Submitted:
06 February 2025
Posted:
06 February 2025
You are already at the latest version
Abstract
Keywords:
1. Introduction
2. Experimental
2.1. Chemicals
2.2. Naf–TMS Dissolution Process and Preparation of Naf-TMS/Ru-Complexes Films
2.3. Surface Characterization
2.4. Spectroscopic Measurements
2.5. Electrode Preparation and Electrochemical Measurements
3. Results and Discussion
3.1. Surface Structure of Naf-TMS
3.2. Insertion of [Ru(bpy)3]2+ and [Ru(phen)3]2+ Complexes in Naf-TMS
3.3. Electrochemical Detection of Adrenaline at GC/Naf-TMS Modified Electrodes
Effect of pH
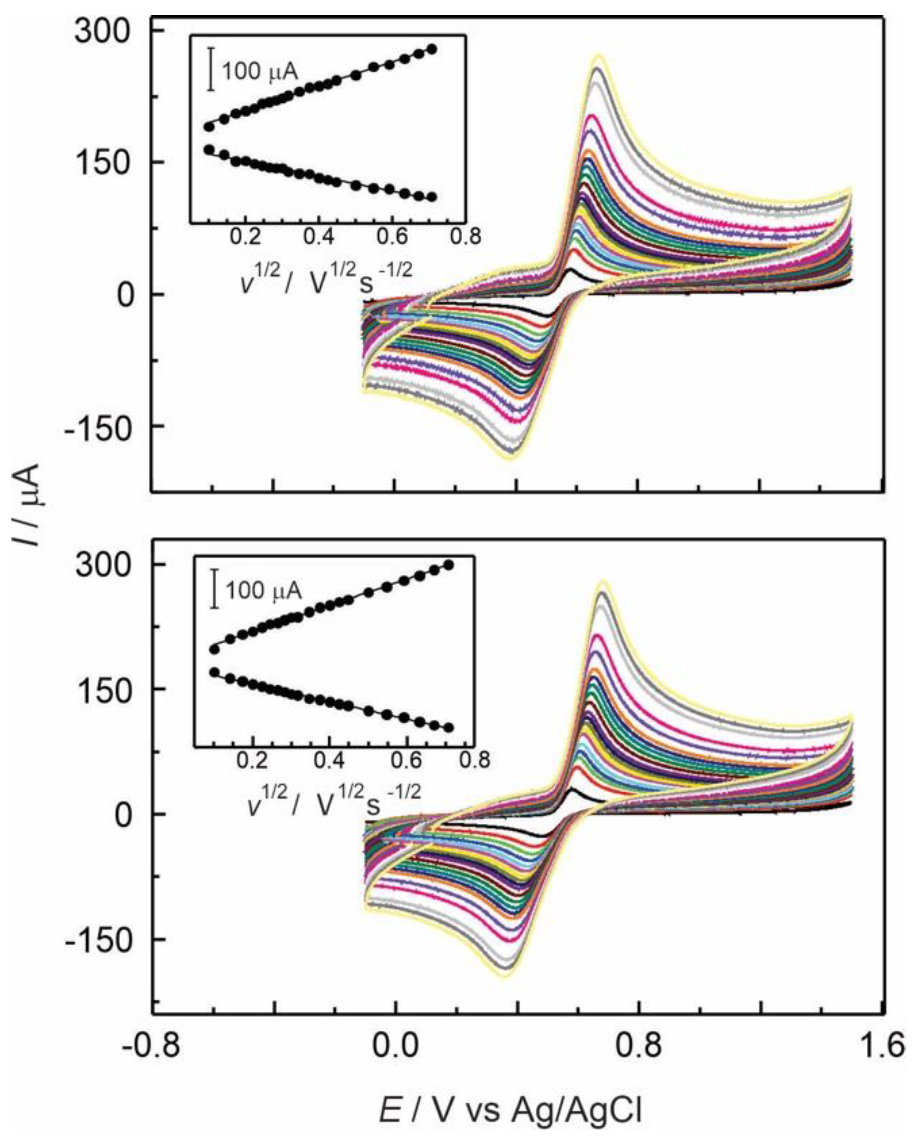
3.4. Electrochemical Detection of Adrenaline Using GC/Naf-TMS-Ru-Complex Modified Electrodes
4. Conclusions
Author Contributions
Funding
Institutional Review Board Statement
Informed Consent Statement
Acknowledgments
Conflicts of Interest
References
- N. Schweigert, A. J. B. Zehnder and R. I. L. Eggen. Chemical properties of catechols and their molecular modes of toxic action in cells, from microorganisms to mammals. Environ. Microbiol. 3, 2 (2001) 81-91. [CrossRef]
- R. E. Özel. A. Hayat and S. Andreescu. Recent developments in electrochemical sensors for the detection of neurotransmitters for applications in biomedicine. Anal. Lett. 48, 7 (2015) 1044–1069. [CrossRef]
- S. Madhurantakama, K. J.Babua, J. B. B. Rayappana, U. M. Krishnan. Nanotechnology-based electrochemical detection strategies for hypertension markers. Biosen. and Bioelectron. 116 (2018) 67–80. [CrossRef]
- V. S. Thirunavukkarasu, S. I. Kozhushkov and L. Ackermann. C–H nitrogenation and oxygenation by ruthenium catalysis. Chem. Commun. 50 (2014) 29-39. [CrossRef]
- Z. Feng, J. Zhou, Y. Xi, B. Lan, H. Guo, H. Chen, Q. Zhang and Z. Lin. Solid-state hybrid photovoltaic cells with a novel redox polymer and nanostructured inorganic semiconductors. J Power Sources 194, 2 (2009) 1142–1149. [CrossRef]
- M. Cai, Q. R. Loague, J. Zhu, S. Lin, P. M. Usov and A. J. Morris. Ruthenium(II)-polypyridyl doped zirconium (IV) metal–organic frameworks for solid-state electrochemiluminescence. Dalton Trans. 47, 46 (2018) 16807-16812. [CrossRef]
- S. Sheth, M. Li, Q. Song. New luminescent probe for the selective detection of dopamine based on in situ prepared Ru(II) complex-sodium dodecyl benzyl sulfonate assembly. J. Photochem. Photobiol. A: Chemistry 371 (2019) 128–135. [CrossRef]
- Li Tian, X. Wang, K. Wu, Y. Hu, Y. Wang, J. Lu. Ultrasensitive electrochemiluminescence biosensor for dopamine based on ZnSe, graphene oxide@multi walled carbon nanotube and Ru(bpy)32+. Sensors and Actuators: B. Chemical. 286 (2019) 266–271. [CrossRef]
- Q. Gao, B. Song, Z. Ye, L. Yang, R. Liu and J. Yuan. A highly selective phosphorescence probe for histidine in living bodies. Dalton Trans. 44 (2015) 18671-18676. [CrossRef]
- E. Turkušić, S. Redžić, E. Kahrović, A. Zahirović. Electrochemical Determination of Adrenaline at Ru(III) Schiff Base Complex Modified Carbon Electrodes. Croat. Chem. Acta 90, 2 (2017) 345–352. [CrossRef]
- W. S. Ruifang, G. K. Jiao. Electrochemistry and Electrocatalysis of Hemoglobin in Nafion/nano-CaCO3 Film on a New Ionic Liquid BPPF6 Modified Carbon Paste Electrode. J. Phys. Chem. B 111, 17 (2007) 4560–4567. [CrossRef]
- R. J. Toh, W. K. Peng, J. Han, M. Pumera. Direct In Vivo Electrochemical Detection of Haemoglobin in Red Blood Cells. Sci. Rep. 4 (2014) 6209. [CrossRef]
- K.A.Mauritz, J.T. Payne. [Perfluorosulfonate ionomer]/silicate hybrid membranes via base-catalyzed in situ sol–gel processes for tetraethylorthosilicate. J. Membrane Sci. 168, 1-2 (2000) 39-51. [CrossRef]
- S. Murata, R. Noyori Silylation with a perfluorinated resinsulfonic acid trimethylsilyl ester. Tetrahedron Lett. 21, 8 (1980) 767-768. [CrossRef]
- R. Aguilar-Sánchez, R.J. Díaz-Caballeros, J. A. Méndez-Bermúdez, J. L. Gárate-Morales, G. Domínguez-Meneses. Electrochemical studies of nafion–trimethylsilyl and nafion–trimethylsilyl/Ru complex-modified electrodes. J. Solid State Electrochem. 16 (2012) 2867–2876. [CrossRef]
- H.L. Yeager, A. Steck. Cation and water diffusion in Nafion ion-exchange membranes: Influence of polymer structure. J. Electrochem. Soc. 128 (1981) 1880–1884. [CrossRef]
- W. Y. Hsu and T. D. Gierke. Ion transport and clustering in nafion perfluorinated membranes. J. Membrane Science. 13, 3 (1983) 307-326. [CrossRef]
- Juris A, Balzani V, Barigelletti F, Campagna S, Belser P, Von Zelewsky A. Ru(II) polypyridine complexes: photophysics, photochemistry, eletrochemistry, and chemiluminescence. Coordin Chem Rev. 84 (1988) 85–277. [CrossRef]
- J.K. Barton, J.M. Goldberg, C.V. Kumar, N.J. Turro. Binding modes and base specificity of tris (phenanroline) ruthenium (II) enantiomers with nucleic acids: tuning the stereoselectivity. J Am Chem Soc 108, 8 (1986) 2081–2088. [CrossRef]
- E.H. Yonemoto, GB Saupe, RH Schmeh, SM Hubig, RL Riley, BL Iverson, TE Mallouk. Electron-Transfer Reactions of Ruthenium Trisbipyridyl-Viologen Donor-Acceptor Molecules: Comparison of the Distance Dependence of Electron Transfer-Rates in the Normal and Marcus Inverted Regions. J Am Chem Soc 116, 11 (1994) 4786–4795. [CrossRef]
- Y Jenkins, AE Friedman, NJ Turro, JK Barton. Characterization of dipyridophenazine complexes of ruthenium(II): The light switch effect as a function of nucleic acid sequence and conformation. Biochemistry 31, 44 (1992) 10809–10816. [CrossRef]
- R. Aguilar Sánchez, D.A. Durán Tlachino, S. L.Cabrera Hilerio, J.L. Gárate Morales, J.R. Cerna Cortez. Tend. Doc. Inv. Quim. 4 (2018) 421-425.
- L.G. De Pelichy, E.T. Smith, A study of the oxidation pathway of adrenaline by cyclic voltammetry: an undergraduate analytical chemistry laboratory exercise. The Chem. Educ. 2 (1997) 1–13. [CrossRef]
- C. Bretti, R. Maria Cigala, F. Crea, C. de Stefano, G. Vianelli. Solubility and modeling acid–base properties of adrenaline in NaCl aqueous solutions at different ionic strengths and temperatures. Eur. J. Pharmac. Sci. 78 (2015) 37-46. [CrossRef]
- A.J. Bard, L.R. Faulkner. Electrochemical Methods. Fundamentals and Applications. 2nd Ed. Wiley, New York. (1980) p. 218.
- F. Cui, X. Zhang. Electrochemical sensor for epinephrine based on a glassy carbon electrode modified with graphene/gold nanocomposites. J. Electroanal. Chem. 669 (2012) 35–41. [CrossRef]
- X. Li, M. Chen, X. Ma. Selective determination of epinephrine in the presence of ascorbic acid using a glassy carbon electrode modified with graphene. Anal. Sci. 28 (2012) 147–151. [CrossRef]
- C. Zhang, G. Wang, M. Liu, Y. Feng, Z. Zhang, B. Fang. Hydroxylamine electrochemical sensor based on electrodeposition of porous ZnO nanofilms onto carbon nanotubes films modified electrode. Electrochim. Acta 55, 8 2835–2840 (2010). [CrossRef]
- W. K. Adeniyi, A. R. Wright. Novel fluorimetric assay of trace analysis of epinephrine in human serum. Spectrochimica Acta Part A: Molecular and Biomolecular Spectroscopy 74, 5 (2009) 1001–1004. [CrossRef]
- C. Bretti, F. Crea, C. De Stefano, S. Sammartano. Solubility and activity coefficients of 2,2-bipyridyl, 1,10-phenanthroline and 2,2´,6´,2´´-terpyridine in NaCl(aq) at different ionic strengths and T=298.15K. Fluid Phase Equilibria 272, 1-2 (2008) 47–52. [CrossRef]
- N. Holten-Andersen, M. J. Harrington, H. Birkedal, B. P. Lee, P. B. Messersmith, K. Yee C. Lee, and J. H.Waite. pH-induced metal-ligand cross-links inspired by mussel yield self-healing polymer networks with near-covalent elastic moduli. Proc. Nat. Acad. Sci. 108, 7 (2011) 2651–2655. [CrossRef]
- R. Álvarez-Diduk and A. Galano. Adrenaline and Noradrenaline: Protectors against Oxidative Stress or Molecular Targets?. J. Phys. Chem. B 119 (2015) 3479−3491. [CrossRef]










| Electrode modifier | [AD] 10-6 M |
Sensitivity µA/µM |
Detection Limit µM |
ΔEa mV |
D cm2 s-1 |
| Naf-TMS | 1 – 20 | 0.57±0.02 | 0.52±0.02 | 312±8 | (7.9±0.5)×10-5 |
| Naf-TMS/[Ru(bpy)3]2+ | 1 – 100 | 0.51±0.01 | 0.58±0.04 | 178±5 | (4.6±0.4)×10-5 |
| Naf-TMS/[Ru(phen)3]2+ | 1 – 100 | 0.45±0.01 | 0.68±0.05 | 225±5 | (5.1±0.4)×10-5 |
Disclaimer/Publisher’s Note: The statements, opinions and data contained in all publications are solely those of the individual author(s) and contributor(s) and not of MDPI and/or the editor(s). MDPI and/or the editor(s) disclaim responsibility for any injury to people or property resulting from any ideas, methods, instructions or products referred to in the content. |
© 2025 by the authors. Licensee MDPI, Basel, Switzerland. This article is an open access article distributed under the terms and conditions of the Creative Commons Attribution (CC BY) license (http://creativecommons.org/licenses/by/4.0/).