Preprint
Article

This version is not peer-reviewed.

A Multi-Objective Evaluation Tool (MUVT) for Optimizing Inputs in Cropping Systems: A Preliminary Test on Three Herbaceous Crops

A peer-reviewed article of this preprint also exists.

Submitted:

20 February 2025

Posted:

20 February 2025

You are already at the latest version

Abstract
This paper introduces the Multi-objective Evaluation Tool (MUVT), a user-friendly framework for evaluating the environmental sustainability of inputs in complex sys-tems like agriculture. MUVT enables quick analysis of how different agro-inputs (e.g., irrigation, fertilization, CO2) affect various cropping system variables (e.g., yield, in-come, water use efficiency). It integrates responses from all variables and allows users to adjust the importance of each in decision-making. The tool was tested on three crops—processing tomato, maize, and sugar beet—focusing on water-related compo-nents such as production, irrigation efficiency, and net income under various irrigation scenarios simulated with AquaCrop. For balanced productivity and environmental performance, optimal seasonal irrigation volumes were 400-500 mm for maize and tomato, and 300-400 mm for sugar beet. When prioritizing environmental sustainabil-ity, volumes decreased to 300 mm for maize, 300-400 mm for tomato, and 200 mm for sugar beet. The tool identified maize as the crop with the best overall performance, followed by tomato and sugar beet.
Keywords: 
;  ;  ;  

1. Introduction

The global agricultural landscape is currently grappling with a unique set of challenges, with sustainable crop production remaining central to global food security [1]. As the demand for food and fiber intensifies and natural resources become scarcer, optimization techniques have become increasingly vital in both agricultural and environmental management [2]. These issues are especially critical in arid and semi-arid regions, where water scarcity and the need for precise nutrient management directly affect soil fertility and crop productivity. Research indicates that synchronizing water and nitrogen management through optimization strategies can markedly enhance both crop yield and environmental performance [3].
To support the sustainable development of regional agricultural sectors, it is essential to boost both crop yield and quality in an efficient and eco-friendly manner. Traditional approaches that focus on a single objective often overlook the inherent trade-offs in complex agroecosystems. In contrast, multi-objective frameworks provide a more balanced view by simultaneously addressing crop productivity, resource efficiency, and environmental sustainability [3].
Numerous studies have explored the optimal allocation of land, water, and other resources using formal optimization methods [2,4,5]. More recently, alternative analytical techniques based on multi-objective evaluations have emerged, including principal component analysis (PCA) for mung bean yield components [6], grey correlation analysis (GCA) for assessing fruit quality [7], and membership function analysis (MFA) applied to winter bread wheat [8]. Furthermore, comprehensive multi-objective evaluations have proven effective in determining the viability of different strategies across a range of applications [9]. For instance, optimal irrigation and fertilization strategies for maize [10], apple [11], and potato [12] have been developed by balancing yield, quality, resource efficiency, and environmental benefits.
It is important to note that different evaluation models often vary in methodology, data analysis focus, and underlying assumptions. Human factors can further contribute to discrepancies in the results obtained for the same subject, making it challenging to derive an objective analysis from any single method [13]. For example, in a study on optimizing nitrogen management and soil treatment for sweet sorghum, was employed a fuzzy-based expert system where the recommendations depended on the weighting of various energy-related variables, with “favorable” and “unfavorable” thresholds determined by subjective criteria [14].
To overcome these challenges, some researchers have proposed integrating multiple evaluation models using a combination algorithm—that is, merging results according to specific criteria and rules—to achieve more objective outcomes [15]. In another research, a systematic comprehensive evaluation model was applied that integrated four different analytical methods (PCA, TOPSIS, GCA, and MFA) to determine the best irrigation and nitrogen rates for sugar beet [3]. Despite this integration, the study observed that differences persisted among treatments, attributable to the unique analytical approaches and data utilization inherent in each method. To address this inconsistency, the researchers further implemented the ODCA framework (Overall Difference Combined Evaluation Model), which effectively reconciles the disparate results from the individual models.
Adopting such multi-objective evaluation methods in various contexts requires a high level of expertise—not only in understanding the underlying algorithms but also in replicating them using tools like spreadsheet software. The broader adoption of optimization techniques, including multi-objective analyses, depends on streamlining the computational processes so that users beyond the original developers can easily grasp the framework’s functionalities. Ideally, these frameworks should be available as ready-to-use tools that allow for user modifications based on specific evaluative needs.
Fundamentally, the role of these optimization frameworks is to harmonize different inputs to produce the most favorable outputs. In agriculture, inputs might include seasonal irrigation volumes or fertilizer doses, while outputs could encompass crop yield, water consumption, water use efficiency, economic returns, and more. One major challenge is standardizing outputs that are measured in different units (e.g., yield in kg per ha versus water usage in mm). A second challenge is to distill all processed data into clear, easily interpretable indicators, thus enabling rapid and effective decision-making. These constraints form the foundation for the development of evaluation frameworks, whose added value lies in the creation of user-friendly tools that enable users to apply their subjectivity to consciously guide the tools' responses.
Given these challenges, this paper presents the development of a tool—MUVT (Multi-Objective Evaluation Tool, freely available at: https://github.com/garofalopasquale/MUlti-objective-eValuation-Tool)—designed to analyze various systems (both agricultural and non-agricultural) to identify the optimal strategy in terms of the quantity of a specific system input, optimizing its response based on scores that determine the best balance among input-related parameters.
The data processed within MUVT follows a hierarchical structure. At the base of this hierarchy are standardized second-degree polynomial regression parameters (which must be provided by the user), while at the top is a numerical evaluation score representing the analyzed system. Each hierarchical level provides decision-support information, allowing users to either rely on these insights directly or move up to the next level, ultimately utilizing the information in an isolated and/or combined manner.
A key feature of MUVT is its ability to normalize processed data, enabling a comparative evaluation of the system's variables (i.e., assessing how the response of one parameter changes relative to another in response to quantitative variations in the input). Additionally, users can modify the weight assigned to each variable within the evaluation, thereby optimizing the system by prioritizing one aspect over another.
Beyond detailing the evaluation algorithms and operational framework of MUVT, this paper also presents its application in an agronomic context. Specifically, MUVT was applied to three cropping systems—maize, sugar beet, and processing tomato—to evaluate optimal irrigation regimes and identify the best water supply options for optimizing these systems from a multi-objective perspective, considering productivity, economic performance, and environmental sustainability.
The initial data required to derive the parameters for MUVT were obtained through the application of the AquaCrop crop simulation model. Eight irrigation scenarios (ranging from severe water stress to surplus water conditions) were simulated for each cropping system over six growing seasons for spring–summer crops (maize and tomato) and five seasons for autumn-sown sugar beet, under meteorological conditions typical of a Mediterranean environment.
The first application of MUVT was based on an equal weighting of all water-related parameters in the tool’s response. This was then compared with an alternative scenario in which the weighting of analyzed variables was adjusted, assigning greater importance to environmental sustainability parameters over the productive performance of the three cropping systems.

2. Materials and Methods

2.1. The AquaCrop Model

AquaCrop is a process-based crop model developed by the Food and Agriculture Organization [16] to simulate crop responses to water availability, facilitating the evaluation of water management strategies. Operating on a daily time step, it models the soil–plant–atmosphere continuum by quantifying vertical water fluxes and the interactions between soil moisture, crop development, and atmospheric conditions [17]. The model incorporates key processes such as soil water balance, canopy growth, root development, crop transpiration, and biomass accumulation. It accounts for the influence of environmental factors, including temperature, precipitation, evaporative demand, and atmospheric CO₂ concentration, on plant growth and yield formation [18]. AquaCrop adjusts crop growth based on both potential development and the effects of water stress, allowing it to assess the impact of different irrigation regimes on crop performance [19]. In AquaCrop, water enters the system through rainfall and irrigation. However, infiltration efficiency can be reduced by surface runoff when rainfall intensity exceeds soil absorption capacity. Water is lost from the root zone through deep percolation when soil moisture surpasses the field capacity. Conversely, capillary rise can transport water upward to the root zone in dry conditions. Soil evaporation and plant transpiration continuously deplete available water, influencing crop water use efficiency and overall productivity.
Daily crop transpiration (Tri, mm day⁻¹) is calculated as:
T r i = K s × C C × K c × E T 0
where Ks is the soil water stress coefficient, CC is the canopy cover, Kc is the crop coefficient, and ET0 is the reference evapotranspiration.
Aboveground biomass (TDM, t ha⁻¹) is determined by the normalized water productivity coefficient (WP*, g m⁻²) and cumulative transpiration [20]:
T D M = W P * × i = 1 n T r i E T 0 i
Finally, dry yield (Y, t ha⁻¹) is estimated from the total biomass at maturity and the harvest index (HI, %):
Y = H I × T D M
Soil water stress significantly influences canopy expansion, root growth, stomatal regulation, and reproductive success. When soil moisture drops below critical thresholds, physiological responses such as stomatal closure and reduced transpiration lead to lower biomass accumulation and yield. In severe cases, water stress can trigger early canopy senescence and harvest index reduction, further limiting productivity. These thresholds, expressed as a fraction of the total available water in the root zone, allow AquaCrop to simulate the effects of varying water availability on crop performance, making it a valuable tool for optimizing irrigation strategies.

2.2. Irrigation management scenarios

To explore the variability in the cropping systems of three agricultural systems under diverse irrigation conditions and growing seasons, the calibrated crop parameter values for running AquaCrop were derived from previous modeling exercises, specifically [21] for maize, [22] for sugar beet, and [23] for processing tomato. These three crops were selected to test MUVT, as their growth cycles occur during the spring-summer period in a Mediterranean environment, where their water requirements to meet evapotranspirative demand are high: ranging from 395 to 768 mm for processing tomato [24], from 200 mm to 842 mm for sugar beet [25], and from 232 mm to 536 mm for maize [26].
A series of in-silico irrigation scenarios were simulated using meteorological data recorded from 2015 to 2020 at a weather station located on an experimental farm owned by CREA in Foggia (latitude 41°27′30.42″N, longitude 15°33′06.77″E; altitude, 90 m a.s.l.).
The meteorological variables used for these simulations reflect a climate classified as "accentuated thermo-Mediterranean" [27], characterized by winter temperatures below 0° and summer temperatures exceeding 40 °C. The annual rainfall (mean: 550 mm) is predominantly concentrated in the winter months, while class 'A pan' evaporation averages 1033 mm annually, with 657 mm occurring from May to August. These meteorological conditions were well suited for setting up irrigation scenarios, due to the high evapotranspirative demand of the environment, reduced precipitation during the growing season, and the need to rely on water supply to meet the water requirements of these three crops.
In the simulated scenarios, maize was sown on June 1, sugar beet on February 1, and processing tomato was transplanted on May 1. The simulations were repeated for the years 2015 - 2020, thus obtaining outcomes for six cropping seasons. A silt-loam soil with the following characteristics: water content at saturation, 46% vol; field capacity, 33% vol; wilting point, 13% vol; and saturated hydraulic conductivity, 575 mm day-1, over a depth of 1.50 m, was used in the simulations.
For the three crops analyzed, the distribution of irrigation water through the AquaCrop simulations was ensured via a drip irrigation system, initially set to an optimal irrigation strategy (Full). This strategy defined irrigation events triggered when 20% of the total available water (TAW) in the root zone was depleted. Starting from a condition where the water demand of the plants was fully met through irrigation, a broad range of seasonal irrigation volumes and the corresponding responses of water-related parameters for the three cropping systems were explored. Five additional scenarios with reduced irrigation inputs and two with volumes exceeding the Full water supply were set up. For the stressed scenarios, the irrigation water volume for each event was reduced by 10% (Irr_10), 20% (Irr_20), 40% (Irr_40), 60% (Irr_60), and finally by 80% (Irr_80) compared to Full. Water supply increments of 20% (Sur_20) and 40% (Sur_40) were instead set as irrigation levels exceeding the Full regime.
The scenarios aimed to derive robust response curves for crop yield, economic returns, water use efficiency and environmental burdens, as a function of seasonal irrigation volumes. While not replicating real-world practices in every aspect, these scenarios provided essential data to parameterize the empirical framework (MUVT). This allowed for conducting a multi-objective analysis that could screen and rank different irrigation scenarios. Ultimately, the analysis aimed to highlight the scenario that best optimized the three cropping systems, identifying the most balanced option in terms of productivity, economic, and environmental performance.

2.2. Evaluation of the cropping systems by MUVT

Irrigation impact was assessed using outputs from AquaCrop, categorized as primary or derived metrics. The water-related parameters included dry yield (Dry_Y; t ha⁻¹), water use efficiency (WUE; kg mm⁻¹), irrigation water use efficiency (IUE; kg mm⁻¹), blue water footprint (Blue_FP; mm t⁻¹), drainage losses (mm), and net income (Net_Inc; € t⁻¹).
WUE was calculated as the ratio between Dry_Y and the actual evapotranspiration of the crop, while IUE was determined as the ratio between Dry_Y and the seasonal irrigation volume. Blue_FP, which represents the irrigation water used by the crop to produce one unit of Dry_Y (1 kg), was estimated by the ratio between the seasonal irrigation volume and Dry_Y.
Net_Inc was calculated as:
N e t _ I n c = I n c I r r C o s t
where Inc is the income from fresh yield (€ ha-1), obtained for each crop by multiplying the annual fresh production from the AquaCrop simulations by the selling price, which was set to 265 € ha-1 for maize [28], 145 Euro € ha-1 for processing tomato [29], and 304 Euro € ha-1for sugar beet [30].
For IrrCost, three price thresholds were applied, reflecting a more than proportional increase in the cost of irrigation water as seasonal irrigation volumes increase. For these three thresholds, the variable costs applied by an irrigation consortium in the northern part of the Puglia region were chosen [29].
Specifically: i) if the seasonal irrigation (as simulated by AquaCrop) did not exceed 200 mm, the irrigation cost was set at 1.2 Euro per mm; ii) if the seasonal irrigation exceeded 200 mm but remained below 400 mm, the cost for the portion above 200 mm was 1.8 Euro per mm; and finally, iii) if the seasonal irrigation surpassed 400 mm, the cost for the portion exceeding this threshold increased to 2.4 Euro per mm.
Once the annual values for the different variables to be analyzed for the three cropping systems were attained, based on the 8 irrigation scenarios, regression analysis (standardized second-order polynomial) was applied to evaluate the relationship between seasonal irrigation volumes and the water-related variables as follows:
Y p = β 0 + β i X 2 + β i i X
A second-order polynomial was chosen because it is well-suited to modeling the relationships observed in bio-physical systems. Specifically, this form accounts for the effect of the input variable (water supply) through linear terms as a first-order approximation, while also incorporating second-order nonlinearities associated with each evaluated variable. This structure allows for flexibility in capturing or substituting a wide range of response behaviors, including linear trends, parabolic curves, plateaus, exponential growth, and other dynamics.
Equation (5) facilitates the quantification of irrigation's impact on the variables studied within the cropping system. By using standardized regression coefficients (standardized values are obtained by subtracting the mean of the variable and dividing by the standard deviation of the variable, before performing the regression)., it becomes possible to numerically compare the magnitude of this effect, regardless of the scale or type of dependent variables involved. This method allows for an assessment of irrigation's influence on agricultural system variables without being constrained by measurement units or relationships between them. A higher value of βi or βii (positive or negative) reflects a stronger effect of irrigation on the studied variable, while a higher β0 value indicates significant effects even in the absence of irrigation. Integrating these three parameters into a single index offers a more concise and interpretable measure, making it easier to rank the impact of irrigation on the various variables analyzed, such as performance, water efficiency, and profitability.
To derive a single index for each analyzed parameter, a sequential procedure was applied.
Initially, the significance (α; p-value) of each regressor was assessed. The parameter α represents the probability that changes in the standardized dependent variable are either associated with the variation of the independent variable (seasonal irrigation volume) or unaffected by irrigation practices. Based on the α value, a weight factor for each regressor (WRf) was determined as:
W R f =                                           1   i f   α < 0.001 ; 0.66   i f   0.01 > α > 0.001 ; 0.33   i f   0.05 > α > 0.01 ;                               0   i f   α > 0.05
In addition to α, the framework incorporated the coefficient of determination (R²), which measures the goodness of fit of the polynomial model (Eq. 4). A weight was also assigned to R² as follows:
W R R 2 =                                           1   i f   R 2 > 0.75 ; 0.5   i f   0.75 > R 2 > 0.5 ; 0.25   i f   0.5 > R 2 > 0.25 ;                               0   i f   R 2 < 0.25
where WRR2 represents the weighted value of R².
The chosen values to assign the impact to α and R2 were determined based on the magnitude of the change in R² and p-values observed across different thresholds. Specifically, for R2, the transition from 0 to 0.25 does not signify a substantial improvement in model fit, justifying the assignment of a low weight (0.25). Similarly, the incremental shift from 0.25 to 0.5 represents a modest improvement, reflected in a corresponding weight of 0.5. The same principle applies to the transition from 0.5 to 0.75, reflecting a proportionate increase in importance as R2 progresses from 0 to 0.75.
In contrast, an R2 value exceeding 0.75 indicates an excellent fit of the regression model to the analyzed data, warranting the assignment of the maximum weight. This weighting system ensures that the scale aligns proportionately with the model's explanatory power as indicated by R2, while placing appropriate emphasis on highly significant thresholds.
In the analysis of p-values, the transition between probability thresholds allows for clearer categorization of significance levels (not significant, moderately significant, highly significant, and extremely significant). As a result, the weights (WRf) assigned to each threshold were higher and proportionally distributed (0, 0.33, 0.66, 1) compared to the weights for WRR2.
Subsequently, the standardized score (StVi) for each evaluated variable within each cropping system was calculated using the following formula:
S t V i = W R f i β 0 + W R f i i β i + W R f 0 β i i + W R R 2 R 2
The resulting StVi, derived from Eq. (8), may exceed 1. This could complicate its interpretation. Therefore, to quantify the relative impact of the analyzed variable in connection to water supply, StVi was normalized to a range of 0 to 1 using a sigmoid function:
W V i = 1 1 + E X P k S t V i b
where k and b are dimensionless coefficients. In this framework, b was determined as follows:
b = i = 1 n S T V i , i o b s 2
where obs represents the number of computed StVi values, while k is a variable spanning from 0 to 10, that enables adjustment of the StVi's score sensitivity to irrigation during the calculation of WVi.
Smaller values of k result in greater weighting when StVi is below b, while larger values of k increase the weight when StVi exceeds b (with a value of 5 representing a balanced or average weight).
The WVi was used to assess the impact of irrigation on various parameters. However, the effect of this index provides different results across the variables studied. For instance, a high WVi value had opposing implications for performance and drainage. While an increase in irrigation volume led to a 'positive' outcome, as it enhanced yield, an increase in drainage was viewed as 'negative.' Thus, for variables that had an adverse effect on the overall cropping system (such as drainage and Blue_FP), the WVi was assigned negative values, whereas positive values were attributed to other evaluative parameters. To translate the score into a synthetic judgment, the WVi was classified into categories – “Very strong”, “Strong”, “Moderate”, “Poor”, and “Not significant” - based on its value: above 0.8, between 0.8 and 0.6, between 0.6 and 0.4, between 0.4 and 0.2, or below 0.2, respectively. Additionally, WVi measured the effect of irrigation on individual parameters of the three agricultural systems analyzed, but it did not allow for direct comparisons across different irrigation scenarios. To create an evaluation index that is adjusted for seasonal irrigation volumes and normalized to reflect the true impact of water supply on the analyzed parameter, the truth value (TWi) of the normalized index was determined using the following calculation:
T W i = β 0 + β i X 2 + β i i X ± W V i
where the WVi could take on positive values (for yield, IUE, WUE, Net_Inc,) or negative values (for drainage, Blue_FP), depending on whether irrigation had a positive or negative effect on the analyzed parameter.
Finally, for each irrigation scenario, the multi-objective index (Imobj) is obtained by summing the TWi values calculated for each parameter within that scenario, as:
I m o b j = i = 1 n T W i

3. Results

3.1. Performance of the cropping systems under variable irrigation scenarios

The response of water-related parameters for the three cropping systems as a function of seasonal irrigation volumes is reported in Table 1.
All three crops exhibited yield increases as irrigation shifted from the most water-stressed regime up to Irr_60, ranging from 8.84 t ha⁻¹ to 14.58 t ha⁻¹ for maize, from 8.96 t ha⁻¹ to 13.86 t ha⁻¹ for sugar beet, and from 2.86 t ha⁻¹ to 6.56 t ha⁻¹ for tomato. These yield gains corresponded to irrigation volumes ranging between 63 mm and 379 mm for maize, 57 mm and 341 mm for sugar beet, and 53 mm and 317 mm for tomato, respectively.
Moving towards higher irrigation regimes up to Full, all three crops continued to show productivity increases, although to a lesser extent than those observed in the previously mentioned seasonal irrigation volumes. Under optimal reference conditions, yields stabilized at 14.62 t ha⁻¹, 14.72 t ha⁻¹, and 8.06 t ha⁻¹ for maize, sugar beet, and tomato, respectively. Increasing irrigation volumes did not provide any additional yield benefits; tomato yields remained unchanged compared to the Full regime even with irrigation levels as high as 739 mm, while sugar beet exhibited only negligible increases (with maximum irrigation volumes up to 797 mm), and maize even experienced slight yield reductions (with irrigation volumes reaching 883 mm). All irrigation options up to Full prevented or at least reduced water losses due to drainage. For maize, drainage remained at 0 mm up to Irr_80 (7 mm under Full), ranged between 0 mm (Irr_10) and 3.52 mm (Full) for sugar beet, and varied from 0 mm to 8.08 mm for processing tomato.
Beyond the optimal irrigation threshold, a significant and sudden increase in drainage losses was observed across all cropping systems. In Sur_40, drainage accounted for approximately 25% of the total irrigation supply for the two spring-summer crops (211 mm for maize and 186 mm for processing tomato) and even reached 37% for sugar beet (294 mm). For Blue_FP, the simulations indicated that this environmental sustainability index increased linearly and proportionally across all explored irrigation regimes, with a greater water use (mm) required to produce one unit of yield in processing tomato. Blue_FP values ranged from a minimum of 14.45 mm t⁻¹ under Irr_10 to 65.58 mm t⁻¹ under Full, reaching a maximum of 91.18 mm t⁻¹ under Sur_40.
Maize followed, with Blue_FP values increasing from 7.13 mm t⁻¹ under the most water-stressed regime to 60.42 mm t⁻¹ under the highest water supply (38.66 mm t⁻¹ under Full). Finally, sugar beet showed the best performance for this water-related parameter, with values ranging from 6.35 mm t⁻¹ under Irr_10 to 38.66 mm t⁻¹ under the optimized irrigation regime, reaching a maximum of 53.62 mm t⁻¹ under Sur_40. Moving on to the analysis of IUE, results showed a sharp decline as irrigation supply increased from the lowest level (Irr_10) to Irr_60 for maize (from 140.12 kg mm⁻¹ to 38.51 kg mm⁻¹), sugar beet (from 157.48 kg mm⁻¹ to 40.59 kg mm⁻¹), and processing tomato (from 73.93 kg mm⁻¹ to 21.20 kg mm⁻¹).
Beyond this threshold, further increases in irrigation led to additional decreases in IUE for all three crops. However, this decline was less pronounced compared to the reductions observed under lower irrigation regimes. IUE dropped from 29.05 kg mm⁻¹ to 16.55 kg mm⁻¹ when shifting from Irr_80 to Sur_40 for maize, from 31.88 kg mm⁻¹ to 18.65 kg mm⁻¹ for sugar beet, and from 17.84 kg mm⁻¹ to 10.97 kg mm⁻¹ for tomato. Thus, among the examined crops, processing tomato exhibited the lowest capacity to utilize irrigation water for yield production. Regarding the response of WUE to the applied irrigation regimes, it was less sensitive compared to IUE across all examined crops. In fact, WUE remained relatively stable for maize across all irrigation regimes, ranging from 22.01 kg of dry yield per mm of evapotranspired water (Irr_10) to 23.81 kg mm⁻¹ under optimal water supply, and 23.64 kg mm⁻¹ under Sur_40.
Sugar beet exhibited comparable WUE values to maize, with a slight decrease in this parameter as irrigation supply increased (from 22.58 kg mm⁻¹ to just above 21 kg mm⁻¹, moving from the most water-stressed regime to the most abundant one). Similarly, processing tomato, like maize, showed slight increases in WUE with increasing seasonal irrigation volumes, from a minimum of 9.76 kg mm⁻¹ under the most water-stressed regime to a small increase under Full (13.19 kg mm⁻¹), remaining almost stable even under Sur_40 (13.01 kg mm⁻¹). Finally, for Net_Inc, based on productivity and the price ranges of the applied irrigation volumes, three distinct patterns were observed across all three crops. Increases in water supply under low irrigation management led to a rise in income net of irrigation costs, which was lowest under Irr_10 for all three crops (€2,693 ha⁻¹, €13,570 ha⁻¹, and €5,788 ha⁻¹ for maize, sugar beet, and processing tomato, respectively), reaching the best value under Irr_60 for maize (€3,997), around €21,370 for sugar beet under Irr_80 and Full regimes, and €15,557 under Full for processing tomato (still not far from the value achievable under Sur_20).
Although the two highest irrigation volumes did not result in significant productivity increases across all crops compared to Full, they still ensured Net_Inc higher to those achievable under more water-stressed regimes. This is despite the costs for such management ranging from a minimum of approximately €54 for Irr_10 (averaged across the three cropping systems) to a maximum of around €1,600 ha⁻¹ under Sur_40.

3.2. Analysis of cropping systems processed by MUVT

The values of the regressors of the standardized polynomial between the water-related variables and the seasonal irrigation volumes (Eq. 5), as well as the R² values and the values of α, are reported in Table 2, while their conversion (Eq. 6-10) into evaluative and numerical judgment is presented in Table 3.
Regarding the productive performance of the three examined crops, MUVT produced a WVi score based on the standardized regressor values, and the weight assigned to these indices, in conjunction with the significance of the regression model in the final evaluation. This score, equal to 1.00, corresponds to a "Very strong" impact of irrigation on the dynamics of this water-related parameter.
About the environmental sustainability of irrigation, as reflected by the dynamics of drainage and Blue_FP, it was found that, for the first variable, MUVT indicated a "Not significant" impact of irrigation on the two summer crops (maize and tomato) and a "Poor" impact for sugar beet. In contrast, for the second index, the irrigation management exhibited a "Very strong" effect on this water-related variable. The negligible impact of irrigation on drainage, as attributed by MUVT, was because, as highlighted in Section 3.1, seasonal irrigations up to the Full management level did not generate significant water losses by drainage (with the maximum being observed in processing tomato at 8.08 mm). However, in the two extreme regimes (Sur_20 and Sur_40), drainage increased rapidly for all three crops, reaching values up to one third of the irrigation volume. For Blue_FP, a linear and stable increase in this index was observed as the seasonal irrigation volumes simulated with AquaCrop increased. This trend justified the WVi value of −1.00 and, consequently, the maximum impact rating. Specifically, it was found that for every mm of irrigation water supplied to the system, the crop consumed unproductively approximately 0.075 mm for maize, 0.078 mm for sugar beet, and about 0.18 mm to produce one kg of dry fruits. The strong dependence of crop productivity on irrigation volumes (IUE) was confirmed by MUVT for all three crops, as evidenced by the "Very strong" rating in correlating the performance of cropping systems with the applied irrigation management. Unlike IUE, the response of the three cropping systems was markedly different regarding the dynamics of WUE as a function of the seasonal irrigation regime.
MUVT’s processing of data on WUE trends relative to water supply resulted in a "Very strong" rating for processing tomato, which dropped to "Moderate" for maize, and ultimately indicated a complete lack of correlation between sugar beet yield and the irrigation regime. Although WUE variability within each crop occurred within narrow ranges, MUVT proved sensitive enough to capture the significance of these variations even within such a restricted range. The differences in WUE response to irrigation regimes can be attributed to several factors. One factor is the duration of the crop cycle—sugar beet can utilize water reserves accumulated from rainfall between autumn and spring, thereby maintaining a more stable water productivity across irrigation regimes. Another factor is root depth; processing tomato has shallow roots, making it more dependent on water supply to regulate its evapotranspiration, in contrast to maize and sugar beet, which are characterized by deeper roots that allow them to explore a greater soil depth in search of water.
Finally, regarding Net_Inc, MUVT indicated a clear ("Very strong") dependence of net income (after deducting irrigation costs, which were structured into three pricing tiers based on the applied volumes) on irrigation volumes for all the analyzed crops. This was evidenced by the marked increases observed as the irrigation regimes approached the optimal level, although irrigation volumes beyond the Full regime did not yield any further benefit for Net_Inc.

3.4. Multi-objective analysis of maize, sugar beet and processing tomato

Although MUVT provides both numerical ratings (WVi) and qualitative assessments (ranging from "Very strong" to "Not significant") regarding the impact of irrigation on water-related parameters, it is also capable of performing a multi-objective evaluation. It does so by modulating the values of TWi (see Eq. 11) based on water supply and by providing a final numerical value (Imobj) that allows for a quick and clear determination of the optimal irrigation regime needed to achieve the best balance among the water-related variables for each cropping system. TWi enabled the assessment of trade-offs among various water-related metrics—such as productivity and economic performance, environmental sustainability and water use efficiency—by assigning scores to each variable, which can then be compared within a given scenario and across different irrigation regimes (in Table 4, the response of Twi is reported as a function of increasing irrigation volumes, which are equal for all three crops analyzed). Unlike raw data, which requires separate analysis for each parameter and is often difficult to compare across different cropping systems, TWi provides a standardized, intuitive framework that simplifies interpretation and facilitates informed decision-making. By offering a single, comparable metric, TWi enables rapid assessment of how cropping systems (through the dynamics of their representative parameters) respond to irrigation without the need for complex cross-variable analysis. In addition, the return of a value (TWi) that is weighted based on the actual impact of irrigation on the water-related parameters allows for a comparison within irrigation scenarios and among irrigation scenarios that is free from "noise" that could lead to responses influenced by factors unrelated to irrigation management.
For maize, the TWi scores revealed that at the lowest irrigation volume (100 mm), productivity was severely compromised – both Dry_Y and Net_Inc recorded negative values – although water use efficiency was high, as indicated by Blue_FP (1.19) and IUE (1.34), which in our framework mean that the system is making efficient use of the limited water available. As irrigation increased to 200 mm and 300 mm, performance gradually improved, with Dry_Y reaching 0.03 and Net_Inc rising to 0.96 at 300 mm, highlighting a recovery from water-stressed conditions. Moderate irrigation volumes (400 and 500 mm) further enhanced performance; for example, at 400 mm, Dry_Y reached 0.47 and Net_Inc was 1.40, while at 500 mm these values improved to 0.75 and 1.64, respectively. The optimal performance was observed at 600 mm, where Dry_Y peaked at 0.88 and Net_Inc at 1.68, with WUE at 0.43, and the efficiency indicators remained high (Blue_FP = 0.54; IUE = 0.86). However, when the applied irrigation volume increased beyond 600 mm—to 700 mm and then 800 mm—environmental performance declined: Blue_FP decreased from 0.54 at 600 mm to 0.30 at 800 mm, WUE declined from 0.43 to 0.32, and drainage shifted from nearly neutral (0.01 at 600 mm) to 0.13 at 800 mm.
Processing tomato exhibited a similar trajectory. At the lowest irrigation volumes (100–300 mm), the TWi values for Dry_Y and Net_Inc were negative or marginal (–1.22 and –1.20 at 100 mm, rising to 0.07 and 0.13 at 300 mm). As irrigation increased to 400 mm and 500 mm, both productivity and efficiency indicators improved, and optimal performance was recorded at 600 mm, where Dry_Y peaked at 0.92 and Net_Inc at 0.90, with WUE at 0.77. However, when irrigation was further increased to 700 mm and 800 mm, water use efficiency deteriorated sharply—Blue_FP decreased from -0.94 at 600 mm to -1.35 at 700 mm and further to -1.75 at 800 mm—while WUE declined from 0.77 to 0.40. In parallel, both Dry_Y and Net_Inc declined, and drainage worsened (increasing from -0.02 at 600 mm to -0.31 at 800 mm).
Sugar beet, in contrast, displayed a more gradual response. Under water-stressed conditions at low irrigation volumes (100 mm), TWi values for Dry_Y and Net_Inc were negative, while efficiency was high. As irrigation increased to 200 mm and 300 mm, performance improved steadily – with Dry_Y reaching 0.09 and Net_Inc turning slightly positive. Further improvements were observed at 400 mm and 500 mm, where Dry_Y increased to 0.51 and 0.78 and Net_Inc to 0.59 and 0.82, respectively. The optimum was reached at 600 mm, where Dry_Y and Net_Inc peaked at the highest scores. However, further increases to 700 mm and 800 mm resulted in declines in both yield and net income Twi performance. Notably, WUE remained constant at 0.00 across all irrigation volumes—indicating that water use efficiency in sugar beet was not influenced by irrigation level—while Blue_FP decreased from -0.82 at 600 mm to the worst score at 800 mm and drainage worsened from 0.02 to negative TWi.
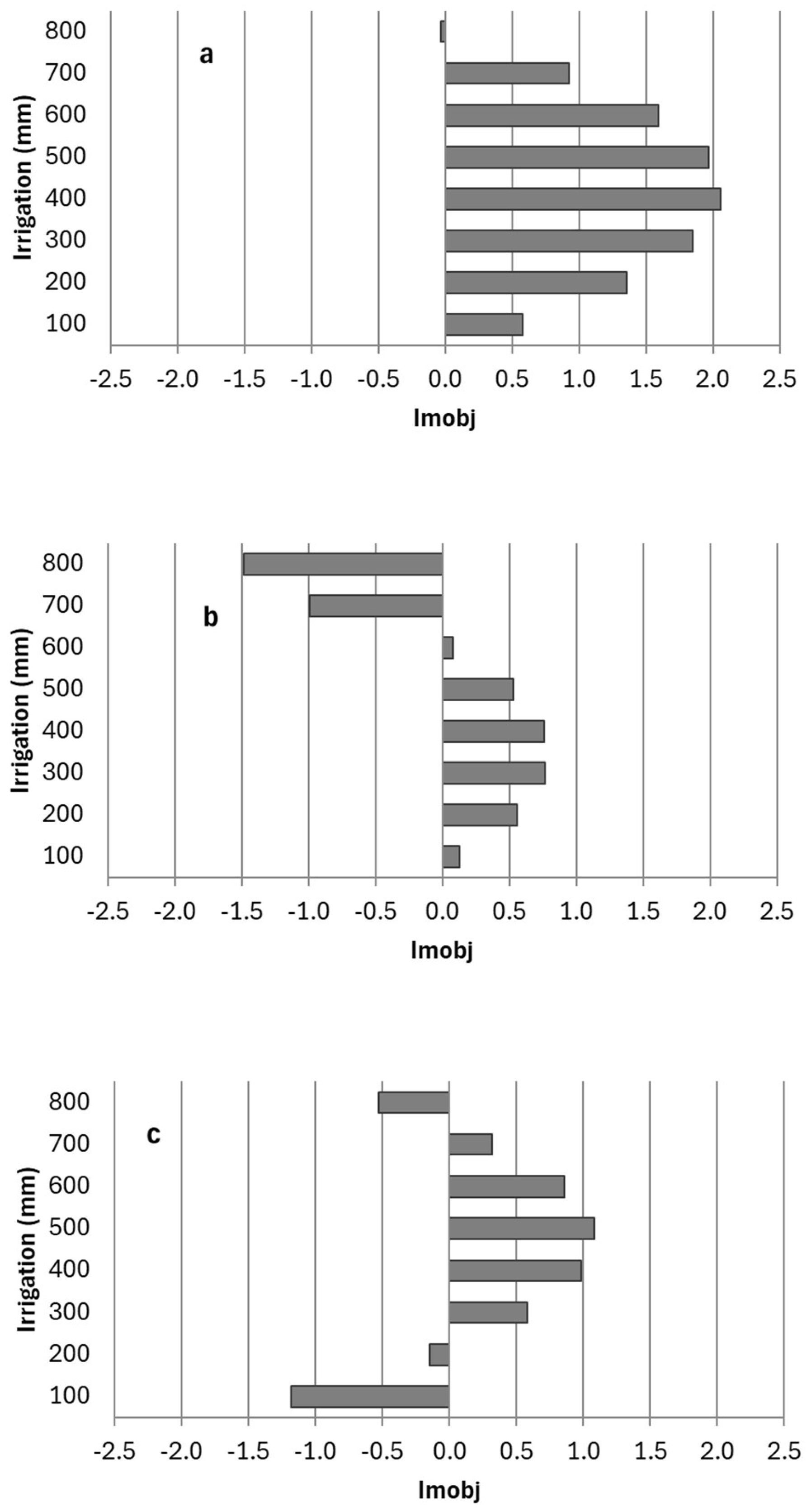
These findings confirm that TWi is a rapid, standardized index providing clear and comparable insights into the water-related responses of cropping systems to varying irrigation volumes. While each irrigation regime has its own benefits and drawbacks—as reflected by the different TWi metrics—evaluating these parameters individually (even with TWi) is challenging when attempting to integrate yield, water use efficiency, environmental sustainability, and economic returns into a unified irrigation management approach. To overcome this complexity, the aggregated index Imobj (Figure 1) was employed, offering straightforward and interpretable insights into the impact of different irrigation volumes.
For maize, the Imobj scores improved significantly as irrigation increased from very low levels (around 100 mm, where the Imobj value was approximately 0.57, heavily affected by poor productivity and WUE) to a moderate range. The optimal performance was observed between approximately 400 mm and 500 mm, with peak Imobj reaching around 2.05 at 400 mm. However, when irrigation volumes exceeded this moderate range—approaching 700 to 800 mm—the evaluative index declined, dropping to nearly -0.03 at 800 mm, due to high inefficiency in water use and significant water loss through drainage.
Similarly, sugar beet exhibited a gradual improvement in overall performance as water availability increased. At very low irrigation levels (100 mm), the Imobj value was slightly above 0.1, reflecting a system imbalance that promoted water saving and water use efficiency rather than crop performance. The best performance was achieved in the range of 300 mm to 400 mm, where Imobj scores peaked between 0.76 (300 mm) and 0.77 (400 mm). Beyond this range, particularly at 800 mm, Imobj fell sharply to nearly -1.48, heavily impacted by excessive irrigation water consumption per unit of root yield (Blue_FP).
Processing tomato followed a comparable pattern. The optimal performance for tomato was recorded in the moderate irrigation range of roughly 400 mm to 500 mm, where Imobj values ranged between 0.99 for the former and 1.08 for the latter. In contrast, extremely low irrigation (between 100 mm and 200 mm) resulted in significantly negative Imobj values, reaching -1.18 under the most severe water-stressed scenario, due to compromised productivity and profitability. Conversely, excessive irrigation beyond 600 mm also led to suboptimal performance, with Imobj declining to 0.32 at 700 mm. While this irrigation level still resulted in satisfactory TWi values for productivity and economic returns, it was severely penalized by drainage losses and excessive irrigation water consumption. The Imobj score further dropped to -0.53 under an 800 mm irrigation regime, driven by a worsening sustainability profile related to water saving (with strongly negative TWi values for drainage and Blue_FP) and a decline in dry fruit yield and net income.

4. Discussion

The agricultural sector is currently under scrutiny as it faces two major global challenges. On the one hand, the growing global population necessitates an increase in food production [1,31,32]. On the other hand, it is imperative to safeguard increasingly scarce natural resources, such as water [9], and to address the challenges posed by climate change [33,34]. To mitigate these challenges, the agricultural sector can optimize the use of agro-inputs. This optimization helps reduce greenhouse gas emissions [35,36] and minimizes environmental impacts, such as nitrate leaching [37].
For these reasons, resource optimization models and tools for agricultural systems have gained increasing relevance in recent years. Various analytical approaches have been proposed. Some models integrate standalone algorithms for resource allocation [38], while others use fuzzy calculation procedures based on expert weight systems to optimize nitrogen fertilizer application and soil management [14,39]. In addition, several decision support systems (DSS) have been developed for managing fertilizers and soil management [41,42], and irrigation management [43,44,45].
Crop simulation models such as AquaCrop [46], STICS [47], CropSyst [48], and DSSAT [49] have been widely used to evaluate the response of cropping systems to various agro-inputs. For instance, AquaCrop has been applied to optimize water supply in processing tomato [29] and to evaluate the productivity and water use efficiency of winter wheat [50], alfalfa [51], and forage sorghum [52]. Other models have been used to explore nitrogen dynamics in the soil–plant system [53].
These simulation models offer the advantage of exploring numerous variables. They assess direct parameters such as crop yield, water and nutrient demand, evapotranspiration, soil organic matter dynamics, drainage losses, and water productivity. In addition, they evaluate derived parameters like irrigation use efficiency and water use efficiency. This comprehensive approach enables full control over crop management and a thorough investigation of various input-related parameters. However, two key aspects must be considered when selecting these tools. First, a high level of expertise is required to calibrate and validate the crop models so that they accurately replicate the cropping system’s behavior under different scenarios. Second, the outcomes often focus on individual aspects (e.g., production, drainage, evapotranspiration) and must be further processed to identify the optimal levels of specific inputs for system-wide optimization.
For example, simulated irrigation scenarios using AquaCrop for processing tomato provided multiple variables—including production, economic performance, environmental sustainability, and water use efficiency—which were then processed within a multi-objective analysis [29]. Similarly, CropWat [54] was used to evaluate the effect of irrigation management and various organic fertilizers on olive trees. The data were subsequently processed through an empirical framework to manage irrigation and fertilizer inputs, thereby optimizing the water footprint, productivity, and sustainability of olive groves [55].
These studies underscore the need to use algorithms within empirical frameworks for resource optimization also in cropping contexts. Such frameworks are not designed around specific variables, making them highly adaptable to the user's needs. For instance, multi-objective optimization approaches have been successfully applied to allocate water resources [56], optimize irrigation and fertilization for potatoes [12], and allocate agricultural land use [57,58,59,60]. Recent enhancements to multi-objective algorithms, such as an enhanced NSGA-II for maize irrigation and fertilization scheduling [61], further illustrate this point.
Understanding the flowchart of these complex empirical methodologies and replicating them in spreadsheets can be challenging. MUVT was therefore designed to provide a multi-objective analysis aimed at optimizing the amount of an input variable—such as mineral or organic fertilization, seasonal irrigation regimes, or even variables not directly linked to agricultural systems. Its purpose is to balance the overall performance of the system under investigation, allowing the user to compare how an input (in quantitative terms) can modify the system's response for specific output variables and/or by aggregating these outcomes into a single aggregated index. In this study, MUVT was applied to evaluate the response of six water-related parameters across three cropping systems because of applied seasonal irrigation volumes, and to identify the optimal water allocation to achieve an optimal balance among all the investigated variables. Although the tool can process up to 20 outcomes, here we focused on production, economic, and environmental performance.
As indicated in Section 2.2, the MUVT framework is based on the regressors (b), the alpha level (α), and the coefficient of determination (R²) from the second-degree standardized polynomial correlation between the input (at various applied levels) and the system’s response variables. These parameters can be derived using statistical software that incorporates regression analysis. This provides full flexibility for the user in selecting input and output variables and in choosing the methodologies they deem necessary (at different levels of complexity) to obtain these variables, as MUVT is not tied to specific conditions or contexts being examined. In the modeling exercise presented here, the dynamics of variables for maize, sugar beet, and processing tomato in response to applied irrigation regimes were obtained using the AquaCrop model, subsequently subjected to standardized regression analysis, and the corresponding parameters were input into MUVT. However, remaining in the agronomic context, the user can use other methods (e.g., experimental observations, empirical approaches, or different simulation models) to set up the regression analysis to obtain the parameters required for MUVT processing. Once the standardized regression parameters are entered into the tool, MUVT performs real-time calculations and provides an initial numerical assessment of the impact that the input variable in the system has on the output variables (WVi). It then assigns a qualitative judgment—from "Very strong" to "Not significant"—related to what is expressed by WVi (e.g., the impact of seasonal irrigation volumes on specific variables such as Dry_Y, drainage, IUE, etc.). This initial evaluation is crucial because it allows for a preliminary screening of input-related variables, enabling researchers to focus subsequent analyses on those with meaningful correlations while excluding uncorrelated or weakly dependent ones.
Although TWi allows precise evaluations of individual system variables—for example, indicating how much the productive and/or environmental performance may increase or decrease with varying seasonal irrigation regimes (on a scale from 0 to 1, and therefore easily interpretable, Table 4)—it does not, at least not effectively, permit an assessment of the system as a whole. To address this limitation, MUVT aggregates the TWi values for all variables to provide the aggregated index (Imobj). This index reflects the balance between the positive effects (i.e. increased crop production, increased economic return as irrigation volumes increase) and negative effects (i.e. increased drainage and Blue_FP with higher water supply) of the input, thus allowing easy identification of input levels that are considered unsustainable for that system, or conversely, optimize the system's overall response. When applied to the three cropping systems, Imobj enabled the identification of irrigation scenarios with the poorest performance for each crop. For instance, negative Imobj values were observed for sugar beet when seasonal irrigations exceeded 600 mm and for processing tomato when they exceeded 800 mm (with processing tomato showing negative values even at irrigations below 300 mm). The usefulness of Imobj becomes apparent not only when evaluating the response of a single system as the input variable changes, but also when comparing different systems. In the three cropping systems, if one had to select the system with the best balance among productive, economic, and environmental performance, maize exhibited the highest score among all the compared irrigation regimes. This conclusion holds even when the availability of a certain input (e.g., water for irrigation) is limited to specific ranges; for example, if seasonal irrigation volumes could not exceed 300 mm, Imobj would still indicate maize as the preferred cropping system—with aggregated index values of 1.85 for maize, 0.77 for sugar beet, and 0.58 for processing tomato (Figure 1).
Another advantage offered by MUVT is its ability to modulate the output based on variations of the parameter k (Eq. 9) according to the user's needs. As described in Section 2.2, k allows for the adjustment of the sensitivity (importance) of one or more system variables to changes in the input variable on a scale from 0 to 10 (higher values result in higher importance). The data reported thus far were based on a balanced k (equal to 5) for all water-related variables, which influenced the values of WVi, TWi, and consequently Imobj.
To test how the recommendations provided by MUVT could change based on the values of k, an additional analysis was conducted using unbalanced k values among the different water-related parameters. In this configuration, the importance of Dry_Y was significantly reduced (k = 1) and the weight of Net_Inc was slightly reduced (k = 3). In contrast, the weight assigned to environmental performance—both for drainage and Blue_FP as well as for IUE and WUE—was increased by setting k to 10. As a result, the recommendations provided by MUVT underwent variations compared to those obtained using balanced k values (Figure 2). By decreasing the weight of productive and economic performance, scenarios with higher irrigation supply were further penalized by Imobj. For maize, the score dropped from 0 with balanced k to –0.87 with unbalanced k under seasonal irrigation volumes of 800 mm. For sugar beet, the already negative Imobj values observed at 700 mm (–0.99) and 800 mm (–1.48) with balanced k further decreased to –1.38 and –2.46, respectively, under unbalanced k.
Interestingly, for processing tomato the adjustment of k to support environmental sustainability over other the performance parameters resulted in an inversion of the Imobj trend under certain seasonal irrigation regimes compared to balanced k. For example, with a water supply of 700 mm, Imobj was positive with balanced k but dropped to –0.42 when k was unbalanced. Conversely, while MUVT configured with balanced k yielded a negative score under seasonal irrigation of 200 mm, using unbalanced k produced a positive value (0.39), indicating how the irrigation management (especially under more extreme regimes) of processing tomato had a greater impact compared to the other two cropping systems.
Based on these results, by comparing the responses with balanced and unbalanced k, MUVT shifted the optimal irrigation regimes for achieving the best optimization of the cropping systems downward, specifically highlighting the best irrigation strategies in this context. Definitely, for maize the highest Imobj with balanced k was 2.05 at 400 mm. With unbalanced k, the best score shifted to 2.13 at 300 mm. In the case of sugar beet, the system achieved the Imobj score of 1.03 with the lowest irrigation regime (using unbalanced k), indicating an aggregate performance higher than the score achieved under balanced k when irrigated with 300 mm. Anyway, the best overall performance was observed with a water supply of 200 mm (Imobj = 1.12), when environmental sustainability was prioritized over productive performance.
Similar conclusions were drawn for processing tomato. With balanced weights, the best performance was achieved with an irrigation of 500 mm. With diversified k values, however, the highest score was obtained with a water supply of 400 mm.
Finally, these dynamics demonstrated the broad flexibility of MUVT, which is adaptable to various systems (here, cropping systems were explored). Moreover, it is not confined to a rigid structure but is highly customizable based on the analyzed variables (whose regressions form the foundational basis of the tool’s evaluation process and are independent of its operation). Within these variables, it allows users to modulate MUVT’s assessment based on which aspect of the system they wish to prioritize or optimize.

5. Conclusions

This study introduced and tested the Multi-Objective Evaluation Tool (MUVT), an innovative framework for multi-objective analysis aimed at optimizing resource management in cropping systems. By simulating different irrigation regimes applied to three herbaceous crops (maize, sugar beet, and processing tomato), the model enabled the assessment of the impact of various irrigation strategies on key parameters, including productivity, water use efficiency, environmental sustainability, and economic performance.
The results highlighted that the optimal irrigation level, balancing production and environmental sustainability, ranges between 400 mm and 500 mm for maize and processing tomato, while for sugar beet, it falls between 300 mm and 400 mm. However, when prioritizing sustainability over productivity, the recommended irrigation volumes decrease further. The comparison among crops revealed that maize exhibits the best overall performance in terms of productive and economic efficiency, followed by processing tomato and finally sugar beet.
The adopted multi-objective approach demonstrated the importance of an integrated analysis of multiple variables, providing a robust foundation for optimizing resource allocation in diverse contexts. MUVT proved to be a flexible and user-friendly tool, offering clear and comprehensive information that facilitates decision-making processes across various disciplines. One of its key strengths lies in its adaptability, as users can modulate MUVT’s responses to specific needs by adjusting the k parameter, allowing for customized optimization based on different priorities, whether agronomic, economic, industrial, or environmental.
Future perspectives include expanding MUVT’s application to a broader range of sectors, integrating additional evaluation parameters such as energy efficiency, financial performance, and sustainability metrics in agricultural and environmental planning. The adoption of advanced decision-support tools like MUVT represents a significant step toward more sustainable and efficient resource management, enhancing the resilience of systems facing global challenges.

Author Contributions

For research articles with several authors, a short paragraph specifying their individual contributions must be provided. The following statements should be used “Conceptualization, P.G.; methodology, P.G.; software, P.G.; validation, P.G..; formal analysis, P.G..; investigation, P.G.; resources, P.G. and A.V.V.; data curation, P.G. and A.V.V.; writing—original draft preparation, P.G.; writing—review and editing P.G.; supervision, P.G.; All authors have read and agreed to the published version of the manuscript

Funding

This research received no external funding

Data Availability Statement

Conflicts of Interest

The authors declare no conflicts of interest.

References

  1. United Nations (UN). Transforming Our World: The 2030 Agenda for Sustainable Development. Available online: https://www.un.org/sustainabledevelopment/ (accessed on 1 October 2024).
  2. Singh, A. An overview of the optimization modelling applications. J. Hydrol. 2012, 466–467, 167–182. [Google Scholar] [CrossRef]
  3. Yan, F.; Liu, X.; Bai, W.; Fan, J.; Zhang, F.; Xiang, Y.; Hou, X.; Pei, S.; Dai, Y.; Zeng, H.; Wang, Y. Multi-objective optimization of water and nitrogen regimes for drip-fertigated sugar beet in a desert climate. Field Crops Res. 2022, 288, 108703. [Google Scholar] [CrossRef]
  4. Vedula, S.; Mujumdar, P.P.; Sekhar, G.C. Conjunctive use modeling for multicrop irrigation. Agric. Water Manag. 2005, 73, 193–221. [Google Scholar] [CrossRef]
  5. Karamouz, M.; Zahraie, B.; Kerachian, R.; Eslami, A. Crop pattern and conjunctive use management: A case study. Irrig. Drain. 2008, 59, 161–173. [Google Scholar] [CrossRef]
  6. Agbeleye, O.A.; Akinyosoye, S.T.; Adetumbi, J.A. Correlation, path coefficient and principal component analysis of yield components in mung bean [Vigna radiata (L.) Wilczek] accessions. Trop. Agric. 2020, 97, 212–218. [Google Scholar]
  7. Hou, X.H.; Fan, J.L.; Hu, W.H.; Zhang, F.C.; Yan, F.L.; Xiao, C.; Li, Y.P.; Cheng, H.L. Optimal irrigation amount and nitrogen rate improved seed cotton yield while maintaining fiber quality of drip-fertigated cotton in northwest China. Ind. Crop. Prod. 2021, 170, 113710. [Google Scholar] [CrossRef]
  8. Chen, X.J.; Min, D.H.; Yasir, T.A.; Hu, Y.G. Evaluation of 14 morphological, yield-related and physiological traits as indicators of drought tolerance in Chinese winter bread wheat revealed by analysis of the membership function value of drought tolerance (MFVD). Field Crops Res. 2012, 137, 195–201. [Google Scholar] [CrossRef]
  9. Li, M.; Xu, W.; Zhu, T. Agricultural Water Allocation under Uncertainty: Redistribution of Water Shortage Risk. Am. J. Agric. Econ. 2019, 101, 134–153. [Google Scholar] [CrossRef]
  10. Xiao, C.; Zou, H.; Fan, J.; Zhang, F.; Li, Y.; Sun, S.; Pulatov, A. Optimizing irrigation amount and fertilization rate of drip-fertigated spring maize in northwest China based on multi-level fuzzy comprehensive evaluation model. Agric. Water Manag. 2021, 257, 107157. [Google Scholar] [CrossRef]
  11. Zhang, S.; Chen, S.; Hu, T.; et al. Optimization of irrigation and nitrogen levels for a trade-off: Yield, quality, water use efficiency and environment effect in a drip-fertigated apple orchard based on TOPSIS method. Sci. Hortic. 2023, 309, 111700. [Google Scholar] [CrossRef]
  12. Wang, H.; Cheng, M.; Zhang, S.; Fan, J.; Feng, H.; Zhang, F.; Xiang, Y. Optimization of irrigation amount and fertilization rate of drip-fertigated potato based on analytic hierarchy process and fuzzy comprehensive evaluation methods. Agric. Water Manag. 2021, 256, 107130. [Google Scholar] [CrossRef]
  13. Yan, F.L.; Zhang, F.C.; Fan, X.K.; Wang, Y.; Hou, X.H.; He, Q. Optimal irrigation and nitrogen application amounts for spring maize based on evaluation model in sandy soil area in Ningxia. Trans. Chin. Soc. Agric. Eng. 2020, 9, 257–265. [Google Scholar]
  14. Garofalo, P.; Campi, P.; Vonella, A.V.; Mastrorilli, M. Application of multi-metric analysis for the evaluation of energy performance and energy use efficiency of sweet sorghum in the bioethanol supply-chain: A fuzzy-based expert system approach. Appl. Energy 2018, 220, 313–324. [Google Scholar] [CrossRef]
  15. Hou, X.H.; Fan, J.L.; Hu, W.H.; Zhang, F.C.; Yan, F.L.; Xiao, C.; Li, Y.P.; Cheng, H.L. Optimal irrigation amount and nitrogen rate improved seed cotton yield while maintaining fiber quality of drip-fertigated cotton in northwest China. Ind. Crop. Prod. 2021, 170, 113710. [Google Scholar] [CrossRef]
  16. Yan, F.; Liu, X.; Bai, W.; Fan, J.; Zhang, F.; Xiang, Y.; Hou, X.; Pei, S.; Dai, Y.; Zeng, H.; Wang, Y. Multi-objective optimization of water and nitrogen regimes for drip-fertigated sugar beet in a desert climate. Field Crops Res. 2022, 288, 108703. [Google Scholar] [CrossRef]
  17. Steduto, P.; Hsiao, T.C.; Raes, D.; Fereres, E. AQUACROP - The FAO Crop Model to Simulate Yield Response to Water: I. Concepts and Underlying Principles. Agron. J. 2009, 101, 426–437. [Google Scholar] [CrossRef]
  18. Dhouib, M.; Zitouna-Chebbi, R.; Prévot, L.; Molénat, J.; Mekki, I.; Jacob, F. Multicriteria evaluation of the AquaCrop crop model in a hilly rainfed Mediterranean agrosystem. Agric. Water Manag. 2022, 273, 107912. [Google Scholar] [CrossRef]
  19. Muroyiwa, G.A.T.M.; Mhizha, T.; Mashonjowa, E.; Muchuweti, M. Evaluation of FAO AquaCrop Model for ability to simulate attainable yields and water use for field tomatoes grown under deficit irrigation in Harare, Zimbabwe. Afr. Crop Sci. J. 2022, 30, 245–269. [Google Scholar] [CrossRef]
  20. Raes, D.; Steduto, P.; Hsiao, T.C.; Fereres, E. AquaCrop - the FAO crop model to simulate yield response to water: II. Main algorithms and software description. Agron. J. 2009, 101, 438–447. [Google Scholar] [CrossRef]
  21. Wellens, J.; Raes, D.; Fereres, E.; Diels, J.; Coppye, C.; Adiele, J.G.; Ezui, K.S.G.; Becerra, L.-A.; Selvaraj, M.G.; Dercon, G.; Heng, L.K. Calibration and validation of the FAO AquaCrop water productivity model for cassava (Manihot esculenta Crantz). Agric. Water Manag. 2022, 263, 107491. [Google Scholar] [CrossRef]
  22. Paredes, P.; de Melo-Abreu, J.P.; Alves, I.; Pereira, L.S. Assessing the performance of the FAO AquaCrop model to estimate maize yields and water use under full and deficit irrigation with focus on model parameterization. Agric. Water Manag. 2014, 144, 81–97. [Google Scholar] [CrossRef]
  23. García-Vila, M.; Morillo-Velarde, R.; Fereres, E. Modeling sugar beet responses to irrigation with AquaCrop for optimizing water allocation. Water 2019, 11, 1918. [Google Scholar] [CrossRef]
  24. Rinaldi, M.; Garofalo, P.; Rubino, P.; Steduto, P. Processing tomatoes under different irrigation regimes in Southern Italy: Agronomic and economic assessments in a simulation case study. J. Agrometeorol. 2011, 3, 39–56. [Google Scholar]
  25. Francaviglia, R.; Di Bene, C. Deficit drip irrigation in processing tomato production in the Mediterranean basin: A data analysis for Italy. Agriculture 2019, 9, 79. [Google Scholar] [CrossRef]
  26. Uygan, D.; Cetin, O.; Alveroglu, V.; Sofuoglu, A. Improvement of water saving and economic productivity based on irrigation with sugar content of sugar beet using linear move sprinkler irrigation. Agric. Water Manag. 2021, 255, 106989. [Google Scholar] [CrossRef]
  27. Corbari, C.; Ben Charfi, I.; Mancini, M. Optimizing irrigation water use efficiency for tomato and maize fields across Italy combining remote sensing data and the AquaCrop model. Hydrology 2021, 8, 39. [Google Scholar] [CrossRef]
  28. Emberger, L. Une classification biogéographique des climats. In Recueil des Travaux du Laboratoire Géolo-Zoologique de la Faculté des Sciences de Montpellier; Service Botanique: Montpellier, France, 1955; Volume 7, pp. 3–43. [Google Scholar]
  29. ISMEAmercati. Listino dei Prezzi alla Produzione Agricola. Available online: https://www.ismeamercati.it/flex/cm/pages/ServeBLOB.php/L/IT/IDPagina/1189 (accessed on 1 October 2024).
  30. Garofalo, P.; Riccardi, M.; Di Tommasi, P.; Tedeschi, A.; Rinaldi, M.; De Lorenzi, F. AquaCrop model to optimize water supply for sustainable processing tomato cultivation in the Mediterranean area: A multi-objective approach. Agric. Syst. 2025, 223, 104198. [Google Scholar] [CrossRef]
  31. Agerborsamerci. Listino Prezzi Agricoli. Available online: https://www.agerborsamerci.it/listino/listino.html (accessed on 1 October 2024).
  32. Fullbrook, D. Food as security. Food Secur. 2010, 2, 5–20. [Google Scholar] [CrossRef]
  33. Alexandratos, N.; Bruinsma, J. World Agriculture towards 2030/2050: The 2012 Revision; FAO: Rome, Italy, 2012. [Google Scholar]
  34. Malhi, G.S.; Kaur, M.; Kaushik, P. Impact of climate change on agriculture and its mitigation strategies: A review. Sustainability 2021, 13, 1318. [Google Scholar] [CrossRef]
  35. Shahzad, A.; Ullah, S.; Dar, A.A.; Sardar, M.F.; Mehmood, T.; Tufail, M.A.; Haris, M. Nexus on climate change: Agriculture and possible solutions to cope with future climate change stresses. Environ. Sci. Pollut. Res. 2021, 28, 14211–14232. [Google Scholar] [CrossRef]
  36. Nsabiyeze, A.; Ma, R.; Li, J.; Luo, H.; Zhao, Q.; Tomka, J.; Zhang, M. Tackling climate change in agriculture: A global evaluation of the effectiveness of carbon emission reduction policies. J. Clean. Prod. 2024, 142973. [Google Scholar] [CrossRef]
  37. Bibi, F.; Rahman, A. An overview of climate change impacts on agriculture and their mitigation strategies. Agriculture 2023, 13, 1508. [Google Scholar] [CrossRef]
  38. Shi, W.; Zhang, Q.; Xie, R.; Sheng, K.; Tan, J.; Wang, Y. Blending loss-control and normal urea maximizes nitrogen utilization of summer maize by mitigating ammonia volatilization and nitrate leaching. Plant Soil 2023, 490, 125–141. [Google Scholar] [CrossRef]
  39. Miao, B.L.; Liu, Y.; Fan, Y.B.; Niu, X.J.; Jiang, X.Y.; Tang, Z. Optimization of Agricultural Resource Allocation among Crops: A Portfolio Model Analysis. Land 2023, 12, 1901. [Google Scholar] [CrossRef]
  40. Garofalo, P.; Mastrorilli, M.; Ventrella, D.; Vonella, A.V.; Campi, P. Modelling the suitability of energy crops through a fuzzy-based system approach: The case of sugar beet in the bioethanol supply chain. Energy 2020, 196, 117160. [Google Scholar] [CrossRef]
  41. Elia, A.E.; Conversa, G. A decision support system (GesCoN) for managing fertigation in open-field vegetable crops. Part I—Methodological approach and description of the software. Front. Plant Sci. 2015, 6, 319. [Google Scholar] [CrossRef]
  42. Garofalo, P.; Parlavecchia, M.; Giglio, L.; Campobasso, I.; Ventrella, D. Developing a software for measuring carbon and water footprint of organic durum wheat cultivation systems: The Smart Future Organic Farming (SFOF) project. In Proceedings of the XXV National Agrometeorology Conference, Italy; 2023; pp. 100–103. [Google Scholar]
  43. Garofalo, P.; Cammerino, A.R.B. Modeling the performance of a continuous durum wheat cropping system in a Mediterranean environment: Carbon and water footprint at different sowing dates, under rainfed and irrigated water regimes. Agriculture 2025, 15, 259. [Google Scholar] [CrossRef]
  44. Mirás-Avalos, J.M.; Rubio-Asensio, J.S.; Ramírez-Cuesta, J.M.; Maestre-Valero, J.F.; Intrigliolo, D.S. Irrigation-Advisor—A decision support system for irrigation of vegetable crops. Water 2019, 11, 2245. [Google Scholar] [CrossRef]
  45. Urso, G.D.; Michele, C.D.; Bolognesi, S.F. IRRISAT: The Italian on-line satellite irrigation advisory service. In Proceedings of the EFITA-WCCA-CIGR Conference, Turin, Italy, 24–27 June 2013. [Google Scholar]
  46. Bonfante, A.; Monaco, E.; Manna, P.; De Mascellis, R.; Basile, A.; Buonanno, M.; Brook, A. LCIS DSS—An irrigation supporting system for water use efficiency improvement in precision agriculture: A maize case study. Agric. Syst. 2019, 176, 102646. [Google Scholar] [CrossRef]
  47. Vanuytrecht, E.; Raes, D.; Steduto, P.; Hsiao, T.C.; Fereres, E.; Heng, L.K.; et al. AquaCrop: FAO's crop water productivity and yield response model. Environ. Model. Softw. 2014, 62, 351–360. [Google Scholar] [CrossRef]
  48. Brisson, N.; Gary, C.; Justes, E.; Roche, R.; Mary, B.; Ripoche, D.; Sinoquet, H. An overview of the crop model STICS. Eur. J. Agron. 2003, 18, 309–332. [Google Scholar] [CrossRef]
  49. Stöckle, C.O.; Kemanian, A.R.; Nelson, R.L.; Adam, J.C.; Sommer, R.; Carlson, B. CropSyst model evolution: From field to regional to global scales and from research to decision support systems. Environ. Model. Softw. 2014, 62, 361–369. [Google Scholar] [CrossRef]
  50. Jones, J.W.; Hoogenboom, G.; Porter, C.H.; Boote, K.J.; Batchelor, W.D.; Hunt, L.A.; Ritchie, J.T. The DSSAT cropping system model. Eur. J. Agron. 2003, 18, 235–265. [Google Scholar] [CrossRef]
  51. Zhang, C.; Xie, Z.; Wang, Q.; Tang, M.; Feng, S.; Cai, H. AquaCrop modeling to explore optimal irrigation of winter wheat for improving grain yield and water productivity. Agric. Water Manag. 2022, 266, 107580. [Google Scholar] [CrossRef]
  52. Raes, D.; Fereres, E.; Vila, M.G.; Curnel, Y.; Knoden, D.; Çelik, S.K.; Wellens, J. Simulation of alfalfa yield with AquaCrop. Agric. Water Manag. 2023, 284, 108341. [Google Scholar] [CrossRef]
  53. Fazel, F.; Ansari, H.; Aguilar, J. Determination of the most efficient forage sorghum irrigation scheduling strategies in the US Central High Plains using the AquaCrop model and field experiments. Agronomy 2023, 13, 2446. [Google Scholar] [CrossRef]
  54. Silva, L.; Conceição, L.A.; Lidon, F.C.; Patanita, M.; D’Antonio, P.; Fiorentino, C. Digitization of crop nitrogen modelling: A review. Agronomy 2023, 13, 1964. [Google Scholar] [CrossRef]
  55. Smith, M. CROPWAT: A Computer Program for Irrigation Planning and Management; FAO Irrigation and Drainage Paper No. 46; Food and Agriculture Organization: Rome, Italy, 1992. [Google Scholar]
  56. Garofalo, P.; Gaeta, L.; Vitti, C.; Giglio, L.; Leogrande, R. Optimizing water footprint, productivity, and sustainability in southern Italian olive groves: The role of organic fertilizers and irrigation management. Land 2025, 14, 318. [Google Scholar] [CrossRef]
  57. Naghdi, S.; Bozorg-Haddad, O.; Khorsandi, M.; Chu, X. Multi-objective optimization for allocation of surface water and groundwater resources. Sci. Total Environ. 2021, 776, 146026. [Google Scholar] [CrossRef]
  58. Kaim, A.; Cord, A.F.; Volk, M. A review of multi-criteria optimization techniques for agricultural land use allocation. Environ. Model. Softw. 2018, 105, 79–93. [Google Scholar] [CrossRef]
  59. Miettinen, K.; Mäkelä, M.M. On scalarizing functions in multiobjective optimization. OR Spectr. 2002, 24, 193–213. [Google Scholar] [CrossRef]
  60. Memmah, M.M.; Lescourret, F.; Yao, X.; Lavigne, C. Metaheuristics for agricultural land use optimization: A review. Agron. Sustain. Dev. 2015, 35, 975–998. [Google Scholar] [CrossRef]
  61. Whittaker, G.; Färe, R.; Grosskopf, S.; Barnhart, B.; Bostian, M.; Mueller-Warrant, G.; Griffith, S. Spatial targeting of agri-environmental policy using bilevel evolutionary optimization. Omega 2017, 66, 15–27. [Google Scholar] [CrossRef]
  62. Du, J.; Liu, R.; Cheng, D.; Wang, X.; Zhang, T.; Yu, F. Enhancing NSGA-II algorithm through hybrid strategy for optimizing maize water and fertilizer irrigation simulation. Symmetry 2024, 16, 1062. [Google Scholar] [CrossRef]
Figure 1. Aggregated multi-objective index score (Imobj) in response to seasonal irrigation regimes for maize (a), sugar beet (b) and processing tomato (c), with k = 5 for all water-related parameters.
Figure 1. Aggregated multi-objective index score (Imobj) in response to seasonal irrigation regimes for maize (a), sugar beet (b) and processing tomato (c), with k = 5 for all water-related parameters.
Preprints 150043 g001
Figure 2. Aggregated multi-objective index score (Imobj) in response to seasonal irrigation regimes for maize (a), sugar beet (b) and processing tomato (c), with unbalanced k for the water-related parameters.
Figure 2. Aggregated multi-objective index score (Imobj) in response to seasonal irrigation regimes for maize (a), sugar beet (b) and processing tomato (c), with unbalanced k for the water-related parameters.
Preprints 150043 g002
Table 1. Response of water-related parameters as a function of irrigation regimes simulated by AquaCrop from 2015 to 2020 for maize, sugar beet (SBeet), and processing tomato (Tom). Standard deviations are reported in brackets. Sbeet stands for sugar beet and PTom stands for processing tomato.
Table 1. Response of water-related parameters as a function of irrigation regimes simulated by AquaCrop from 2015 to 2020 for maize, sugar beet (SBeet), and processing tomato (Tom). Standard deviations are reported in brackets. Sbeet stands for sugar beet and PTom stands for processing tomato.
Crop Man Irr. Dry_y Drain Blue_FP IUE WUE Net_Inc
mm t ha-1 mm mm t-1 kg mm-1 kg mm-1 € ha-1
Maize Irr_10 63 (± 5) 8.84 (± 1.60) 0.00 (± 0.00) 7.13 (± 1.02) 140.12 (± 26.75) 22.01 (± 1.61) 2693 (± 499)
Irr_20 126 (± 10) 10.66 (± 1.51) 0.00 (± 0.00) 11.84 (± 1.60) 84.44 (± 9.73) 22.68 (± 1.34) 3163 (± 466)
Irr_40 252 (± 19) 13.05 (± 1.37) 0.00 (± 0.00) 19.34 (± 1.60) 51.71 (± 4.68) 23.47 (± 1.12) 3759 (± 416)
Irr_60 379 (± 29) 14.58 (± 0.50) 0.00 (± 0.00) 25.97 (± 0.49) 38.51 (± 0.75) 23.80 (± 0.86) 3997 (± 138)
Irr_80 505 (± 39) 14.67 (± 0.34) 0.00 (± 0.00) 34.42 (± 0.34) 29.05 (± 0.32) 23.71 (± 0.79) 3787 (± 73)
Full 631 (± 49) 14.62 (± 0.35) 7.10 (±1 6.62) 43.15 (± 0.62) 23.18 (± 0.25) 23.81 (± 0.82) 3404 (± 197)
Sur_20 757 (± 59) 14.62 (± 0.35) 83.13 (± 70.94) 51.77 (± 0.51) 19.32 (± 0.20) 23.63 (± 0.82) 3139 (± 56)
Sur_40 883 (± 69) 14.62 (± 0.35) 210.98 (± 77.65) 60.42 (± 0.60) 16.55 (± 0.17) 23.64 (± 0.82) 2820 (± 48)
Sbeet Irr_10 57 (± 8) 8.96 (± 1.51) 0.00 (±0.00) 6.35 (± 0.80) 157.48 (± 18.90) 22.58 (± 2.85) 13570 (± 2297)
Irr_20 114 (± 15) 10.51 (± 1.40) 0.67 (±0.82) 10.83 (± 1.41) 92.38 (± 19.14) 22.94 (± 2.27) 15849 (± 2129)
Irr_40 228 (± 30) 12.58 (± 0.97) 1.02 (±1.14) 18.09 (± 1.54) 55.28 (± 14.78) 22.99 (± 1.57) 18851 (± 1481)
Irr_60 341 (± 45) 13.86 (± 0.63) 2.98 (±0.98) 24.64 (± 1.32) 40.59 (± 5.35) 22.77 (± 1.25) 20592 (± 962)
Irr_80 455 (± 60) 14.51 (± 0.52) 3.07 (±0.69) 31.37 (± 1.35) 31.88 (± 2.39) 22.27 (± 1.16) 21368 (± 785)
Full 569 (± 75) 14.72 (± 0.45) 3.52 (±2.81) 38.66 (± 1.27) 25.87 (± 1.38) 21.22 (± 1.09) 21370 (± 658)
Sur_20 683 (± 90 14.88 (± 0.54) 133.70 (±22.34) 45.90 (± 1.23) 21.79 (± 0.87) 21.57 (± 1.21) 21401 (± 808)
Sur_40 797 (± 105) 14.86 (± 0.58) 293.55 (±50.13) 53.62 (± 1.17) 18.65 (± 0.79) 21.37 (± 1.16) 21056 (± 869)
PTom Irr_10 53 (± 5) 2.86 (± 0.82) 0.00 (± 0.00) 14.45 (± 3.93) 73.93 (± 21.57) 9.76 (± 1.38) 5788 (± 1684)
Irr_20 106 (± 10) 3.74 (± 0.86) 0.00 (± 0.00) 32.36 (± 7.26) 32.28 (± 7.50) 10.36 (± 1.30) 7505 (± 1763)
Irr_40 211 (± 19) 4.87 (± 0.84) 0.00 (± 0.00) 40.66 (± 6.84) 25.19 (± 4.29) 11.26 (± 1.00) 9716 (± 1716)
Irr_60 317 (± 29) 6.56 (± 0.87) 2.27 (± 0.94) 47.85 (± 6.42) 21.20 (± 2.73) 12.43 (± 0.99) 12960 (± 1775)
Irr_80 422 (± 39) 7.59 (± 0.59) 4.92 (± 1.86) 56.29 (± 4.00) 17.84 (± 1.26) 12.99 (± 0.69) 14840 (± 1188)
Full 530 (± 49) 8.06 (± 0.20) 8.08 (± 2.53) 65.58 (± 3.38) 15.41 (± 1.11) 13.19 (± 0.62) 15557 (± 506)
Sur_20 634 (± 58) 8.06 (± 0.21) 110.18 (± 23.46) 76.81 (± 2.17) 13.03 (± 0.36) 13.02 (± 0.63) 15333 (± 398)
Sur_40 739 (± 68) 8.06 (± 0.20) 185.67 (± 37.92) 91.18 (± 2.59) 10.97 (± 0.31) 13.01 (± 0.64) 15060 (± 393)
Table 2. Regressor values (βs), their corresponding p-values (α), and R-squared (R2) from the second-order regression analysis between seasonal irrigation volumes and the standardized examined variables.
Table 2. Regressor values (βs), their corresponding p-values (α), and R-squared (R2) from the second-order regression analysis between seasonal irrigation volumes and the standardized examined variables.
Crop Variable Parameter
β0 βi βii R2 α_ β0 α_ βi α_ βii
Maize Dry_Y -2.24E+00 -7.83E-06 9.89E-03 8.20E-01 0.00E+00 0.00E+00 0.00E+00
Drainage 6.72E-02 8.63E-06 -5.45E-03 7.90E-01 7.29E-01 0.00E+00 0.00E+00
Blue_FP -1.51E+00 4.19E-07 3.18E-03 9.90E-01 0.00E+00 1.95E-02 0.00E+00
IUE 2.20E+00 7.10E-06 -9.37E-03 8.40E-01 0.00E+00 0.00E+00 0.00E+00
WUE -9.22E-01 -5.33E-06 6.28E-03 2.70E-01 6.00E-04 1.02E-02 1.70E-03
Net_Inc -1.55E+00 -1.00E-05 1.14E-02 6.40E-01 0.00E+00 0.00E+00 0.00E+00
Sbeet Dry_Y -2.11E+00 -7.87E-06 9.70E-03 8.48E-01 0.00E+00 0.00E+00 0.00E+00
Drainage -6.84E-02 1.00E-05 -5.99E-03 8.48E-01 6.67E-01 0.00E+00 0.00E+00
Blue_FP -1.56E+00 4.82E-09 3.95E-03 9.90E-01 0.00E+00 9.84E-01 0.00E+00
IUE 2.15E+00 9.05E-06 -1.05E-02 8.17E-01 0.00E+00 0.00E+00 0.00E+00
WUE 4.08E-01 -1.56E-06 -1.80E-04 1.40E-01 2.84E-01 5.60E-01 9.36E-01
Net_Inc -2.14E+00 -9.17E-06 1.05E-02 8.08E-01 0.00E+00 0.00E+00 0.00E+00
Ptom -2.08E+00 -7.24E-06 9.34E-03 9.12E-01 0.00E+00 0.00E+00 0.00E+00 -2.08E+00
-1.50E-01 1.00E-05 -5.56E-03 8.68E-01 3.18E-01 0.00E+00 0.00E+00 -1.50E-01
-1.54E+00 -1.47E-07 4.23E-03 9.40E-01 0.00E+00 8.52E-01 0.00E+00 -1.54E+00
1.98E+00 9.13E-06 -1.01E-02 7.00E-01 0.00E+00 0.00E+00 0.00E+00 1.98E+00
-1.88E+00 -7.83E-06 9.12E-03 6.70E-01 0.00E+00 0.00E+00 3.00E-04 -1.88E+00
-2.12E+00 -8.26E-06 1.00E-02 8.90E-01 0.00E+00 0.00E+00 0.00E+00 -2.12E+00
Table 3. Values of the parameters involved in Eq. 6-9 and the synthetic judgment for the investigated variables in the processing tomato cropping system. Very strong, Strong, Moderate, Poor, and Not significant refer to the impact that irrigation has on the investigated variables.
Table 3. Values of the parameters involved in Eq. 6-9 and the synthetic judgment for the investigated variables in the processing tomato cropping system. Very strong, Strong, Moderate, Poor, and Not significant refer to the impact that irrigation has on the investigated variables.
Crop Variable Parameter Judgment
WRf _β0 WRf _βi WRf _Βii WR_R2 S t V i WVi
Maize Dry_Y 1.00 1.00 1.00 1.00 3.07 1.00 Very strong
Drainage 0.00 1.00 1.00 0.75 0.60 -0.11 Not Significant
Blue_FP 1.00 0.33 1.00 1.00 2.51 -1.00 Very strong
IUE 1.00 1.00 1.00 1.00 3.05 1.00 Very strong
WUE 1.00 0.33 0.66 0.25 0.99 0.47 Moderate
Net_Inc 1.00 1.00 1.00 0.75 2.04 0.99 Very strong
Sbeet Dry_Y 1.00 1.00 1.00 1.00 2.96 1.00 Very strong
Drainage 0.00 1.00 1.00 1.00 0.85 -0.30 Poor
Blue_FP 1.00 0.00 1.00 1.00 2.55 -1.00 Very strong
IUE 1.00 1.00 1.00 1.00 2.97 1.00 Very strong
WUE 0.00 0.00 0.00 0.00 0.00 0.01 Not significant
Net_Inc 1.00 1.00 1.00 1.00 2.96 1.00 Very strong
Ptom Dry_Y 1.00 1.00 1.00 1.00 3.00 1.00 Very strong
Drainage 0.00 1.00 1.00 1.00 0.87 -0.17 Not significant
Blue_FP 1.00 0.00 1.00 1.00 2.48 -1.00 Very strong
IUE 1.00 1.00 1.00 0.75 2.52 1.00 Very strong
WUE 1.00 1.00 1.00 0.75 2.39 1.00 Very strong
Net_Inc 1.00 1.00 1.00 1.00 3.02 1.00 Very strong
Table 4. Truth values of normalized index (TWi) for all water-related parameters of the three cropping systems in response to seasonal irrigation regimes.
Table 4. Truth values of normalized index (TWi) for all water-related parameters of the three cropping systems in response to seasonal irrigation regimes.
Crop Irrigation Parameter
Dry_Y Drainage Blue_FP IUE WUE Net_Inc
Maize 100 -1.33 0.04 1.19 1.34 -0.16 -0.51
200 -0.57 0.07 0.86 0.61 0.06 0.33
300 0.03 0.08 0.52 0.03 0.22 0.96
400 0.47 0.08 0.17 -0.41 0.34 1.40
500 0.75 0.05 -0.18 -0.71 0.41 1.64
600 0.88 0.01 -0.54 -0.86 0.43 1.68
700 0.85 -0.05 -0.92 -0.88 0.40 1.52
800 0.66 -0.13 -1.30 -0.75 0.32 1.16
Sbeet 100 -1.22 0.17 1.16 1.19 0.00 -1.18
200 -0.48 0.26 0.76 0.42 0.00 -0.41
300 0.09 0.29 0.37 -0.17 0.00 0.18
400 0.51 0.26 -0.03 -0.59 0.00 0.59
500 0.78 0.17 -0.42 -0.82 0.00 0.82
600 0.88 0.02 -0.82 -0.87 0.00 0.86
700 0.83 -0.59 -1.21 -0.73 0.00 0.72
800 0.62 -0.46 -1.61 -0.42 0.00 0.40
Ptom 100 -1.22 0.10 1.12 1.06 -1.04 -1.20
200 -0.50 0.15 0.70 0.33 -0.37 -0.45
300 0.07 0.16 0.28 -0.22 0.15 0.13
400 0.50 0.13 -0.13 -0.58 0.51 0.56
500 0.78 0.07 -0.54 -0.77 0.72 0.81
600 0.92 -0.02 -0.94 -0.77 0.77 0.90
700 0.91 -0.15 -1.35 -0.59 0.67 0.83
800 0.76 -0.31 -1.75 -0.23 0.40 0.59
Disclaimer/Publisher’s Note: The statements, opinions and data contained in all publications are solely those of the individual author(s) and contributor(s) and not of MDPI and/or the editor(s). MDPI and/or the editor(s) disclaim responsibility for any injury to people or property resulting from any ideas, methods, instructions or products referred to in the content.
Copyright: This open access article is published under a Creative Commons CC BY 4.0 license, which permit the free download, distribution, and reuse, provided that the author and preprint are cited in any reuse.
Prerpints.org logo

Preprints.org is a free preprint server supported by MDPI in Basel, Switzerland.

Subscribe

Disclaimer

Terms of Use

Privacy Policy

Privacy Settings

© 2026 MDPI (Basel, Switzerland) unless otherwise stated