Submitted:
16 January 2025
Posted:
16 January 2025
Read the latest preprint version here
Abstract
Keywords:
1. Introduction
1.1. Background and Motivations
1.2. Objectives
- (I)
- How should the pulse velocities of the first and second MIs be determined for better prediction of the peak response? Can they be determined based on the maximum momentary input energy spectrum ( spectrum) of the input ground motions?
- (II)
- How can the number of impulsive lateral forces of the first and second MIs be determined for better prediction of the cumulative response (e.g., the cumulative strain energy of a damper panel in SDC)?
- (III)
- Di Sarno et al. (2020) and Amiri et al. (2021) pointed out the importance of considering the relative difference between the incident angles of the mainshock and subsequent aftershocks. Although a planer frame analysis is considered here, the signs of the two MIs, which correspond to the conventional aftershock polarity (positive or negative), must still be accounted for. How will the signs of two MIs affect the responses of structures?
2. Extended Critical Pseudo-Multi Impulse (PMI) Analysis Considering Sequential Input
2.1. Outline of Extended Critical PMI Analysis Considering Sequential Input
2.2. Scheme to Predict Response of a Structure under Earthquake Sequence Using Critical PMI Analysis
2.2.1. STEP 1: Incremental Critical Pseudo-Multi Impulse Analysis
2.2.2. STEP 2: Prediction of Peak Response for Single Input
2.2.3. STEP 3: Extended Critical PMI Analysis Considering Sequential Input
3. Analysis Data
3.1. Building Data
3.2. Ground Motion Data
3.3. Analysis Methods
4. Analysis Results
4.1. Critical PMI Analysis
- For the model with significant pinching in RC beams ( = 0.25), the evaluated pulse velocities from the results of PMI4 were = 0.25 m/s and = 0.65 m/s, respectively. Similarly, the evaluated pulse velocities from the results of PMI6 were = 0.20 m/s and = 0.55 m/s, respectively.
- For the model with no pinching in RC beams ( = 1.00), the evaluated pulse velocities from the results of PMI4 were = 0.25 m/s and = 0.65 m/s, respectively. Similarly, the evaluated pulse velocities from the results of PMI6 were = 0.20 m/s and = 0.55 m/s, respectively.
- For the model with significant pinching in RC beams ( = 0.25), the evaluated pulse velocities from the results of PMI4 were = 1.20 m/s and = 1.35 m/s, respectively. Similarly, the evaluated pulse velocities from the results of PMI6 were = 1.10 m/s and = 1.15 m/s, respectively.
- For the model with no pinching in RC beams ( = 1.00), the evaluated pulse velocities from the results of PMI4 were = 1.20 m/s and = 1.40 m/s, respectively. Similarly, the evaluated pulse velocities from the results of PMI6 were = 1.15 m/s and = 1.25 m/s, respectively.
- The hysteresis loop obtained for the model with significant pinching in RC beams ( = 0.25) was not significantly different from that obtained for the model with no pinching in RC beams ( = 1.00).
- In the case of Sequential-1, the direction of the half cycle of structural response when occurred in the second MI was opposite to the direction of the half cycle of structural response when occurred. In the case of Sequential-2, the direction of the half cycle of structural response when occurred in the second MI was the same direction when occurred.
- In the results of PMI4, the half cycle of structural response when occurred in the second MI was the curve 2′→3′. Therefore, occurred when the third pseudo-impulsive lateral force acted in the second MI. Similarly, in the results of PMI6, the half cycle of structural response when occurred in the second MI was the curve 4′→5′. Therefore, occurred when the fifth pseudo-impulsive lateral force acted in the second MI.
- The hysteresis loop obtained for the model = 0.25 was significantly different from that obtained for the model = 1.00; significant pinching behavior was observed in the hysteresis loop obtained for the model = 0.25.
- In the results of PMI4, occurred when the third pseudo-impulsive lateral force acted in the second MI. The same observation could be made for both models = 0.25 and = 1.00.
- For the model = 0.25, occurred when the fifth pseudo-impulsive lateral force acted in the second MI in the results of PMI6. However, for the model = 1.00, occurred when the fourth pseudo-impulsive lateral force acted in the second MI in the results of PMI6.
4.2. Comparisons of Analysis Results Obtained from Critical PMI Analysis and from NTHA Using Recorded Ground Motions
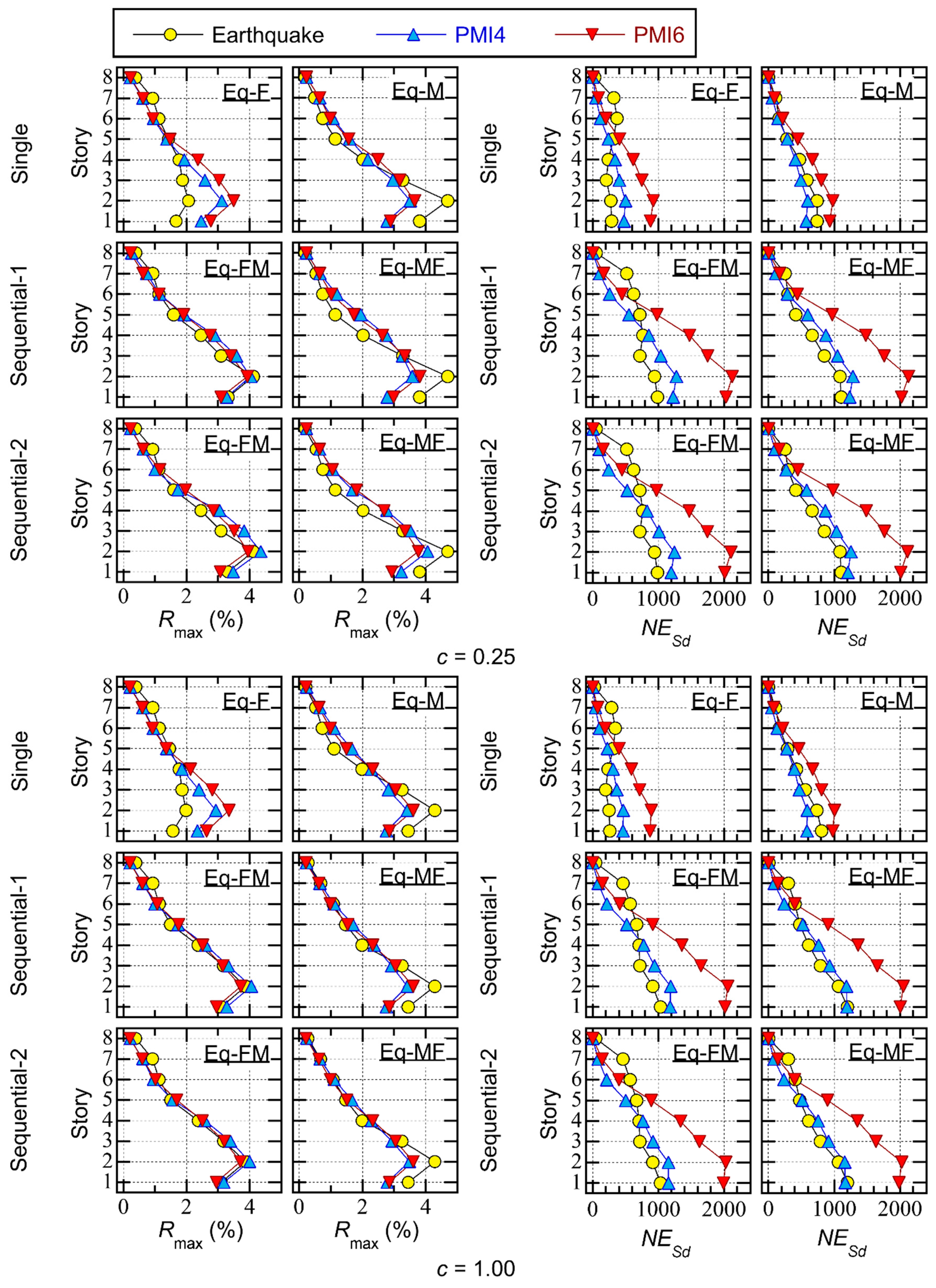
- In the case of Eq-F (foreshock only), the predicted results obtained from both PMI4 and PMI6 underestimated the results of “Earthquake.”
- In the case of Eq-M (mainshock only), the predicted results of PMI4 were close to the results of “Earthquake,” whereas the predicted results of PMI6 overestimated the results of “Earthquake.”
- In the cases of Eq-FM (foreshock–mainshock sequence) and Eq-MF (mainshock–foreshock sequence), the predicted results of PMI4 were close to the results of “Earthquake,” whereas the predicted results of PMI6 overestimated the results of “Earthquake.”
- The predicted results obtained from Sequence-1 were almost identical to those obtained from Sequential-2. The same observation could be made for both PMI4 and PMI6.
- The observations described above could be made for both models = 0.25 and = 1.00.
- In the case of Eq-F, the predicted results obtained from both PMI4 and PMI6 were larger than the results of “Earthquake.” The predicted results of PMI6 were too conservative compared with the results of “Earthquake”
- In the case of Eq-M, the predicted results of PMI4 underestimated the results of “Earthquake,” whereas the predicted results obtained from PMI6 overestimated the results of “Earthquake.”
- In the cases of Eq-FM and Eq-MF, the predicted results of PMI4 were close to the results of “Earthquake,” whereas the predicted results of PMI6 overestimated the results of “Earthquake.”
- The predicted of PMI4 and PMI6 agreed well with that of “Earthquake” for all cases. The difference of the predicted between PMI4 and PMI6 was very small.
- In the case of Eq-F, the obtained from “Earthquake” was close to the predicted results of PMI6: the predicted results of PMI4 were unconservative. However, in the case of Eq-M and earthquake sequence cases (Eq-FM and MF), the predicted of PMI4 agreed well with that of “Earthquake.” In such cases, the predicted results of PMI6 were too conservative.
- The difference between the predicted results from Sequence-1 and 2 was negligibly small for both PMI4 and PMI6.
- The observations described above can be made for both models = 0.25 and = 1.00.
- In the case of Eq-F, the predicted of PMI4 and PMI6 was conservative compared with the results of “Earthquake” below the fourth story, whereas it was slightly unconservative for the upper stories. In the case of Eq-M, the predicted of PMI4 and PMI6 underestimated the results of “Earthquake” at the second story, whereas it slightly exceeded the results of “Earthquake” for the upper stories. However, in the case of Eq-FM, the predicted of PMI4 and PMI6 agreed well with the results of “Earthquake.” The trend in the case of Eq-MF was similar to that in the case of Eq-M.
- In the case of Eq-F, the predicted of PMI4 and PMI6 was conservative compared with the results of “Earthquake” below the fourth story, whereas it was slightly unconservative for the upper stories. In the case of Eq-M, the predicted of PMI4 underestimated the results of “Earthquake,” whereas the predicted of PMI6 overestimated the results of “Earthquake.” In the cases of earthquake sequences (Eq-FM and MF), the predicted of PMI4 was close to the results of “Earthquake,” although it was underestimated in the lower stories and overestimated in the upper stories: the predicted of PMI6 overestimated the results of “Earthquake” in most stories.
4.3. Accuracy of Predicted Results
- The accuracy of the predicted was satisfactory for both PMI4 and PMI6. The of was 1.09 for single input, whereas it was 1.08 for both Sequential-1 and Sequential-2. Similarly, the of was 1.05 for single input, whereas it was 1.02 for both Sequential-1 and 2.
- The accuracy of the predicted was satisfactory for both PMI4 and PMI6. The of was 1.11 for single input, whereas it was 1.15 and 1.16 for Sequential-1 and 2, respectively. The of was 1.22 for single input, while it was 1.18 and 1.20 for Sequential-1 and 2, respectively.
- The accuracy of the predicted was satisfactory for both PMI4 and PMI6. The of was 1.09 for single input, whereas it was 1.08 for both Sequential-1 and Sequential-2. The of was 1.06 for single input, whereas it was 1.03 for both Sequential-1 and 2.
- The accuracy of the predicted was satisfactory for both PMI4 and PMI6. The of was 1.11 for single input, whereas it was 1.14 for both Sequential-1 and 2. The of was 1.20 for single input, whereas it was 1.14 for both Sequential-1 and 2.
- The predicted obtained from PMI4 was close to that of “Earthquake”: the of was 1.08 for single input, whereas it was 1.12 for both Sequential-1 and 2. However, the predicted obtained from PMI6 overestimated that of “Earthquake”: the of was 1.50 for single input, whereas it was 1.62 and 1.63 for Sequential-1 and Sequential-2, respectively.
- The predicted obtained from PMI4 underestimated that of “Earthquake”: the of was 0.722 for single input, whereas it was 0.754 and 0.752 for Sequential-1 and 2, respectively. However, the predicted obtained from PMI6 overestimated that of “Earthquake”: the of was 1.24 for single input, whereas it was 1.25 for both Sequential-1 and 2.
- The predicted obtained from PMI4 was close to that of “Earthquake”: the of was 1.06 for single input, whereas it was 1.09 and 1.08 for Sequential-1 and 2, respectively. However, the predicted obtained from PMI6 overestimated that of “Earthquake”: the of was 1.54 for single input, whereas it was 1.66 for both Sequential-1 and 2.
- The predicted obtained from PMI4 underestimated that of “Earthquake”: the of was 0.724 for single input, whereas it was 0.752 and 0.749 for Sequential-1 and 2, respectively. However, the predicted obtained from PMI6 overestimated that of “Earthquake”: the of was 1.25 for single input, whereas it was 1.25 for both Sequential-1 and 2.
- The accuracy of the predicted was satisfactory for both PMI4 and PMI6. The trend was similar to that of shown in Figure 11, although the scattering became greater.
- The predicted obtained from PMI4 and PMI6 was close to that of “Earthquake.” However, there were some underestimated plots in case of PMI4. In contrast, there were some overestimated plots in the case of PMI6. The trend was similar to that of shown in Figure 12, although the scattering became greater.
4.4. Summary of Analysis Results
- The peak response of the first modal response ( and ) could be predicted using critical PMI analysis results, in the case of single input and sequential input. The accuracy of the predicted and in the case of PMI6 ( = = 6) was similar to that in the case of PMI4 ( = = 4).
- In contrast, the accuracy of the predicted cumulative response ( and ) strongly depended on the number of pseudo-impulsive lateral forces of each MI (). In the case of PMI4 ( = = 4), the accuracy of the predicted was satisfactory, whereas the predicted was unconservative in some cases. In the case of PMI6 ( = = 6), the predicted and were too conservative in some cases.
- The trend of the accuracy of in each story was similar to that of . Similarly, the trend of the accuracy of in each story was similar to that of .
- The influence of the sign of the two MIs on the predicted peak and cumulative responses of RC MRF with SDCs from the extended critical PMI analysis was negligibly small. The predicted results obtained from Sequence-1 were almost identical to those obtained from Sequential-2.
5. Discussions
- The − plot obtained from the results of “Earthquake” was close to the − curve obtained from PMI4 ( = 4 and = 0). The − curve obtained from PMI6 ( = 6 and = 0) was close to that of PMI4, although there were some small differences where was larger than 0.2 m.
- In contrast, most of the − plot obtained from the results of Earthquake was distributed between the two − curves obtained from PMI4 and PMI6.
- In the case of single input, most ratios of PMI4 were larger than those of “Earthquake,” whereas most of the ratios of PMI6 were smaller than those of “Earthquake.” The ratio obtained from the critical PMI analysis was almost constant in the case of single input: for PMI4, was close to 0.67, whereas for PMI6, was close to 0.50.
- Similarly, in the case of sequential input (both Sequential-1 and 2), most ratios of PMI4 were larger than those of “Earthquake,” whereas most ratios of PMI6 were smaller than those of “Earthquake”.
- According to the KMM-EW ground motion set discussed in Sec. 4.2, the ratios of PMI6 were close to those of “Earthquake” in the case of Eq-F. In contrast, the ratios of PMI4 were close to those of “Earthquake” in the cases of Eq-M and sequential inputs (Eq-FM and MF).
- According to the MAS-EW ground motion set discussed in Sec. 4.2, the ratios of PMI4 were close to those of “Earthquake” in all cases. The ratios of PMI6 were smaller than those of “Earthquake.”
6. Conclusions
- (i)
- The peak response of the first modal response (the equivalent velocity of the maximum momentary input energy , and the peak equivalent displacement ) of an RC MRF with SDCs subjected to sequential seismic input could be predicted using the extended critical PMI analysis proposed herein.
- (ii)
- The pulse velocities of the first and second MIs ( and ) could be determined based on the maximum momentary input energy spectrum ( spectrum) of the input ground motions.
- (iii)
- The dependence of the number of pseudo-impulsive lateral forces of each MI ( and ) on the accuracy of the predicted peak response was limited; the predicted peak response when = = 6 was very close to that when = = 4. This is because the − relationship of the analyzed obtained RC MRF with SDCs from ICPMIA assuming = 6 and = 0 was close to that obtained from ICPMIA assuming = 4 and = 0.
- (iv)
- The predicted normalized cumulative strain energy of SDCs () obtained from the extended critical PMI analysis assuming = = 4 was close to that obtained from NTHA using recorded ground motion sequences in some cases, although it underestimated that obtained from NTHA using recorded ground motion sequences in the other cases. In addition, the predicted assuming = = 6 was much larger than that obtained from NTHA using recorded ground motion sequences.
- (v)
- For better prediction of the cumulative strain energy (e.g., ) via extended critical PMI analysis, the choice of the number of pseudo-impulsive lateral forces of each MI ( and ) is important.
- (vi)
- The influence of the signs of two MIs on the predicted peak and cumulative responses of the RC MRF with SDCs based on the extended critical PMI analysis was negligibly small.
- (vii)
- As far as the RC MRF with SDCs is concerned, the influence of the pinching behavior of RC beams on the behavior of the whole structure was negligibly small. Therefore, the negative effect of the pinching behavior of RC beams can be reduced by installing SDCs.
- The strength balance of the RC MRF and SDCs is a point of interest for seismic design. How will the behavior of such an RC MRF with SDCs under earthquake sequences change as the strength balance of the RC MRF and SDCs changes? When the strength of the SDCs is relatively small, the behavior of the whole structure will be similar to that of the bare RC MRF. In such cases, the following concerns arise. (a) The influence of pinching behavior on the response of the RC MRF structure under an earthquake sequence will be significant, and (b) the degradation of the RC MRF will be accelerated in the case of an earthquake sequence. In contrast, when the strength of the SDCs is relatively large, the residual deformation after seismic events may become larger. This may affect the response of the RC MRF under earthquake sequences.
- Can the simplified procedure in a previous study (Fujii and Shioda, 2023) be extended for the case of earthquake sequences? Because the proposed simplified procedure is based on nonlinear static (pushover) analysis, it is much easier to apply this procedure in daily design work. For this purpose, it is necessary to evaluate the − and − (or − ) relationships of RC MRFs while considering the response the RC MRFs previously experienced. The extended critical PMI analysis proposed herein is useful for parametric investigations.
Author Contributions
Funding
Data Availability Statement
Acknowledgments
Conflict of Interest
Abbreviations
References
- Abdelnaby, A.E. Fragility curves for RC frames subjected to Tohoku mainshock-aftershocks sequences. Journal of Earthquake Engineering. 2016, 22, 902–920. [Google Scholar] [CrossRef]
- Abdelnaby, A.E.; Elnashai, A.S. Performance of degrading reinforced concrete frame systems under the Tohoku and Christchurch earthquake sequences. Journal of Earthquake Engineering. 2014, 18, 1009–1036. [Google Scholar] [CrossRef]
- Abdelnaby, A.E.; Elnashai, A.S. Numerical modeling and analysis of RC frames subjected to multiple earthquakes. Earthquakes and Structures. 2015, 9, 957–981. [Google Scholar] [CrossRef]
- Akehashi, H.; Takewaki, I. Pseudo-double impulse for simulating critical response of elastic-plastic MDOF model under near-fault earthquake ground motion. Soil Dynamics and Earthquake Engineering. 2021, 150, 106887. [Google Scholar] [CrossRef]
- Akehashi, H.; Takewaki, I. Pseudo-multi impulse for simulating critical response of elastic-plastic high-rise buildings under long-duration, long-period ground motion. The Structural Design of Tall and Special Buildings. 2022, 31, e1969. [Google Scholar] [CrossRef]
- Akehashi, H.; Takewaki, I. Bounding of earthquake response via critical double impulse for efficient optimal design of viscous dampers for elastic-plastic moment frames. Japan Architectural Review. 2022, 5, 131–149. [Google Scholar] [CrossRef]
- Akiyama, H. (1985). Earthquake resistant limit-state design for buildings. Tokyo: University of Tokyo Press.
- Akiyama, H. (1999). Earthquake-resistant design method for buildings based on energy balance. Tokyo: Gihodo Shuppan.
- Alıcı, F.S., Sucuoğlu, H. (2024). “Input energy from mainshock-aftershock sequence during February 6, 2023 Earthquakes in South East Türkiye”, in Proceedings of the 18th World Conference on Earthquake Engineering, Milan, Italy.
- Amadio, C.; Fragiacomo, M.; Rajgelj, S. The effects of repeated earthquake ground motions on the non-linear response of SDOF system. Earthquake Engineering and Structural Dynamics. 2003, 32, 291–308. [Google Scholar] [CrossRef]
- Amiri, S.; Di Sarno, L.; Garakaninezhad, A. On the aftershock polarity to assess residual displacement demands. Soil Dynamics and Earthquake Engineering. 2021, 150, 106932. [Google Scholar] [CrossRef]
- Building Center of Japan (BCJ). 2016. The Building Standard Law of Japan on CD-ROM. Tokyo: The Building Center of Japan.
- Di Sarno, L. Effects of multiple earthquakes on inelastic structural response. Engineering Structures. 2013, 56, 673–681. [Google Scholar] [CrossRef]
- Di Sarno, L.; Amiri, S. Period elongation of deteriorating structures under mainshock-aftershock sequences. Engineering Structures. 2019, 196, 109341. [Google Scholar] [CrossRef]
- Di Sarno, L.; Amiri, S.; Garakaninezhad, A. Effects of incident angles of earthquake sequences on seismic demands of structures. Structures. 2020, 28, 1244–1251. [Google Scholar] [CrossRef]
- Di Sarno, L.; Pugliese, F. Effects of mainshock-aftershock sequences on fragility analysis of RC buildings with ageing. Engineering Structures. 2021, 232, 111837. [Google Scholar] [CrossRef]
- Di Sarno, L.; Wu, J.R. Fragility assessment of existing low-rise steel moment-resisting frames with masonry infills under mainshock-aftershock earthquake sequences. Bulletin of Earthquake Engineering. 2021, 19, 2483–2504. [Google Scholar] [CrossRef]
- Donaire-Ávila, J., Galé-Lamuela, D., Benavent-Climent, A., Mollaioli, F. (2024). “Cumulative damage in buildings designed with energy and force methods under sequences of earthquakes”, in Proceedings of the 18th World Conference on Earthquake Engineering, Milan, Italy.
- Elenas, A., Siouris, I.M., Plexidas, A. (2017). “A study on the interrelation of seismic intensity parameters and damage indices of structures under mainshock-aftershock seismic sequences” in Proceedings of the 16th World Conference on Earthquake Engineering, Santiago, Chile.
- Faisal, A.; Majid, T.A.; Hatzigeorgiou, G.D. Investigation of story ductility demands of inelastic concrete frames subjected to repeated earthquakes. Soil Dynamics and Earthquake Engineering. 2013, 44, 42–53. [Google Scholar] [CrossRef]
- Fajfar, P. A nonlinear analysis method for performance-based seismic design. Earthquake Spectra. 2000, 16, 573–592. [Google Scholar] [CrossRef]
- Fujii, K. Peak and cumulative response of reinforced concrete frames with steel damper columns under seismic sequences. Buildings. 2022, 12, 275. [Google Scholar] [CrossRef]
- Fujii, K. (2023), Energy-based response prediction of reinforced concrete buildings with steel damper columns under pulse-like ground motions. Frontiers in Built Environment. 9, 1219740.
- Fujii, K. (2024a), Critical pseudo-double impulse analysis evaluating seismic energy input to reinforced concrete buildings with steel damper columns. Frontiers in Built Environment. 10, 1369589.
- Fujii, K. (2024b), Seismic capacity evaluation of reinforced concrete buildings with steel damper columns using incremental pseudo-multi impulse analysis. Frontiers in Built Environment. 10, 1431000.
- Fujii, K.; Kanno, H.; Nishida, T. Formulation of the time-varying function of momentary energy input to a single-degree-of-freedom system using Fourier series. Journal of Japan Association for Earthquake Engineering. 2021, 21, 28–47. [Google Scholar] [CrossRef]
- Fujii, K.; Kato, M. Strength balance of steel damper columns and surrounding beams in reinforced concrete frames. Earthquake Resistant Engineering Structures XIII, WIT Transactions on The Built Environment. 2021, 202, PII25–36. [Google Scholar]
- Fujii, K.; Shioda, M. Energy-based prediction of the peak and cumulative response of a reinforced concrete building with steel damper columns. Buildings. 2023, 13, 401. [Google Scholar] [CrossRef]
- Gentile, R.; Galasso, C. Hysteretic energy-based state-dependent fragility for ground-motion sequences. Earthquake Engineering and Structural Dynamics. 2021, 50, 1187–1203. [Google Scholar] [CrossRef]
- Goda, K. (2012a). “Peak ductility demand of mainshock-aftershock sequences for Japanese earthquakes, ”in Proceedings of the 15th World Conference on Earthquake Engineering, Lisbon, Portugal.
- Goda, K. Nonlinear response potential of mainshock–aftershock sequences from Japanese earthquakes. Bulletin of the Seismological Society of America. 2012, 102, 2139–2156. [Google Scholar] [CrossRef]
- Goda, K. Record selection for aftershock incremental dynamic analysis. Earthquake Engineering and Structural Dynamics. 2014, 44, 1157–1162. [Google Scholar] [CrossRef]
- Goda, K.; Wenzel, F.; De Risi, R. Empirical assessment of non-linear seismic demand of mainshock–aftershock ground-motion sequences for Japanese earthquakes. Frontiers in Built Environment. 2015, 1, 6. [Google Scholar] [CrossRef]
- Han, R.; Li, Y.; Lindt, J. Probabilistic assessment and cost-benefit analysis of nonductile reinforced concrete buildings retrofitted with base isolation: considering mainshock–aftershock hazards. ASCE-ASME Journal of Risk and Uncertainty in Engineering Systems, Part A: Civil Engineering. 2017, 3, 04017023. [Google Scholar] [CrossRef]
- Hatzigeorgiou, G.D. Behavior factors for nonlinear structures subjected to multiple near-fault earthquakes. Computers and Structures. 2010, 88, 309–321. [Google Scholar] [CrossRef]
- Hatzigeorgiou, G.D. Ductility demand spectra for multiple near-and far-fault earthquakes. Soil Dynamics and Earthquake Engineering. 2010, 30, 170–183. [Google Scholar] [CrossRef]
- Hatzigeorgiou, G.D.; Beskos, D.E. Inelastic displacement ratios for SDOF structures subjected to repeated earthquakes. Engineering Structures. 2009, 31, 2744–2755. [Google Scholar] [CrossRef]
- Hatzigeorgiou, G.D.; Liolios, A.A. Nonlinear behaviour of RC frames under repeated strong ground motions. Soil Dynamics and Earthquake Engineering. 2010, 30, 1010–1025. [Google Scholar] [CrossRef]
- Hatzivassiliou, M.; Hatzigeorgiou, G.D. Seismic sequence effects on three-dimensional reinforced concrete buildings. Soil Dynamics and Earthquake Engineering. 2015, 72, 77–88. [Google Scholar] [CrossRef]
- Hosseinpour, F.; Abdelnaby, A.E. Effect of different aspects of multiple earthquakes on the nonlinear behavior of RC structures. Soil Dynamics and Earthquake Engineering. 2017, 92, 706–725. [Google Scholar] [CrossRef]
- Hori, N.; Inoue, N. Damaging properties of ground motion and prediction of maximum response of structures based on momentary energy input. Earthquake Engineering and Structural Dynamics. 2002, 31, 1657–1679. [Google Scholar] [CrossRef]
- Hoveidae, N.; Radpour, S. Performance evaluation of buckling-restrained braced frames under repeated earthquakes. Bulletin of Earthquake Engineering. 2021, 19, 241–262. [Google Scholar] [CrossRef]
- Kagermanov, A.; Gee, R. Cyclic pushover method for seismic assessment under multiple earthquakes. Earthquake Spectra. 2019, 35, 1541–1558. [Google Scholar] [CrossRef]
- Katayama, T., Ito, S., Kamura, H., Ueki, T., Okamoto, H. (2000). “Experimental study on hysteretic damper with low yield strength steel under dynamic loading,” in Proceedings of the 12th World Conference on Earthquake Engineering, Auckland, New Zealand.
- Kojima, K.; Takewaki, I. Critical earthquake response of elastic–plastic structures under near-fault ground motions (Part 1: Fling-step input). Frontiers in Built Environment. 2015, 1, 12. [Google Scholar] [CrossRef]
- Kojima, K.; Takewaki, I. Critical earthquake response of elastic–plastic structures under near-fault ground motions (Part 2: Forward-directivity input). Frontiers in Built Environment. 2015, 1, 13. [Google Scholar] [CrossRef]
- Kojima, K.; Takewaki, I. Critical input and response of elastic–plastic structures under long-duration earthquake ground motions. Frontiers in Built Environment. 2015, 1, 15. [Google Scholar] [CrossRef]
- Mahin, A. (1980). “Effect of duration and aftershock on inelastic design earthquakes,” in Proceedings of the 9th World Conference on Earthquake Engineering, Istanbul, Turkey.
- Mukoyama, R., Fujii, K., Irie, C., Tobari, R., Yoshinaga, M., Miyagawa, K. (2021). “Displacement-controlled Seismic Design Method of Reinforced Concrete Frame with Steel Damper Column,” in Proceedings of the 17th World Conference on Earthquake Engineering, Sendai, Japan.
- Orlacchio, M., Baltzopoulos, G., Iervolino, I. (2021). “State-dependent seismic fragility via pushover analysis” in Proceedings of the 17th World Conference on Earthquake Engineering, Sendai, Japan.
- Oyguc, R.; Toros, C.; Abdelnaby, A.E. Seismic behavior of irregular reinforced-concrete structures under multiple earthquake excitations. Soil Dynamics and Earthquake Engineering. 2018, 104, 15–32. [Google Scholar] [CrossRef]
- Oyguc, R.; Tonuk, G.; Oyguc, E.; Ucak, D. (2023). Damage accumulation modelling of two reinforced concrete buildings under seismic sequences. Bulletin of Earthquake Engineering. 21. 4993–5015.
- Pedone, L.; Gentile, R.; Galasso, C.; Pampanin, S. Energy-based procedures for seismic fragility analysis of mainshock-damaged buildings. Frontiers in Built Environment. 2023, 9, 1183699. [Google Scholar] [CrossRef]
- Qiao, Y.M.; Lu, D.G.; Yu, X.H. Shaking table tests of a reinforced concrete frame subjected to mainshock-aftershock sequences. Journal of Earthquake Engineering. 2020, 26, 1693–1722. [Google Scholar] [CrossRef]
- Ruiz-García, J., Negrete-Manriquez, J.C. (2011). Evaluation of drift demands in existing steel frames under as-recorded far-field and near-fault mainshock–aftershock seismic sequences. Engineering Structures. 33. 621–634.
- Ruiz-García, J. Mainshock-Aftershock Ground Motion Features and Their Influence in Building’s Seismic Response. Journal of Earthquake Engineering. 2012, 16, 719–737. [Google Scholar] [CrossRef]
- Ruiz-García, J. (2012b). “Issues on the Response of Existing Buildings Under Mainshock-Aftershock Seismic Sequences,” in Proceedings of the 15th World Conference on Earthquake Engineering, Lisbon, Portugal.
- Ruiz-García, J. (2013). “Three-dimensional building response under seismic sequences,” in Proceedings of the 2013 World Congress on Advances in Structural Engineering and Mechanics (ASEM13), Jeju, Korea.
- Ruiz-García, J., Marín, M.V., Terán-Gilmore, A. (2013). “Effect of seismic sequences on the response of RC buildings located in soft soil sites,” in Proceedings of the 2013 World Congress on Advances in Structural Engineering and Mechanics (ASEM13), Jeju, Korea.
- Ruiz-García, J., Olvera, R.N. (2021). “Seismic performance of nonconforming Mexican school buildings under mainshock-aftershock sequences” in Proceedings of the 2021 World Congress on Advances in Structural Engineering and Mechanics (ASEM21), Seoul, Korea.
- Ruiz-García, J., Terán-Gilmore, A., Díaz, G. (2012). “Response of Essential Facilities Under Narrow-Band Mainshock-Aftershock Seismic Sequences,” in Proceedings of the 15th World Conference on Earthquake Engineering, Lisbon, Portugal.
- Ruiz-García, J.; Yaghmaei-Sabegh, S.; Bojórquezc, E. Three-dimensional response of steel moment-resisting buildings under seismic sequences. Engineering Structures, 2018, 175, 399–414. [Google Scholar] [CrossRef]
- Shirai, K.; Okano, H.; Nakanishi, Y.; Takeuchi, T.; Sasamoto, K.; Sadamoto, M.; Kusunoki, K. Evaluation of response, damage, and repair cost of reinforced concrete super high-rise buildings subjected to large-amplitude earthquakes. Japan Architectural Review. 2024, 7, e12418. [Google Scholar] [CrossRef]
- Soureshjani, O.K.; Massumi, A. Seismic behavior of RC moment resisting structures with concrete shear wall under mainshock–aftershock seismic sequences. Bulletin of Earthquake Engineering. 2022, 20, 1087–1114. [Google Scholar] [CrossRef]
- Tesfamariam, S. Goda, K. and Mondal, G. Seismic vulnerability of reinforced concrete frame with unreinforced masonry infill due to mainshock–aftershock earthquake sequences. Earthquake Spectra. 2015, 31, 1427–1449. [Google Scholar]
- Tesfamariam, S. Goda, K. Energy-Based Seismic Risk Evaluation of Tall Reinforced Concrete Building in Vancouver, BC, Canada, under Mw9 Megathrust Subduction Earthquakes and Aftershocks. Frontiers in Built Environment. 2017, 3, 29. [Google Scholar]
- Toyoda, S.; Kuramoto, H.; Katsumata, H.; Fukuyama, H. Earthquake response analysis of a 20-story RC building under long period seismic ground motion. Journal of Structural and Construction Engineering (Transactions of AIJ). 2014, 79, 1167–1174 (in Japanese). (in Japanese). [Google Scholar] [CrossRef]
- Trifunac, M.D. Brady, A. G. A study on the duration of strong earthquake ground motion. Bulletin of the Seismological Society of America. 1975, 65, 581–626. [Google Scholar]
- Uang, C.; Bertero, V.V. Evaluation of seismic energy in structures. Earthquake Engineering and Structural Dynamics. 1990, 19, 77–90. [Google Scholar] [CrossRef]
- Wada, A.; Huang, Y.; Iwata, M. Passive damping technology for buildings in Japan. Progress in Structural Engineering and Materials. 2000, 2, 335–350. [Google Scholar] [CrossRef]
- Wen, W.; Ji, D.; Zhai, C. Ground motion rotation for mainshock-aftershock sequences: Necessary or not? Soil Dynamics and Earthquake Engineering. 2020, 130, 105976. [Google Scholar] [CrossRef]
- Yaghmaei-Sabegh, S.; Mahdipour-Moghanni, R. State-dependent fragility curves using real and artificial earthquake sequences. Asian Journal of Civil Engineering. 2019, 20, 619–625. [Google Scholar] [CrossRef]
- Yaghmaei-Sabegh, S.; Ruiz-García, J. Nonlinear response analysis of SDOF systems subjected to doublet earthquake ground motions: A case study on 2012 Varzaghan–Ahar events. Engineering Structures. 2016, 110, 281–292. [Google Scholar] [CrossRef]
- Yang, F.; Wang, G.; Ding, Y. Damage demands evaluation of reinforced concrete frame structure subjected to near-fault seismic sequences. Natural Hazards. 2019, 97, 841–860. [Google Scholar] [CrossRef]
- Yang, F.; Wang, G.; Li, M. Evaluation of the seismic retrofitting of mainshock-damaged reinforced concrete frame structure using steel braces with soft steel dampers. Applied Sciences. 2021, 11, 841. [Google Scholar] [CrossRef]
- Zhai, C., Wen, W., Li, S., Xie, L. (2012). “The influences of seismic sequence on the inelastic SDOF systems,” in Proceedings of the 15th World Conference on Earthquake Engineering, Lisbon, Portugal.
- Zhai, C.; Wen, W.; Li, S.; Chen, Z.; Li, S.; Xie, L. Damage spectra for the mainshock–aftershock sequence-type ground motions. Soil Dynamics and Earthquake Engineering. 2013, 45, 1–12. [Google Scholar] [CrossRef]
- Zhai, C.; Wen, W.; Li, S.; Chen, Z.; Chang, Z.; Xie, L. The damage investigation of inelastic SDOF structure under the mainshock–aftershock sequence-type ground motions. Soil Dynamics and Earthquake Engineering. 2014, 59, 30–41. [Google Scholar] [CrossRef]
- Zhai, C.; Ji, D.; Wen, W.; Lei, W.; Xie, L.; Gong, M. The inelastic input energy spectra for main shock–aftershock sequences. Earthquake Spectra, 2016, 32, 2149–2166. [Google Scholar] [CrossRef]















Disclaimer/Publisher’s Note: The statements, opinions and data contained in all publications are solely those of the individual author(s) and contributor(s) and not of MDPI and/or the editor(s). MDPI and/or the editor(s) disclaim responsibility for any injury to people or property resulting from any ideas, methods, instructions or products referred to in the content. |
© 2025 by the authors. Licensee MDPI, Basel, Switzerland. This article is an open access article distributed under the terms and conditions of the Creative Commons Attribution (CC BY) license (http://creativecommons.org/licenses/by/4.0/).
