Submitted:
20 February 2025
Posted:
21 February 2025
You are already at the latest version
Abstract

Keywords:
1. Introduction
2. Results
2.1. Extraction and Phytochemical Analysis of V. persicifolia
2.2. Toxicological Assessment in Artemia salina
2.3. Anticonvulsant Activity in Zebrafish Model
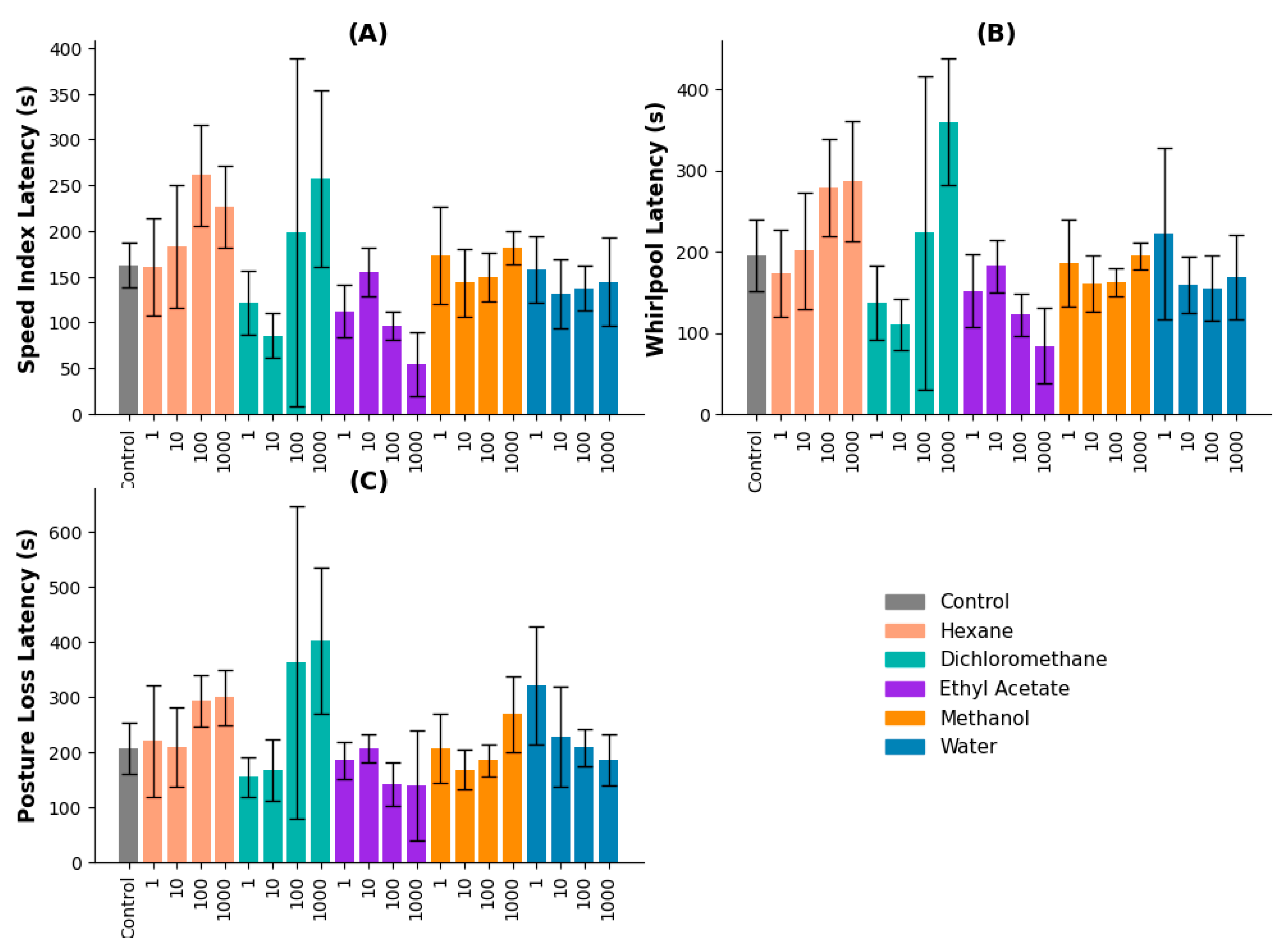
2.3.1. Partition Method
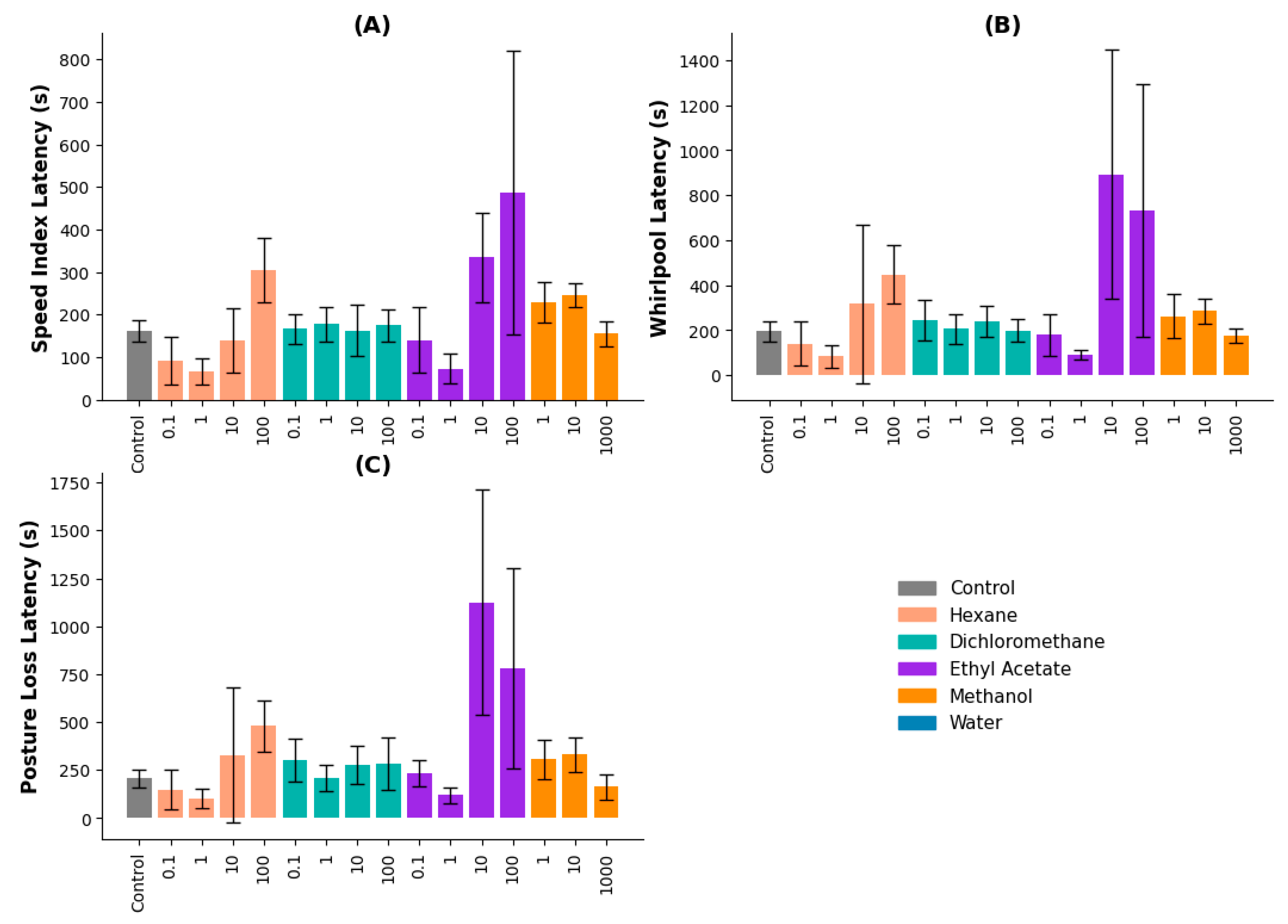
2.3.2. Sequential Method
2.4. Co-administration with Pharmacological Controls

2.5. Survival Rate

3. Discussion
3.1. Phytochemical Contributions to Anticonvulsant Activity
3.2. Efficacy of Extracts in Reducing Seizure Parameters
3.3. Synergistic Effects in Co-administration with Standard Anticonvulsants
3.4. Toxicity and Safety Profile
3.5. Implications and Future Directions
4. Materials and Methods
4.1. Plant Material Collection
4.2. Preparation of Extracts
4.3. Phytochemical Screening
4.4. Toxicological Evaluation in Artemia salina
4.5. Anticonvulsant Activity in Zebrafish Model
4.6. Co-administration with Pharmacological Controls
4.7. Statistical Analysis
5. Conclusions
Supplementary Materials
Author Contributions
Funding
Data Availability Statement
Acknowledgments
Conflicts of Interest
References
- Organization, W. H. Epilepsy 2024. https://www.who.int/news-room/fact-sheets/detail/epilepsy.
- Fisher, R. S.; Cross, J. H.; D'Souza, C.; French, J. A.; Haut, S. R.; Higurashi, N.; Hirsch, E.; Jansen, F. E.; Lagae, L.; Moshe, S. L.; Peltola, J.; Roulet Perez, E.; Scheffer, I. E.; Schulze-Bonhage, A.; Somerville, E.; Sperling, M.; Yacubian, E. M.; Zuberi, S. M. Instruction manual for the ILAE 2017 operational classification of seizure types. Epilepsia 2017, 58(4), 531–542. [Google Scholar] [CrossRef] [PubMed]
- Kanner, A. M.; Bicchi, M. M. Antiseizure Medications for Adults With Epilepsy: A Review. JAMA 2022, 327(13), 1269–1281. [Google Scholar] [CrossRef]
- Hu, T.; Zhang, J.; Wang, J.; Sha, L.; Xia, Y.; Ortyl, T. C.; Tian, X.; Chen, L. Advances in Epilepsy: Mechanisms, Clinical Trials, and Drug Therapies. Journal of Medicinal Chemistry 2023, 66(7), 4434–4467. [Google Scholar] [CrossRef] [PubMed]
- Brodie, M. J.; Besag, F.; Ettinger, A. B.; Mula, M.; Gobbi, G.; Comai, S.; Aldenkamp, A. P.; Steinhoff, B. J. Epilepsy, Antiepileptic Drugs, and Aggression: An Evidence-Based Review. Pharmacological Reviews 2016, 68(3), 563. [Google Scholar] [CrossRef]
- Chen, Z.; Brodie, M. J.; Ding, D.; Kwan, P. Editorial: Epidemiology of epilepsy and seizures. Front Epidemiol 2023, 3, 1273163. [Google Scholar] [CrossRef] [PubMed]
- Tavakol, S.; Royer, J.; Lowe, A. J.; Bonilha, L.; Tracy, J. I.; Jackson, G. D.; Duncan, J. S.; Bernasconi, A.; Bernasconi, N.; Bernhardt, B. C. Neuroimaging and connectomics of drug-resistant epilepsy at multiple scales: From focal lesions to macroscale networks. Epilepsia 2019, 60(4), 593–604. [Google Scholar] [CrossRef]
- Wang, S. D., G.; Sheng, c. Structural Simplification of Natural Products. Chem Rev 2019, 119(6), 4180–4220. [Google Scholar] [CrossRef]
- Alfaro, M. Á. M.; Oliva, v.E.; Cruz, M.M.; García, G.M.; Olazcoaga, G.T.; León, A.W. Catálogo de plantas útiles de la sierra norte de Puebla, México. 1995. [Google Scholar]
- Domínguez-Barradas, C. Cruz-Morales, G. E., & González-Gándara, C., Plantas de uso medicinal de la Reserva Ecológica “Sierra de Otontepec”, municipio de Chontla, Veracruz, México. CienciaUAT, 2015; 9, 2, 41–52. [Google Scholar]
- Olguín Guerrero, M. C.; Saavedra Vélez, M. V.; López Rosas, C. A.; Camacho Pernas, M. Á.; Ramos Morales, F. R.; Alcántara López, M. G. Huichín (Verbesina persicifolia DC), planta medicinal con potencial farmacológico. Ciencia Latina Revista Científica Multidisciplinar, 2024; 5, 5, 13461–13477. [Google Scholar]
- D’Amora, M.; Galgani, A.; Marchese, M.; Tantussi, F.; Faraguna, U.; De Angelis, F.; Giorgi, F. S. Zebrafish as an Innovative Tool for Epilepsy Modeling: State of the Art and Potential Future Directions. International Journal of Molecular Sciences 2023, 24(9), 7702. [Google Scholar] [CrossRef]
- Cartner, S.; Eisen, J. S.; Farmer, S. F.; Guillemin, K. J.; Kent, M. L.; Sanders, G. E. The Zebrafish in Biomedical Research: Biology, Husbandry, Diseases, and Research Applications. 2019. [Google Scholar]
- Li, J.; Copmans, D.; Partoens, M.; Hunyadi, B.; Luyten, W.; de Witte, P. Zebrafish-Based Screening of Antiseizure Plants Used in Traditional Chinese Medicine: Magnolia officinalis Extract and Its Constituents Magnolol and Honokiol Exhibit Potent Anticonvulsant Activity in a Therapy-Resistant Epilepsy Model. ACS Chem Neurosci 2020, 11(5), 730–742. [Google Scholar] [CrossRef]
- Mussulini, B. H.; Leite, C. E.; Zenki, K. C.; Moro, L.; Baggio, S.; Rico, E. P.; Rosemberg, D. B.; Dias, R. D.; Souza, T. M.; Calcagnotto, M. E.; Campos, M. M.; Battastini, A. M.; de Oliveira, D. L. Seizures induced by pentylenetetrazole in the adult zebrafish: a detailed behavioral characterization. PLoS One 2013, 8(1), e54515. [Google Scholar] [CrossRef]
- Samokhina, E.; Samokhin, A. Neuropathological profile of the pentylenetetrazol (PTZ) kindling model. Int J Neurosci 2018, 128(11), 1086–1096. [Google Scholar] [CrossRef] [PubMed]
- Torres-Hernandez, B. A.; Del Valle-Mojica, L. M.; Ortiz, J. G. Valerenic acid and Valeriana officinalis extracts delay onset of Pentylenetetrazole (PTZ)-Induced seizures in adult Danio rerio (Zebrafish). BMC Complement Altern Med 2015, 15, 228. [Google Scholar] [CrossRef]
- Hosseinzadeh, H.; Ramezani, M.; Shafaei, H.; Taghiabadi, E. Anticonvulsant effect of Berberis integerrima L. root extracts in mice. J Acupunct Meridian Stud 2013, 6(1), 12–7. [Google Scholar] [CrossRef]
- Sardari, S.; Amiri, M.; Rahimi, H.; Kamalinejad, M.; Narenjkar, J.; Sayyah, M. Anticonvulsant effect of Cicer arietinum seed in animal models of epilepsy: introduction of an active molecule with novel chemical structure. Iran Biomed J 2015, 19(1), 45–50. [Google Scholar] [PubMed]
- Dalla Via, L.; Mejia, M.; Garcia-Argaez, A. N.; Braga, A.; Toninello, A.; Martinez-Vazquez, M. Anti-inflammatory and antiproliferative evaluation of 4beta-cinnamoyloxy,1beta,3alpha-dihydroxyeudesm-7,8-ene from Verbesina persicifolia and derivatives. Bioorg Med Chem 2015, 23(17), 5816–28. [Google Scholar] [CrossRef] [PubMed]
- Jakupovic, J.; Ellmauerer, E.; Jia, Y.; Bohlmann, F.; Dominguez, X. A.; Hirschmann, G. S. Further eudesmane derivatives from verbesina species. Planta Med 1987, 53(1), 39–42. [Google Scholar] [CrossRef]
- Copmans, D.; Orellana-Paucar, A. M.; Steurs, G.; Zhang, Y.; Ny, A.; Foubert, K.; Exarchou, V.; Siekierska, A.; Kim, Y.; De Borggraeve, W.; Dehaen, W.; Pieters, L.; de Witte, P. A. M. Methylated flavonoids as anti-seizure agents: Naringenin 4',7-dimethyl ether attenuates epileptic seizures in zebrafish and mouse models. Neurochem Int 2018, 112, 124–133. [Google Scholar] [CrossRef]
- Jager, A. K.; Saaby, L. Flavonoids and the CNS. Molecules 2011, 16(2), 1471–85. [Google Scholar] [CrossRef]
- Johnston, G. A. Flavonoid nutraceuticals and ionotropic receptors for the inhibitory neurotransmitter GABA. Neurochem Int 2015, 89, 120–5. [Google Scholar] [CrossRef]
- Sucher, N. J.; Carles, M. C. A pharmacological basis of herbal medicines for epilepsy. Epilepsy Behav 2015, 52 (Pt B), 308–18. [Google Scholar] [CrossRef]
- Nieoczym, D. S., K.; Gawel, K.; Esguerra, C.V.W.; Wlaz, P.E. Anticonvulsant Activity of Pterostilbene in Zebrafish and Mouse Acute Seizure Tests. Neurochem Res 2019, 44(5), 1043–1055. [Google Scholar] [CrossRef] [PubMed]
- da Silva, A. F.; de Andrade, J. P.; Bevilaqua, L. R.; de Souza, M. M.; Izquierdo, I.; Henriques, A. T.; Zuanazzi, J. A. Anxiolytic-, antidepressant- and anticonvulsant-like effects of the alkaloid montanine isolated from Hippeastrum vittatum. Pharmacol Biochem Behav 2006, 85(1), 148–54. [Google Scholar] [CrossRef]
- Fahmy, N. M.; Al-Sayed, E.; El-Shazly, M.; Nasser Singab, A. Alkaloids of genus Erythrina: An updated review. Nat Prod Res 2020, 34(13), 1891–1912. [Google Scholar] [CrossRef]
- Mishra, A.; Punia, J. K.; Bladen, C.; Zamponi, G. W.; Goel, R. K. Anticonvulsant mechanisms of piperine, a piperidine alkaloid. Channels (Austin) 2015, 9(5), 317–23. [Google Scholar] [CrossRef]
- Glennie, C. W.; Jain, S.C. Flavonol 3, 7-diglycosides of Verbesina encelioides. Phytochemistry 1980, 19, 157–158. [Google Scholar] [CrossRef]
- Garcia-Bores, A. M.; Alvarez-Santos, N.; Lopez-Villafranco, M. E.; Jacquez-Rios, M. P.; Aguilar-Rodriguez, S.; Grego-Valencia, D.; Espinosa-Gonzalez, A. M.; Estrella-Parra, E. A.; Hernandez-Delgado, C. T.; Serrano-Parrales, R.; Gonzalez-Valle, M. D. R.; Benitez-Flores, J. D. C. Verbesina crocata: A pharmacognostic study for the treatment of wound healing. Saudi J Biol Sci 2020, 27(11), 3113–3124. [Google Scholar] [CrossRef]
- Xiong, B.; Wang, Y.; Chen, Y.; Xing, S.; Liao, Q.; Chen, Y.; Li, Q.; Li, W.; Sun, H. Strategies for Structural Modification of Small Molecules to Improve Blood-Brain Barrier Penetration: A Recent Perspective. J Med Chem 2021, 64(18), 13152–13173. [Google Scholar] [CrossRef] [PubMed]
- Calcaterra, N. E.; Barrow, J. C. Classics in Chemical Neuroscience: Diazepam (Valium). ACS Chemical Neuroscience 2014, 5(4), 253–260. [Google Scholar] [CrossRef]
- Akinpelu, L. A.; Akanmu, M. A.; Obuotor, E. M. Mechanism of Anticonvulsant Effects of Ethanol Leaf Extract and Fractions of Milicia excelsa (Moraceae) in Mice. Journal of Pharmaceutical Research International 2018, 23(4), 1–11. [Google Scholar] [CrossRef]
- Sulaimon, L. A.; Anise, E. O.; Obuotor, E. M.; Samuel, T. A.; Moshood, A. I.; Olajide, M.; Fatoke, T. In vitro antidiabetic potentials, antioxidant activities and phytochemical profile of african black pepper (Piper guineense). Clinical Phytoscience, 2020; 6, 1. [Google Scholar]
- Cseke, L. J.; Kirakosyan, A.; Kaufman, P. B.; Warber, S.; Duke, J. A.; Brielmann, H. L. Natural Products from Plants. 2016. [Google Scholar]
- Ntungwe, N. E.; Dominguez-Martin, E. M.; Roberto, A.; Tavares, J.; Isca, V. M. S.; Pereira, P.; Cebola, M. J.; Rijo, P. Artemia species: An Important Tool to Screen General Toxicity Samples. Curr Pharm Des 2020, 26(24), 2892–2908. [Google Scholar] [CrossRef]
- Hamidi, M. R.; Jovanova, B.; Panovska, T.K. Toxicological evaluation of the plant products using Brine Shrimp (Artemia salina L.) model. Macedonian Pharmaceutical Bulletin, 2014; 60, 01, 9–18. [Google Scholar]
- Almeida, E. R.; Lima-Rezende, C. A.; Schneider, S. E.; Garbinato, C.; Pedroso, J.; Decui, L.; Aguiar, G. P. S.; Muller, L. G.; Oliveira, J. V.; Siebel, A. M. Micronized Resveratrol Shows Anticonvulsant Properties in Pentylenetetrazole-Induced Seizure Model in Adult Zebrafish. Neurochem Res 2021, 46(2), 241–251. [Google Scholar] [CrossRef] [PubMed]
- Lee, Y.; Kim, D.; Kim, Y. H.; Lee, H.; Lee, C. J. Improvement of pentylenetetrazol-induced learning deficits by valproic acid in the adult zebrafish. Eur J Pharmacol, 2010; 643, (2-3), 225–231. [Google Scholar]


| Metabolite Family | 2019 Extract | 2020 Extract | 2021 Extract |
|---|---|---|---|
| Alkaloids | + | + | + |
| Saponins | + | - | + |
| Tannins | - | + | + |
| Quinones | + | - | - |
| Triterpenoids | - | + | + |
| Flavonoids | + | + | + |
| Steroids | + | + | + |
| Metabolite Family | Extraction Method | Literature Source |
|---|---|---|
| Eudesmane sesquiterpenes | Hexane, Methanol | Via et al. 2015 [20] |
| Flavonoids | Ethyl acetate, Methanol | Guerrero et al. 2024 [11] |
| Alkaloids | Methanol | Guerrero et al. 2024 [11] |
| Steroids | Hexane | Guerrero et al. 2024 [11] |
| Saponins | Methanol | Guerrero et al. 2024 [11] |
| Tannins | Methanol, Aqueous Extracts | Guerrero et al. 2024 [11] |
| Essential Oils | Hexane | Jakupovic et al. 1986 [21] |
| Extract Type | Fraction | LC50 (mg/mL) | Toxicity Classification 1 |
|---|---|---|---|
| Methanolic Extract |
Hexane | 0.499 | Low toxicity |
| Dichloromethane | >1 | Non-toxic | |
| Ethyl Acetate | 0.633 | Low toxicity | |
| Methanol | >1 | Non-toxic | |
| Sequential Extract |
Hexane | 0.073 | High toxicity |
| Dichloromethane | 0.105 | Moderate toxicity | |
| Ethyl Acetate | 0.421 | Moderate toxicity | |
| Methanol | 0.421 | Moderate toxicity |
Disclaimer/Publisher’s Note: The statements, opinions and data contained in all publications are solely those of the individual author(s) and contributor(s) and not of MDPI and/or the editor(s). MDPI and/or the editor(s) disclaim responsibility for any injury to people or property resulting from any ideas, methods, instructions or products referred to in the content. |
© 2025 by the authors. Licensee MDPI, Basel, Switzerland. This article is an open access article distributed under the terms and conditions of the Creative Commons Attribution (CC BY) license (http://creativecommons.org/licenses/by/4.0/).