Submitted:
04 February 2025
Posted:
05 February 2025
Read the latest preprint version here
Abstract
Keywords:
I. Introduction
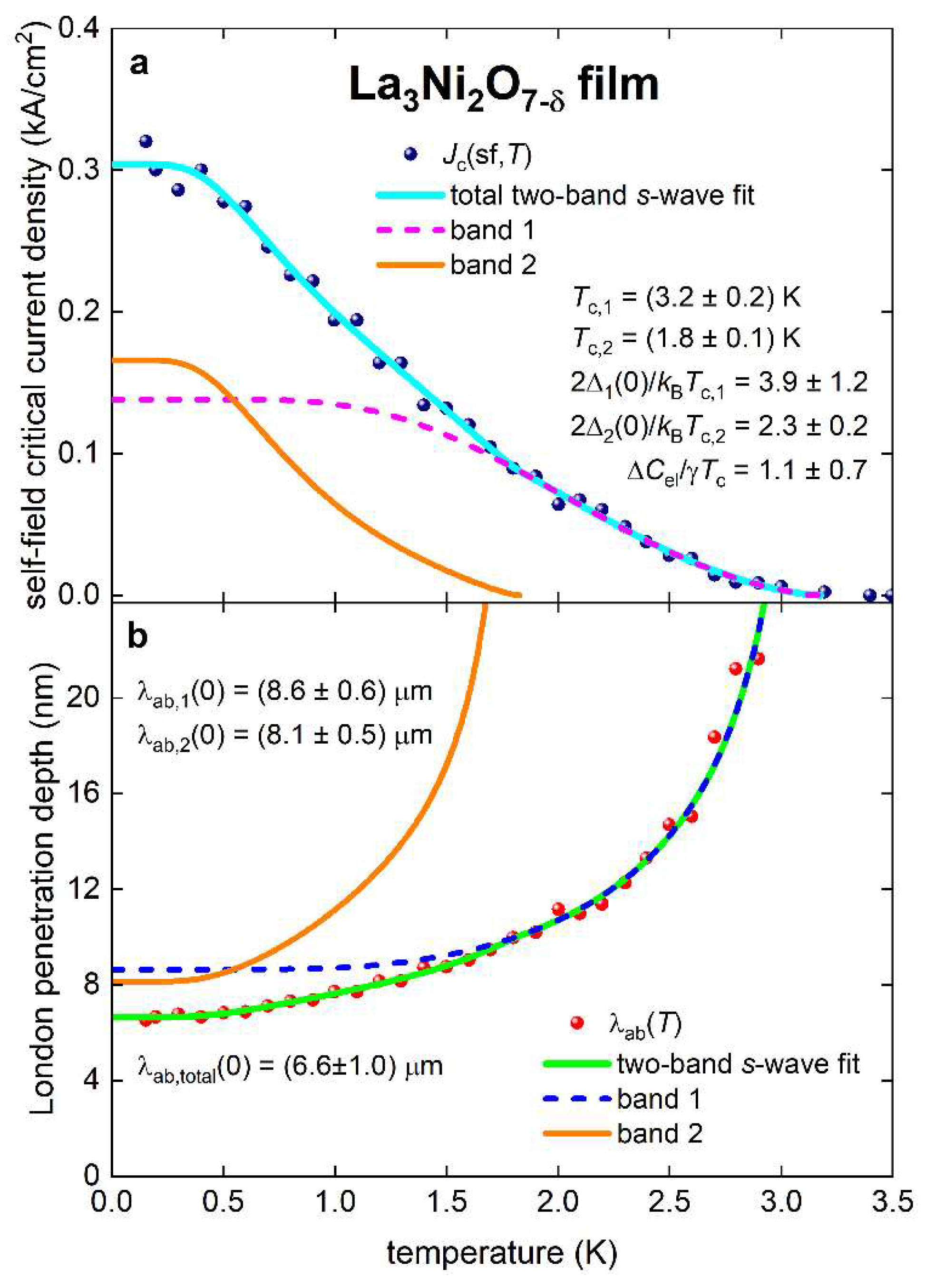
II. Fundamental Parameters for La3-xPrxNi2O7-δ (x = 0.0; 0.15; 1.0) Films
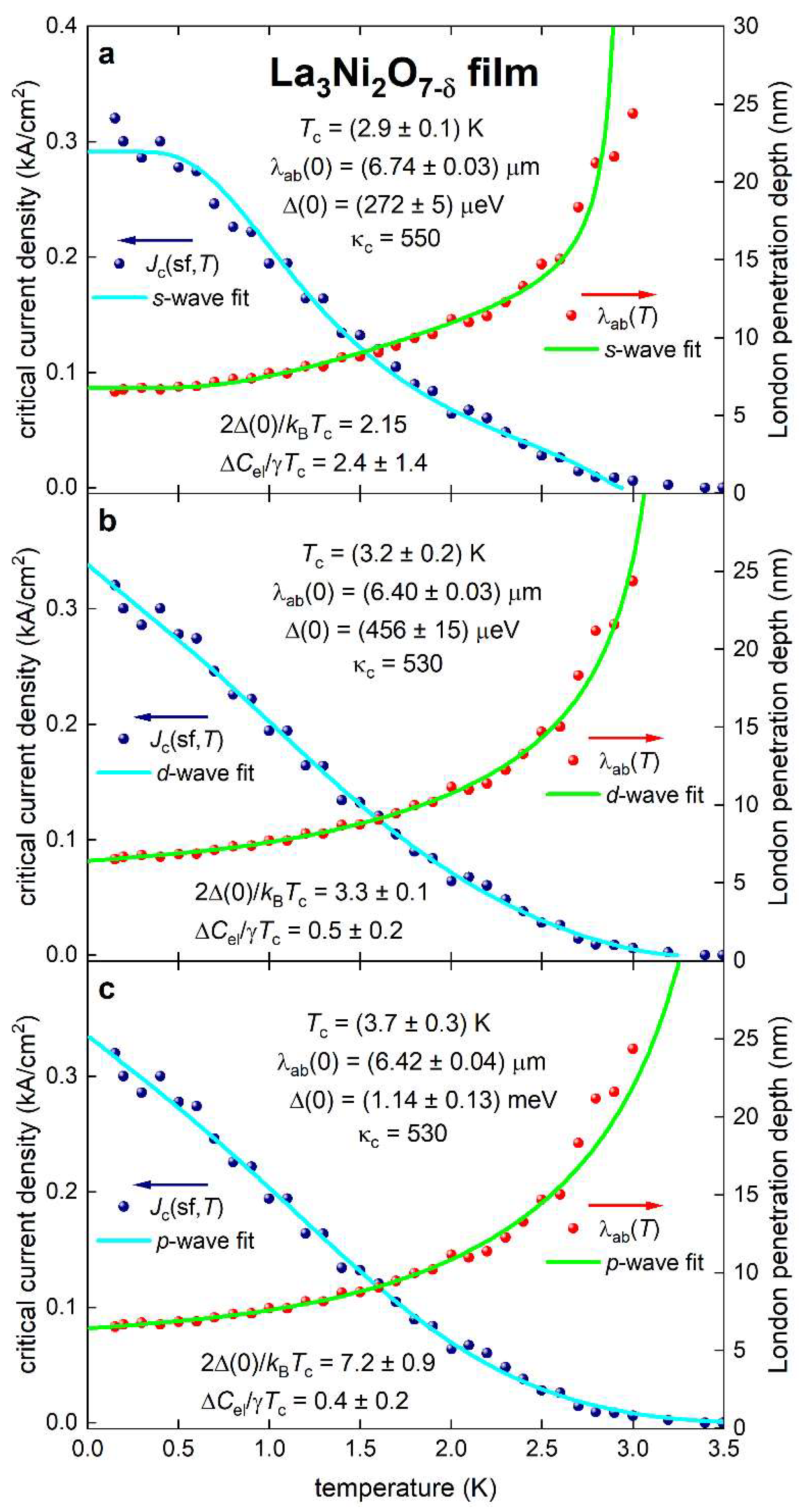
2.1. Transition Temperature and Coherence Length Definitions
2.2. London Penetration Depth and Other Fundamental Parameters
2.3. Two-Band Superconductivity

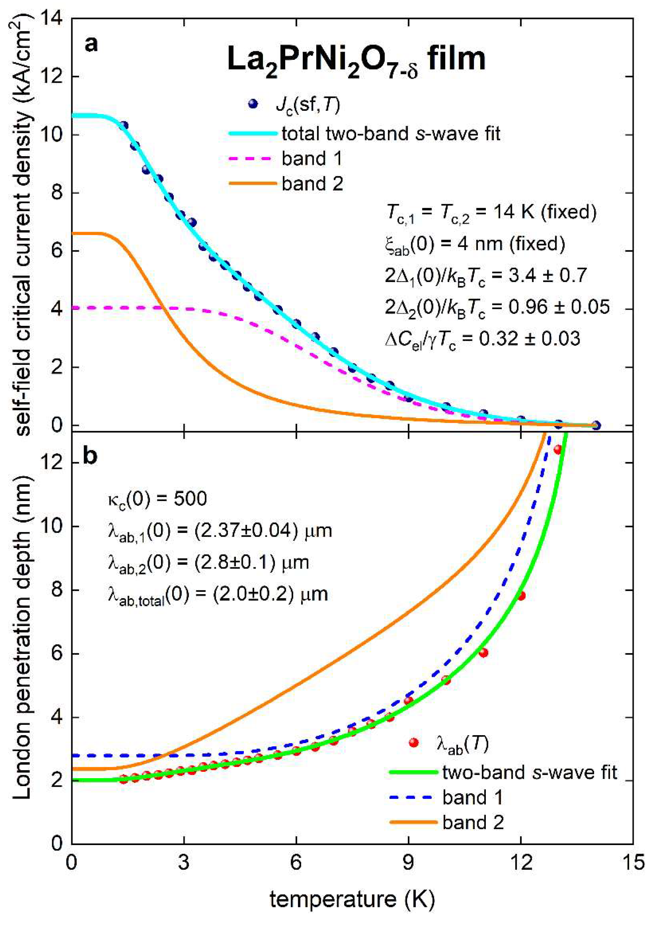
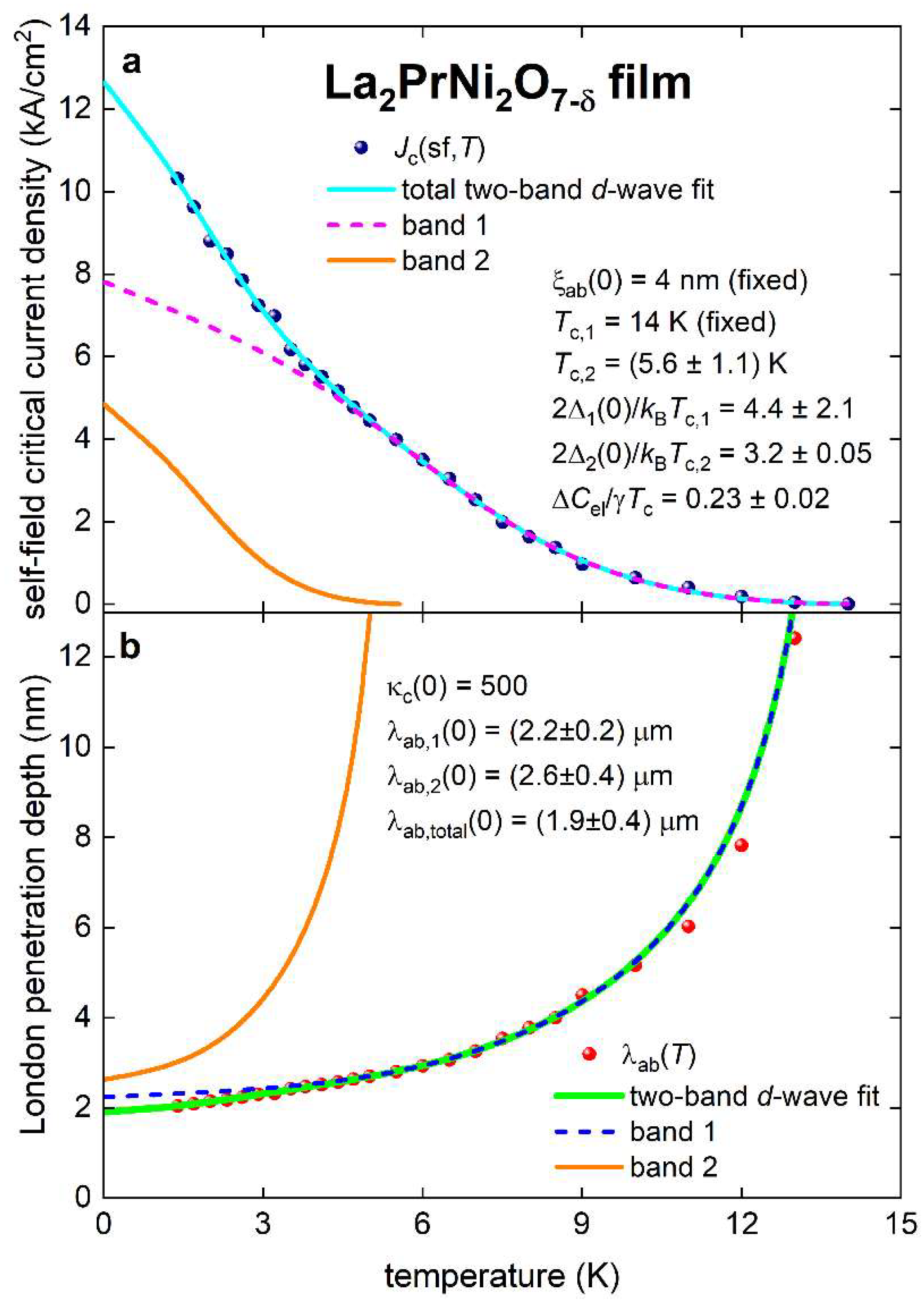
III. Fundamental Parameters in La2PrNi2O7-δ Films
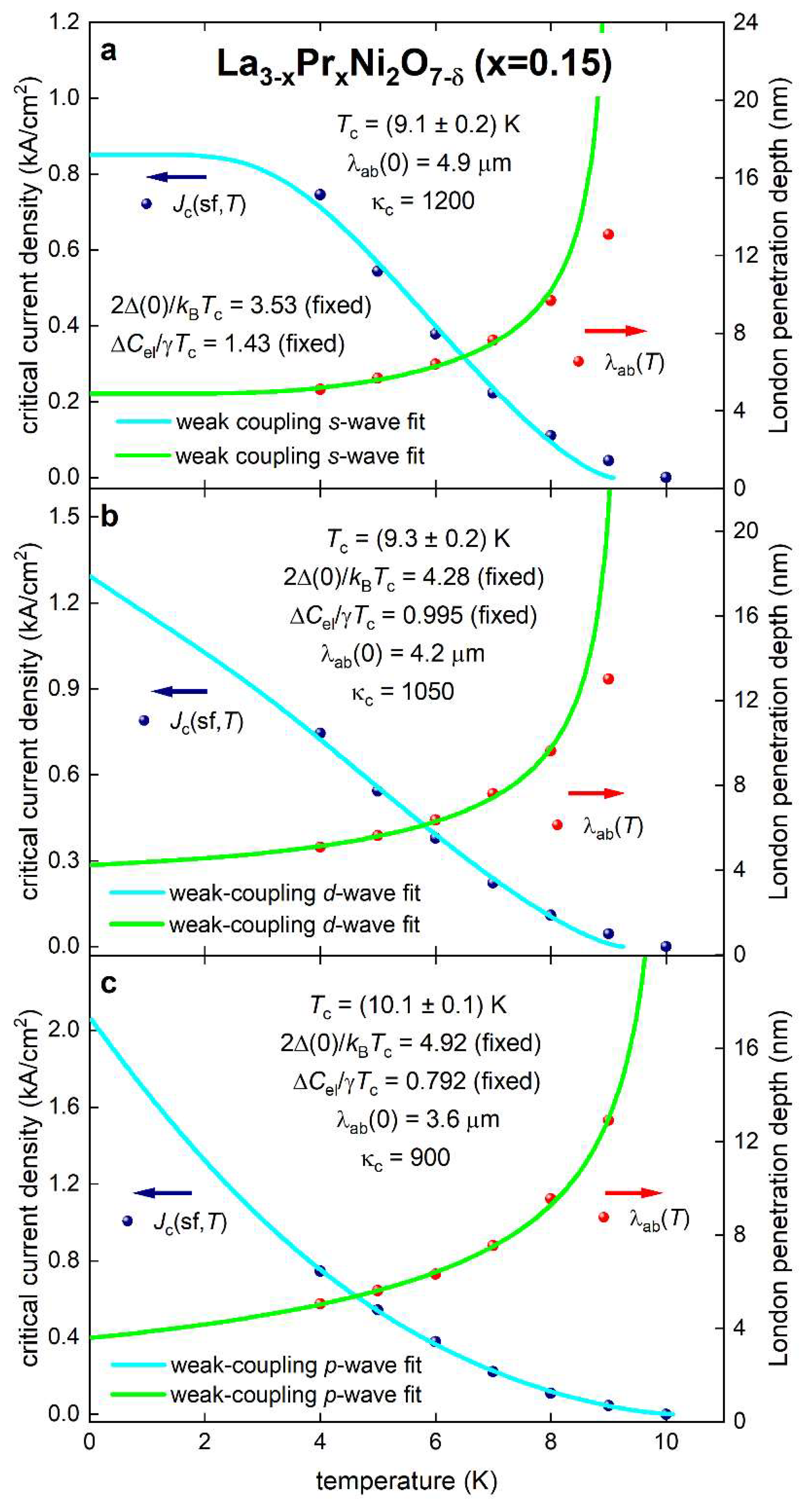
IV. Fundamental Parameters in La3-xPrxNi2O7-δ (x = 0.15) Films
V. More Evidences for Multiple-Band Superconductivity in Ruddlesden–Popper Nickelates
5.1. Highly Compressed Single Crystals La3Ni2O7-δ
5.1. Highly Compressed Polycrystalline La2PrNi2O7-δ
5.3. Highly Compressed Single Crystals La4Ni3O10-δ
5.4. Ambient Pressure La3Ni2O7-δ Thin Film
5.5. Ambient Pressure La6Ni5O12 Thin Film
5.6. Highly Compressed Pr4Ni3O10 Single Crystal
VI. The Limitation of Tc in Nickelates by Thermal Fluctuations
Acknowledgements
References
- Ko, E.K.; Yu, Y.; Liu, Y.; Bhatt, L.; Li, J.; Thampy, V.; Kuo, C.-T.; Wang, B.Y.; Lee, Y.; Lee, K.; et al. Signatures of ambient pressure superconductivity in thin film La3Ni2O7. Nature 2024. [CrossRef]
- Zhou, G. et al. Ambient-pressure superconductivity onset above 40 K in bilayer nickelate ultrathin films. (2024).
- Liu, Y. et al. Superconductivity and normal-state transport in compressively strained La2PrNi2O7 thin films. (2025).
- Anisimov, V.I.; Bukhvalov, D.; Rice, T.M. Electronic structure of possible nickelate analogs to the cuprates. Phys. Rev. B 1999, 59, 7901–7906. [CrossRef]
- Li, D.; Lee, K.; Wang, B.Y.; Osada, M.; Crossley, S.; Lee, H.R.; Cui, Y.; Hikita, Y.; Hwang, H.Y. Superconductivity in an infinite-layer nickelate. Nature 2019, 572, 624–627. [CrossRef]
- Sun, H.; Huo, M.; Hu, X.; Li, J.; Liu, Z.; Han, Y.; Tang, L.; Mao, Z.; Yang, P.; Wang, B.; et al. Signatures of superconductivity near 80 K in a nickelate under high pressure. Nature 2023, 621, 493–498. [CrossRef]
- Brisi, C., Vallino, M. & Abbattista, F. Composition and structure of two hitherto unidentified phases in the system La2O3-NiO-O. Journal of the Less Common Metals 79, 215–219 (1981).
- Ram, R.; Ganapathi, L.; Ganguly, P.; Rao, C. Evolution of three-dimensional character across the Lan+1NinO3n+1 homologous series with increase in n. J. Solid State Chem. 1986, 63, 139–147. [CrossRef]
- Sreedhar, K. et al. Low-Temperature Electronic Properties of the Lan+1NinO3n+1 (n = 2, 3, and ∞) System: Evidence for a Crossover from Fluctuating-Valence to Fermi-Liquid-like Behavior. J Solid State Chem 110, 208–215 (1994).
- Zhang, Z., Greenblatt, M. & Goodenough, J. B. Synthesis, Structure, and Properties of the Layered Perovskite La3Ni2O7-δ. J Solid State Chem 108, 402–409 (1994).
- Taniguchi, S. et al. Transport, Magnetic and Thermal Properties of La 3 Ni 2 O 7-δ. J Physical Soc Japan 64, 1644–1650 (1995).
- Wu, G., Neumeier, J. J. & Hundley, M. F. Magnetic susceptibility, heat capacity, and pressure dependence of the electrical resistivity of La3N2O7 and La4Ni3O10. Phys Rev B 63, 245120 (2001).
- Burriel, M. et al. Enhanced High-Temperature Electronic Transport Properties in Nanostructured Epitaxial Thin Films of the Lan+1NinO3n+1 Ruddlesden−Popper Series (n = 1, 2, 3, ∞). Chemistry of Materials 19, 4056–4062 (2007).
- Helfand, E.; Werthamer, N.R. Temperature and Purity Dependence of the Superconducting Critical Field, Hc2. II. Phys. Rev. B 1966, 147, 288–294. [CrossRef]
- Werthamer, N.R.; Helfand, E.; Hohenberg, P.C. Temperature and Purity Dependence of the Superconducting Critical Field, Hc2. III. Electron Spin and Spin-Orbit Effects. Phys. Rev. B 1966, 147, 295–302. [CrossRef]
- Baumgartner, T.; Eisterer, M.; Weber, H.W.; Flükiger, R.; Scheuerlein, C.; Bottura, L. Effects of neutron irradiation on pinning force scaling in state-of-the-art Nb3Sn wires. Supercond. Sci. Technol. 2013, 27. [CrossRef]
- Prozorov, R.; Kogan, V.G. Practically universal representation of the Helfand-Werthamer upper critical field for any transport scattering rate. Phys. Rev. Appl. 2024, 22. [CrossRef]
- Yan, X.; Zheng, H.; Li, Y.; Cao, H.; Phelan, D.P.; Zheng, H.; Zhang, Z.; Hong, H.; Wang, G.; Liu, Y.; et al. Superconductivity in an ultrathin multilayer nickelate. Sci. Adv. 2025, 11, eado4572. [CrossRef]
- Wang, Z.-C. et al. Superconductivity in KCa2Fe4As4F 2 with Separate Double Fe2As2 Layers. J Am Chem Soc 138, 7856–7859 (2016).
- Honda, F.; Kobayashi, S.; Kawamura, N.; Kawaguchi, S.I.; Koizumi, T.; Sato, Y.J.; Homma, Y.; Ishimatsu, N.; Gouchi, J.; Uwatoko, Y.; et al. Pressure-induced Structural Phase Transition and New Superconducting Phase in UTe2. J. Phys. Soc. Jpn. 2023, 92. [CrossRef]
- Wang, B.Y.; Wang, T.C.; Hsu, Y.-T.; Osada, M.; Lee, K.; Jia, C.; Duffy, C.; Li, D.; Fowlie, J.; Beasley, M.R.; et al. Effects of rare-earth magnetism on the superconducting upper critical field in infinite-layer nickelates. Sci. Adv. 2023, 9, eadf6655. [CrossRef]
- Wang, B.Y.; Li, D.; Goodge, B.H.; Lee, K.; Osada, M.; Harvey, S.P.; Kourkoutis, L.F.; Beasley, M.R.; Hwang, H.Y. Isotropic Pauli-limited superconductivity in the infinite-layer nickelate Nd0.775Sr0.225NiO2. Nat. Phys. 2021, 17, 473–477. [CrossRef]
- Ji, H.; Liu, Y.; Li, Y.; Ding, X.; Xie, Z.; Ji, C.; Qi, S.; Gao, X.; Xu, M.; Gao, P.; et al. Rotational symmetry breaking in superconducting nickelate Nd0.8Sr0.2NiO2 films. Nat. Commun. 2023, 14, 1–8. [CrossRef]
- Zhang, Y.; Su, D.; Huang, Y.; Shan, Z.; Sun, H.; Huo, M.; Ye, K.; Zhang, J.; Yang, Z.; Xu, Y.; et al. High-temperature superconductivity with zero resistance and strange-metal behaviour in La3Ni2O7−δ. Nat. Phys. 2024, 20, 1269–1273. [CrossRef]
- Cao, Y.; Fatemi, V.; Fang, S.; Watanabe, K.; Taniguchi, T.; Kaxiras, E.; Jarillo-Herrero, P. Unconventional superconductivity in magic-angle graphene superlattices. Nature 2018, 556, 43–50. [CrossRef]
- Park, J.M.; Cao, Y.; Xia, L.-Q.; Sun, S.; Watanabe, K.; Taniguchi, T.; Jarillo-Herrero, P. Robust superconductivity in magic-angle multilayer graphene family. Nat. Mater. 2022, 21, 877–883. [CrossRef]
- Di Battista, G. et al. Infrared single-photon detection with superconducting magic-angle twisted bilayer graphene. Sci Adv 10, (2024).
- Lee, K.; Wang, B.Y.; Osada, M.; Goodge, B.H.; Wang, T.C.; Lee, Y.; Harvey, S.; Kim, W.J.; Yu, Y.; Murthy, C.; et al. Linear-in-temperature resistivity for optimally superconducting (Nd,Sr)NiO2. Nature 2023, 619, 288–292. [CrossRef]
- Osada, M.; Wang, B.Y.; Goodge, B.H.; Lee, K.; Yoon, H.; Sakuma, K.; Li, D.; Miura, M.; Kourkoutis, L.F.; Hwang, H.Y. A Superconducting Praseodymium Nickelate with Infinite Layer Structure. Nano Lett. 2020, 20, 5735–5740. [CrossRef]
- Pan, G.A.; Segedin, D.F.; LaBollita, H.; Song, Q.; Nica, E.M.; Goodge, B.H.; Pierce, A.T.; Doyle, S.; Novakov, S.; Carrizales, D.C.; et al. Superconductivity in a quintuple-layer square-planar nickelate. Nat. Mater. 2021, 21, 160–164. [CrossRef]
- Bulaevskii, L.; Ginzburg, V.; Sobyanin, A. Macroscopic theory of superconductors with small coherence length. Phys. C: Supercond. its Appl. 1988, 152, 378–388. [CrossRef]
- Emery, V.J.; Kivelson, S.A. Importance of phase fluctuations in superconductors with small superfluid density. Nature 1995, 374, 434–437. [CrossRef]
- Talantsev, E.F.; Crump, W.P.; Storey, J.G.; Tallon, J.L. London penetration depth and thermal fluctuations in the sulphur hydride 203 K superconductor. Ann. der Phys. 2016, 529. [CrossRef]
- Andersson, M. Comment on “Superconducting state of Ca-VII below a critical temperature of 29 K at a pressure of 216 GPa”. Phys. Rev. B 2011, 84. [CrossRef]
- Wu L, Si J, Guan S, Zhang H, Dou J, Kuo J, Yang J, Yu H, Zhang J, Ma X, Yang P, Zhou R, Liu M, Hong F, Yu X 2024 Record-high Tc and dome-shaped superconductivity in a medium-entropy alloy TaNbHfZr under pressure up to 160 GPa. Phys Rev Lett 132 166002.
- Ye, G. et al. Distinct pressure evolution of superconductivity and charge density wave in kagome superconductor CsV3Sb5 thin flakes. Phys Rev B 109, 054501 (2024).
- Nie, J. Y. et al. On the superconducting gap structure of the miassite Rh17S15: Nodal or nodeless? (2024).
- Chen, K. Y. et al. Double Superconducting Dome and Triple Enhancement of Tc in the Kagome Superconductor CsV3Sb5 under High Pressure. Phys Rev Lett 126, 247001 (2021).
- Huyan, S. et al. Suppression of metal-to-insulator transition and stabilization of superconductivity by pressure in Re3Ge7. Phys Rev B 109, 174522 (2024).
- Terashima, T.; Tokumoto, Y.; Hamano, K.; Konoike, T.; Kikugawa, N.; Edagawa, K. Anomalous upper critical field in the quasicrystal superconductor Ta1.6Te. npj Quantum Mater. 2024, 9, 1–6. [CrossRef]
- Ruan, B.-B. et al. Superconductivity in Mo 4 Ga 20 As with endohedral gallium clusters. Journal of Physics: Condensed Matter 35, 214002 (2023).
- Zhang, C.; He, X.; Li, Z.; Zhang, S.; Min, B.; Zhang, J.; Lu, K.; Zhao, J.; Shi, L.; Peng, Y.; et al. Superconductivity above 80 K in polyhydrides of hafnium. Mater. Today Phys. 2022, 27. [CrossRef]
- Wang, L. S. et al. Nodeless superconducting gap in the topological superconductor candidate 2M-WS2. Phys Rev B 102, 024523 (2020).
- Pan, J. et al. Nodal superconductivity and superconducting dome in the layered superconductor Ta4Pd3Te16. Phys Rev B 92, 180505 (2015).
- Vedeneev, S.I.; Piot, B.A.; Maude, D.K.; Sadakov, A.V. Temperature dependence of the upper critical field of FeSe single crystals. Phys. Rev. B 2013, 87, 134512. [CrossRef]
- Yu, F.H.; Ma, D.H.; Zhuo, W.Z.; Liu, S.Q.; Wen, X.K.; Lei, B.; Ying, J.J.; Chen, X.H. Unusual competition of superconductivity and charge-density-wave state in a compressed topological kagome metal. Nat. Commun. 2021, 12, 1–6. [CrossRef]
- Dong, Q. et al. Strong superconducting pairing strength and pseudogap features in a putative multiphase heavy-fermion superconductor CeRh2As2 by soft point-contact spectroscopy. (2025).
- Bärtl, F. et al. Evidence of pseudogap and absence of spin magnetism in the time-reversal-symmetry-breaking state of Ba1-xKxFe2As2. (2025).
- Jangid, S. et al. Superconductivity with a high upper critical field in an equiatomic high-entropy alloy Sc–V–Ti–Hf–Nb. Appl Phys Lett 124, (2024).
- Jangid, S. et al. High critical field superconductivity in a 3d dominated lightweight equiatomic high entropy alloy. (2025).
- Sharma, S. et al. Evidence for conventional superconductivity in Bi2PdPt and prediction of possible topological superconductivity in disorder-free γ−BiPd. Phys Rev B 109, 224509 (2024).
- Landaeta, J. F. et al. Evidence for vertical line nodes in Sr2RuO4 from nonlocal electrodynamics. Phys Rev B 110, L100503 (2024).
- Sun, Y. et al. Specific Heat and Upper Critical Field of Sc5Ir4Si10 Superconductor. J Physical Soc Japan 82, 074713 (2013).
- Perkins, G.K.; Moore, J.; Bugoslavsky, Y.; Cohen, L.F.; Jun, J.; Kazakov, S.M.; Karpinski, J.; Caplin, A.D. Superconducting critical fields and anisotropy of a MgB2 single crystal. Supercond. Sci. Technol. 2002, 15, 1156–1159. [CrossRef]
- Arima, H. et al. Direct Observation of Vortices and Antivortices Generation in Phase-Separated Superconductor Sn-Pb Solder. (2025).
- Landaeta, J. F. et al. Conventional type-II superconductivity in locally noncentrosymmetric LaRh2As2 single crystals. Phys Rev B 106, 014506 (2022).
- Watanabe, Y.; Miura, A.; Moriyoshi, C.; Yamashita, A.; Mizuguchi, Y. Observation of superconductivity and enhanced upper critical field of η-carbide-type oxide Zr4Pd2O. Sci. Rep. 2023, 13, 1–10. [CrossRef]
- Ma, K. et al. Superconductivity with High Upper Critical Field in the Cubic Centrosymmetric η-Carbide Nb4Rh2C1−δ. ACS Materials Au 1, 55–61 (2021).
- Michor, H. et al. Superconductivity in layered YB2C2. J Phys Conf Ser 150, 052160 (2009).
- Anand, V. K. et al. Physical properties of noncentrosymmetric superconductor LaIrSi3: A μSR study. Phys Rev B 90, 014513 (2014).
- Chajewski, G., Szymański, D., Daszkiewicz, M. & Kaczorowski, D. Horizontal flux growth as an efficient preparation method of CeRh 2 As 2 single crystals. Mater Horiz 11, 855–861 (2024).
- Li, L. et al. Large upper critical fields and strong coupling superconductivity in the medium-entropy alloy (Ti1/3Hf1/3Ta1/3)1-xNbx. (2025).
- Du, F.; Balakirev, F.F.; Minkov, V.S.; Smith, G.A.; Maiorov, B.; Kong, P.P.; Drozdov, A.P.; Eremets, M.I. Tunneling Spectroscopy at Megabar Pressures: Determination of the Superconducting Gap in Sulfur. Phys. Rev. Lett. 2024, 133, 036002. [CrossRef]
- Takahashi, H.; Sasaki, T.; Nakano, A.; Akiba, K.; Takahashi, M.; Mayo, A.H.; Onose, M.; Kobayashi, T.C.; Ishiwata, S. Superconductivity in a ferroelectric-like topological semimetal SrAuBi. npj Quantum Mater. 2023, 8, 1–7. [CrossRef]
- Sundar, S., Chattopadhyay, M. K., Chandra, L. S. S., Rawat, R. & Roy, S. B. Vortex–glass transformation within the surface superconducting state of β-phase Mo(1-x)Rex alloys. Supercond Sci Technol 30, 025003 (2017).
- Liu, Y.; Liu, Z.-Y.; Bao, J.-K.; Yang, P.-T.; Ji, L.-W.; Wu, S.-Q.; Shen, Q.-X.; Luo, J.; Yang, J.; Liu, J.-Y.; et al. Superconductivity under pressure in a chromium-based kagome metal. Nature 2024, 632, 1032–1037. [CrossRef]
- Zeng, S.W.; Yin, X.M.; Li, C.J.; Chow, L.E.; Tang, C.S.; Han, K.; Huang, Z.; Cao, Y.; Wan, D.Y.; Zhang, Z.T.; et al. Observation of perfect diamagnetism and interfacial effect on the electronic structures in infinite layer Nd0.8Sr0.2NiO2 superconductors. Nat. Commun. 2022, 13, 1–6. [CrossRef]
- Wang, J. et al. Superconductivity in an Orbital-Reoriented SnAs Square Lattice: A Case Study of Li 0.6 Sn 2 As 2 and NaSnAs. Angewandte Chemie International Edition 62, (2023).
- Zhou, N.; Sun, Y.; Xi, C.Y.; Wang, Z.S.; Zhang, J.L.; Zhang, Y.F.; Xu, C.Q.; Pan, Y.Q.; Feng, J.J.; Meng, Y.; et al. Disorder-robust high-field superconducting phase of FeSe single crystals. Phys. Rev. B 2021, 104, L140504. [CrossRef]
- Chow, L. E. et al. Pauli-limit violation in lanthanide infinite-layer nickelate superconductors. (2022).
- Lee, Y.; Wei, X.; Yu, Y.; Bhatt, L.; Lee, K.; Goodge, B.H.; Harvey, S.P.; Wang, B.Y.; Muller, D.A.; Kourkoutis, L.F.; et al. Synthesis of superconducting freestanding infinite-layer nickelate heterostructures on the millimetre scale. Nat. Synth. 2025, 1–9. [CrossRef]
- Ekin, J. Experimental Techniques for Low-Temperature Measurements; Oxford University Press (OUP): Oxford, Oxfordshire, United Kingdom, 2006; ISBN: .
- Talantsev, E.F.; Tallon, J.L. Universal self-field critical current for thin-film superconductors. Nat. Commun. 2015, 6, 7820. [CrossRef]
- Crump, W. P. & Talantsev, E. F. Software for fitting self-field critical current data. Preprint at (2016).
- Chandrasekhar, B.S.; Einzel, D.; Hirschfeld, P.J.; Andres, K.; Groß-Alltag, F. London field penetration in heavy fermion superconductors. Eur. Phys. J. B 1991, 82, 243–255. [CrossRef]
- Gross, F.; Chandrasekhar, B.S.; Einzel, D.; Andres, K.; Hirschfeld, P.J.; Ott, H.R.; Beuers, J.; Fisk, Z.; Smith, J.L. Anomalous temperature dependence of the magnetic field penetration depth in superconducting UBe13. Eur. Phys. J. B 1986, 64, 175–188. [CrossRef]
- Talantsev, E., Crump, W. P. & Tallon, J. L. Thermodynamic Parameters of Single- or Multi-Band Superconductors Derived from Self-Field Critical Currents. Ann Phys 529, 1–18 (2017).
- Talantsev, E.F.; Crump, W.P.; Tallon, J.L. Universal scaling of the self-field critical current in superconductors: from sub-nanometre to millimetre size. Sci. Rep. 2017, 7, 10010–10010. [CrossRef]
- Prohammer, M. & Carbotte, J. P. London penetration depth of d -wave superconductors. Phys Rev B 43, 5370–5374 (1991).
- Talantsev, E.F.; Iida, K.; Ohmura, T.; Matsumoto, T.; Crump, W.P.; Strickland, N.M.; Wimbush, S.C.; Ikuta, H. p-wave superconductivity in iron-based superconductors. Sci. Rep. 2019, 9, 1–13. [CrossRef]
- Won, H.; Maki, K. D-wave superconductor as a model of high Tc superconductor. Phys. B: Condens. Matter 1994, 194-196, 1459–1460. [CrossRef]
- Bardeen, J., Cooper, L. N. & Schrieffer, J. R. Theory of Superconductivity. Physical Review 108, 1175–1204 (1957).
- Talantsev, E.F.; Crump, W.P.; O Island, J.; Xing, Y.; Sun, Y.; Wang, J.; Tallon, J.L. On the origin of critical temperature enhancement in atomically thin superconductors. 2D Mater. 2017, 4, 025072. [CrossRef]
- Carrington, A.; Manzano, F. Magnetic penetration depth of MgB2. Phys. C: Supercond. its Appl. 2003, 385, 205–214. [CrossRef]
- Canfield, P.; Bud’ko, S.; Finnemore, D. An overview of the basic physical properties of MgB2. Phys. C: Supercond. its Appl. 2003, 385, 1–7. [CrossRef]
- Buzea, C. & Yamashita, T. Review of the superconducting properties of MgB 2. Supercond Sci Technol 14, R115–R146 (2001).
- Talantsev, E.F. Solving mystery with the Meissner state in La3Ni2O7-δ. Supercond. Fundam. Appl. Res. 2024. [CrossRef]
- Talantsev, E.F.; Mataira, R.C.; Crump, W.P. Classifying superconductivity in Moiré graphene superlattices. Sci. Rep. 2020, 10, 1–15. [CrossRef]
- Talantsev. Classifying Induced Superconductivity in Atomically Thin Dirac-Cone Materials. Condens Matter 4, 83 (2019).
- Gumeniuk, R., Levytskyi, V., Kundys, B. & Leithe-Jasper, A. Yb3Rh4Sn13: Two-gap superconductor with a complex Fermi surface. Phys Rev B 108, 214515 (2023).
- Wimbush, S.C.; Strickland, N.M. A Public Database of High-Temperature Superconductor Critical Current Data. IEEE Trans. Appl. Supercond. 2016, 27, 1–5. [CrossRef]
- Lao, M.; Hänisch, J.; Kauffmann-Weiss, S.; Gehring, R.; Fillinger, H.; Drechsler, A.; Holzapfel, B. High current variable temperature electrical characterization system for superconducting wires and tapes with continuous sample rotation in a split coil magnet. Rev. Sci. Instruments 2019, 90, 015106. [CrossRef]
- Devitre, A.R.; Fischer, D.X.; Woller, K.B.; Clark, B.C.; Short, M.P.; Whyte, D.G.; Hartwig, Z.S. A facility for cryogenic ion irradiation and in situ characterization of rare-earth barium copper oxide superconducting tapes. Rev. Sci. Instruments 2024, 95. [CrossRef]
- Zhang, D. et al. Achieving superconductivity in infinite-layer nickelate thin films by aluminum sputtering deposition. (2024).
- Li, J. et al. Pressure-driven right-triangle shape superconductivity in bilayer nickelate La3Ni2O7. (2024).
- Wang, N.; Wang, G.; Shen, X.; Hou, J.; Luo, J.; Ma, X.; Yang, H.; Shi, L.; Dou, J.; Feng, J.; et al. Bulk high-temperature superconductivity in pressurized tetragonal La2PrNi2O7. Nature 2024, 634, 579–584. [CrossRef]
- Zhu, Y. et al. Superconductivity in pressurized trilayer La4Ni3O10−δ single crystals. Nature 631, 531–536 (2024).
- Yan, X.; Zheng, H.; Li, Y.; Cao, H.; Phelan, D.P.; Zheng, H.; Zhang, Z.; Hong, H.; Wang, G.; Liu, Y.; et al. Superconductivity in an ultrathin multilayer nickelate. Sci. Adv. 2025, 11, eado4572. [CrossRef]
- Chen, X. et al. Non-bulk Superconductivity in Pr4Ni3O10 Single Crystals Under Pressure. (2024).
- Zhang, E. et al. Bulk superconductivity in pressurized trilayer nickelate Pr4Ni3O10 single crystals. (2025).
- Storey, J. G. Incoherent superconductivity well above Tc in high-Tc cuprates—harmonizing the spectroscopic and thermodynamic data. New J Phys 19, 073026 (2017).
- Tallon, J.L.; Storey, J.G.; Loram, J.W. Fluctuations and critical temperature reduction in cuprate superconductors. Phys. Rev. B 2011, 83. [CrossRef]
- Stewart, G.R. Superconductivity in iron compounds. Rev. Mod. Phys. 2011, 83, 1589–1652. [CrossRef]
- Chiao, M. Are we there yet? Nat Phys 3, 148–150 (2007).
- Drozdov, A.P.; Eremets, M.I.; Troyan, I.A.; Ksenofontov, V.; Shylin, S.I. Conventional superconductivity at 203 kelvin at high pressures in the sulfur hydride system. Nature 2015, 525, 73–76. [CrossRef]
- Drozdov, A.P.; Kong, P.P.; Minkov, V.S.; Besedin, S.P.; Kuzovnikov, M.A.; Mozaffari, S.; Balicas, L.; Balakirev, F.F.; Graf, D.E.; Prakapenka, V.B.; et al. Superconductivity at 250 K in lanthanum hydride under high pressures. Nature 2019, 569, 528–531. [CrossRef]
- Kong, P.; Minkov, V.S.; Kuzovnikov, M.A.; Drozdov, A.P.; Besedin, S.P.; Mozaffari, S.; Balicas, L.; Balakirev, F.F.; Prakapenka, V.B.; Chariton, S.; et al. Superconductivity up to 243 K in the yttrium-hydrogen system under high pressure. Nat. Commun. 2021, 12, 1–9. [CrossRef]
- Somayazulu, M.; Ahart, M.; Mishra, A.K.; Geballe, Z.M.; Baldini, M.; Meng, Y.; Struzhkin, V.V.; Hemley, R.J. Evidence for Superconductivity above 260 K in Lanthanum Superhydride at Megabar Pressures. Phys. Rev. Lett. 2019, 122, 027001. [CrossRef]
- Bhattacharyya, P.; Chen, W.; Huang, X.; Chatterjee, S.; Huang, B.; Kobrin, B.; Lyu, Y.; Smart, T.J.; Block, M.; Wang, E.; et al. Imaging the Meissner effect in hydride superconductors using quantum sensors. Nature 2024, 627, 73–79. [CrossRef]
- Troyan, I. A. et al. Anomalous High-Temperature Superconductivity in YH6. Advanced Materials 33, 2006832 (2021).
- Semenok, D. Computational design of new superconducting materials and their targeted experimental synthesis. PhD Thesis; Skolkovo Institute of Science and Technology (2023). [CrossRef]
- Minkov, V.S.; Ksenofontov, V.; Bud’ko, S.L.; Talantsev, E.F.; Eremets, M.I. Magnetic flux trapping in hydrogen-rich high-temperature superconductors. Nat. Phys. 2023, 19, 1293–1300. [CrossRef]
- Minkov, V. S. et al. Revaluation of the lower critical field in superconducting H$_3$S and LaH$_{10}$ (Nature Comm. 13, 3194, 2022). (2024).
- Minkov, V.S.; Bud’ko, S.L.; Balakirev, F.F.; Prakapenka, V.B.; Chariton, S.; Husband, R.J.; Liermann, H.P.; Eremets, M.I. Magnetic field screening in hydrogen-rich high-temperature superconductors. Nat. Commun. 2022, 13, 1–8. [CrossRef]
- Tallon, J.L.; Talantsev, E.F. Compressed H3S, Superfluid Density and the Quest for Room-Temperature Superconductivity. J. Supercond. Nov. Magn. 2017, 31, 619–624. [CrossRef]















Disclaimer/Publisher’s Note: The statements, opinions and data contained in all publications are solely those of the individual author(s) and contributor(s) and not of MDPI and/or the editor(s). MDPI and/or the editor(s) disclaim responsibility for any injury to people or property resulting from any ideas, methods, instructions or products referred to in the content. |
© 2025 by the authors. Licensee MDPI, Basel, Switzerland. This article is an open access article distributed under the terms and conditions of the Creative Commons Attribution (CC BY) license (http://creativecommons.org/licenses/by/4.0/).
