Submitted:
14 February 2025
Posted:
17 February 2025
You are already at the latest version
Abstract
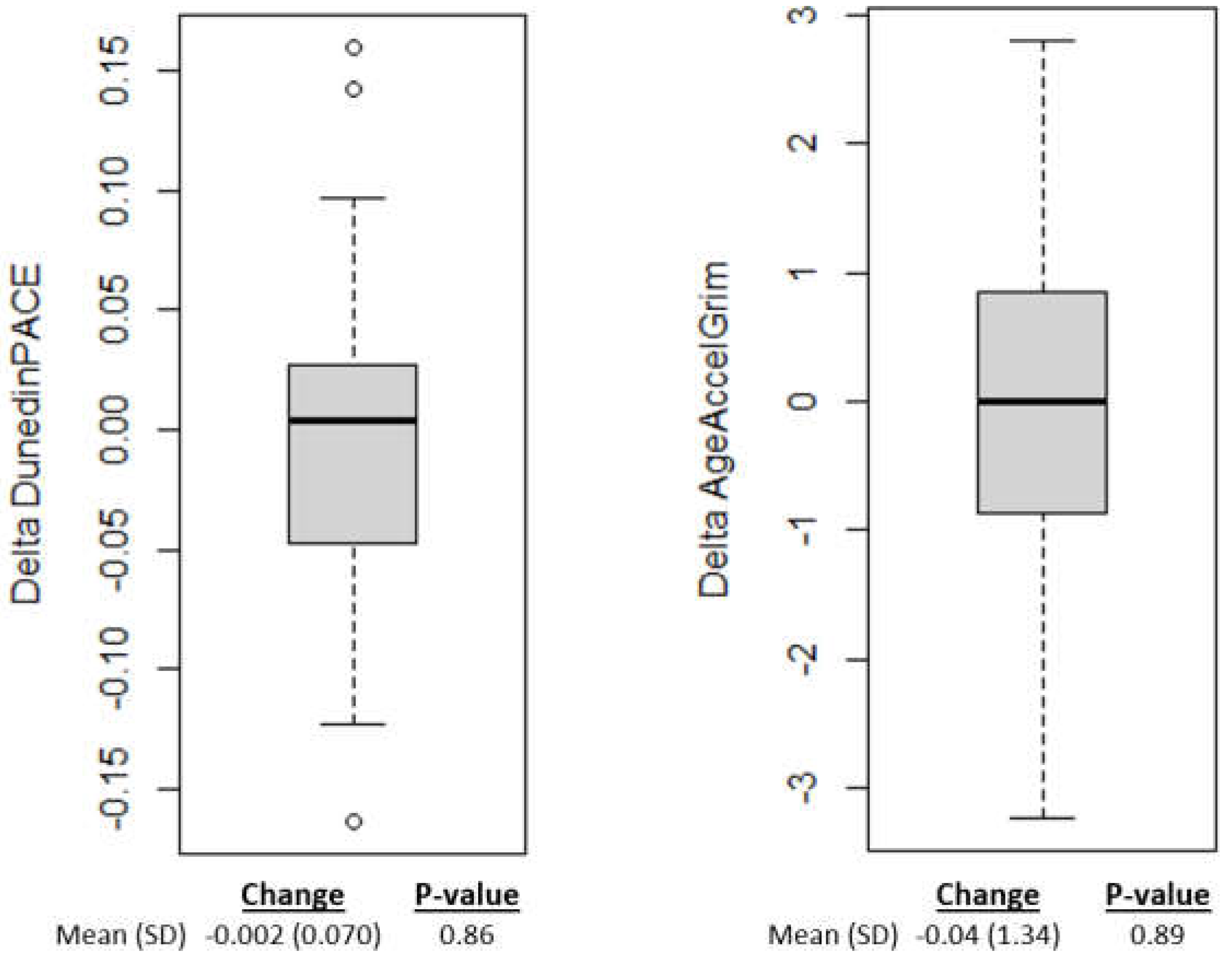
Tree nut and extra virgin olive oil (EVOO) supplementation can improve cardiometabolic health. However, the effects of tree nut and EVOO consumption on aging biology is unknown. We carried out an exploratory four-week tree nut and EVOO supplementation intervention in 33 adults 48 – 81 years of age (mean age: 68 ± 9 years) with metabolic syndrome to generate preliminary data on a measure of biological aging – epigenetic aging, and qualitatively explored participants’ interest in knowing their epigenetic aging measures. Epigenetic aging was measured in all participants at baseline and after the 4-week intervention (DunedinPACE and GrimAge). At baseline, participants had advanced epigenetic aging measured by the DunedinPACE biomarker but not the GrimAge biomarker, with 100% of participants having DunedinPACE>1 (Wilcoxon test, p=3.73E-9), and 38% of participants having AgeAccelGrim>0 (Wilcoxon test, p=0.48). 84% of participants reported they thought they could participate in a similar 3-4 year study. The majority (77%) of participants educated about epigenetic aging reported they very much wanted to know their epigenetic age (77%), and that they would be somewhat likely (29%) or very likely (57%) to eat tree nuts and EVOO daily if it slowed biological aging. There was not a significant (p<0.05) change in epigenetic aging measures from baseline to after the 4-week intervention. This study further substantiates advanced epigenetic aging in individuals with metabolic syndrome. This pilot study also demonstrates participant interest in learning about biological age and supports the potential for biological aging measures to motivate behavior change.

Keywords:
Introduction
Methods
Study Design
Intervention Foods: Tree Nuts and Extra Virgin Olive Oil
Study Measures
Epigenetic Aging
Outcomes
Statistical Analyses
Results
Discussion
Supplementary Materials
Author Contributions
Institutional Review Board Statement
Data Availability Statement
Acknowledgments
Statements and Declarations
References
- Rolland, Y.; Sierra, F.; Ferrucci, L.; Barzilai, N.; De Cabo, R.; Mannick, J.; Oliva, A.; Evans, W.; Angioni, D.; De Souto Barreto, P.; et al. Challenges in developing Geroscience trials. Nature Communications 2023, 14, 5038. [Google Scholar] [CrossRef] [PubMed]
- DeVito, L.M.; Barzilai, N.; Cuervo, A.M.; Niedernhofer, L.J.; Milman, S.; Levine, M.; Promislow, D.; Ferrucci, L.; Kuchel, G.A.; Mannick, J.; et al. Extending human healthspan and longevity: a symposium report. Annals of the New York Academy of Sciences 2022, 1507, 70–83. [Google Scholar] [CrossRef] [PubMed]
- Kennedy, B.K.; Berger, S.L.; Brunet, A.; Campisi, J.; Cuervo, A.M.; Epel, E.S.; Franceschi, C.; Lithgow, G.J.; Morimoto, R.I.; Pessin, J.E.; et al. Geroscience: linking aging to chronic disease. Cell 2014, 159, 709–713. [Google Scholar] [CrossRef] [PubMed]
- Cummings, S.R.; Kritchevsky, S.B. Endpoints for geroscience clinical trials: health outcomes, biomarkers, and biologic age. GeroScience 2022, 44, 2925–2931. [Google Scholar] [CrossRef]
- Hannum, G.; Guinney, J.; Zhao, L.; Zhang, L.; Hughes, G.; Sadda, S.; Klotzle, B.; Bibikova, M.; Fan, J.B.; Gao, Y.; et al. Genome-wide methylation profiles reveal quantitative views of human aging rates. Mol. Cell 2013, 49, 359–367. [Google Scholar] [CrossRef]
- Horvath, S. DNA methylation age of human tissues and cell types. Genome Biol 2013, 14, R115. [Google Scholar] [CrossRef]
- Zhang, Y.; Wilson, R.; Heiss, J.; Breitling, L.P.; Saum, K.-U.; Schöttker, B.; Holleczek, B.; Waldenberger, M.; Peters, A.; Brenner, H. DNA methylation signatures in peripheral blood strongly predict all-cause mortality. Nature communications 2017, 8, 14617–14617. [Google Scholar] [CrossRef]
- Levine, M.E.; Lu, A.T.; Quach, A.; Chen, B.H.; Assimes, T.L.; Bandinelli, S.; Hou, L.; Baccarelli, A.A.; Stewart, J.D.; Li, Y.; et al. An epigenetic biomarker of aging for lifespan and healthspan. Aging (Albany NY) 2018, 10, 573–591. [Google Scholar] [CrossRef]
- Lu, A.T.; Quach, A.; Wilson, J.G.; Reiner, A.P.; Aviv, A.; Raj, K.; Hou, L.; Baccarelli, A.A.; Li, Y.; Stewart, J.D.; et al. DNA methylation GrimAge strongly predicts lifespan and healthspan. Aging (Albany NY) 2019, 11, 303–327. [Google Scholar] [CrossRef]
- Belsky, D.W.; Caspi, A.; Corcoran, D.L.; Sugden, K.; Poulton, R.; Arseneault, L.; Baccarelli, A.; Chamarti, K.; Gao, X.; Hannon, E.; et al. DunedinPACE, a DNA methylation biomarker of the pace of aging. Elife 2022, 11, e73420. [Google Scholar] [CrossRef]
- Waziry, R.; Ryan, C.P.; Corcoran, D.L.; Huffman, K.M.; Kobor, M.S.; Kothari, M.; Graf, G.H.; Kraus, V.B.; Kraus, W.E.; Lin, D.T.S.; et al. Effect of long-term caloric restriction on DNA methylation measures of biological aging in healthy adults from the CALERIE trial. Nature Aging 2023, 3, 248–257. [Google Scholar] [CrossRef] [PubMed]
- Reynolds, L.; Houston, D.; Skiba, M.; Whitsel, E.; Stewart, J.; Li, Y.; Zannas, A.; Assimes, T.; Horvath, S.; Bhatti, P.; et al. PTFS07-06-23 Dietary Patterns and Epigenetic Aging in the Women’s Health Initiative. Current Developments in Nutrition 2023, 7, 100199. [Google Scholar] [CrossRef]
- Liese, A.D.; Krebs-Smith, S.M.; Subar, A.F.; George, S.M.; Harmon, B.E.; Neuhouser, M.L.; Boushey, C.J.; Schap, T.E.; Reedy, J. The Dietary Patterns Methods Project: synthesis of findings across cohorts and relevance to dietary guidance. J Nutr 2015, 145, 393–402. [Google Scholar] [CrossRef]
- Krebs-Smith, S.M.; Pannucci, T.E.; Subar, A.F.; Kirkpatrick, S.I.; Lerman, J.L.; Tooze, J.A.; Wilson, M.M.; Reedy, J. Update of the Healthy Eating Index: HEI-2015. J Acad Nutr Diet 2018, 118, 1591–1602. [Google Scholar] [CrossRef]
- Fung, T.T.; Chiuve, S.E.; McCullough, M.L.; Rexrode, K.M.; Logroscino, G.; Hu, F.B. Adherence to a DASH-style diet and risk of coronary heart disease and stroke in women. Arch Intern Med 2008, 168, 713–720. [Google Scholar] [CrossRef]
- Huang, Y.; Van Horn, L.; Tinker, L.F.; Neuhouser, M.L.; Carbone, L.; Mossavar-Rahmani, Y.; Thomas, F.; Prentice, R.L. Measurement error corrected sodium and potassium intake estimation using 24-hour urinary excretion. Hypertension 2014, 63, 238–244. [Google Scholar] [CrossRef] [PubMed]
- Fung, T.T.; Rexrode, K.M.; Mantzoros, C.S.; Manson, J.E.; Willett, W.C.; Hu, F.B. Mediterranean diet and incidence of and mortality from coronary heart disease and stroke in women. Circulation 2009, 119, 1093–1100. [Google Scholar] [CrossRef] [PubMed]
- Liese, A.D.; Wambogo, E.; Lerman, J.L.; Boushey, C.J.; Neuhouser, M.L.; Wang, S.; Harmon, B.E.; Tinker, L.F. Variations in Dietary Patterns Defined by the Healthy Eating Index 2015 and Associations with Mortality: Findings from the Dietary Patterns Methods Project. J Nutr 2022, 152, 796–804. [Google Scholar] [CrossRef]
- Zhang, Y.; Lu, C.; Li, X.; Fan, Y.; Li, J.; Liu, Y.; Yu, Y.; Zhou, L. Healthy Eating Index-2015 and Predicted 10-Year Cardiovascular Disease Risk, as Well as Heart Age. Front Nutr 2022, 9, 888966. [Google Scholar] [CrossRef]
- Patel, Y.R.; Robbins, J.M.; Gaziano, J.M.; Djoussé, L. Mediterranean, DASH, and Alternate Healthy Eating Index Dietary Patterns and Risk of Death in the Physicians’ Health Study. Nutrients 2021, 13. [Google Scholar] [CrossRef]
- Hu, E.A.; Steffen, L.M.; Coresh, J.; Appel, L.J.; Rebholz, C.M. Adherence to the Healthy Eating Index-2015 and Other Dietary Patterns May Reduce Risk of Cardiovascular Disease, Cardiovascular Mortality, and All-Cause Mortality. J Nutr 2020, 150, 312–321. [Google Scholar] [CrossRef] [PubMed]
- Wang, Y.; Huang, Y.; Wu, H.; He, G.; Li, S.; Chen, B. Association between Dietary Patterns and Frailty Prevalence in Shanghai Suburban Elders: A Cross-Sectional Study. Int J Environ Res Public Health 2021, 18. [Google Scholar] [CrossRef] [PubMed]
- Hengeveld, L.M.; Wijnhoven, H.A.H.; Olthof, M.R.; Brouwer, I.A.; Simonsick, E.M.; Kritchevsky, S.B.; Houston, D.K.; Newman, A.B.; Visser, M. Prospective Associations of Diet Quality With Incident Frailty in Older Adults: The Health, Aging, and Body Composition Study. Journal of the American Geriatrics Society 2019, 67, 1835–1842. [Google Scholar] [CrossRef] [PubMed]
- Ergul, F.; Sackan, F.; Koc, A.; Guney, I.; Kizilarslanoglu, M.C. Adherence to the Mediterranean diet in Turkish hospitalized older adults and its association with hospital clinical outcomes. Arch Gerontol Geriatr 2021, 99, 104602. [Google Scholar] [CrossRef]
- Rich, M.W.; Chyun, D.A.; Skolnick, A.H.; Alexander, K.P.; Forman, D.E.; Kitzman, D.W.; Maurer, M.S.; McClurken, J.B.; Resnick, B.M.; Shen, W.K.; et al. Knowledge Gaps in Cardiovascular Care of the Older Adult Population. Circulation 2016, 133, 2103–2122. [Google Scholar] [CrossRef]
- Appel, L.J.; Moore, T.J.; Obarzanek, E.; Vollmer, W.M.; Svetkey, L.P.; Sacks, F.M.; Bray, G.A.; Vogt, T.M.; Cutler, J.A.; Windhauser, M.M.; et al. A clinical trial of the effects of dietary patterns on blood pressure. DASH Collaborative Research Group. N Engl J Med 1997, 336, 1117–1124. [Google Scholar] [CrossRef]
- Howard, B.V.; Van Horn, L.; Hsia, J.; Manson, J.E.; Stefanick, M.L.; Wassertheil-Smoller, S.; Kuller, L.H.; LaCroix, A.Z.; Langer, R.D.; Lasser, N.L.; et al. Low-Fat Dietary Pattern and Risk of Cardiovascular DiseaseThe Women’s Health Initiative Randomized Controlled Dietary Modification Trial. JAMA 2006, 295, 655–666. [Google Scholar] [CrossRef]
- Buckland, G.; Mayén, A.L.; Agudo, A.; Travier, N.; Navarro, C.; Huerta, J.M.; Chirlaque, M.D.; Barricarte, A.; Ardanaz, E.; Moreno-Iribas, C.; et al. Olive oil intake and mortality within the Spanish population (EPIC-Spain). Am J Clin Nutr. 2012, 96, 142–149. [Google Scholar] [CrossRef]
- Farras, M.; Valls, R.M.; Fernandez-Castillejo, S.; Giralt, M.; Sola, R.; Subirana, I.; Motilva, M.J.; Konstantinidou, V.; Covas, M.I.; Fito, M. Olive oil polyphenols enhance the expression of cholesterol efflux related genes in vivo in humans. A randomized controlled trial. J Nutr Biochem 2013, 24, 1334–1339. [Google Scholar] [CrossRef]
- Estruch, R.; Ros, E.; Salas-Salvado, J.; Covas, M.I.; Corella, D.; Aros, F.; Gomez-Gracia, E.; Ruiz-Gutierrez, V.; Fiol, M.; Lapetra, J.; et al. Primary Prevention of Cardiovascular Disease with a Mediterranean Diet Supplemented with Extra-Virgin Olive Oil or Nuts. N Engl J Med 2018, 378, e34. [Google Scholar] [CrossRef]
- Guasch-Ferré, M.; Li, J.; Hu, F.B.; Salas-Salvadó, J.; Tobias, D.K. Effects of walnut consumption on blood lipids and other cardiovascular risk factors: an updated meta-analysis and systematic review of controlled trials. Am J Clin Nutr. 2018, 108, 174–187. [Google Scholar] [CrossRef]
- Gensous, N.; Garagnani, P.; Santoro, A.; Giuliani, C.; Ostan, R.; Fabbri, C.; Milazzo, M.; Gentilini, D.; di Blasio, A.M.; Pietruszka, B.; et al. One-year Mediterranean diet promotes epigenetic rejuvenation with country- and sex-specific effects: a pilot study from the NU-AGE project. Geroscience, 1007. [Google Scholar] [CrossRef]
- Fiorito, G.; Caini, S.; Palli, D.; Bendinelli, B.; Saieva, C.; Ermini, I.; Valentini, V.; Assedi, M.; Rizzolo, P.; Ambrogetti, D.; et al. DNA methylation-based biomarkers of aging were slowed down in a two-year diet and physical activity intervention trial: the DAMA study. Aging Cell 2021, 20, e13439. [Google Scholar] [CrossRef] [PubMed]
- Chen, L.; Dong, Y.; Bhagatwala, J.; Raed, A.; Huang, Y.; Zhu, H. Effects of Vitamin D3 Supplementation on Epigenetic Aging in Overweight and Obese African Americans With Suboptimal Vitamin D Status: A Randomized Clinical Trial. The journals of gerontology. Series A, Biological sciences and medical sciences 2019, 74, 91–98. [Google Scholar] [CrossRef] [PubMed]
- Kim, Y.; Huan, T.; Joehanes, R.; McKeown, N.M.; Horvath, S.; Levy, D.; Ma, J. Higher diet quality relates to decelerated epigenetic aging. Am J Clin Nutr 2021. [Google Scholar] [CrossRef] [PubMed]
- Kresovich, J.K.; Park, Y.M.; Keller, J.A.; Sandler, D.P.; Taylor, J.A. Healthy eating patterns and epigenetic measures of biological age. Am J Clin Nutr 2022, 115, 171–179. [Google Scholar] [CrossRef]
- Reynolds, L.M.; Houston, D.K.; Skiba, M.B.; Whitsel, E.A.; Stewart, J.D.; Li, Y.; Zannas, A.S.; Assimes, T.L.; Horvath, S.; Bhatti, P.; et al. Diet Quality and Epigenetic Aging in the Women’s Health Initiative. Journal of the Academy of Nutrition and Dietetics 2024. [Google Scholar] [CrossRef]
- Babio, N.; Toledo, E.; Estruch, R.; Ros, E.; Martinez-Gonzalez, M.A.; Castaner, O.; Bullo, M.; Corella, D.; Aros, F.; Gomez-Gracia, E.; et al. Mediterranean diets and metabolic syndrome status in the PREDIMED randomized trial. CMAJ : Canadian Medical Association journal = journal de l’Association medicale canadienne 2014, 186, E649–657. [Google Scholar] [CrossRef]
- Grundy, S.M. Pre-diabetes, metabolic syndrome, and cardiovascular risk. J Am Coll Cardiol 2012, 59, 635–643. [Google Scholar] [CrossRef]
- Alberti, K.G.; Eckel, R.H.; Grundy, S.M.; Zimmet, P.Z.; Cleeman, J.I.; Donato, K.A.; Fruchart, J.C.; James, W.P.; Loria, C.M.; Smith, S.C., Jr. Harmonizing the metabolic syndrome: a joint interim statement of the International Diabetes Federation Task Force on Epidemiology and Prevention; National Heart, Lung, and Blood Institute; American Heart Association; World Heart Federation; International Atherosclerosis Society; and International Association for the Study of Obesity. Circulation 2009, 120, 1640–1645. [Google Scholar] [CrossRef]
- Liang, X.; Or, B.; Tsoi, M.F.; Cheung, C.L.; Cheung, B.M.Y. Prevalence of metabolic syndrome in the United States National Health and Nutrition Examination Survey 2011–18. Postgraduate Medical Journal 2023, 99, 985–992. [Google Scholar] [CrossRef]
- Moore, J.X.; Chaudhary, N.; Akinyemiju, T. Metabolic Syndrome Prevalence by Race/Ethnicity and Sex in the United States, National Health and Nutrition Examination Survey, 1988-2012. Preventing chronic disease 2017, 14, E24. [Google Scholar] [CrossRef] [PubMed]
- Dominguez, L.J.; Barbagallo, M. The biology of the metabolic syndrome and aging. Curr Opin Clin Nutr Metab Care 2016, 19, 5–11. [Google Scholar] [CrossRef] [PubMed]
- Holmannova, D.; Borsky, P.; Andrys, C.; Kremlacek, J.; Fiala, Z.; Parova, H.; Rehacek, V.; Esterkova, M.; Poctova, G.; Maresova, T.; et al. The Influence of Metabolic Syndrome on Potential Aging Biomarkers in Participants with Metabolic Syndrome Compared to Healthy Controls. Biomedicines 2024, 12, 242. [Google Scholar] [CrossRef] [PubMed]
- Ling, C.; Bacos, K.; Rönn, T. Epigenetics of type 2 diabetes mellitus and weight change — a tool for precision medicine? Nature Reviews Endocrinology 2022, 18, 433–448. [Google Scholar] [CrossRef]
- Burton, D.G.A.; Faragher, R.G.A. Obesity and type-2 diabetes as inducers of premature cellular senescence and ageing. Biogerontology 2018, 19, 447–459. [Google Scholar] [CrossRef]
- Rigamonti, A.E.; Bollati, V.; Favero, C.; Albetti, B.; Caroli, D.; Abbruzzese, L.; Cella, S.G.; Sartorio, A. Effect of a 3-Week Multidisciplinary Body Weight Reduction Program on the Epigenetic Age Acceleration in Obese Adults. Journal of Clinical Medicine 2022, 11, 4677. [Google Scholar] [CrossRef]
- Föhr, T.; Hendrix, A.; Kankaanpää, A.; Laakkonen, E.K.; Kujala, U.; Pietiläinen, K.H.; Lehtimäki, T.; Kähönen, M.; Raitakari, O.; Wang, X.; et al. Metabolic syndrome and epigenetic aging: a twin study. International Journal of Obesity 2024, 48, 778–787. [Google Scholar] [CrossRef]
- Quach, A.; Levine, M.E.; Tanaka, T.; Lu, A.T.; Chen, B.H.; Ferrucci, L.; Ritz, B.; Bandinelli, S.; Neuhouser, M.L.; Beasley, J.M.; et al. Epigenetic clock analysis of diet, exercise, education, and lifestyle factors. Aging (Albany NY) 2017, 9, 419–446. [Google Scholar] [CrossRef]
- Downer, M.K.; Gea, A.; Stampfer, M.; Sanchez-Tainta, A.; Corella, D.; Salas-Salvado, J.; Ros, E.; Estruch, R.; Fito, M.; Gomez-Gracia, E.; et al. Predictors of short- and long-term adherence with a Mediterranean-type diet intervention: the PREDIMED randomized trial. The international journal of behavioral nutrition and physical activity 2016, 13, 67. [Google Scholar] [CrossRef]
- Martinez-Gonzalez, M.A.; Garcia-Arellano, A.; Toledo, E.; Salas-Salvado, J.; Buil-Cosiales, P.; Corella, D.; Covas, M.I.; Schroder, H.; Aros, F.; Gomez-Gracia, E.; et al. A 14-item Mediterranean diet assessment tool and obesity indexes among high-risk subjects: the PREDIMED trial. PLoS One 2012, 7, e43134. [Google Scholar] [CrossRef]
- García-Conesa, M.T.; Philippou, E.; Pafilas, C.; Massaro, M.; Quarta, S.; Andrade, V.; Jorge, R.; Chervenkov, M.; Ivanova, T.; Dimitrova, D.; et al. Exploring the Validity of the 14-Item Mediterranean Diet Adherence Screener (MEDAS): A Cross-National Study in Seven European Countries around the Mediterranean Region. Nutrients 2020, 12. [Google Scholar] [CrossRef] [PubMed]
- Morris, T.J.; Butcher, L.M.; Feber, A.; Teschendorff, A.E.; Chakravarthy, A.R.; Wojdacz, T.K.; Beck, S. ChAMP: 450k Chip Analysis Methylation Pipeline. Bioinformatics 2014, 30, 428–430. [Google Scholar] [CrossRef] [PubMed]
- Johnson, W.E.; Li, C.; Rabinovic, A. Adjusting batch effects in microarray expression data using empirical Bayes methods. Biostatistics 2007, 8, 118–127. [Google Scholar] [CrossRef] [PubMed]



| Characteristic | Overall N=34 |
Epigenetic age knowledge arm N=17 |
Active comparator arm N=17 |
|---|---|---|---|
| Age mean (SD) | 68 (9) | 65 (11) | 70 (8) |
| Gender | |||
| Female, N | 20 | 12 | 8 |
| Male, N | 14 | 5 | 9 |
| Race | |||
| Black or African American, N | 13 | 6 | 7 |
| White, N | 19 | 11 | 8 |
| More than one race, N | 1 | 0 | 1 |
| Unknown/ not reported, N | 1 | 0 | 1 |
| Ethnicity Non-Hispanic, N | 34 | 17 | 17 |
| Education | |||
| High School, N | 3 | 2 | 1 |
| >High School, <Bachelors, N | 13 | 6 | 7 |
| Bachelors, N | 11 | 7 | 4 |
| Post-graduate, N | 6 | 1 | 5 |
| MedDiet Screener score | |||
| Weak adherence (0-5 points) | 7 | 3 | 4 |
| Moderate adherence (6-9 points) | 24 | 13 | 11 |
| Good adherence (10-14 points) | 2 | 1 | 1 |
| Epigenetic Aging measures | |||
| DunedinPACE, mean (SD) | 1.179 (0.089) | 1.146 (0.075) | 1.208 (0.092) |
| AgeAccelGrim, mean (SD) | 0.06 (2.24) | -0.51 (1.82) | 0.56 (2.50) |
Disclaimer/Publisher’s Note: The statements, opinions and data contained in all publications are solely those of the individual author(s) and contributor(s) and not of MDPI and/or the editor(s). MDPI and/or the editor(s) disclaim responsibility for any injury to people or property resulting from any ideas, methods, instructions or products referred to in the content. |
© 2025 by the authors. Licensee MDPI, Basel, Switzerland. This article is an open access article distributed under the terms and conditions of the Creative Commons Attribution (CC BY) license (http://creativecommons.org/licenses/by/4.0/).