and radiosonde data | |
| k | Clear sky index |
| Number of cloud layers from radiosonde data | |
| Correlation | |
| p | Atmospheric pressure |
| q | ABL mean water mixing ratio |
| Water mixing ratio at 3 km | |
| Standard deviation of variable x during the fragmentation process | |
| T | Temperature |
| Dew point temperature | |
| Sunrise time | |
| Initial fragmentation time | |
| Dissipation time | |
| Initial sea breeze time | |
| Time lag for CCM | |
| ABL mean potential temperature | |
| Potential temperature at 3 km | |
| u | Zonal wind |
| v | Meridional wind |
| w | Wind speed magnitude |
| ABL mean wind speed magnitude from radiosonde data | |
| Average of variable x during the fragmentation process | |
| Maximum of variable x during the fragmentation process | |
| Minimum of variable x during the fragmentation process | |
| Value of variable x at sunrise | |
| Value of variable x when fragmentation starts | |
| Value of variable x at dissipation | |
| Value of variable x when sea breeze starts | |
| Cloud base height estimated from radiosonde data | |
| Cloud base height from the ceilometer | |
| Inversion base height | |
| Inversion top height | |
| Lifting condensation level height |
Appendix A
| Max k | Detected cases | Detection percentage |
|---|---|---|
| 0.6 | 98 | 38% |
| 0.8 | 122 | 48% |
| 1.0 | 140 | 55% |
| 1.2 | 149 | 59% |
| 1.4 | 150 | 59% |
| 1.6 | 150 | 59% |
| Time (min) | Detected cases | Detection percentage |
|---|---|---|
| 10 | 149 | 59% |
| 15 | 149 | 59% |
| 20 | 149 | 59% |
| 25 | 141 | 56% |
| 30 | 133 | 53% |
| 35 | 130 | 52% |
| Time (min) | Cases with | Cases with | Cases with |
|---|---|---|---|
| 10 | 34 | 5 | 110 |
| 15 | 39 | 6 | 104 |
| 20 | 44 | 6 | 99 |
| 25 | 52 | 6 | 91 |
| 30 | 57 | 6 | 86 |
| 35 | 60 | 4 | 85 |
References
- Matheou, G.; Teixeira, J. Sensitivity to Physical and Numerical Aspects of Large-Eddy Simulation of Stratocumulus. Monthly Weather Review 2019, 147, 2621–2639. [Google Scholar] [CrossRef]
- Zelinka, M.D.; Randall, D.A.; Webb, M.J.; Klein, S.A. Clearing clouds of uncertainty. Nature Climate Change 2017, 7, 674–678. [Google Scholar] [CrossRef]
- Schneider, T.; Kaul, C.M.; Pressel, K.G. Possible climate transitions from breakup of stratocumulus decks under greenhouse warming. Nature Geoscience 2019, 12, 163–167. [Google Scholar] [CrossRef]
- Forster, P. The Earth’s Energy Budget, Climate Feedbacks and Climate Sensitivity. In Climate Change 2021 – The Physical Science Basis: Working Group I Contribution to the Sixth Assessment Report of the Intergovernmental Panel on Climate Change; Intergovernmental Panel on Climate Change (IPCC)., Ed.; Cambridge University Press, 2023; pp. 923–1054. [CrossRef]
- Wood, R. Stratocumulus Clouds. Monthly Weather Review 2012, 140, 2373–2423. [Google Scholar] [CrossRef]
- Painemal, D.; Garreaud, R.; Rutllant, J.; Zuidema, P. Southeast Pacific Stratocumulus: High-Frequency Variability and Mesoscale Structures over San Félix Island. Journal of Applied Meteorology and Climatology 2010. Section: Journal of Applied Meteorology and Climatology. [CrossRef]
- Rahn, D.A.; Garreaud, R. Marine boundary layer over the subtropical southeast Pacific during VOCALS-REx – Part 1: Mean structure and diurnal cycle. Atmospheric Chemistry and Physics 2010, 10, 4491–4506. [Google Scholar] [CrossRef]
- Muñoz, R.C.; Zamora, R.A.; Rutllant, J.A. The Coastal Boundary Layer at the Eastern Margin of the Southeast Pacific (23.4°S, 70.4°W): Cloudiness-Conditioned Climatology. Journal of Climate 2011, 24, 1013–1033. [Google Scholar] [CrossRef]
- Clemesha, R.E.S.; Gershunov, A.; Iacobellis, S.F.; Williams, A.P.; Cayan, D.R. The northward march of summer low cloudiness along the California coast. Geophysical Research Letters 2016, 43, 1287–1295. [Google Scholar] [CrossRef]
- McMichael, L.A.; Mechem, D.B.; Wang, S.; Wang, Q.; Kogan, Y.L.; Teixeira, J. Assessing the mechanisms governing the daytime evolution of marine stratocumulus using large-eddy simulation. Quarterly Journal of the Royal Meteorological Society 2019, 145, 845–866. [Google Scholar] [CrossRef]
- Zamora Zapata, M.; Norris, J.R.; Kleissl, J. Coastal Stratocumulus Dissipation Dependence on Initial Conditions and Boundary Forcings in a Mixed-Layer Model. Journal of the Atmospheric Sciences 2020, 77, 2717–2741. [Google Scholar] [CrossRef]
- Schween, J.H.; del Rio, C.; García, J.L.; Osses, P.; Westbrook, S.; Löhnert, U. Life cycle of stratocumulus clouds over 1 year at the coast of the Atacama Desert. Atmospheric Chemistry and Physics 2022, 22, 12241–12267. [Google Scholar] [CrossRef]
- Ren, Y.; Fu, S.; Xue, H. The sensitivity of a mid-latitude maritime stratocumulus cloud to surface fluxes. Atmospheric Research 2023, 293, 106912. [Google Scholar] [CrossRef]
- Ghonima, M.S.; Heus, T.; Norris, J.R.; Kleissl, J. Factors Controlling Stratocumulus Cloud Lifetime over Coastal Land. Journal of the Atmospheric Sciences 2016, 73, 2961–2983. [Google Scholar] [CrossRef]
- Zamora Zapata, M.; Wu, E.; Kleissl, J. Irradiance Enhancement Events in the Coastal Stratocumulus Dissipation Process. In Proceedings of the Proceedings of the ISES Solar World Congress 2019, Santiago, Chile, 2019; pp. 1–8. [CrossRef]
- Luccini, E.; Rivas, M. Kinematics and dynamics of the stratocumulus average diurnal dissipation process at Atacama Desert. Atmospheric Research 2021, 255, 105523. [Google Scholar] [CrossRef]
- Pedruzo-Bagazgoitia, X.; de Roode, S.R.; Adler, B.; Babić, K.; Dione, C.; Kalthoff, N.; Lohou, F.; Lothon, M.; Vilà-Guerau de Arellano, J. The diurnal stratocumulus-to-cumulus transition over land in southern West Africa. Atmospheric Chemistry and Physics 2020, 20, 2735–2754. [Google Scholar] [CrossRef]
- Jeong, J.H.; Witte, M.K.; Smalley, M. Effects of Wind Shear and Aerosol Conditions on the Organization of Precipitating Marine Stratocumulus Clouds. Journal of Geophysical Research: Atmospheres 2023, 128, e2023JD039081. [Google Scholar] [CrossRef]
- Zamora Zapata, M.; Heus, T.; Kleissl, J. Effects of Surface and Top Wind Shear on the Spatial Organization of Marine Stratocumulus-Topped Boundary Layers. Journal of Geophysical Research: Atmospheres 2021, 126, e2020JD034162. [Google Scholar] [CrossRef]
- Delbeke, L.; Wang, C.; Tulet, P.; Denjean, C.; Zouzoua, M.; Maury, N.; Deroubaix, A. The impact of aerosols on stratiform clouds over southern West Africa: a large-eddy-simulation study. Atmospheric Chemistry and Physics 2023, 23, 13329–13354. [Google Scholar] [CrossRef]
- Zouzoua, M.; Lohou, F.; Assamoi, P.; Lothon, M.; Yoboue, V.; Dione, C.; Kalthoff, N.; Adler, B.; Babić, K.; Pedruzo-Bagazgoitia, X.; et al. Breakup of nocturnal low-level stratiform clouds during the southern West African monsoon season. Atmospheric Chemistry and Physics 2021, 21, 2027–2051. [Google Scholar] [CrossRef]
- Tsonis, A. Convergent Cross Mapping: Theory and an Example. In Advances in Nonlinear Geosciences; Springer, Cham, 2017; p. 587– 600. [CrossRef]
- Sugihara, G.; May, R.; Ye, H.; Hsieh, C.h.; Deyle, E.; Fogarty, M.; Munch, S. Detecting Causality in Complex Ecosystems. Science 2012, 338, 496–500. [Google Scholar] [CrossRef]
- Rybarczyk, Y.; Zalakeviciute, R.; Ortiz-Prado, E. Causal effect of air pollution and meteorology on the COVID-19 pandemic: A convergent cross mapping approach. Heliyon 2024, 10. [Google Scholar] [CrossRef]
- Coastal Data Information Program (CDIP). Station 73 - SCRIPPS PIER, LA JOLLA CA.
- Iowa State University. IEM :: Download ASOS/AWOS/METAR Data.
- Jones, C.R.; Bretherton, C.S.; Leon, D. Coupled vs. decoupled boundary layers in VOCALS-REx. Atmospheric Chemistry and Physics 2011, 11, 7143–7153. [Google Scholar] [CrossRef]
- Goren, T.; Rosenfeld, D.; Sourdeval, O.; Quaas, J. Satellite Observations of Precipitating Marine Stratocumulus Show Greater Cloud Fraction for Decoupled Clouds in Comparison to Coupled Clouds. Geophysical Research Letters 2018, 45, 5126–5134. [Google Scholar] [CrossRef] [PubMed]
- Reno, M.J.; Hansen, C.W. Identification of periods of clear sky irradiance in time series of GHI measurements. Renewable Energy 2016, 90, 520–531. [Google Scholar] [CrossRef]
- Zamora Aguirre, R. Caracterización Observacional de la Capa Límite Marina en Antofagasta. Master’s thesis, Universidad de Chile, 2010.
- University of Wyoming. Atmospheric Soundings.











Disclaimer/Publisher’s Note: The statements, opinions and data contained in all publications are solely those of the individual author(s) and contributor(s) and not of MDPI and/or the editor(s). MDPI and/or the editor(s) disclaim responsibility for any injury to people or property resulting from any ideas, methods, instructions or products referred to in the content. |
© 2025 by the authors. Licensee MDPI, Basel, Switzerland. This article is an open access article distributed under the terms and conditions of the Creative Commons Attribution (CC BY) license (http://creativecommons.org/licenses/by/4.0/).
